A Fuzzy Method for Exploring Key Factors of Smart Healthcare to Long-Term Care Based on Z-Numbers
Abstract
1. Introduction
2. Literature Review
2.1. Long-Term Care
2.2. Smart Medicine
2.3. Fuzzy Set Theory
2.3.1. Triangular Fuzzy Numbers
2.3.2. Linguistic Variables
2.3.3. Fuzzy Operations
2.3.4. Defuzzification Methods
2.3.5. Z Number
3. The Proposed Model
3.1. Integrate Expert Opinions
3.2. Calculation of Key Factors Importance
4. Empirical Analysis
4.1. Screening Key Influencing Factors
4.1.1. Summary of Influencing Factors
4.1.2. Assessment of Factor Importance
4.1.3. Converting Linguistic Variables of Certainty to Crisp Values
4.1.4. Integration of All Expert Evaluations
4.1.5. Screening Evaluation Factors
4.2. Case Analysis
4.2.1. Institution A
- (1)
- Assessment of the degree of mutual influence between factors
- (2)
- The outcomes of the integration of the triangular fuzzy number assessments provided by the three experts are presented in Table 15.
- (3)
- The direct relationship matrix of Institution A is presented in Table 16.
- (4)
- The normalized direct relationship matrix of Institution A is presented in Table 17.
- (5)
- The total influence relationship matrix (T) of Institution A is presented in Table 18.
- (6)
- The factor weights and rankings of Institution A, as derived from the total influence relationship matrix, are presented in Table 19.
- (7)
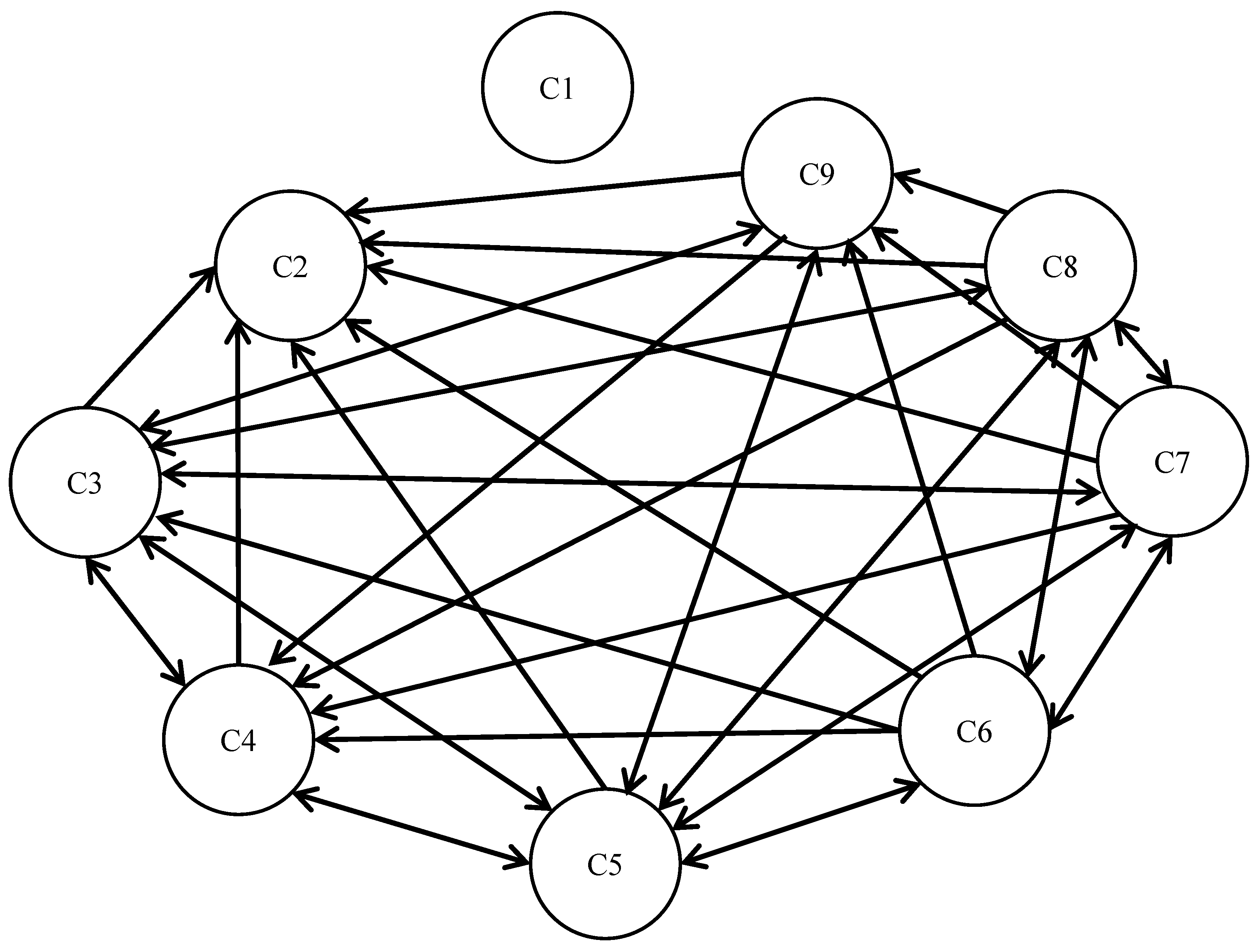
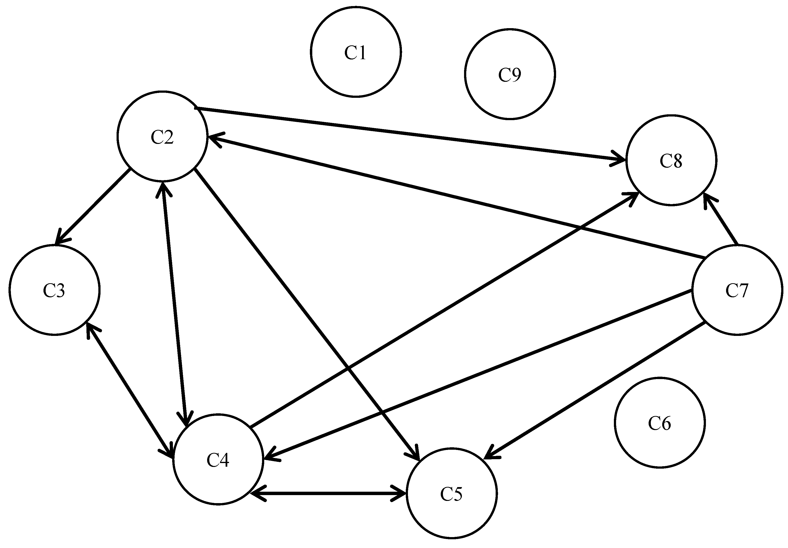
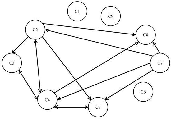
- Causation of key factors for Institution A
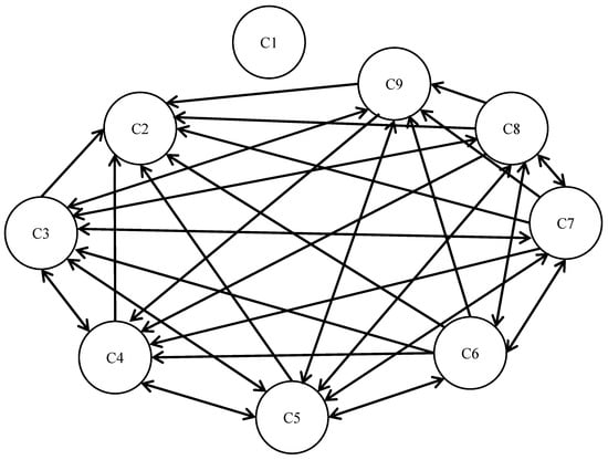
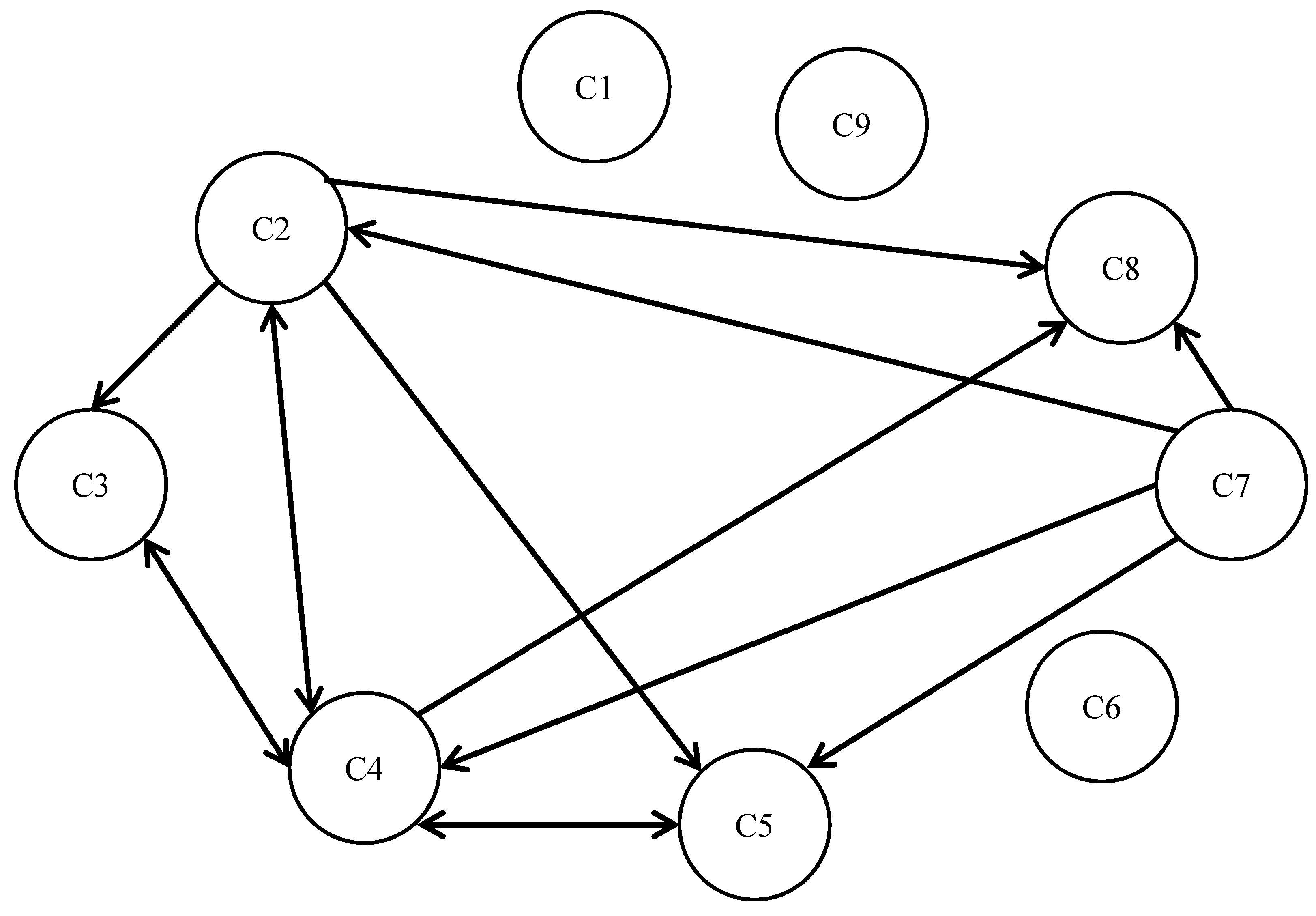
4.2.2. Institution B
4.3. Management Implications
- (1)
- Institution AThe data indicates that when implementing smart healthcare in Institution A, it is essential to consider factors such as the integration of hardware with long-term care and the attitudes of the staff. The following recommendations are proposed for Institution A with regard to the implementation of smart healthcare in long-term care:
- (i)
- By facilitating collaborative endeavors and fostering inter-institutional partnerships with entities specializing in 3D printing technology, long-term caregivers and employees can gain a deeper comprehension of the underlying principles of 3D printing, thereby reducing their sense of rejection.
- (ii)
- It would be beneficial to arrange training courses for employees to gain hands-on experience with smart assistive devices, such as smart wheelchairs and smart medicine boxes. This would help them to understand the advantages and challenges of the hardware.
- (iii)
- It would be beneficial to collaborate with hospitals or universities to acquire the requisite smart medical talents and thereby improve the feasibility of introducing smart medical care.
- (2)
- Institution BThe data indicates that when implementing smart healthcare in Institution B, it is essential to consider factors such as the acceptance of information technology and the integration of hardware with long-term care. The following recommendations are proposed for Institution B about the implementation of smart healthcare in long-term care:
- (1)
- It would be beneficial to establish an information department and to recruit additional personnel with information capabilities, with the objective of enhancing the information capabilities of the institution.
- (2)
- It would be beneficial to pilot short-term smart care services, such as obtaining the vital signs and status of the caregiver through the use of wearable devices, in order to gain a deeper understanding of the level of acceptance among both staff and care recipients.
- (3)
- It is recommended that hospitals collaborate with one another in order to mitigate the adverse effects of inadequate resources through the utilization of AI-based diagnostic techniques and robotic assistance.
5. Conclusions
Author Contributions
Funding
Data Availability Statement
Conflicts of Interest
References
- Stallard, E. International Encyclopedia of Public Health Long Term Care for Aging Populations; Springer: Berlin/Heidelberg, Germany, 2017; pp. 447–458. [Google Scholar]
- Loveys, K.; Prina, M.; Axford, C.; Domènec, Ò.R.; Weng, W.; Broadbent, E.; Pujari, S.; Jang, H.; Han, Z.A.; Thiyagarajan, J.A. Artificial intelligence for older people receiving long-term care: A systematic review of acceptability and effectiveness studies. Lancet Healthy Longev. 2022, 3, 286–297. [Google Scholar] [CrossRef] [PubMed]
- Oderanti, F.O.; Li, F.; Cubric, M.; Shi, X. Business models for sustainable commercialization of digital healthcare (eHealth) innovations for an increasingly aging population. Technol. Forecast. Soc. Change 2021, 171, 120969. [Google Scholar] [CrossRef]
- Chen, W.H.; Chang, K.C.; Liou, H.H.; Chen, H.S.; Hwang, J.J.; Huang, W.L. The psychopathology and happiness of the older adults in Yunlin, Taiwan: What do we need for long-term care service? J. Formos. Med. Assoc. 2022, 121, 1–8. [Google Scholar] [CrossRef] [PubMed]
- Zhu, H.; Wu, C.K.; Koo, C.H.; Tsang, Y.T.; Liu, Y.; Chi, H.R.; Tsang, K.F. Smart healthcare in the era of internet-of-things. IEEE Consum. Electron. Mag. 2019, 8, 26–30. [Google Scholar] [CrossRef]
- Ding, X.F.; Zhu, L.X.; Lu, M.S.; Wang, Q.; Feng, Y.Q. A novel linguistic Z-number QUALIFLEX method and its application to large group emergency decision making. Sci. Program. 2020, 2020, 1–13. [Google Scholar] [CrossRef]
- Dawood, K.A.; Sharif, K.Y.; Ghani, A.A.; Zulzalil, H.; Zaidan, A.A.; Zaidan, B.B. Towards a unified criteria model for usability evaluation in the context of open source software based on a fuzzy Delphi method. Inf. Softw. Technol. 2021, 130, 1–30. [Google Scholar] [CrossRef]
- Marlina, E.; Hidayanto, A.N.; Purwandari, B. Towards a model of research data management readiness in Indonesian context: An investigation of factors and indicators through the fuzzy Delphi method. Libr. Inf. Sci. Res. 2022, 101141, 1–12. [Google Scholar] [CrossRef]
- Hsu, W.C.J.; Liou, J.J.; Lo, H.W. A group decision-making approach for exploring trends in the development of the healthcare industry in Taiwan. Decis. Support Syst. 2021, 141, 113447. [Google Scholar] [CrossRef]
- Jiang, S.; Shi, H.; Lin, W.; Liu, H.C. A large group linguistic Z-DEMATEL approach for identifying key performance indicators in hospital performance management. Appl. Soft Comput. 2020, 86, 105900. [Google Scholar] [CrossRef]
- Liu, Y.; Wood, L.C.; Venkatesh, V.; Zhang, A.; Farooque, M. Barriers to sustainable food consumption and production in China: A fuzzy DEMATEL analysis from a circular economy perspective. Sustain. Prod. Consum. 2021, 28, 1114–1129. [Google Scholar] [CrossRef]
- Tchouaket, E.; Kilpatrick, K.; Jabbour, M. Effectiveness for introducing nurse practitioners in six long-term care facilities in Québec, Canada: A cost-savings analysis. Nurs. Outlook 2020, 68, 1–15. [Google Scholar] [CrossRef] [PubMed]
- Giesbrecht, M.; Stajduhar, K.I.; Cloutier, D.; Dujela, C. We are to be like machines…fill the bed before it gets cold. Exploring the emotional geographies of healthcare providers caring for dying residents in long-term care facilities. Soc. Sci. Med. 2021, 272, 1–8. [Google Scholar] [CrossRef] [PubMed]
- Shuo, T.; Wenbo, Y.; Jehane ML, G.; Peng, W.; Wei, H.; Zhewei, Y. Smart healthcare: Making medical care more intelligent. Glob. Health J. 2019, 3, 62–65. [Google Scholar]
- World Health Organization. Long-Term Care. Available online: https://reurl.cc/3Y1gKV (accessed on 18 January 2022).
- Lukkien, D.R.; Nap, H.H.; Buimer, H.P.; Peine, A.; Boon, W.P.; Ket, J.C.; Minkman, M.; Moors, E.H. Toward responsible artificial intelligence in long-term care: A scoping review on practical approaches. Gerontologist 2021, 63, 1–14. [Google Scholar] [CrossRef]
- Legato, P.; Mazza, R.M.; Fortino, G. A multi-level simulation-based optimization framework for IoT-enabled elderly care systems. Simul. Model. Pract. Theory 2022, 114, 102420. [Google Scholar] [CrossRef]
- Rubeis, G. The disruptive power of artificial intelligence. Ethical aspects of gerontechnology in elderly care. Arch. Gerontol. Geriatr. 2020, 91, 104186. [Google Scholar] [CrossRef]
- Leu, F.Y.; Chiang, P.J.; Susanto, H.; Hung, R.T.; Huang, H.L. Mobile physiological sensor cloud system for long-term care. Internet Things 2020, 11, 100209. [Google Scholar] [CrossRef]
- Wu, B.; Pi, Y.; Chen, J. Privacy Protection of Medical Service Data Based on Blockchain and Artificial Intelligence in the Era of Smart Medical Care. Wirel. Commun. Mob. Comput. 2022, 2022, 1–10. [Google Scholar] [CrossRef]
- Nguyen, H.H.; Mirza, F.; Naeem, M.A.; Nguyen, M. A Review on IoT Healthcare Monitoring Applications and a Vision for Transforming Sensor Data into Real-Time Clinical Feedback. In Proceedings of the IEEE 21st International Conference on Computer Supported Cooperative Work in Design, Wellington, New Zealand, 26–28 April 2017; pp. 257–262. [Google Scholar]
- Wang, L.; Gu, D.; Wu, B. Technology-Enabled Long-Term Care Services and Supports (T-eLTCSS) in Home Settings. In Encyclopedia of Gerontology and Population Aging; Springer International Publishing: Cham, Switzerland, 2019; pp. 1–8. [Google Scholar]
- Hussain, A.; Wenbi, R.; Da Silva, A.L.; Nadher, M.; Mudhish, M. Health and emergency-care platform for the elderly and disabled people in the smart city. J. Syst. Softw. 2015, 110, 253–263. [Google Scholar] [CrossRef]
- Kruse, C.S.; Mileski, M.; Vijaykumar, A.G.; Viswanathan, S.V.; Suskandla, U.; Chidambaram, Y. Impact of electronic health records on long-term care facilities: Systematic review. JMIR Med. Inform. 2017, 5, 1–9. [Google Scholar] [CrossRef]
- Chou, H.M. A collaborative framework with artificial intelligence for long-term care. IEEE Access 2020, 8, 1–10. [Google Scholar] [CrossRef]
- Haddara, M.; Staaby, A. RFID applications and adoptions in healthcare: A review on patient safety. Procedia Comput. Sci. 2018, 138, 80–88. [Google Scholar] [CrossRef] [PubMed]
- Ganesh, D.; Seshadri, G.; Sokkanarayanan, S.; Rajan, S.; Sathiyanarayanan, M. Iot-Based Google Duplex Artificial Intelligence Solution for Elderly Care. In Proceedings of the 2019 International Conference on Contemporary Computing and Informatics, Singapore, 12–14 December 2019; pp. 1–7. [Google Scholar]
- Heo, S.P.; Jeong, S. Internet of Things in the Bathroom: Smart Health-Monitoring Bidet System. Math. Probl. Eng. 2021, 2021, 1–9. [Google Scholar] [CrossRef]
- Ekanayaka, D.; Cooray, O.; Madhusanka, N.; Ranasinghe, H.; Priyanayana, S.; Buddhika, A.G.; Jayasekara, P. Elderly Supportive Intelligent Wheelchair. In Proceedings of the 2019 Moratuwa Engineering Research Conference, Moratuwa, Sri Lanka, 3–5 July 2019; pp. 627–632. [Google Scholar]
- Wang, J.; Ding, D.; Liu, O.; Li, M. A synthetic method for knowledge management performance evaluation based on triangular fuzzy number and group support systems. Appl. Soft Comput. 2016, 39, 11–20. [Google Scholar] [CrossRef]
- Zadeh, L.A. The concept of a linguistic variable and its application to approximate reasoning—I. Inf. Sci. 1975, 8, 199–249. [Google Scholar] [CrossRef]
- Nirmala, G.; Uthra, G. AHP based on triangular intuitionistic fuzzy number and its application to supplier selection problem. Mater. Today Proc. 2019, 16, 987–993. [Google Scholar] [CrossRef]
- Gao, S.; Zhang, Z.; Cao, C. Multiplication operation on fuzzy numbers. J. Softw. 2009, 4, 331–338. [Google Scholar] [CrossRef]
- Gani, A.N.; Assarudeen, S.M. A new operation on triangular fuzzy number for solving fuzzy linear programming problem. Appl. Math. Sci. 2012, 6, 525–532. [Google Scholar]
- Van Leekwijck, W.; Kerre, E.E. Defuzzification: Criteria and classification. Fuzzy Sets Syst. 1999, 108, 159–178. [Google Scholar] [CrossRef]
- Zadeh, L.A. A Note on a Z-Number. J. Inf. Sci. 2011, 181, 2923–2932. [Google Scholar] [CrossRef]
- Aliev, R.A.; Pedrycz, W.; Huseynov, O.H. Functions defined on a set of Z-numbers. Inf. Sci. 2018, 423, 353–375. [Google Scholar] [CrossRef]
- Azadeh, A.; Saberi, M.; Atashbar, N.Z.; Chang, E.; Pazhoheshfar, P. Z-AHP: A Z-Number Extension of Fuzzy Analytical Hierarchy Process. In Proceedings of the 2013 7th IEEE International Conference on Digital Ecosystems and Technologies (DEST), Menlo Park, CA, USA, 24–26 July 2013; pp. 141–147. [Google Scholar]
- Aboutorab, H.; Saberi, M.; Asadabadi, M.R.; Hussain, O.; Chang, E. ZBWM: The Z-number extension of best worst method and its application for supplier development. Expert Syst. Appl. 2018, 107, 115–125. [Google Scholar] [CrossRef]
- Lawnik, M.; Krakowczyk, J.; Banasik, A. Fuzzy Delphi method with Z-numbers. Commun. Comput. Inf. Sci. 2019, 1078, 24–32. [Google Scholar]







| Source | A | B | C | D | E | F | G | H | I | J | K | L | M | N | |
|---|---|---|---|---|---|---|---|---|---|---|---|---|---|---|---|
| Factors | |||||||||||||||
| 3D printing technology | ✓ | ✓ | ✓ | ||||||||||||
| Artificial intelligence (AI) | ✓ | ✓ | ✓ | ||||||||||||
| Virtual reality (VR) | ✓ | ||||||||||||||
| Sensors | ✓ | ✓ | ✓ | ✓ | ✓ | ✓ | ✓ | ✓ | ✓ | ✓ | ✓ | ✓ | |||
| Global positioning system | ✓ | ✓ | ✓ | ✓ | |||||||||||
| Smart clinics and urgent care centers | ✓ | ✓ | ✓ | ||||||||||||
| Telemedicine | ✓ | ✓ | ✓ | ✓ | ✓ | ||||||||||
| Internet of things | ✓ | ✓ | ✓ | ✓ | ✓ | ✓ | ✓ | ✓ | ✓ | ✓ | ✓ | ||||
| Blockchain | ✓ | ✓ | ✓ | ✓ | |||||||||||
| Smart medical talent acquisition | ✓ | ✓ | ✓ | ✓ | |||||||||||
| Electronic medical records | ✓ | ✓ | ✓ | ✓ | |||||||||||
| Cloud technology | ✓ | ✓ | ✓ | ✓ | ✓ | ✓ | ✓ | ✓ | ✓ | ✓ | |||||
| Personalized data analysis | ✓ | ✓ | ✓ | ✓ | ✓ | ✓ | ✓ | ✓ | ✓ | ||||||
| Smart medicine box | ✓ | ✓ | |||||||||||||
| Wireless RF identification | ✓ | ✓ | ✓ | ✓ | |||||||||||
| Smart bed | ✓ | ✓ | |||||||||||||
| Smart bidet system | ✓ | ✓ | |||||||||||||
| Assistive smart wheelchair | ✓ | ✓ | ✓ | ✓ | |||||||||||
| Code | Factor Name | Code | Factor Name |
|---|---|---|---|
| A | 3D printing technology | J | Smart medical talent acquisition |
| B | Artificial intelligence | K | Electronic medical records |
| C | Virtual reality | L | Cloud technology |
| D | Sensors | M | Personalized data analysis |
| E | Global positioning system | N | Smart medicine box |
| F | Smart clinics and urgent care centers | O | Wireless RF identification |
| G | Telemedicine | P | Smart bed |
| H | Internet of things | Q | Smart bidet system |
| I | Blockchain | R | Assistive smart wheelchair |
| Code | Name | Meanings |
|---|---|---|
| A | 3D printing technology | A multi-layer stacking printing method that incorporates bespoke three-dimensional features. The three axes (X, Y, and Z) facilitate the materialization of objects in accordance with the requisite specifications. |
| B | Artificial intelligence | The term “artificial intelligence” (AI) is used to describe technology that presents or simulates human-like intelligence through programming and computational behavior. |
| C | Virtual reality | A simulated environment may be created through the utilization of the sensory experiences afforded by the computer, including those of vision and hearing. |
| D | Sensors | The deployment of sensors enables the real-time and continuous monitoring of health-related signals without the constraints of time or geography. This has the potential to address the challenges associated with inadequate staffing in long-term care settings and the difficulty in monitoring the outcomes of certain traditional medical treatments. |
| E | Global positioning system | The global positioning system enables the real-time detection of the caregiver’s location and position, thereby preventing the caregiver from becoming lost or wandering off. |
| F | Smart clinics and urgent care centers | In comparison to general clinics, emergency care centers offer a more extensive range of treatments and contribute to a reduction in overcrowding in emergency rooms. The introduction of cross-disciplinary long-term care professionals and the combination of medical resources are two key benefits of smart clinics. |
| G | Telemedicine | Medical personnel are able to provide remote care for patients, analyze electronic data with patients, and disseminate professional medical knowledge. This approach can reduce the frequency of patients entering and leaving the hospital, mitigate the impact of the shortage of medical professionals, and effectively utilize medical resources, thereby improving the efficiency of medical treatment for patients with limited mobility or in remote areas. |
| H | Internet of things | The Internet of Things encompasses a multitude of software technologies, cloud storage and computing, and information transmission and communication technologies. By means of analysis and effective health management, it is possible to grasp and monitor the progression of the disease, thus avoiding a deterioration in the patient’s condition and postponing the optimal period for treatment. |
| I | Blockchain | One of the defining characteristics of the blockchain is its immutable nature. To illustrate, long-term care institutions are able to record medical information via the utilization of blockchain accounts. With the informed consent of all relevant parties, including caregivers, patients, hospitals, insurance companies, and research institutions, the sharing of medical information can be facilitated, thereby reducing the time and cost associated with the current process of obtaining information from multiple sources. |
| J | Smart medical talent acquisition | In the field of smart healthcare, there is a persistent challenge in acquiring talent, particularly individuals who possess expertise in the intersection of information technology and medicine, as well as those who are adept at developing sophisticated medical capabilities. |
| K | Electronic medical records | Long-term caregivers utilize electronic medical records to document medication regimens, prescriptions, the frequency of illness, and other pertinent information. The utilization of electronic medical records enables healthcare professionals to make appropriate treatment decisions at any medical facility. |
| L | Cloud technology | The utilization of cloud technology in the construction of a drug evaluation system enables the comparison and detection of drug ingredients, thus facilitating the identification of potential conflicts. |
| M | Personalized data analysis | The application of data mining techniques may facilitate the quantitative modeling of the lifestyles of long-term caregivers, thereby enabling an understanding of their beliefs, values, and preferences. This, in turn, may facilitate the provision of personalized care. |
| N | Smart medicine box | A significant proportion of the elderly population is unable to adhere to medication instructions on a regular basis, which has an adverse impact on the efficacy of treatment. The implementation of smart medicine boxes has the potential to alleviate the burden on caregivers while simultaneously enhancing the regularity and efficacy of the elderly population’s medication regimens. |
| O | Wireless RF identification | The utilization of Wireless RF identification allows for the tracking of both caregivers and the movement of drugs, thereby reducing the probability of drug quantity and medication errors. |
| P | Smart bed | The utilization of advanced technology in smart beds, including infrared projectors, force-sensing resistors, and MAP systems, facilitates the care of patients with behavioral disorders. Additionally, these devices assist in the prevention of pressure sores and instances of patients rolling out of bed. |
| Q | Smart bidet system | The smart bidet system is capable of obtaining physiological data through the use of sensors and has the potential to prevent the onset of spinal diseases and to correct body posture. |
| R | Assistive smart wheelchair | The wheelchair is operated by a joystick, and through voice recognition and a human-computer interaction interface, the user’s mood can be identified via a camera, thus enabling the user to mitigate feelings of loneliness. In addition to its primary function of facilitating mobility, the wheelchair also serves as a companion for the caregiver. |
| No. | Gender | Age | Type of Industry | Years of Working Experience | Position | No. of Employees. |
|---|---|---|---|---|---|---|
| 1 | Male | 40–49 | Education | 11–20 | Head of unit | 1001 (above) |
| 2 | Male | 50–59 | Education | 21–30 | Professionals | 501–1000 |
| 3 | Female | 40–49 | Healthcare | 11–20 | Professionals | 1001 (above) |
| 4 | Female | 30–39 | Healthcare | less than 10 | Professionals | 1001 (above) |
| 5 | Male | 30–39 | Public sector | less than 10 | Professionals | 1001 (above) |
| 6 | Male | 40–49 | Education | 11–20 | Head of unit | 101–500 |
| 7 | Female | 40–49 | Healthcare | 11–20 | Professionals | 1001 (above) |
| 8 | Female | 40–49 | Public sector | 21–30 | Professionals | 1001 (above) |
| 9 | Male | 60+ | Healthcare | 31–40 | Head of unit | 100 or less |
| Importance Rating | Certainty Assessment | ||||
|---|---|---|---|---|---|
| Code | Linguistic Variables | Triangular Fuzzy Numbers | Code | Linguistic Variables | Triangular Fuzzy Numbers |
| Absolutely unimportant | (0, 0, 0) | Absolutely uncertain | (0, 0, 0) | ||
| Very unimportant | (0, 0.2, 0.4) | Very uncertain | (0, 0, 0.4) | ||
| unimportant | (0.2, 0.4, 0.6) | Not sure | (0.2, 0.4, 0.6) | ||
| Fair | (0.4, 0.6, 0.8) | ordinary | (0.4, 0.6, 0.8) | ||
| important | (0.6, 0.8, 1) | determine | (0.6, 0.8, 0.9) | ||
| Very important | (0.8, 1, 1) | Very sure | (0.8, 1, 1) | ||
| Absolutely important | (1, 1, 1) | Absolutely sure | (1, 1, 1) | ||
| Code | Factor Name | Expert 1 | Expert 2 | Expert 3 |
|---|---|---|---|---|
| A | 3D printing technology | (0.6,0.8,1), (0.6,0.8,0.9) | (0.6,0.8,1), (0.6,0.8,0.9) | (0.6,0.8,1), (0.8,1,1) |
| B | Artificial intelligence | (0.6,0.8,1), (0.6,0.8,0.9) | (0.8,1,1), (0.8,1,1) | (0.8,1,1), (0.8,1,1) |
| C | Virtual reality | (0.4,0.6,0.8), (0.4,0.6,0.8) | (0.4,0.6,0.8), (0.6,0.8,0.9) | (0.6,0.8,1), (0.6,0.8,0.9) |
| D | Sensors | (0.8,1,1), (0.8,1,1) | (0.8,1,1), (0.8,1,1) | (0.8,1,1), (0.8,1,1) |
| E | Global positioning system | (0.6,0.8,1), (0.6,0.8,0.9) | (0.8,1,1), (0.8,1,1) | (0.8,1,1), (0.8,1,1) |
| F | Smart clinics and urgent care centers | (0.8,1,1), (0.8,1,1) | (0.6,0.8,1), (0.6,0.8,0.9) | (0.8,1,1), (0.8,1,1) |
| G | Telemedicine | (0.8,1,1), (0.8,1,1) | (0.8,1,1), (0.8,1,1) | (0.6,0.8,1), (0.6,0.8,0.9) |
| H | Internet of things | (0.8,1,1), (0.8,1,1) | (0.6,0.8,1), (0.4,0.6,0.8) | (0.6,0.8,1), (0.6,0.8,0.9) |
| I | Blockchain | (0.4,0.6,0.8), (0.4,0.6,0.8) | (0.6,0.8,1), (0.4,0.6,0.8) | (0.6,0.8,1), (0.6,0.8,0.9) |
| J | Smart medical talent acquisition | (0.6,0.8,1), (0.6,0.8,0.9) | (0.8,1,1), (0.4,0.6,0.8) | (0.8,1,1), (0.8,1,1) |
| K | Electronic medical records | (0.8,1,1), (0.8,1,1) | (0.8,1,1), (0.8,1,1) | (0.6,0.8,1), (0.6,0.8,0.9) |
| L | Cloud technology | (0.4,0.6,0.8), (0.4,0.6,0.8) | (0.8,1,1), (0.6,0.8,0.9) | (0.6,0.8,1), (0.6,0.8,0.9) |
| M | Personalized data analysis | (0.8,1,1), (0.8,1,1) | (0.8,1,1), (0.6,0.8,0.9) | (0.6,0.8,1), (0.6,0.8,0.9) |
| N | Smart medicine box | (0.8,1,1), (0.8,1,1) | (0.6,0.8,1), (0.4,0.6,0.8) | (0.6,0.8,1), (0.6,0.8,0.9) |
| O | Wireless RF identification | (0.2,0.4,0.6), (0.4,0.6,0.8) | (0.8,1,1), (0.8,1,1) | (0.6,0.8,1), (0.6,0.8,0.9) |
| P | Smart bed | (0.6,0.8,1), (0.6,0.8,0.9) | (0.6,0.8,1), (0.6,0.8,0.9) | (0.6,0.8,1), (0.6,0.8,0.9) |
| Q | Smart bidet system | (0.6,0.8,1), (0.8,1,1) | (0.6,0.8,1), (0.8,1,1) | (0.6,0.8,1), (0.6,0.8,0.9) |
| R | Assistive smart wheelchair | (0.8,1,1), (0.8,1,1) | (0.6,0.8,1), (0.6,0.8,0.9) | (0.6,0.8,1), (0.6,0.8,0.9) |
| Code | Factor Name | Expert 4 | Expert 5 | Expert 6 |
|---|---|---|---|---|
| A | 3D printing technology | (0.6,0.8,1), (0.8,1,1) | (0.6,0.8,1), (0.8,1,1) | (0.6,0.8,1), (0.6,0.8,0.9) |
| B | Artificial intelligence | (0.6,0.8,1), (0.6,0.8,0.9) | (0.6,0.8,1), (0.4,0.6,0.8) | (0.8,1,1), (0.8,1,1) |
| C | Virtual reality | (0.8,1,1), (0.8,1,1) | (0.8,1,1), (0.4,0.6,0.8) | (0.8,1,1), (0.8,1,1) |
| D | Sensors | (0.8,1,1), (0.8,1,1) | (0.6,0.8,1), (0.8,1,1) | (0.8,1,1), (0.8,1,1) |
| E | Global positioning system | (0.8,1,1), (0.8,1,1) | (0.6,0.8,1), (0.8,1,1) | (0.8,1,1), (0.8,1,1) |
| F | Smart clinics and urgent care centers | (0.8,1,1), (0.6,0.8,0.9) | (0.8,1,1), (0.8,1,1) | (0.8,1,1), (0.8,1,1) |
| G | Telemedicine | (0.8,1,1), (0.8,1,1) | (0.6,0.8,1), (0.6,0.8,0.9) | (0.8,1,1), (0.8,1,1) |
| H | Internet of things | (0.6,0.8,1), (0.8,1,1) | (0.6,0.8,1), (0.6,0.8,0.9) | (0.8,1,1), (0.8,1,1) |
| I | Blockchain | (0.6,0.8,1), (0.6,0.8,0.9) | (0.4,0.6,0.8), (0.4,0.6,0.8) | (0.8,1,1), (0.8,1,1) |
| J | Smart medical talent acquisition | (0.8,1,1), (0.8,1,1) | (0.6,0.8,1), (0.6,0.8,0.9) | (0.8,1,1), (0.8,1,1) |
| K | Electronic medical records | (0.8,1,1), (0.8,1,1) | (0.8,1,1), (0.8,1,1) | (0.8,1,1), (0.8,1,1) |
| L | Cloud technology | (0.8,1,1), (0.8,1,1) | (0,0.2,0.4), (0.8,1,1) | (0,0.2,0.4), (0.8,1,1) |
| M | Personalized data analysis | (0.6,0.8,1), (0.4,0.6,0.8) | (0.6,0.8,1), (0.6,0.8,0.9) | (0.8,1,1), (0.8,1,1) |
| N | Smart medicine box | (0.8,1,1), (0.8,1,1) | (0.4,0.6,0.8), (0.6,0.8,0.9) | (0.8,1,1), (0.8,1,1) |
| O | Wireless RF identification | (0.6,0.8,1), (0.6,0.8,0.9) | (0.4,0.6,0.8), (0.6,0.8,0.9) | (0.8,1,1), (0.8,1,1) |
| P | Smart bed | (0.8,1,1), (0.8,1,1) | (0.4,0.6,0.8), (0.6,0.8,0.9) | (0.8,1,1), (0.8,1,1) |
| Q | Smart bidet system | (0.2,0.4,0.6), (0.6,0.8,0.9) | (0.2,0.4,0.6), (0.6,0.8,0.9) | (0.8,1,1), (0.8,1,1) |
| R | Assistive smart wheelchair | (0.8,1,1), (0.8,1,1) | (0.4,0.6,0.8), (0.6,0.8,0.9) | (0.8,1,1), (0.8,1,1) |
| Code | Factor Name | Expert 7 | Expert 8 | Expert 9 |
|---|---|---|---|---|
| A | 3D printing technology | (0.6,0.8,1), (0.6,0.8,0.9) | (0.6,0.8,1), (0.6,0.8,0.9) | (0.8,1,1), (0.8,1,1) |
| B | Artificial intelligence | (0.6,0.8,1), (0.6,0.8,0.9) | (0.6,0.8,1), (0.6,0.8,0.9) | (0.8,1,1), (0.8,1,1) |
| C | Virtual reality | (0.8,1,1), (0.8,1,1) | (0.6,0.8,1), (0.6,0.8,0.9) | (0.8,1,1), (0.6,0.8,0.9) |
| D | Sensors | (0.8,1,1), (0.8,1,1) | (0.8,1,1), (0.8,1,1) | (0.6,0.8,1), (0.6,0.8,0.9) |
| E | Global positioning system | (0.8,1,1), (0.8,1,1) | (0.8,1,1), (0.8,1,1) | (0.8,1,1), (0.8,1,1) |
| F | Smart clinics and urgent care centers | (0.8,1,1), (0.8,1,1) | (0.6,0.8,1), (0.6,0.8,0.9) | (0.8,1,1), (0.8,1,1) |
| G | Telemedicine | (0.8,1,1), (0.8,1,1) | (0.8,1,1), (0.8,1,1) | (0.8,1,1), (0.6,0.8,0.9) |
| H | Internet of things | (0.8,1,1), (0.8,1,1) | (0.8,1,1), (0.8,1,1) | (0.8,1,1), (0.8,1,1) |
| I | Blockchain | (0.8,1,1), (0.8,1,1) | (0.6,0.8,1), (0.6,0.8,0.9) | (0.6,0.8,1), (0.6,0.8,0.9) |
| J | Smart medical talent acquisition | (0.8,1,1), (0.8,1,1) | (0.8,1,1), (0.8,1,1) | (0.8,1,1), (0.8,1,1) |
| K | Electronic medical records | (0.8,1,1), (0.8,1,1) | (0.8,1,1), (0.8,1,1) | (0.8,1,1), (0.6,0.8,0.9) |
| L | Cloud technology | (0,0.2,0.4), (0.8,1,1) | (0,0.2,0.4), (0.8,1,1) | (0.4,0.6,0.8), (0.8,1,1) |
| M | Personalized data analysis | (0.8,1,1), (0.8,1,1) | (0.6,0.8,1), (0.6,0.8,0.9) | (0.8,1,1), (0.6,0.8,0.9) |
| N | Smart medicine box | (0.6,0.8,1), (0.6,0.8,0.9) | (0.8,1,1), (0.8,1,1) | (0.8,1,1), (0.8,1,1) |
| O | Wireless RF identification | (0.8,1,1), (0.8,1,1) | (0.8,1,1), (0.8,1,1) | (0.6,0.8,1), (0.6,0.8,0.9) |
| P | Smart bed | (0.6,0.8,1), (0.6,0.8,0.9) | (0.6,0.8,1), (0.8,1,1) | (0.6,0.8,1), (0.6,0.8,0.9) |
| Q | Smart bidet system | (0.6,0.8,1), (0.8,1,1) | (0.4,0.6,0.8), (0.6,0.8,0.9) | (0.6,0.8,1), (0.8,1,1) |
| R | Assistive smart wheelchair | (0.8,1,1), (0.8,1,1) | (0.6,0.8,1), (0.6,0.8,0.9) | (0.6,0.8,1), (0.6,0.8,0.9) |
| Code | Factor Name | Integrated Triangular Fuzzy Numbers | Crisp Value After Defuzzification |
|---|---|---|---|
| A | 3D printing technology | (0.46,0.687,0.934) | 0.694 |
| B | Artificial intelligence | (0.36,0.719,0.934) | 0.671 |
| C | Virtual reality | (0.24,0.659,0.934) | 0.611 |
| D | Sensors | (0.46,0.869,0.934) | 0.754 |
| E | Global positioning system | (0.46,0.869,0.934) | 0.754 |
| F | Smart clinics and urgent care centers | (0.46,0.832,0.934) | 0.742 |
| G | Telemedicine | (0.46,0.832,0.934) | 0.742 |
| H | Internet of things | (0.36,0.771,0.934) | 0.689 |
| I | Blockchain | (0.24,0.585,0.934) | 0.587 |
| J | Smart medical talent acquisition | (0.46,0.81,0.934) | 0.735 |
| K | Electronic medical records | (0.46,0.872,0.934) | 0.755 |
| L | Cloud technology | (0,0.4587,0.934) | 0.464 |
| M | Personalized data analysis | (0.36,0.722,0.934) | 0.672 |
| N | Smart medicine box | (0.307,0.73,0.934) | 0.657 |
| O | Wireless RF identification | (0.12,0.644,0.934) | 0.566 |
| P | Smart bed | (0.307,0.667,0.934) | 0.636 |
| Q | Smart bidet system | (0.153,0.585,0.934) | 0.557 |
| R | Assistive smart wheelchair | (0.46,0.715,0.934) | 0.703 |
| Code | New Code | Factor Name | Crisp Value After Defuzzification |
|---|---|---|---|
| A | C1 | 3D printing technology | 0.694 |
| D | C2 | Sensors | 0.754 |
| E | C3 | Global positioning system | 0.754 |
| F | C4 | Smart clinics and urgent care centers | 0.742 |
| G | C5 | Telemedicine | 0.742 |
| H | C6 | Internet of things | 0.688 |
| J | C7 | Smart medical talent acquisition | 0.734 |
| K | C8 | Electronic medical records | 0.755 |
| R | C9 | Assistive smart wheelchair | 0.703 |
| Influence Rating | Degree of Certainty | ||||
|---|---|---|---|---|---|
| Code | Linguistic Variables | Triangular Fuzzy Numbers | Code | Linguistic Variables | Triangular Fuzzy Numbers |
| Absolutely not | (0, 0, 0) | Absolutely not | (0, 0, 0) | ||
| No | (0, 0, 1) | Very uncertain | (0, 0, 0.4) | ||
| Low | (0, 1, 2) | Not sure | (0.2, 0.4, 0.6) | ||
| Moderate | (1, 2, 3) | ordinary | (0.4, 0.6, 0.8) | ||
| High | (2, 3, 4) | determine | (0.6, 0.8, 0.9) | ||
| Very high | (3, 4, 4) | Very sure | (0.8, 1, 1) | ||
| Absolutely high | (4, 4, 4) | Absolutely sure | (1, 1, 1) | ||
| C1 | C2 | C3 | C4 | C5 | C6 | C7 | C8 | C9 | |
|---|---|---|---|---|---|---|---|---|---|
| C1 | (0,0,0), (1,1,1) | (2,3,4), (0.4,0.6,0.8) | (2,3,4), (0.6,0.8,0.9) | (0,1,2), (0.6,0.8,0.9) | (0,1,2), (0.6,0.8,0.9) | (0,1,2), (0.4,0.6,0.8) | (1,2,3), (0.4,0.6,0.8) | (0,1,2), (0.6,0.8,0.9) | (1,2,3), (0.4,0.6,0.8) |
| C2 | (0,0,1), (0.2,0.4,0.6) | (0,0,0), (1,1,1 | (2,3,4), (0.6,0.8,0.9) | (1,2,3), (0.6,0.8,0.9) | (2,3,4), (0.6,0.8,0.9) | (2,3,4), (0.6,0.8,0.9) | (2,3,4), (0.6,0.8,0.9) | (0,1,2), (0.4,0.6,0.8) | (2,3,4), (0.6,0.8,0.9) |
| C3 | (0,0,1), (0.6,0.8,0.9) | (2,3,4), (0.4,0.6,0.8) | (0,0,0), (1,1,1 | (2,3,4), (0.4,0.6,0.8) | (3,4,4), (0.6,0.8,0.9) | (3,4,4), (0.8,1,1) | (3,4,4), (0.8,1,1) | (0,1,2), (0.8,1,1) | (3,4,4), (0.8,1,1) |
| C4 | (0,0,1), (0.6,0.8,0.9) | (0,0,1), (0.6,0.8,0.9) | (0,0,1), (0.6,0.8,0.9) | (0,0,0), (1,1,1 | (0,0,1), (0.6,0.8,0.9) | (0,0,1), (0.6,0.8,0.9) | (0,0,1), (0.6,0.8,0.9) | (2,3,4), (0.6,0.8,0.9) | (0,0,1), (0.6,0.8,0.9) |
| C5 | (0,0,1), (0.6,0.8,0.9) | (2,3,4), (0.6,0.8,0.9) | (2,3,4), (0.6,0.8,0.9) | (3,4,4), (0.2,0.4,0.6) | (0,0,0), (1,1,1 | (3,4,4), (0.6,0.8,0.9) | (3,4,4), (0.6,0.8,0.9) | (3,4,4), (0.8,1,1) | (3,4,4), (0.6,0.8,0.9) |
| C6 | (0,0,1), (0.6,0.8,0.9) | (3,4,4), (0.8,1,1) | (3,4,4), (0.8,1,1) | (1,2,3), (0.4,0.6,0.8) | (3,4,4), (0.8,1,1) | (0,0,0), (1,1,1 | (3,4,4), (0.8,1,1) | (3,4,4), (0.8,1,1) | (3,4,4), (0.8,1,1) |
| C7 | (0,0,1), (0.6,0.8,0.9) | (0,0,1), (0.6,0.8,0.9) | (0,0,1), (0.8,1,1) | (0,1,2), (0.6,0.8,0.9) | (2,3,4), (0.8,1,1) | (2,3,4), (0.8,1,1) | (0,0,0), (1,1,1 | (2,3,4), (0.8,1,1) | (2,3,4), (0.8,1,1) |
| C8 | (0,0,1), (0.6,0.8,0.9) | (1,2,3), (0.4,0.6,0.8) | (1,2,3), (0.4,0.6,0.8) | (2,3,4), (0.4,0.6,0.8) | (3,4,4), (0.8,1,1) | (1,2,3), (0.8,1,1) | (1,2,3), (0.8,1,1) | (0,0,0), (1,1,1 | (1,2,3), (0.8,1,1) |
| C9 | (0,0,1), (0.6,0.8,0.9) | (2,3,4), (0.6,0.8,0.9) | (2,3,4), (0.6,0.8,0.9) | (0,1,2), (0.4,0.6,0.8) | (0,1,2), (0.4,0.6,0.8) | (0,1,2), (0.6,0.8,0.9) | (0,1,2), (0.6,0.8,0.9) | (0,1,2), (0.6,0.8,0.9) | (0,0,0), (1,1,1 |
| C1 | C2 | C3 | C4 | C5 | C6 | C7 | C8 | C9 | |
|---|---|---|---|---|---|---|---|---|---|
| C1 | (0,0,0), (1,1,1) | (2,3,4), (0.4,0.6,0.8) | (2,3,4), (0.6,0.8,0.9) | (0,1,2), (0.6,0.8,0.9) | (0,1,2), (0.6,0.8,0.9) | (0,1,2), (0.4,0.6,0.8) | (1,2,3), (0.4,0.6,0.8) | (0,1,2), (0.6,0.8,0.9) | (1,2,3), (0.4,0.6,0.8) |
| C2 | (1,2,3), (0.4,0.6,0.8) | (0,0,0), (1,1,1) | (2,3,4), (0.6,0.8,0.9) | (1,2,3), (0.6,0.8,0.9) | (2,3,4), (0.6,0.8,0.9) | (2,3,4), (0.6,0.8,0.9) | (2,3,4), (0.6,0.8,0.9) | (0,1,2), (0.4,0.6,0.8) | (2,3,4), (0.6,0.8,0.9) |
| C3 | (1,2,3), (0.4,0.6,0.8) | (2,3,4), (0.4,0.6,0.8) | (0,0,0), (1,1,1) | (2,3,4), (0.4,0.6,0.8) | (3,4,4), (0.6,0.8,0.9) | (3,4,4), (0.8,1,1) | (3,4,4), (0.8,1,1) | (0,1,2), (0.8,1,1) | (3,4,4), (0.8,1,1) |
| C4 | (1,2,3), (0.4,0.6,0.8) | (0,0,1), (0.6,0.8,0.9) | (0,0,1), (0.6,0.8,0.9) | (0,0,0), (1,1,1) | (0,0,1), (0.6,0.8,0.9) | (0,0,1), (0.6,0.8,0.9) | (0,0,1), (0.6,0.8,0.9) | (2,3,4), (0.6,0.8,0.9) | (0,0,1), (0.6,0.8,0.9) |
| C5 | (1,2,3), (0.4,0.6,0.8) | (2,3,4), (0.6,0.8,0.9) | (2,3,4), (0.6,0.8,0.9) | (3,4,4), (0.2,0.4,0.6) | (0,0,0), (1,1,1) | (3,4,4), (0.6,0.8,0.9) | (3,4,4), (0.6,0.8,0.9) | (3,4,4), (0.8,1,1) | (3,4,4), (0.6,0.8,0.9) |
| C6 | (1,2,3), (0.4,0.6,0.8) | (3,4,4), (0.8,1,1) | (3,4,4), (0.8,1,1) | (1,2,3), (0.4,0.6,0.8) | (3,4,4), (0.8,1,1) | (0,0,0), (1,1,1) | (3,4,4), (0.8,1,1) | (3,4,4), (0.8,1,1) | (3,4,4), (0.8,1,1) |
| C7 | (2,3,4), (0.6,0.8,0.9) | (0,0,1), (0.6,0.8,0.9) | (0,0,1), (0.8,1,1) | (0,1,2), (0.6,0.8,0.9) | (2,3,4), (0.8,1,1) | (2,3,4), (0.8,1,1) | (0,0,0), (1,1,1) | (2,3,4), (0.8,1,1) | (2,3,4), (0.8,1,1) |
| C8 | (1,2,3), (0.4,0.6,0.8) | (1,2,3), (0.4,0.6,0.8) | (1,2,3), (0.4,0.6,0.8) | (2,3,4), (0.4,0.6,0.8) | (3,4,4), (0.8,1,1) | (1,2,3), (0.8,1,1) | (1,2,3), (0.8,1,1) | (0,0,0), (1,1,1) | (1,2,3), (0.8,1,1) |
| C9 | (3,4,4), (0.8,1,1) | (2,3,4), (0.6,0.8,0.9) | (2,3,4), (0.6,0.8,0.9) | (0,1,2), (0.4,0.6,0.8) | (0,1,2), (0.4,0.6,0.8) | (0,1,2), (0.6,0.8,0.9) | (0,1,2), (0.6,0.8,0.9) | (0,1,2), (0.6,0.8,0.9) | (0,0,0), (1,1,1) |
| C1 | C2 | C3 | C4 | C5 | C6 | C7 | C8 | C9 | |
|---|---|---|---|---|---|---|---|---|---|
| C1 | (0,0,0), (1,1,1) | (0,1,2), (0.6,0.8,0.9) | (0,1,2), (0.6,0.8,0.9) | (0,1,2), (0.6,0.8,0.9) | (0,1,2), (0.6,0.8,0.9) | (0,1,2), (0.6,0.8,0.9) | (0,1,2), (0.6,0.8,0.9) | (0,1,2), (0.6,0.8,0.9) | (0,1,2), (0.6,0.8,0.9) |
| C2 | (0,1,2), (0.6,0.8,0.9) | (0,0,0), (1,1,1) | (2,3,4), (0.6,0.8,0.9) | (2,3,4), (0.6,0.8,0.9) | (2,3,4), (0.6,0.8,0.9) | (2,3,4), (0.6,0.8,0.9) | (2,3,4), (0.6,0.8,0.9) | (2,3,4), (0.6,0.8,0.9) | (2,3,4), (0.6,0.8,0.9) |
| C3 | (0,1,2), (0.6,0.8,0.9) | (2,3,4), (0.6,0.8,0.9) | (0,0,0), (1,1,1) | (2,3,4), (0.6,0.8,0.9) | (2,3,4), (0.6,0.8,0.9) | (2,3,4), (0.6,0.8,0.9) | (2,3,4), (0.6,0.8,0.9) | (2,3,4), (0.6,0.8,0.9) | (2,3,4), (0.6,0.8,0.9) |
| C4 | (0,1,2), (0.6,0.8,0.9) | (1,2,3)(0.6,0.8,0.9) | (1,2,3)(0.6,0.8,0.9) | (0,0,0), (1,1,1) | (2,3,4), (0.6,0.8,0.9) | (3,4,4), (0.6,0.8,0.9) | (3,4,4), (0.6,0.8,0.9) | (3,4,4), (0.6,0.8,0.9) | (0,1,2), (0.6,0.8,0.9) |
| C5 | (0,1,2), (0.6,0.8,0.9) | (1,2,3)(0.6,0.8,0.9) | (2,3,4), (0.8,1,1) | (2,3,4), (0.8,1,1) | (0,0,0), (1,1,1) | (2,3,4), (0.8,1,1) | (3,4,4), (0.8,1,1) | (3,4,4), (0.8,1,1) | (2,3,4), (0.6,0.8,0.9) |
| C6 | (0,1,2), (0.6,0.8,0.9) | (2,3,4), (0.8,1,1) | (3,4,4), (0.8,1,1) | (2,3,4), (0.8,1,1) | (3,4,4), (0.8,1,1) | (0,0,0), (1,1,1) | (2,3,4), (0.8,1,1) | (3,4,4), (0.8,1,1) | (1,2,3)(0.6,0.8,0.9) |
| C7 | (0,1,2), (0.8,1,1) | (2,3,4), (0.6,0.8,0.9) | (2,3,4), (0.6,0.8,0.9) | (2,3,4), (0.6,0.8,0.9) | (2,3,4), (0.6,0.8,0.9) | (2,3,4), (0.6,0.8,0.9) | (0,0,0), (1,1,1) | (0,1,2), (0.8,1,1) | (0,1,2), (0.8,1,1) |
| C8 | (0,1,2), (0.8,1,1) | (2,3,4), (0.8,1,1) | (3,4,4), (0.8,1,1) | (3,4,4), (0.8,1,1) | (3,4,4), (0.8,1,1) | (3,4,4), (0.8,1,1) | (3,4,4), (0.8,1,1) | (0,0,0), (1,1,1) | (0,1,2), (0.8,1,1) |
| C9 | (3,4,4), (0.8,1,1) | (3,4,4), (0.8,1,1) | (3,4,4), (0.8,1,1) | (0,1,2), (0.8,1,1) | (0,1,2), (0.8,1,1) | (0,1,2), (0.8,1,1) | (0,1,2), (0.8,1,1) | (0,1,2), (0.8,1,1) | (0,0,0), (1,1,1) |
| C1 | C2 | C3 | C4 | C5 | C6 | C7 | C8 | C9 | |
|---|---|---|---|---|---|---|---|---|---|
| C1 | (0,0,0) | (0,1.183,2.4) | (0,0.89,1.8) | (0,0.89,1.8) | (0,0.89,1.8) | (0,0.951,2.802) | (0,1.509,3.736) | (0,1.509,3.736) | (0,1.509,3.736) |
| C2 | (0,0,1.8) | (0,0,0) | (0,1.3,3.736) | (0,1.638,3.736) | (0,1.3,3.736) | (0,0.767,1.534) | (0,0.767,1.534) | (0,0.767,1.534) | (0,0.767,1.534) |
| C3 | (0,0.89,1.8) | (0,1.728,3.736) | (0,0,0) | (0,1.728,3.736) | (0,2.064,3.736) | (0,1.509,3.736) | (0,1.509,3.736) | (0,1.509,3.736) | (0,1.509,3.736) |
| C4 | (0,0.89,1.8) | (0,1.638,3.736) | (0,1.638,3.736) | (0,0,0) | (0,1.3,3.736) | (0,1.218,3.068) | (0,1.218,3.068) | (0,1.218,3.068) | (0,1.218,3.068) |
| C5 | (0,0.89,1.8) | (0,1.638,3.736) | (0,2.002,3.736) | (0.802,2.559,3.736) | (0,0,0) | (0,1.875,3.736) | (0,2.064,3.736) | (0,2.064,3.736) | (0,2.064,3.736) |
| C6 | (0,0.89,1.8) | (0,3.394,3.736) | (0.802,3.736,3.736) | (0.6,2.325,3.736) | (0.802,3.736,3.736) | (0,0,0) | (0.802,3.394,3.736) | (0.802,3.394,3.736) | (0.802,3.394,3.736) |
| C7 | (0,0.819,1.868) | (0,1.3,3.736) | (0,0,3.736) | (0,1.3,3.736) | (0,2.002,3.736) | (0,2.002,3.736) | (0,0,0) | (0.802,2.965,3.736) | (0.802,2.965,3.736) |
| C8 | (0,0.951,1.868) | (0,2.325,3.736) | (0.6,2.559,3.736) | (0.802,2.929,3.736) | (0.802,3.736,3.736) | (0.802,2.965,3.736) | (0.802,2.965,3.736) | (0,0,0) | (0,0.819,1.868) |
| C9 | (0,2.204,3.736) | (0,2.204,3.736) | (0,2.204,3.736) | (0,1.279,3.736) | (0,1.279,3.736) | (0,0.819,1.868) | (0,0.819,1.868) | (0,0.819,1.868) | (0,0,0) |
| C1 | C2 | C3 | C4 | C5 | C6 | C7 | C8 | C9 | |
|---|---|---|---|---|---|---|---|---|---|
| C1 | 0 | 1.194 | 0.897 | 0.897 | 0.897 | 1.251 | 1.748 | 1.748 | 1.748 |
| C2 | 0.6 | 0 | 1.679 | 1.791 | 1.679 | 0.767 | 0.767 | 0.767 | 0.767 |
| C3 | 0.897 | 1.821 | 0 | 1.821 | 1.933 | 1.748 | 1.748 | 1.748 | 1.748 |
| C4 | 0.897 | 1.791 | 1.791 | 0 | 1.679 | 1.429 | 1.429 | 1.429 | 1.429 |
| C5 | 0.897 | 1.791 | 1.913 | 2.366 | 0 | 1.87 | 1.933 | 1.933 | 1.933 |
| C6 | 0.897 | 2.377 | 2.757 | 2.22 | 2.757 | 0 | 2.644 | 2.644 | 2.644 |
| C7 | 0.896 | 1.679 | 1.245 | 1.679 | 1.913 | 1.913 | 0 | 2.501 | 2.501 |
| C8 | 0.94 | 2.037 | 2.298 | 2.489 | 2.757 | 2.501 | 2.501 | 0 | 0.896 |
| C9 | 2.047 | 2.047 | 2.047 | 1.672 | 1.672 | 0.896 | 0.896 | 0.896 | 0 |
| C1 | C2 | C3 | C4 | C5 | C6 | C7 | C8 | C9 | |
|---|---|---|---|---|---|---|---|---|---|
| C1 | 0.000 | 0.063 | 0.047 | 0.047 | 0.047 | 0.066 | 0.092 | 0.092 | 0.092 |
| C2 | 0.032 | 0.000 | 0.089 | 0.095 | 0.089 | 0.040 | 0.040 | 0.040 | 0.040 |
| C3 | 0.047 | 0.096 | 0.000 | 0.096 | 0.102 | 0.092 | 0.092 | 0.092 | 0.092 |
| C4 | 0.047 | 0.095 | 0.095 | 0.000 | 0.089 | 0.075 | 0.075 | 0.075 | 0.075 |
| C5 | 0.047 | 0.095 | 0.101 | 0.125 | 0.000 | 0.099 | 0.102 | 0.102 | 0.102 |
| C6 | 0.047 | 0.126 | 0.146 | 0.117 | 0.146 | 0.000 | 0.140 | 0.140 | 0.140 |
| C7 | 0.047 | 0.089 | 0.066 | 0.089 | 0.101 | 0.101 | 0.000 | 0.132 | 0.132 |
| C8 | 0.050 | 0.108 | 0.121 | 0.131 | 0.146 | 0.132 | 0.132 | 0.000 | 0.047 |
| C9 | 0.108 | 0.108 | 0.108 | 0.088 | 0.088 | 0.047 | 0.047 | 0.047 | 0.000 |
| C1 | C2 | C3 | C4 | C5 | C6 | C7 | C8 | C9 | |
|---|---|---|---|---|---|---|---|---|---|
| C1 | 0.099 | 0.234 | 0.220 | 0.224 | 0.228 | 0.210 | 0.245 | 0.245 | 0.245 |
| C2 | 0.113 | 0.147 | 0.229 | 0.238 | 0.234 | 0.165 | 0.174 | 0.174 | 0.174 |
| C3 | 0.170 | 0.311 | 0.223 | 0.317 | 0.325 | 0.273 | 0.288 | 0.288 | 0.288 |
| C4 | 0.155 | 0.283 | 0.283 | 0.202 | 0.286 | 0.237 | 0.250 | 0.250 | 0.250 |
| C5 | 0.180 | 0.328 | 0.333 | 0.359 | 0.251 | 0.294 | 0.312 | 0.312 | 0.312 |
| C6 | 0.217 | 0.418 | 0.434 | 0.419 | 0.447 | 0.260 | 0.402 | 0.402 | 0.402 |
| C7 | 0.180 | 0.321 | 0.302 | 0.326 | 0.341 | 0.294 | 0.218 | 0.335 | 0.335 |
| C8 | 0.196 | 0.369 | 0.380 | 0.397 | 0.413 | 0.350 | 0.368 | 0.252 | 0.297 |
| C9 | 0.207 | 0.289 | 0.288 | 0.276 | 0.277 | 0.207 | 0.220 | 0.220 | 0.175 |
| Factor | Weight | Ranking | ||||
|---|---|---|---|---|---|---|
| C1 | 1.948 | 1.519 | 3.467 | 0.429 | 0.0781 | 9 |
| C2 | 1.647 | 2.699 | 4.347 | −1.052 | 0.0979 | 8 |
| C3 | 2.483 | 2.692 | 5.174 | −0.209 | 0.1166 | 4 |
| C4 | 2.195 | 2.757 | 4.952 | −0.562 | 0.1116 | 6 |
| C5 | 2.681 | 2.800 | 5.481 | −0.119 | 0.1235 | 3 |
| C6 | 3.402 | 2.290 | 5.692 | 1.111 | 0.1283 | 1 |
| C7 | 2.651 | 2.477 | 5.128 | 0.174 | 0.1156 | 5 |
| C8 | 3.022 | 2.477 | 5.499 | 0.545 | 0.1239 | 2 |
| C9 | 2.160 | 2.477 | 4.637 | −0.318 | 0.1045 | 7 |
| C1 | C2 | C3 | C4 | C5 | C6 | C7 | C8 | C9 | |
|---|---|---|---|---|---|---|---|---|---|
| C1 | 0 | 0 | 0 | 0 | 0 | 0 | 0 | 0 | 0 |
| C2 | 0 | 0 | 0 | 0 | 0 | 0 | 0 | 0 | 0 |
| C3 | 0 | 1 | 0 | 1 | 1 | 0 | 1 | 1 | 1 |
| C4 | 0 | 1 | 1 | 0 | 1 | 0 | 0 | 0 | 0 |
| C5 | 0 | 1 | 1 | 1 | 0 | 1 | 1 | 1 | 1 |
| C6 | 0 | 1 | 1 | 1 | 1 | 0 | 1 | 1 | 1 |
| C7 | 0 | 1 | 1 | 1 | 1 | 1 | 0 | 1 | 1 |
| C8 | 0 | 1 | 1 | 1 | 1 | 1 | 1 | 0 | 1 |
| C9 | 0 | 1 | 1 | 1 | 1 | 0 | 0 | 0 | 0 |
| C1 | C2 | C | C4 | C5 | C6 | C7 | C8 | C9 | |
|---|---|---|---|---|---|---|---|---|---|
| C1 | 0 | 0 | 0 | 0 | 0 | 0 | 0 | 0 | 0 |
| C2 | 0 | 0 | 0 | 0 | 0 | 0 | 0 | 0 | 0 |
| C3 | 0 | 0 | 0 | 0 | 0 | 0 | 0 | 0 | 0 |
| C4 | 0 | 0 | 0 | 0 | 0 | 0 | 0 | 0 | 0 |
| C5 | 0 | 0 | 0 | 0 | 0 | 0 | 0 | 0 | 0 |
| C6 | 0 | 1 | 1 | 1 | 1 | 0 | 1 | 1 | 1 |
| C7 | 0 | 0 | 0 | 0 | 0 | 0 | 0 | 0 | 0 |
| C8 | 0 | 0 | 1 | 1 | 1 | 0 | 0 | 0 | 0 |
| C9 | 0 | 0 | 0 | 0 | 0 | 0 | 0 | 0 | 0 |
| C1 | C2 | C3 | C4 | C5 | C6 | C7 | C8 | C9 | |
|---|---|---|---|---|---|---|---|---|---|
| C1 | 0.489 | 0.647 | 0.632 | 0.707 | 0.704 | 0.645 | 0.536 | 0.694 | 0.546 |
| C2 | 0.642 | 0.657 | 0.747 | 0.836 | 0.838 | 0.693 | 0.582 | 0.777 | 0.673 |
| C3 | 0.567 | 0.689 | 0.542 | 0.742 | 0.727 | 0.584 | 0.467 | 0.692 | 0.583 |
| C4 | 0.650 | 0.787 | 0.712 | 0.717 | 0.820 | 0.704 | 0.566 | 0.800 | 0.646 |
| C5 | 0.567 | 0.653 | 0.624 | 0.745 | 0.602 | 0.583 | 0.463 | 0.716 | 0.519 |
| C6 | 0.509 | 0.549 | 0.524 | 0.649 | 0.577 | 0.442 | 0.414 | 0.633 | 0.456 |
| C7 | 0.638 | 0.765 | 0.718 | 0.830 | 0.826 | 0.670 | 0.470 | 0.781 | 0.556 |
| C8 | 0.533 | 0.625 | 0.591 | 0.712 | 0.710 | 0.571 | 0.467 | 0.562 | 0.471 |
| C9 | 0.576 | 0.651 | 0.636 | 0.686 | 0.692 | 0.593 | 0.494 | 0.658 | 0.452 |
| Weight | Ranking | |||||
|---|---|---|---|---|---|---|
| C1 | 5.600 | 5.171 | 10.771 | 0.430 | 0.1052 | 6 |
| C2 | 6.445 | 6.023 | 12.467 | 0.422 | 0.1218 | 2 |
| C3 | 5.592 | 5.725 | 11.318 | −0.133 | 0.1105 | 5 |
| C4 | 6.402 | 6.624 | 13.026 | −0.222 | 0.1272 | 1 |
| C5 | 5.470 | 6.496 | 11.966 | −1.026 | 0.1169 | 3 |
| C6 | 4.754 | 5.484 | 10.237 | −0.730 | 0.1000 | 9 |
| C7 | 6.253 | 4.459 | 10.712 | 1.794 | 0.1046 | 7 |
| C8 | 5.243 | 6.312 | 11.555 | −1.069 | 0.1129 | 4 |
| C9 | 5.438 | 4.904 | 10.343 | 0.534 | 0.1010 | 8 |
| C1 | C2 | C3 | C4 | C5 | C6 | C7 | C8 | C9 | |
|---|---|---|---|---|---|---|---|---|---|
| C1 | 0 | 1 | 1 | 1 | 1 | 1 | 0 | 1 | 0 |
| C2 | 1 | 1 | 1 | 1 | 1 | 1 | 0 | 1 | 1 |
| C3 | 0 | 1 | 0 | 1 | 1 | 0 | 0 | 1 | 0 |
| C4 | 1 | 1 | 1 | 1 | 1 | 1 | 0 | 1 | 1 |
| C5 | 0 | 1 | 0 | 1 | 0 | 0 | 0 | 1 | 0 |
| C6 | 0 | 0 | 0 | 1 | 0 | 0 | 0 | 1 | 0 |
| C7 | 1 | 1 | 1 | 1 | 1 | 1 | 0 | 1 | 0 |
| C8 | 0 | 0 | 0 | 1 | 1 | 0 | 0 | 0 | 0 |
| C9 | 0 | 1 | 1 | 1 | 1 | 0 | 0 | 1 | 0 |
| C1 | C2 | C3 | C4 | C5 | C6 | C7 | C8 | C9 | |
|---|---|---|---|---|---|---|---|---|---|
| C1 | 0 | 0 | 0 | 0 | 0 | 0 | 0 | 0 | 0 |
| C2 | 0 | 0 | 1 | 1 | 1 | 0 | 0 | 1 | 0 |
| C3 | 0 | 0 | 0 | 1 | 0 | 0 | 0 | 0 | 0 |
| C4 | 0 | 1 | 1 | 0 | 1 | 0 | 0 | 1 | 0 |
| C5 | 0 | 0 | 0 | 1 | 0 | 0 | 0 | 0 | 0 |
| C6 | 0 | 0 | 0 | 0 | 0 | 0 | 0 | 0 | 0 |
| C7 | 0 | 1 | 0 | 1 | 1 | 0 | 0 | 1 | 0 |
| C8 | 0 | 0 | 0 | 0 | 0 | 0 | 0 | 0 | 0 |
| C9 | 0 | 0 | 0 | 0 | 0 | 0 | 0 | 0 | 0 |
| Codes | Factors | Institution A Ranking | Institution B Ranking | Difference |
|---|---|---|---|---|
| C1 | 3D printing technology | 9 | 6 | 3 |
| C2 | Sensors | 8 | 2 | 6 |
| C3 | Global positioning system | 4 | 5 | 1 |
| C4 | Smart clinics and urgent care centers | 6 | 1 | 5 |
| C5 | Telemedicine | 3 | 3 | 0 |
| C6 | Internet of things | 1 | 9 | 8 |
| C7 | Smart medical talent acquisition | 5 | 7 | 2 |
| C8 | Electronic medical records | 2 | 4 | 2 |
| C9 | Assistive smart wheelchair | 7 | 8 | 1 |
Disclaimer/Publisher’s Note: The statements, opinions and data contained in all publications are solely those of the individual author(s) and contributor(s) and not of MDPI and/or the editor(s). MDPI and/or the editor(s) disclaim responsibility for any injury to people or property resulting from any ideas, methods, instructions or products referred to in the content. |
© 2024 by the authors. Licensee MDPI, Basel, Switzerland. This article is an open access article distributed under the terms and conditions of the Creative Commons Attribution (CC BY) license (https://creativecommons.org/licenses/by/4.0/).
Share and Cite
Chen, C.-T.; Chu, C.-C. A Fuzzy Method for Exploring Key Factors of Smart Healthcare to Long-Term Care Based on Z-Numbers. Mathematics 2024, 12, 3471. https://doi.org/10.3390/math12223471
Chen C-T, Chu C-C. A Fuzzy Method for Exploring Key Factors of Smart Healthcare to Long-Term Care Based on Z-Numbers. Mathematics. 2024; 12(22):3471. https://doi.org/10.3390/math12223471
Chicago/Turabian StyleChen, Chen-Tung, and Chien-Chi Chu. 2024. "A Fuzzy Method for Exploring Key Factors of Smart Healthcare to Long-Term Care Based on Z-Numbers" Mathematics 12, no. 22: 3471. https://doi.org/10.3390/math12223471
APA StyleChen, C.-T., & Chu, C.-C. (2024). A Fuzzy Method for Exploring Key Factors of Smart Healthcare to Long-Term Care Based on Z-Numbers. Mathematics, 12(22), 3471. https://doi.org/10.3390/math12223471

