A Novel Fourth-Order Finite Difference Scheme for European Option Pricing in the Time-Fractional Black–Scholes Model
Abstract
1. Introduction
2. TFPS for a Time-Fractional B-S Model
2.1. The Main Idea of TFPS for Convection–Diffusion Equations
2.2. Fourth-Order TFPS for Convection–Diffusion Equations
2.3. Temporal Discretization
2.4. Fourth Order TFPS for the Time-Fractional Black–Scholes Model
3. Theoretical Analysis of the Fourth-Order TFPS
3.1. The Local Truncation Error
3.2. Stability Analysis for Constant Coefficients
3.3. Convergence Analysis of TFPS
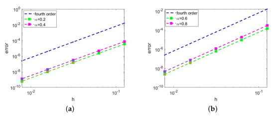
4. Numerical Example
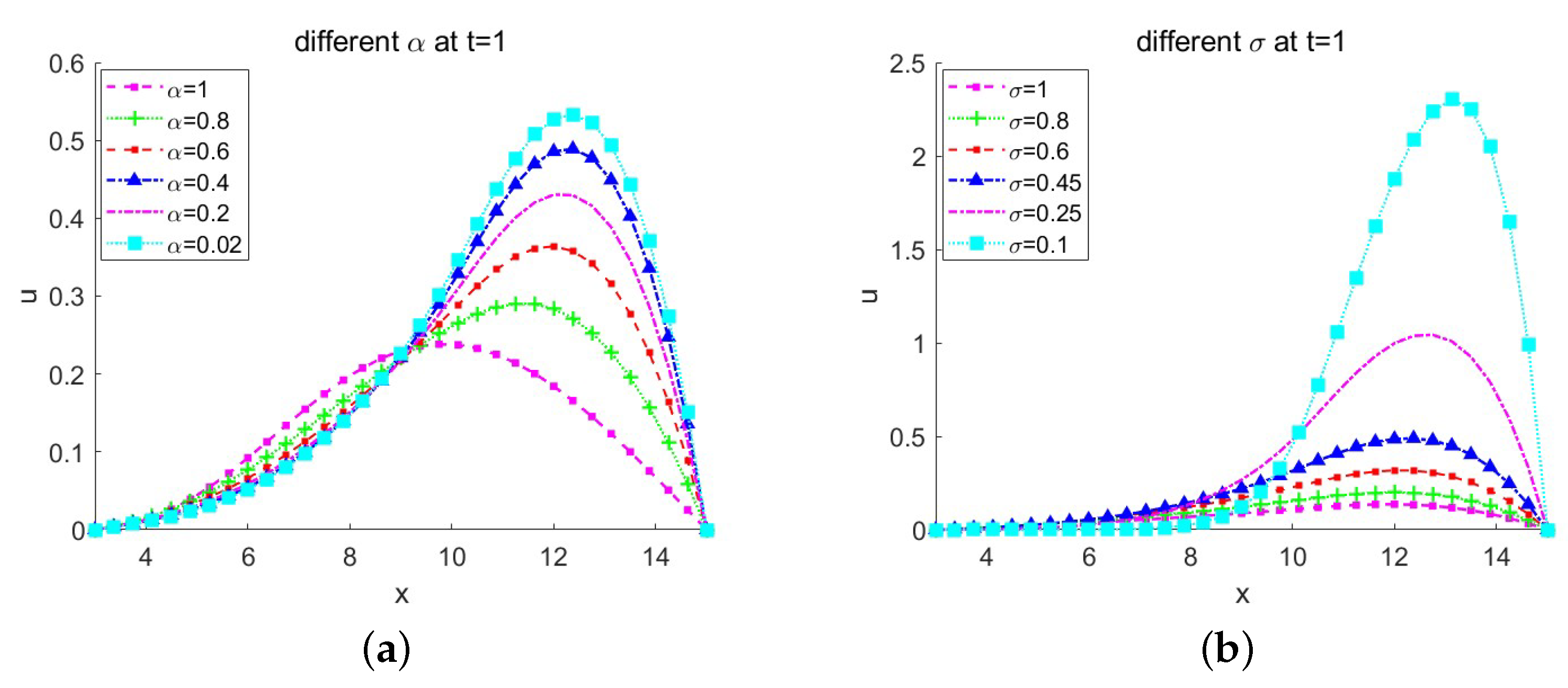
- Impact of Time-Fractional Derivatives: The numerical solution of the call option and put option price for varying are depicted in Figure 6. Figure 6 illustrates how time-fractional derivatives notably affect option prices, particularly around the at-the-money region . However, their impact diminishes for options that are either deeply out-of-the-money or deeply in-the-money.
- Volatility Influence: The effect of the stock price’s volatility on option prices when , and for different is shown in Figure 7a,b. Reflecting real-world dynamics, higher volatility leads to higher potential gains, as evidenced by the larger option prices when the stock price is close to the exercise price.
- Risk-Free Interest Rates: The role of risk-free interest rates on option pricing with , , , and across different values of r (0.005, 0.05, 0.1, 0.2, 0.3, 0.4) is portrayed in Figure 7c,d. These figures indicate that higher interest rates tend to increase call option prices while decreasing put option prices.
- Strike Price Effect: The change in option price due to the strike price is presented in Figure 7e,f. This illustrates that higher strike prices result in lower call option values, whereas increasing strike prices lead to escalating put option prices.
- Expiration Date Impact:Figure 8 explores how the expiration date influences call and put option prices. When the stock price significantly exceeds the strike price, a call option featuring a shorter expiration period assumes greater value compared to an option with a longer tenure; conversely, a put option endowed with a longer expiration horizon is more beneficial. In instances where the stock price significantly undershoots the strike, a call option possessing a longer expiration and a put option with a shorter expiry prove more favorable.
5. Conclusions
Author Contributions
Funding
Data Availability Statement
Acknowledgments
Conflicts of Interest
References
- Black, F.; Scholes, M. The pricing of options and corporate liabilities. J. Political Econ. 1973, 81, 637–654. [Google Scholar] [CrossRef]
- Merton, R.C. Theory of rational option pricing. Bell J. Econ. Manag. Sci. 1973, 4, 141–183. [Google Scholar] [CrossRef]
- Carr, P.; Wu, L. The finite moment log stable process and option pricing. J. Financ. 2003, 58, 753–777. [Google Scholar] [CrossRef]
- Wyss, W. The fractional Black–Scholes equation. Fract. Calc. Appl. Anal. 2000, 3, 51–61. [Google Scholar]
- Podlubny, I. Fractional Differential Equations; Academic Press: San Diego, CA, USA, 1999. [Google Scholar]
- Jumarie, G. Stock exchange fractional dynamics defined as fractional exponential growth driven by (usual) gaussian white noise. Application to fractional Black–Scholes equations. Insur. Math. Econ. 2008, 42, 271–287. [Google Scholar] [CrossRef]
- Liang, J.R.; Wang, J.; Zhang, W.J.; Qiu, W.Y.; Ren, F.Y. Option pricing of a bi-fractional Black-Merton-Scholes model with the hurst exponent h in [12, 1]. Appl. Math. Lett. 2010, 23, 859–863. [Google Scholar] [CrossRef]
- Zhang, H.; Liu, F.; Turner, I.; Chen, S. The numerical simulation of the tempered fractional Black–Scholes equation for european double barrier option. Appl. Math. Model. 2016, 40, 5819–5834. [Google Scholar] [CrossRef]
- Tian, Z.W.; Zhai, S.Y.; Weng, Z.F. Compact finite difference schemes of the time-fractional Black–Scholes model. J. Appl. Anal. Comput. 2020, 10, 904–919. [Google Scholar] [CrossRef]
- Nuugulu, S.M.; Gideon, F.; Patidar, K.C. A robust numerical scheme for a time-fractional Black–Scholes partial differential equation describing stock exchange dynamics. Chaos Solitons Fractals 2021, 145, 110753. [Google Scholar] [CrossRef]
- Roul, P.; Goura, V.M.K.P. A compact finite difference scheme for fractional Black–Scholes option pricing model. Appl. Numer. Math. 2021, 166, 40–60. [Google Scholar] [CrossRef]
- Abdi, N.; Aminikhah, H.; Sheikhani, A.H.R. High-order compact finite difference schemes for the time-fractional Black–Scholes model governing European options. Chaos Solitons Fractals 2022, 162, 112423. [Google Scholar] [CrossRef]
- Golbabai, A.; Nikan, O.; Nikazad, T. Numerical analysis of time-fractional Black–Scholes european option pricing model arising in financial market. Comput. Appl. Math. 2019, 38, 173. [Google Scholar] [CrossRef]
- Golbabai, A.; Nikan, O. A computational method based on the moving least-squares approach for pricing double barrier options in a time-fractional Black–Scholes model. Comput. Econ. 2020, 55, 119–141. [Google Scholar] [CrossRef]
- Akram, T.; Abbas, M.; Abualnaja, K.; Iqbal, A.; Majeed, A. An efficient numerical technique based on the extended cubic B-spline functions for solving time fractional Black–Scholes model. Eng. Comput. 2021, 12, 1–12. [Google Scholar] [CrossRef]
- An, X.; Liu, F.; Zheng, M.; Anh, V.; Turner, I. A space-time spectral method for time-fractional Black-Bcholes equation. Appl. Numer. Math. 2021, 165, 152–166. [Google Scholar] [CrossRef]
- Zhang, H.; Liu, F.; Turner, I.; Yang, Q. Numerical solution of the time-fractional Black–Scholes model governing european options. Comput. Math. Appl. 2016, 71, 1772–1783. [Google Scholar] [CrossRef]
- Staelen, R.H.D.; Hendy, A.S. Numerically pricing double barrier options in a time-fractional Black–Scholes model. Comput. Math. Appl. 2017, 74, 1166–1175. [Google Scholar] [CrossRef]
- Li, C.P.; Cai, M. Theory and Numerical Approximations of Fractional Integrals and Derivatives; SIAM: Philadelphia, PA, USA, 2019. [Google Scholar]
- Li, C.P.; Wang, Z. Numerical methods for the time-fractional convection-diffusion-reaction equation. Numer. Funct. Anal. Optim. 2021, 42, 1115–1153. [Google Scholar] [CrossRef]
- Yang, Z.; Zeng, F. A Corrected L1 Method for a Time-Fractional Subdiffusion Equation. J. Sci. Comput. 2023, 95, 85. [Google Scholar] [CrossRef]
- Yang, Z.; Zeng, F. A linearly stabilized convolution quadrature method for the time-fractional Allen-Cahn equation. Appl. Math. Lett. 2023, 144, 108698. [Google Scholar] [CrossRef]
- Roul, P.; Goura, V.M.K.P. A sixth order numerical method and its convergence for generalized Black–Scholes PDE. J. Comput. Appl. Math. 2020, 377, 112881. [Google Scholar] [CrossRef]
- Jin, B.; Lazarovb, R.; Liu, Y.; Zhou, Z. The galerkin finite element method for a multi-term time-fractional diffusion equation. J. Comput. Phys. 2015, 281, 825–843. [Google Scholar] [CrossRef]
- Wang, H.; Cheng, A.; Wang, K. Fast finite volume methods for space-fractional diffusion equations. Discret. Contin. Dyn. Syst. Ser. B 2015, 20, 1427–1441. [Google Scholar] [CrossRef]
- Lin, Y.M.; Xu, C.J. Finite difference/spectral approximations for the time-fractional diffusion equation. J. Comput. Phys. 2007, 225, 1533–1552. [Google Scholar] [CrossRef]
- Taghipour, M.; Aminikhah, H. A spectral collocation method based on fractional Pell functions for solving time–fractional Black–Scholes option pricing model. Chaos Solitons Fractals 2022, 163, 112571. [Google Scholar] [CrossRef]
- Li, C.P.; Wang, Z. The local discontinuous galerkin finite element methods for caputo-type partial differential equations: Mathematical analysis. Appl. Numer. Math. 2020, 150, 587–606. [Google Scholar] [CrossRef]
- Gu, Y.; Sun, H.G. A meshless method for solving three-dimensional time-fractional diffusion equation with variable-order derivatives. Appl. Math. Model. 2020, 78, 539–549. [Google Scholar] [CrossRef]
- Wang, Y.H.; Cao, J.X.; Fu, J. Tailored finite point method for time-fractional convection dominated diffusion problems with boundary layers. Math. Methods Appl. Sci. 2020, 47, 11044–11061. [Google Scholar] [CrossRef]
- Wang, H.; Cao, J.X. A tailored finite point method for subdiffusion equation with anisotropic and discontinuous diffusivity. Appl. Math. Comput. 2021, 401, 125907. [Google Scholar] [CrossRef]
- Han, H.; Huang, Z.Y.; Kellogg, B. A tailored finite point method for a singular perturbation problem on an unbounded domain. J. Sci. Comput. 2008, 36, 243–261. [Google Scholar] [CrossRef]
- Han, H.; Huang, Z.Y. Tailored finite point method based on exponential bases for convection-diffusion-reaction equation. Math. Comput. 2013, 82, 213–226. [Google Scholar] [CrossRef]
- Han, H.; Huang, Z.Y.; Ying, W.J. A semi-discrete tailored finite point method for a class of anisotropic diffusion problems. Comput. Math. Appl. 2013, 65, 1760–1774. [Google Scholar] [CrossRef]
- Zhou, J.F.; Gu, X.M.; Zhao, Y.L.; Li, H. A Fast Compact Difference Scheme with Unequal Time-Steps for the Tempered Time-Fractional Black–Scholes Model. Int. J. Comput. Math. 2023, 101, 989–1011. [Google Scholar] [CrossRef]
- Gu, X.M.; Wu, S.L. A Parallel-in-time Iterative Algorithm for Volterra Partial Integro-Differential Problems with Weakly Singular Kernel. J. Comput. Phys. 2020, 417, 109576. [Google Scholar] [CrossRef]








| 0.2 | 0.4 | 0.6 | 0.8 | |
|---|---|---|---|---|
| 1/8 | ||||
| 1/16 | ||||
| 1/32 | ||||
| 1/64 | ||||
| 1/128 |
| 1/8 | ||||
| 1/16 | ||||
| 1/32 | ||||
| 1/64 | ||||
| 1/128 |
Disclaimer/Publisher’s Note: The statements, opinions and data contained in all publications are solely those of the individual author(s) and contributor(s) and not of MDPI and/or the editor(s). MDPI and/or the editor(s) disclaim responsibility for any injury to people or property resulting from any ideas, methods, instructions or products referred to in the content. |
© 2024 by the authors. Licensee MDPI, Basel, Switzerland. This article is an open access article distributed under the terms and conditions of the Creative Commons Attribution (CC BY) license (https://creativecommons.org/licenses/by/4.0/).
Share and Cite
Cai, X.; Wang, Y. A Novel Fourth-Order Finite Difference Scheme for European Option Pricing in the Time-Fractional Black–Scholes Model. Mathematics 2024, 12, 3343. https://doi.org/10.3390/math12213343
Cai X, Wang Y. A Novel Fourth-Order Finite Difference Scheme for European Option Pricing in the Time-Fractional Black–Scholes Model. Mathematics. 2024; 12(21):3343. https://doi.org/10.3390/math12213343
Chicago/Turabian StyleCai, Xin, and Yihong Wang. 2024. "A Novel Fourth-Order Finite Difference Scheme for European Option Pricing in the Time-Fractional Black–Scholes Model" Mathematics 12, no. 21: 3343. https://doi.org/10.3390/math12213343
APA StyleCai, X., & Wang, Y. (2024). A Novel Fourth-Order Finite Difference Scheme for European Option Pricing in the Time-Fractional Black–Scholes Model. Mathematics, 12(21), 3343. https://doi.org/10.3390/math12213343

