The Impact of Thermal Radiation on Mixed Convective Unsteady Nanofluid Flow in a Revolving Vertical Cone
Abstract
1. Introduction
2. Governing Equations
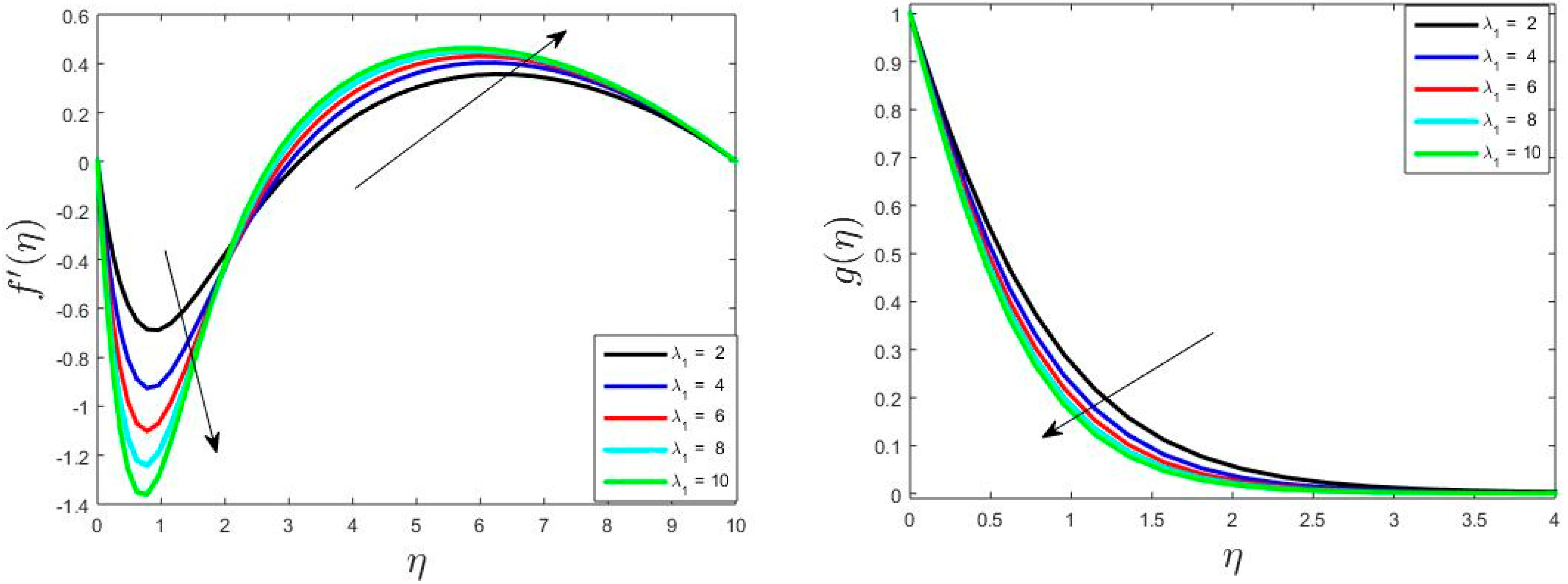
3. Results and Discussion
4. Conclusions
- ➢
- Increase of temperature by 40% by increasing Nb from 0.4 to 2, also reflects slower movement with more solute effect.
- ➢
- Improving the thermophoresis parameter (Nt) leads to an increase in velocity and temperature, but a decrease in solutal parameters.
- ➢
- A higher thermal buoyancy parameter decreases the non-dimensional circumferential flow and temperature profile.
- ➢
- Enhancing thermal buoyancy parameter increases the dimensionless tangential swiftness and solutal profiles.
- ➢
- The growing standards of the solutal buoyancy parameter discriminates the circumferential speed, temperature, and solutal profile.
- ➢
- Increasing the thermal Biot coefficient (Bit) enhances the heat profile while decreasing the solutal profile of the fluid.
- ➢
- Improving the solutal Biot coefficient (Bic) enhances the temperature outline while decreasing the fluid’s solute profile.
Author Contributions
Funding
Data Availability Statement
Conflicts of Interest
References
- Chamkha, A.J.; Khaled, A.R.A. Similarity solutions for hydromagnetic mixed convection heat and mass transfer for Hiemenz flow through porous media. Int. J. Numer. Methods Heat Fluid Flow 2000, 10, 94. [Google Scholar] [CrossRef]
- Abolbashari, M.H.; Freidoonimehr, N.; Nazari, F.; Rashidi, M.M. Analytical Modelling of Entropy Generation for Casson Nano-fluid Flow Induced by a Stretching Surface. Adv. Powder Technol. 2015, 26, 542–552. [Google Scholar] [CrossRef]
- Mishra, S.; Mondal, H.; Kundu, P.K. Analysis of Activation Energy and Microbial Activity on Couple Stressed Nanofluid with Heat Generation. Int. J. Ambient Energy 2024, 45, 2266429. [Google Scholar] [CrossRef]
- Al-Rashed, A.A.; Kalidasan, K.; Kolsi, L.; Velkennedy, R.; Aydi, A.; Hussein, A.K.; Malekshah, E.H. Mixed Convection and Entropy Generation in a Nanofluid Filled Cubical Open Cavity with a Central Isothermal Block. Int. J. Mech. Sci. 2018, 135, 362–375. [Google Scholar] [CrossRef]
- Manjunatha, G.; Rajashekhar, C.; Vaidya, H.; Prasad, K.V.; Saraswati; Divya, B.B. Heat transfer analysis on peristaltic transport of a jeffery fluid in an inclined elastic tube with porous walls. Int. J. Thermofluid Sci. Technol. 2020, 7, 20070101. [Google Scholar] [CrossRef]
- Dhlamini, M.; Mondal, H.; Sibanda, P.; Motsa, S. Activation energy and entropy generation in viscous nanofluid with higher order chemically reacting species. Int. J. Ambient Energy 2022, 43, 1495–1507. [Google Scholar] [CrossRef]
- Mishra, S.; Mondal, H.; Kundu, P.K. Analysis of Williamson Fluid of Hydromagnetic Nanofluid Flow in the Presence of Viscous Dissipation over a Stretching Surface Under Radiative Heat Flux. Int. J. Appl. Comput. Math. 2023, 9, 58. [Google Scholar] [CrossRef]
- Dhlamini, M.; Mondal, H.; Sibanda, P.; Motsa, S. Numerical analysis of couple stress nanofluid in temperature dependent viscosity and thermal conductivity. Int. J. Appl. Comput. Math. 2021, 7, 1–14. [Google Scholar]
- Musa, A.; Hamid, A.; Yasir, M.; Hussain, M. Effect of nonlinear thermal radiation and melting heat transfer assessment on magneto-nanofluid through a shrinking surface. Waves Random Complex Media 2022, 1–18. [Google Scholar] [CrossRef]
- Jayarami, K.; Madhusudhana, N.P.; Ramakrishna, K.; Abhishek, D. Effect of non-uniform heat source/sink on MHD boundary layer flow and melting heat transfer of Williamson nanofluid in porous medium. Multidiscip. Model. Mater. Struct. 2018, 15, 452–472. [Google Scholar]
- Shi, Q.-H.; Khan, M.N.; Abbas, N.; Khan, M.; Alzahrani, F. Heat and mass transfer analysis in the MHD flow of radiative Maxwell nanofluid with non-uniform heat source/sink. Waves Random Complex Media 2021, 1–24. [Google Scholar] [CrossRef]
- Thumma, T.; Mishra, S.R. Effect of nonuniform haet source/sink, and viscous and Joule dissipation on 3D Eyring—Powell nanofluid flow over a stretching sheet. J. Comput. Des. Eng. 2020, 7, 412–426. [Google Scholar]
- Kairi, R.R. Viscosity and dispersion effects on natural convection from a vertical cone in a non-Newtonian fluid saturated porous medium. Therm. Sci. 2011, 15, 307–316. [Google Scholar] [CrossRef]
- Nasser, I.; Duwairi, H.M. Thermal dispersion effects on convection heat transfer in porous media with viscous dissipation. Int. J. Heat Technol. 2016, 34, 207–212. [Google Scholar]
- Bhatti, M.M.; Marin, M.; Zeeshan, A.; Ellahi, R.; Abdelsalam, S.I. Swimming of motile gyrotactic microorganisms and nanoparticles in blood flow through anisotropically tapered arteries. Front. Phys. 2020, 8, 95. [Google Scholar] [CrossRef]
- Khashi’ie, N.S.; Arifin, N.M.; Pop, I. Non-darcy mixed convection of hybrid nanofluid with thermal dispersion along a vertical plate embedded in a porous medium. Int. Commun. Heat Mass Transf. 2020, 118, 104866. [Google Scholar] [CrossRef]
- Aghbari, A.; Agha, H.A.; Sadaoui, D. Soret-dufour effect on mixed convection past a vertical plate in non-darcy porous medium saturated with buongiorno nanofluid in the presence of thermal dispersion. J. Mech. 2019, 35, 851–862. [Google Scholar]
- Mondal, H.; Mishra, S.; Kundu, P.K.; Sibanda, P. Entropy generation of variable viscosity and thermal radiation on magnato nanofluid flow with dusty fluid. J. Appl. Comput. Mech. 2020, 6, 171–182. [Google Scholar]
- Meena, O.P. Mixed convection flow over a vertical cone with double dispersion and chemical reaction effects. Heat Transf. 2021, 50, 4516–4534. [Google Scholar] [CrossRef]
- Atashafrooz, M.; Sajjadi, H.; Delouei, A.A. Simulation of combined convective-radiative heat transfer of hybrid nanofluid flowinside an open trapezoidal enclosure considering the magnetic force impacts. J. Magn. Magn. Mater. 2023, 567, 170354. [Google Scholar] [CrossRef]
- Sheikholeslami, M.; Sajjadi, H.; Delouei, A.A.; Atashafrooz, M.; Li, Z. Magnetic force and radiation influences on nanofluid transportation through a permeable media considering Al2O3 nanoparticles. J. Therm. Anal. Calorim. 2019, 136, 2477–2485. [Google Scholar] [CrossRef]
- Rashidi, M.M.; Freidoonimehr, A.M.; Rostami, B.; Hossain, M.A. Mixed convective heat transfer for MHD viscoelastic fluid flow over a porous wedge with thermal radiation. Adv. Mech. Eng. 2014, 10, 735939. [Google Scholar] [CrossRef]
- Makinde, O.D.; Ogulu, A. The effect of thermal radiation on the heat and mass transfer flow of a variable viscosity fluid past a vertical porous plate permeated by a transverse magnetic field. Chem. Eng. Commun. 2008, 195, 1575–1584. [Google Scholar] [CrossRef]
- Hayat, T.; Shafiq, A.; Alsaedi, A. Effect of Joule heating and thermal radiation in flow of third-grade fluid over radiative surface. PLoS ONE 2014, 9, e83153. [Google Scholar] [CrossRef] [PubMed]
- Motsumi, T.G.; Makinde, O.D. Effects of thermal radiation and viscous dissipation on boundary layer flow of nanofluids over a permeable moving flat plate. Phys. Scr. 2012, 86, 045003. [Google Scholar] [CrossRef]
- Makinde, O.D. MHD mixed-convection interaction with thermal radiation and nth order chemical reaction past a vertical porous plate embedded in a porous medium. Chem. Eng. Commun. 2011, 198, 590–608. [Google Scholar] [CrossRef]
- Takhar, H.S.; Chamkha, A.J.; Nath, G. Unsteady mixed convection flow from a rotating vertical cone with a magnetic field. Heat Mass Transf. 2003, 39, 297–304. [Google Scholar] [CrossRef]
- Nadeem, S.; Saleem, S. Unsteady mixed convection flow of nanofluid on a rotating cone with magnetic field. Appl. Nanosci. 2014, 4, 405–414. [Google Scholar] [CrossRef]










Disclaimer/Publisher’s Note: The statements, opinions and data contained in all publications are solely those of the individual author(s) and contributor(s) and not of MDPI and/or the editor(s). MDPI and/or the editor(s) disclaim responsibility for any injury to people or property resulting from any ideas, methods, instructions or products referred to in the content. |
© 2024 by the authors. Licensee MDPI, Basel, Switzerland. This article is an open access article distributed under the terms and conditions of the Creative Commons Attribution (CC BY) license (https://creativecommons.org/licenses/by/4.0/).
Share and Cite
Mishra, S.; Mondal, H.; Behl, R.; Salimi, M. The Impact of Thermal Radiation on Mixed Convective Unsteady Nanofluid Flow in a Revolving Vertical Cone. Mathematics 2024, 12, 349. https://doi.org/10.3390/math12020349
Mishra S, Mondal H, Behl R, Salimi M. The Impact of Thermal Radiation on Mixed Convective Unsteady Nanofluid Flow in a Revolving Vertical Cone. Mathematics. 2024; 12(2):349. https://doi.org/10.3390/math12020349
Chicago/Turabian StyleMishra, Shweta, Hiranmoy Mondal, Ramandeep Behl, and Mehdi Salimi. 2024. "The Impact of Thermal Radiation on Mixed Convective Unsteady Nanofluid Flow in a Revolving Vertical Cone" Mathematics 12, no. 2: 349. https://doi.org/10.3390/math12020349
APA StyleMishra, S., Mondal, H., Behl, R., & Salimi, M. (2024). The Impact of Thermal Radiation on Mixed Convective Unsteady Nanofluid Flow in a Revolving Vertical Cone. Mathematics, 12(2), 349. https://doi.org/10.3390/math12020349

