Q-Learning-Based Dumbo Octopus Algorithm for Parameter Tuning of Fractional-Order PID Controller for AVR Systems
Abstract
1. Introduction
- Introduction of DOA: A novel metaheuristic algorithm, named the Dumbo Octopus Algorithm, is introduced. This algorithm mimics the risk judgment, capture, seduction, scare, and escape behaviors of the Dumbo Octopus.
- Effective Evolution Mechanism: The DOA incorporates three evolutionary mechanisms that enhance information exchange among individuals in the population, reduce the likelihood of premature convergence, balance global exploration and local exploitation, and significantly accelerate algorithm convergence.
- Machine learn-assisted DOA: In the local stage of the algorithm, the Q-Learning strategy of reinforcement learning is combined to switch the exploration mechanism, increase the information interaction of different individuals, and avoid falling into local extreme values.
- Benchmark Performance: The DOA demonstrates superior problem-solving ability, faster convergence speed, and higher convergence accuracy compared to 11 well-known metaheuristic algorithms across 23 classic benchmark functions and CEC2019 benchmark functions.
- Application in AVR Systems: This paper proposes a method for tuning the parameters of a fractional-order proportional-integral-derivative (FOPID) controller for automatic voltage regulator (AVR) systems using the DOA. Simulation results indicate that this method provides good stability and time-domain performance.
2. Background Theory
2.1. FOPID Controller
2.2. The Theory of Parameter Tuning of AVR System Based on Heuristic Algorithm
- Consider: ,
- Objective function: ,
- Controlled plant: ,
- Variables: .
3. Dumbo Octopus Algorithm
3.1. Inspiration
- Risk Judgment Behavior
- ○
- Unknown Area Judgment: Dumbo Octopuses use their fins or interbrachial membranes to swim and explore deep-sea fields, roughly locating prey while assessing the risk and food abundance of foraging sites.
- ○
- Known Area Judgment: In familiar environments, they enhance their search strategy based on experience and learning to increase foraging efficiency.
- Capture Behavior
- ○
- Large-Scale Hunting: In identified foraging areas, Dumbo Octopuses use their developed vision to search for prey such as polychaetes and crustaceans, hunting them across the area.
- ○
- Small Trapping: They wander on rock surfaces and slowly swim with curled legs to obtain food.
- Seduction Behavior: Dumbo Octopuses use luminescent devices instead of suction cups to lure prey. Observing prey characteristics, they choose the most advantageous food types and trap them with a slime net produced by their bodies.
- Scare and Escape Behavior: When encountering predators like tuna and sharks while feeding, Dumbo Octopuses reveal all their luminescent organs to scare and drive away threats and then contract their interbrachial membranes to quickly escape.
3.2. Mathematical Model of the DOA
- i.
- Initialization Stage:
- Early in the algorithm, the DOA models the risk judgment behavior of the Dumbo octopus according to whether the random constant is greater than 0.1, which enables the algorithm to flexibly switch between exploring unknown and known fields.
- When , the DOA performs risk judgments in the unknown domain, expanding search trajectories across the entire search space bounded by upper () and lower () limits to ensure thorough exploration and ergodicity.
- When , the DOA updates positions based on the individual’s position vector and those of two randomly selected individuals, enhancing global exploration via random difference steps.
- ii.
- Capture Stage (Balanced Exploration and Exploitation):
- In the middle phase of DOA, the capture stage is simulated based on a dynamic switching probability factor, .
- This factor regulates the transition between global exploration and local exploitation phases, optimizing the algorithm’s ability to explore diverse solution spaces while exploiting promising regions.
- iii.
- Seduction, Scare, and Escape Stage (Local Exploitation):
- Towards the later stages of the DOA, the algorithm transitions between seduction (luring prey), scare (evading threats), and escape behaviors.
- This phase evolution is governed by the current iteration number relative to the maximum iteration number , ensuring the algorithm’s adaptation and avoidance of premature convergence to local optima.
3.2.1. Initialization
3.2.2. Risk Judgment Phase (Exploration)
3.2.3. Capture Phase (Balance Exploration and Exploitation)
3.2.4. Seduction, Scare, and Escape Phase (Exploitation)
3.3. Pseudocode and Flowchart
4. Experiments and Discussion
4.1. Benchmark Functions and Comparative Optimization Algorithms
4.2. Experimental Settings
4.3. Parameter Sensitivity Analysis
- Maximum number of iterations: The sensitivity analysis varies the maximum iterations between 100, 300, 500, 800, and 1000, while keeping the population size at 30 and fixed value is set to 2.
- Population size: This analysis examines population sizes of 30, 50, 80, 100, and 120, with a fixed maximum iteration of 500 and fixed value is set to 2, aiming to determine the optimal population size for enhancing algorithm accuracy.
- Fixed value : This parameter influences the balance between global exploration and local exploitation in the algorithm. The sensitivity analysis tests fixed values of 0.5, 1.0, 1.5, 2.0, and 2.5, with a population size of 30 and maximum iterations set to 500, aiming to identify the optimal fixed value that facilitates effective algorithm convergence.
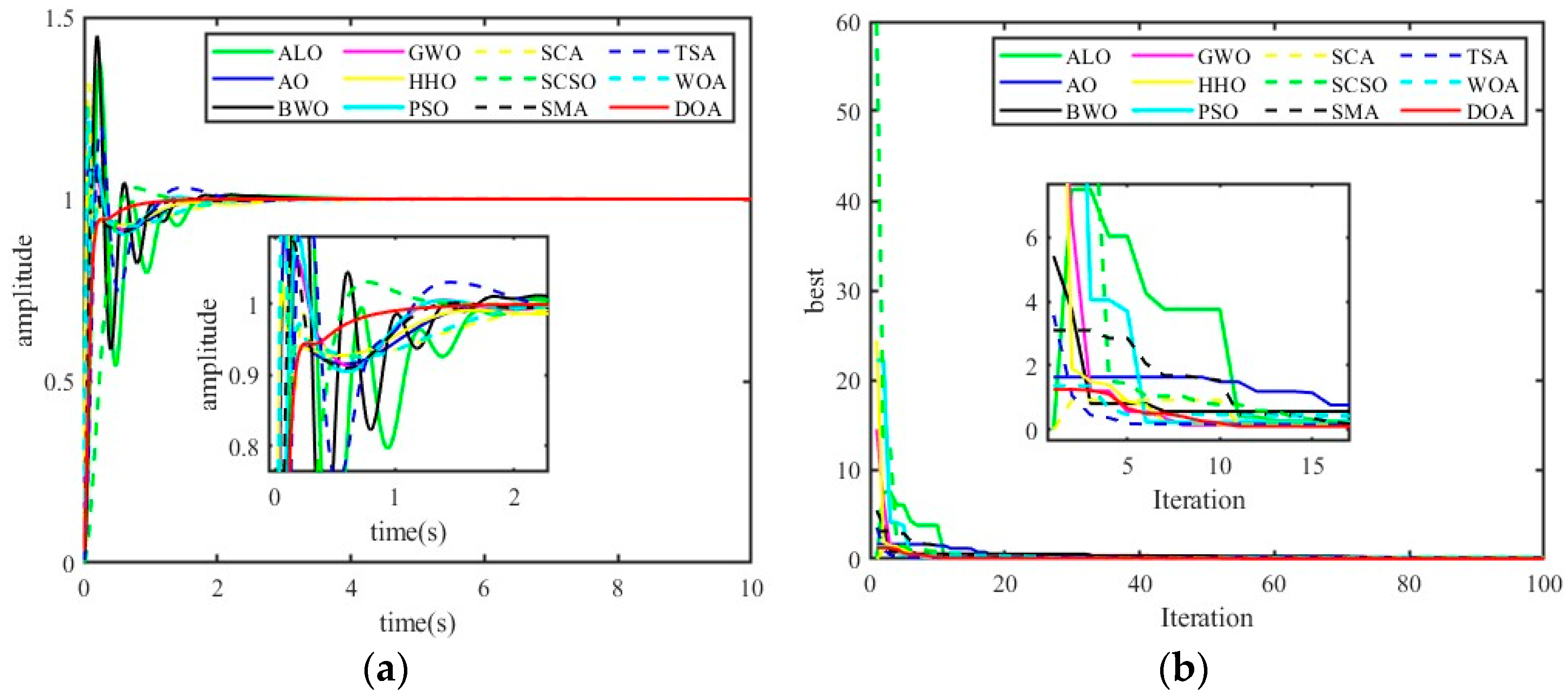
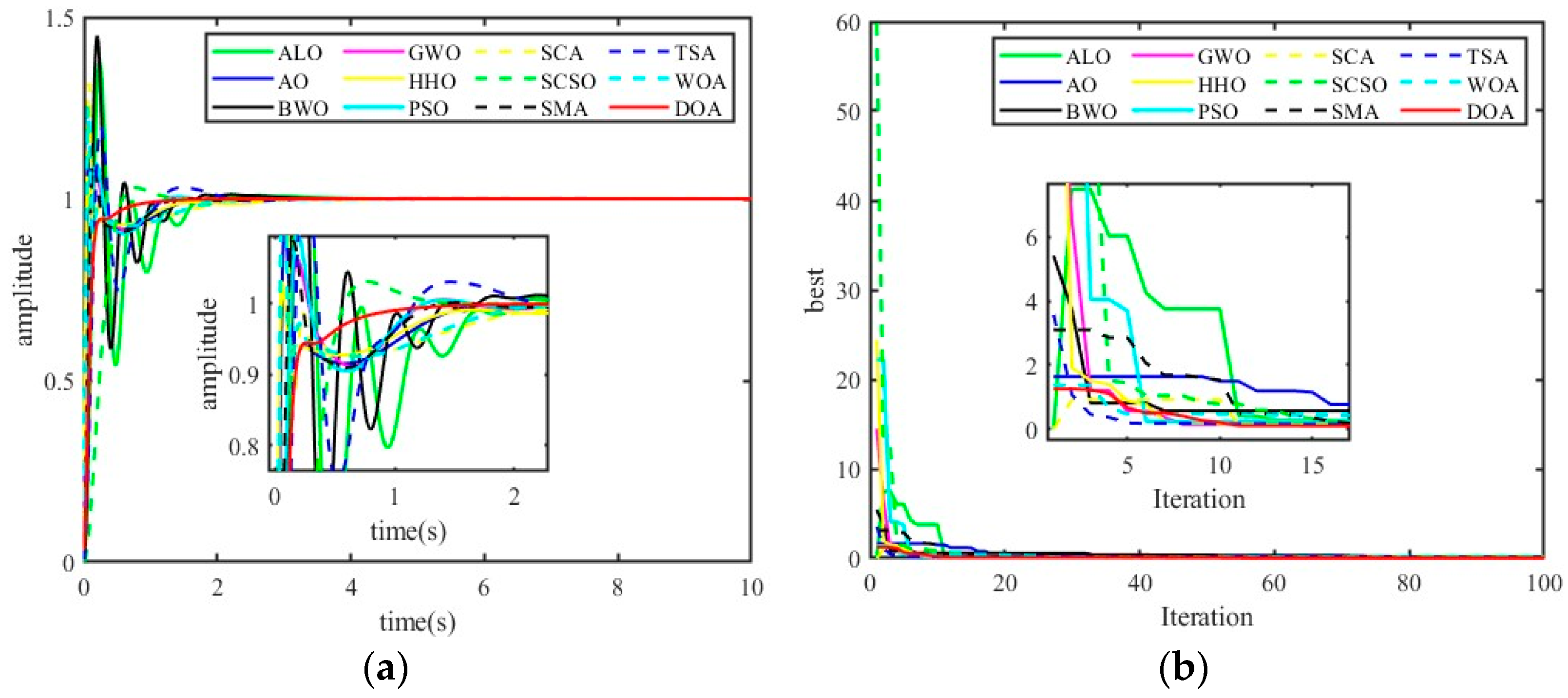
4.4. Qualitative Analysis for Convergence
- (1)
- Sample points are uniformly distributed across the search space and tend to cluster around the optimal values.
- (2)
- The algorithm exhibits rapid convergence in the early stages of iteration, transitioning to a slower convergence rate in the middle and late stages.
- (3)
- Both the fitness values of the first objective function and the average fitness curve of the population decrease swiftly in the early stages and stabilize as the iteration progresses.
- The DOA achieves convergence to the optimal solution relatively quickly.
- It effectively captures high-precision solutions within a reduced number of iterations compared to the other algorithms.
4.5. Results Comparison Using Benchmark Test Functions
4.5.1. Comparison of Results of Classic Benchmark Functions
- BEST represents the smallest objective function value obtained, indicating convergence accuracy.
- WORST corresponds to the largest objective function value obtained; a smaller WORST value signifies better convergence.
- AVG reflects the average value of the optimal solutions, indicating concentration tendencies.
- STD measures the variability or repeatability of the algorithm’s performance across multiple runs.
- Unimodal functions (F1–F7), which have a single global optimal value, used to evaluate exploitation ability.
- High-dimensional multimodal functions (F8–F13), featuring numerous local optima, used to assess global exploration ability.
- Fixed-dimensional multimodal functions (F14–F23), which test the algorithm’s ability to escape local optima.
- For benchmark functions F1, F2, F3, F4, F5, and F7, the DOA achieves significantly better BEST, WORST, AVG, and STD metrics compared to the other algorithms.
- Despite performing less favorably on benchmark function F6 compared to PSO, the DOA’s metrics still fall within an acceptable range and are competitive.
- Across high-dimensional multimodal (F8–F13) and fixed-dimensional multimodal (F14–F23) benchmark functions, the DOA consistently produces results closer to the optimal values, often outperforming the other algorithms.
4.5.2. Comparison of the Results of the CEC2019 Benchmark Functions
- Table 8 presents comparative results of BEST, WORST, AVG, and STD metrics obtained by the DOA and 11 competing algorithms (ALO, AO, BWO, GWO, HHO, PSO, SCA, SCSO, SMA, TSA, and WOA) on the CEC2019 benchmark functions. Key findings include the following:
- For benchmark function F6, the STD metric obtained by TSA is smaller than that of the DOA, but TSA’s BEST, WORST, and AVG metrics are less optimal compared to the DOA.
- Across the remaining benchmark functions, the DOA consistently achieves superior BEST, WORST, AVG, and STD metrics compared to the 11 competing algorithms.
4.6. Friedman and Nemenyi Tests
4.7. Scalability Test
4.8. Runtime Analysis
4.9. Exploration-Exploitation Ratio Analysis
5. FOPID Parameter Tuning of AVR System Based on Heuristic Algorithm
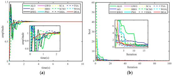
5.1. Step Response Analysis
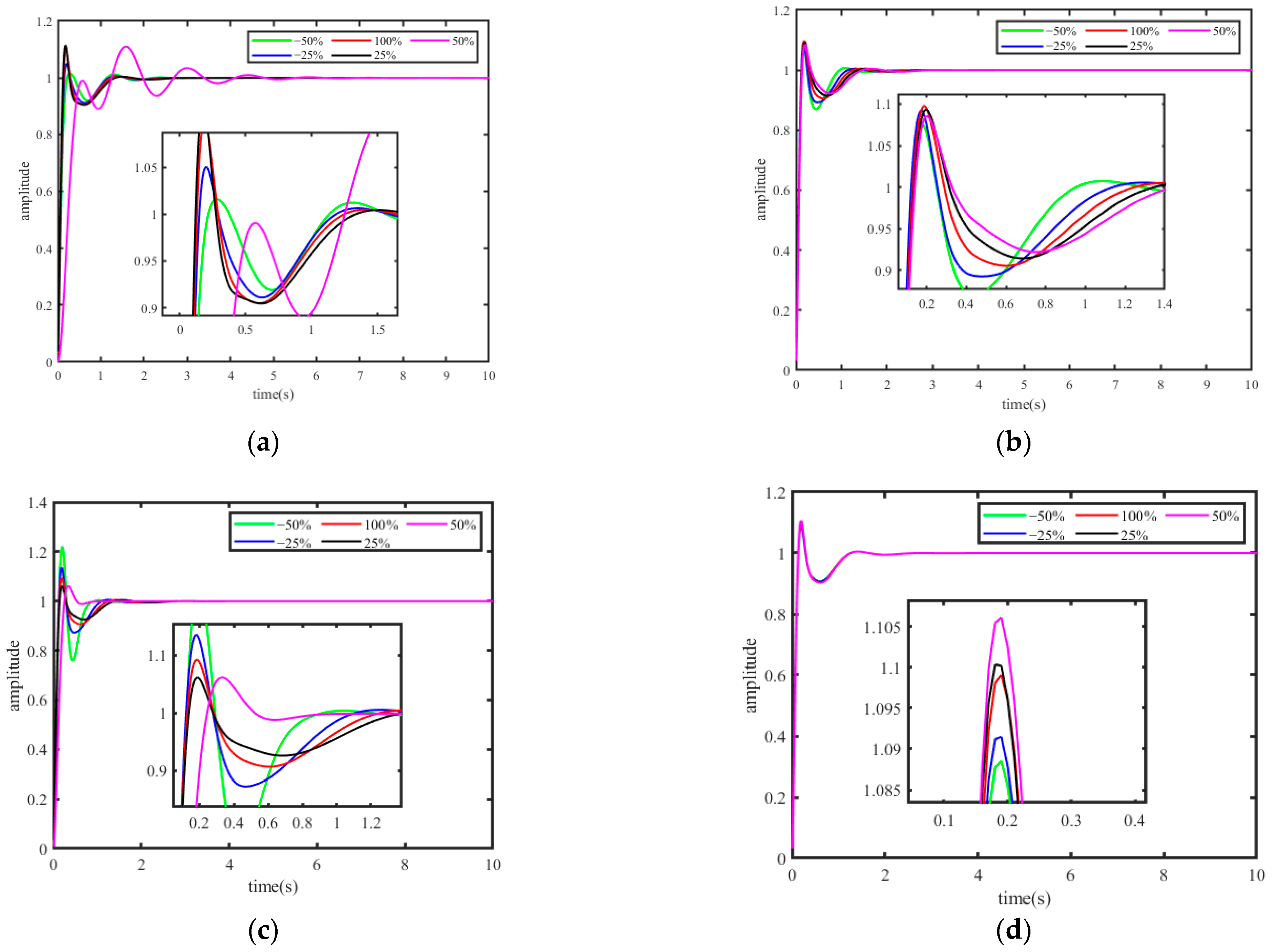
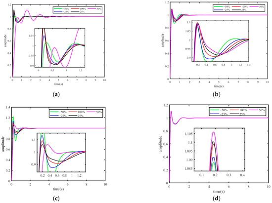
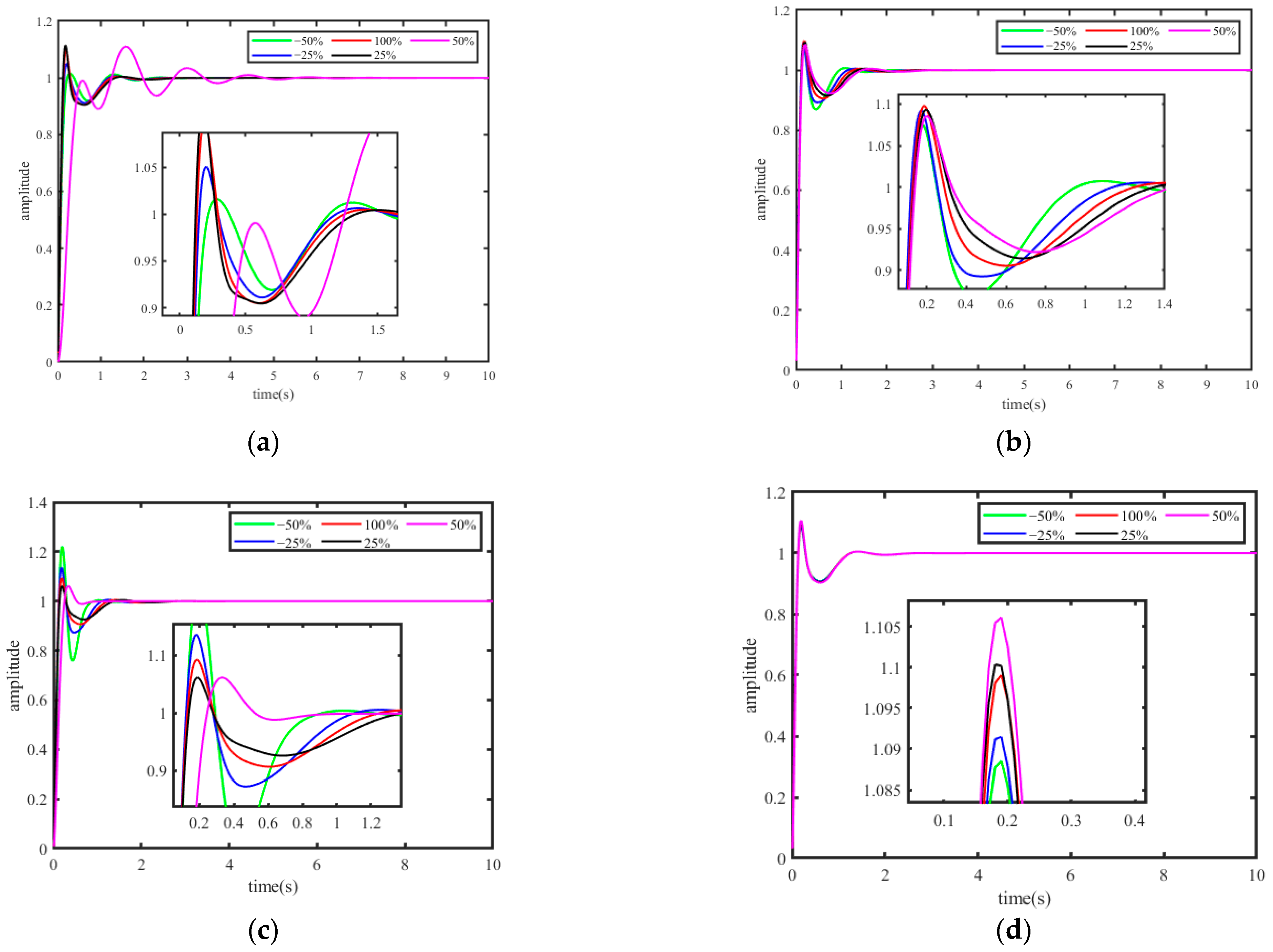
5.2. Robustness Analysis
6. Conclusions
Author Contributions
Funding
Data Availability Statement
Conflicts of Interest
References
- Ćalasan, M.; Micev, M.; Radulović, M.; Zobaa, A.F.; Hasanien, H.M.; Abdel Aleem, S.H.E. Optimal PID Controllers for AVR System Considering Excitation Voltage Limitations Using Hybrid Equilibrium Optimizer. Machines 2021, 9, 265. [Google Scholar] [CrossRef]
- Dogruer, T.; Can, M.S. Design and robustness analysis of fuzzy PID controller for automatic voltage regulator system using genetic algorithm. Trans. Inst. Meas. Control 2022, 44, 1862–1873. [Google Scholar] [CrossRef]
- Ekinci, S.; Izci, D.; Abu Zitar, R.; Laith, A. Development of Lévy flight-based reptile search algorithm with local search ability for power systems engineering design problems. Neural Comput. Appl. 2022, 34, 20263–20283. [Google Scholar] [CrossRef]
- Micev, M.; Ćalasan, M.; Oliva, D. Fractional Order PID Controller Design for an AVR System Using Chaotic Yellow Saddle Goatfish Algorithm. Mathematics 2020, 8, 1182. [Google Scholar] [CrossRef]
- Chetty, N.D.; Sharma, G.; Gandhi, R.; Çelik, E. A Novel Salp Swarm Optimization Oriented 3-DOF-PIDA Controller Design for Automatic Voltage Regulator System. IEEE Access 2024, 12, 20181–20196. [Google Scholar] [CrossRef]
- Zheng, W.; Chen, Y.; Wang, X.; Lin, M.; Guo, J. Robust fractional order PID controller synthesis for the first order plus integral system. Meas. Control 2023, 56, 202–214. [Google Scholar] [CrossRef]
- Tepljakov, A.; Alagoz, B.B.; Yeroglu, C.; Gonzalez, E.A.; Hosseinnia, S.H.; Petlenkov, E.; Ates, A.; Cech, M. Towards Industrialization of FOPID Controllers: A Survey on Milestones of Fractional-Order Control and Pathways for Future Developments. IEEE Access 2021, 9, 21016–21042. [Google Scholar] [CrossRef]
- Noman, A.M.; Almutairi, S.Z.; Aly, M.; Alqahtani, M.H.; Aljumah, A.S.; Mohamed, E.A. A Marine-Predator-Algorithm-Based Optimum FOPID Controller for Enhancing the Stability and Transient Response of Automatic Voltage Regulators. Fractal Fract. 2023, 7, 690. [Google Scholar] [CrossRef]
- Muresan, C.I.; Birs, I.; Ionescu, C.; Dulf, E.H.; De Keyser, R. A review of recent developments in autotuning methods for fractional-order controllers. Fractal Fract. 2022, 6, 37. [Google Scholar] [CrossRef]
- Jegatheesh, A.; Thiyagarajan, V.; Selvan, N.B.M.; Devesh Raj, M. Voltage Regulation and Stability Enhancement in AVR System Based on SOA-FOPID Controller. J. Electr. Eng. Technol. 2024, 19, 31–44. [Google Scholar] [CrossRef]
- Salawudeen, A.T.; Nyabvo, P.J.; Nuhu, A.S.; Akut, E.K.; Cinfwat, K.Z.; Momoh, I.S.; Imam, M.L. Recent Metaheuristics Analysis of Path Planning Optimaztion Problems. In Proceedings of the 2020 International Conference in Mathematics, Computer Engineering and Computer Science (ICMCECS), Lagos, Nigeria, 18–21 March 2020; pp. 1–7. [Google Scholar] [CrossRef]
- Nadimi-Shahraki, M.H. An Effective Hybridization of Quantum-based Avian Navigation and Bonobo Optimizers to Solve Numerical and Mechanical Engineering Problems. J. Bionic Eng. 2023, 20, 1361–1385. [Google Scholar] [CrossRef]
- Seyyedabbasi, A.; Kiani, F. Sand Cat Swarm Optimization: A nature-inspired algorithm to solve global optimization problems. Eng. Comput. 2023, 39, 2627–2651. [Google Scholar] [CrossRef]
- Kaur, S.; Awasthi, L.K.; Sangal, A.L.; Dhiman, G. Tunicate Swarm Algorithm: A new bioinspired based metaheuristic paradigm for global optimization. Eng. Appl. Artif. Intell. 2020, 90, 103541. [Google Scholar] [CrossRef]
- Heidari, A.A.; Mirjalili, S.; Faris, H.; Aljarah, I.; Mafarja, M.; Chen, H.L. Harris hawks optimization: Algorithm and applications. Future Gener. Comput. Syst. 2019, 97, 849–872. [Google Scholar] [CrossRef]
- Mirjalili, S.; Mirjalili, S.M.; Lewis, A. Grey Wolf Optimizer. Adv. Eng. Softw. 2014, 69, 46–61. [Google Scholar] [CrossRef]
- Zhong, C.G.; Li, G.; Meng, Z. Beluga whale optimization: A novel nature-inspired metaheuristic algorithm. Knowl.-Based Syst. 2022, 251, 109215. [Google Scholar] [CrossRef]
- Fathollahi-Fard, A.M.; Hajiaghaei-Keshteli, M.; Tavakkoli-Moghaddam, R. Red deer algorithm (RDA): A new nature-inspired meta-heuristic. Soft Comput. 2020, 24, 14637–14665. [Google Scholar] [CrossRef]
- Ni, X.R.; Hu, W.; Fan, Q.C.; Cui, Y.B.; Qi, C.K. A Q-learning based multi-strategy integrated artificial bee colony algorithm with application in unmanned vehicle path planning. Expert Syst. Appl. 2024, 236, 121303. [Google Scholar] [CrossRef]
- Rauf, H.T.; Shoaib, U.; Lali, M.I.; Alhaisoni, M.; Irfan, M.N.; Khan, M.A. Particle Swarm Optimization with Probability Sequence for Global Optimization. IEEE Access 2020, 8, 110535–110549. [Google Scholar] [CrossRef]
- Zhao, F.Q.; Zhou, G.; Wang, L. A Cooperative Scatter Search with Reinforcement Learning Mechanism for the Distributed Permutation Flowshop Scheduling Problem with Sequence-Dependent Setup Times. IEEE Trans. Syst. Man Cybern. Syst. 2023, 53, 4899–4911. [Google Scholar] [CrossRef]
- Mirjalili, S. The Ant Lion Optimizer. Adv. Eng. Softw. 2015, 83, 80–98. [Google Scholar] [CrossRef]
- Abualigah, L.; Yousri, D.; Elaziz, M.A.; Ewees, A.A.; Al-qaness, M.A.A.; Gandomi, A.H. Aquila Optimizer: A novel meta-heuristic optimization algorithm. Comput. Ind. Eng. 2021, 157, 107250. [Google Scholar] [CrossRef]
- Eberhart, R.; Kennedy, J. A new optimizer using particle swarm theory. In Proceedings of the Sixth International Symposium on Micro Machine and Human Science, Nagoya, Japan, 4–6 October 1995; IEEE: Piscataway, NJ, USA, 1995; pp. 39–43. [Google Scholar] [CrossRef]
- Mirjalili, S. SCA: A Sine Cosine Algorithm for solving optimization problems. Knowl.-Based Syst. 2016, 96, 120–133. [Google Scholar] [CrossRef]
- Li, S.M.; Chen, H.L.; Wang, M.J.; Heidari, A.A.; Mirjalili, S. Slime mould algorithm: A new method for stochastic optimization. Future Gener. Comput. Syst. 2020, 111, 300–323. [Google Scholar] [CrossRef]
- Mirjalili, S.; Lewis, A. The Whale Optimization Algorithm. Adv. Eng. Softw. 2016, 95, 51–67. [Google Scholar] [CrossRef]
- Tarasov, V.E. General Fractional Calculus: Multi-Kernel Approach. Mathematics 2021, 9, 91501. [Google Scholar] [CrossRef]
- Guirao, J.L.G.; Mohammed, P.O.; Srivastava, H.M.; Baleanu, D.; Abualrub, M.S. Relationships between the discrete Riemann-Liouville and Liouville-Caputo fractional differences and their associated convexity results. AIMS Math. 2022, 7, 18127–18141. [Google Scholar] [CrossRef]
- Li, Z.; Liu, L.; Dehghan, S.; Chen, Y.; Xue, D. A review and evaluation of numerical tools for fractional calculus and fractional order controls. Int. J. Control 2016, 90, 1165–1181. [Google Scholar] [CrossRef]
- Chávez-Vázquez, S.; Gómez-Aguilar, J.F.; Lavín-Delgado, J.E.; Escobar-Jiménez, R.F.; Olivares-Peregrino, V.H. Applications of Fractional Operators in Robotics: A Review. J. Intell. Robot. Syst. 2022, 104, 63. [Google Scholar] [CrossRef]
- Yang, H.; Yang, Y.; Han, F.; Zhao, M.; Guo, L. Containment control of heterogeneous fractional-order multi-agent systems. J. Frankl. Inst. 2019, 365, 752–765. [Google Scholar] [CrossRef]
- Abdelfattah, H.; Aseeri, A.O.; Abd Elaziz, M. Optimized FOPID controller for nuclear research reactor using enhanced planet optimization algorithm. Alex. Eng. J. 2024, 97, 267–282. [Google Scholar] [CrossRef]
- Moschos, I.; Parisses, C. A novel optimal PIλDND2N2 controller using coyote optimization algorithm for an AVR system. Eng. Sci. Technol. Int. J. 2022, 26, 100991. [Google Scholar] [CrossRef]
- Zhao, C.; Jiang, M.; Huang, Y. Formal Verification of Fractional-Order PID Control Systems Using Higher-Order Logic. Fractal Fract. 2022, 6, 485. [Google Scholar] [CrossRef]
- Oziablo, P.; Mozyrska, D.; Wyrwas, M. Fractional-variable-order digital controller design tuned with the chaotic yellow saddle goatfish algorithm for the AVR system. ISA Trans. 2022, 125, 260–267. [Google Scholar] [CrossRef]
- Sony, M.G.; Thomas, L.P.; Deepak, M.; Mathew, A.T. Frequency regulation on an interconnected power system with fractional PID controllers optimized using RAO algorithms. Electr. Power Compon. Syst. 2022, 50, 683–695. [Google Scholar] [CrossRef]
- Lee, C.; Chang, F. Fractional-order PID controller optimization via improved electromagnetism-like algorithm. Expert Syst. Appl. 2010, 37, 8871–8878. [Google Scholar] [CrossRef]
- Bhookya, J.; Kumar, J.R. Sine-cosine-algorithm-based fractional order PID controller tuning for multivariable systems. Int. J. Bio-Inspired Comput. 2021, 17, 113–120. [Google Scholar] [CrossRef]
- Ravari, M.A.; Yaghoobi, M. Optimum design of fractional order PID controller using chaotic firefly algorithms for a control CSTR system. Asian J. Control 2019, 21, 2245–2255. [Google Scholar] [CrossRef]
- Rodrigues, F.; Molina, Y.; Silva, C.; Naupari, Z. Simultaneous tuning of the AVR and PSS parameters using particle swarm optimization with oscillating exponential decay. Int. J. Electr. Power Energy Syst. 2021, 133, 107215. [Google Scholar] [CrossRef]
- Tumari, M.Z.M.; Ahmad, M.A.; Rashid, M.I.M. A fractional order PID tuning tool for automatic voltage regulator using marine predators algorithm. Energy Rep. 2023, 9, 416–421. [Google Scholar] [CrossRef]
- Khan, I.A.; Alghamdi, A.S.; Jumani, T.A.; Alamgir, A.; Awan, A.B.; Khidrani, A. Salp Swarm Optimization Algorithm-Based Fractional Order PID Controller for Dynamic Response and Stability Enhancement of an Automatic Voltage Regulator System. Electronics 2019, 8, 1472. [Google Scholar] [CrossRef]
- Bhookya, J.; Jatoth, R.K. Optimal FOPID/PID controller parameters tuning for the AVR system based on sin-cosine-algorithm. Evol. Intell. 2019, 12, 725–733. [Google Scholar] [CrossRef]
- Demirören, A.; Ekinci, S.; Hekimoglu, B.; Izci, D. Opposition-based artificial electric field algorithm and its application to FOPID controller design for unstable magnetic ball suspension system. Eng. Sci. Technol. Int. J. 2021, 24, 469–479. [Google Scholar] [CrossRef]
- Türksoy, Ö.; Türksoy, A. A fast and robust sliding mode controller for automatic voltage regulators in electrical power systems. Eng. Sci. Technol. Int. J. 2024, 53, 101697. [Google Scholar] [CrossRef]
- Mok, R.; Ahmad, M.A. Fast and optimal tuning of fractional order PID controller for AVR system based on memorizable-smoothed functional algorithm. Eng. Sci. Technol. Int. J. 2022, 35, 101264. [Google Scholar] [CrossRef]
- Watkins, C.J.C.H.; Dayan, P. Q-Learning. Mach. Learn. 1992, 8, 279–292. [Google Scholar] [CrossRef]
- Jena, U.K.; Das, P.K.; Kabat, M.R. Hybridization of meta-heuristic algorithm for load balancing in cloud computing environment. J. King Saud Univ. Comput. Inf. Sci. 2022, 34 Pt A, 2332–2342. [Google Scholar] [CrossRef]
- Balachandran, M.; Devanathan, S.; Muraleekrishnan, R.; Bhagawan, S.S. Optimizing properties of nanoclay–nitrile rubber (NBR) composites using Face Centred Central Composite Design. Mater. Des. 2012, 35, 854–862. [Google Scholar] [CrossRef]
- Abdollahzadeh, B.; Gharehchopogh, F.S.; Barshandeh, S. Discrete farmland fertility optimization algorithm with metropolis acceptance criterion for travelling salesman problems. Int. J. Intell. Syst. 2021, 36, 1270–1303. [Google Scholar] [CrossRef]
- Do, T.C.; Tran, D.T.; Dinh, T.Q.; Ahn, K.K. Tracking Control for an Electro-Hydraulic Rotary Actuator Using Fractional Order Fuzzy PID Controller. Electronics 2020, 9, 926. [Google Scholar] [CrossRef]











| % Pseudocode |
| Initialize the reward table |
| Set maximum iteration |
| Set the state |
| Randomly choose the first state from |
| While |
| Choose the best action from Q-table |
| Execute action |
| Find out the new state |
| Acquire the corresponding maximum of the Q-table for |
| Update the state |
| Return Q-table |
| % Pseudocode |
| % DOA setting |
| Inputs: the population size , maximum iteration , and the boundary conditions , |
| % Initialization |
| Initialize the random population based on Equation (5) |
| Calculate the fitness of each search agent based on the objective function |
| Initialize the reward table and set Q-table as a zero matrix |
| Initialize the current state from |
| % Main loop |
| For |
| % Risk judgement phase (Exploration) |
| for |
| if |
| The Dumbo Octopus wanders randomly through unknown areas using Equation (7) |
| else |
| The Dumbo Octopus makes risk judgments within known areas using Equation (8) |
| end if |
| end for |
| Update the fitness value, position vector and select the optimal solution at present |
| % Capture phase |
| for |
| Update the dynamic switching probability parameter using Equation (10) |
| The Dumbo Octopus carries out the strategy of catching prey using Equation (9) |
| end for |
| Update the fitness value, position vector and select the optimal solution at present |
| % Seduction, scare and escape phase (Exploitation) |
| for |
| if |
| if |
| The Dumbo Octopus executes seduction strategies using Equation (13) |
| else |
| The Dumbo Octopus position vector remains unchanged |
| end if |
| else |
| The Dumbo Octopus executes scare and escape strategies using Equation (16) |
| end if |
| if fitness < old fitness |
| Reward = 1 |
| else |
| Reward = −1 |
| end if |
| end for |
| Update the fitness value, position vector and select the optimal solution at present |
| Update the Q-table by Bellman equation Equation (12) |
| end while |
| Output the best candidate solution obtained by DOA |
| Algorithm | Parameter | Value |
|---|---|---|
| ALO | I | 1.8 |
| w | 2–6 | |
| AO | u | 0.00565 |
| s | 0.01 | |
| 10 | ||
| ω | 0.005 | |
| α | 0.1 | |
| δ | 0.1 | |
| [−1, 1] | ||
| [2, 0] | ||
| BWO | Balance factor | [0, 1] |
| [0, 2] | ||
| [0, 0.1] | ||
| GWO | Convergence constants | [2, 0] |
| HHO | [−1, 1] | |
| [−2, 2] | ||
| PSO | 0.9 | |
| 0.2 | ||
| 2.0 | ||
| 2.0 | ||
| SCA | 2 | |
| [2, 0] | ||
| SCSO | [2, 0] | |
| [−2r, 2r] | ||
| SMA | [1, 0] | |
| [1, 0] | ||
| TSA | spiral factor | 1 |
| parameter | 1 | |
| parameter | 4 | |
| DOA | 2 | |
| [1, 0] | ||
| [−1.5, 1.5] |
| Number of Iteration | F5 | F15 | F23 | CEC2017 F1 | CEC2017 F10 | CEC2017 F30 | CEC2019 F5 | CEC2019 F10 |
|---|---|---|---|---|---|---|---|---|
| 100 | 5.8874 × 10 | 3.0749 × 10−4 | −1.0536 × 101 | 1.1396 × 106 | 2.1059 × 103 | 1.6529 × 105 | 1.2330 × 10 | 2.0311 × 101 |
| 300 | 3.4840 × 10 | 3.0749 × 10−4 | −1.0536 × 101 | 2.8562 × 102 | 2.0253 ×103 | 3.4290 × 103 | 1.1203 × 10 | 2.0034 × 101 |
| 500 | 1.7204 × 10−8 | 3.0749 × 10−4 | −1.0536 × 101 | 1.0007 × 102 | 1.6021 × 103 | 3.4172 × 103 | 1.0959 × 10 | 2.0000 × 101 |
| 800 | 1.0237 × 10−12 | 3.0749 × 10−4 | −1.0536 × 101 | 1.0000 × 102 | 1.3750 × 103 | 3.4084 × 103 | 1.0713 × 10 | 2.0000 × 101 |
| 1000 | 1.2557 × 10−15 | 3.0749 × 10−4 | −1.0536 × 101 | 1.0000 × 102 | 1.1352 × 103 | 3.3952 × 103 | 1.0615 × 10 | 2.0000 × 101 |
| Size of Population | F5 | F15 | F23 | CEC2017 F1 | CEC2017 F10 | CEC2017 F30 | CEC2019 F5 | CEC2019 F10 |
|---|---|---|---|---|---|---|---|---|
| 30 | 2.2389 × 10−9 | 3.0749 × 10−4 | −1.0536 × 101 | 1.0036 × 102 | 1.1220 × 103 | 3.3962 × 103 | 1.0345 × 10 | 2.0000 × 101 |
| 50 | 2.2293 × 10−8 | 1.2000 × 10−3 | −1.0536 × 101 | 1.0120 × 102 | 1.7291 × 103 | 8.2058 × 105 | 1.1256 × 10 | 2.0007 × 101 |
| 80 | 1.5993 × 10−8 | 3.0749 × 10−4 | −1.0536 × 101 | 1.0076 × 102 | 1.4330 × 103 | 3.4008 × 103 | 1.0418 × 10 | 2.0000 × 101 |
| 100 | 1.7190 × 10−8 | 3.0749 × 10−4 | −1.0536 × 101 | 1.0043 × 102 | 1.2519 × 103 | 3.3978 × 103 | 1.1479 × 10 | 2.0033 × 101 |
| 120 | 2.0967 × 10−8 | 3.0749 × 10−4 | −1.0536 × 101 | 1.0047 × 102 | 1.4825 × 103 | 3.3968 × 103 | 1.0664 × 10 | 2.0000 × 101 |
| Fixed Value a1 | F5 | F15 | F23 | CEC2017 F1 | CEC2017 F10 | CEC2017 F30 | CEC2019 F5 | CEC2019 F10 |
|---|---|---|---|---|---|---|---|---|
| 0.5 | 2.4799 × 10−9 | 3.0749 × 10−4 | −1.0536 × 101 | 1.2628 × 102 | 1.6711 × 103 | 3.4860 × 103 | 1.1354 × 10 | 2.0001 × 101 |
| 1.0 | 1.0540 × 10−8 | 3.0749 × 10−4 | −1.0536 × 101 | 1.0051 × 102 | 1.9654 × 103 | 3.4863 × 103 | 1.1329 × 10 | 2.0000 × 101 |
| 1.5 | 6.9270 × 10−9 | 3.0749 × 10−4 | −1.0536 × 101 | 1.1630 × 103 | 1.9245 × 103 | 3.4384 × 103 | 1.1821 × 10 | 2.0003 × 101 |
| 2.0 | 1.6809 × 10−9 | 3.0749 × 10−4 | −1.0536 × 101 | 1.0018 × 102 | 1.2472 × 103 | 3.3994 × 103 | 1.0664 × 10 | 2.0000 × 101 |
| 2.5 | 6.4984 × 10−5 | 3.0749 × 10−4 | −1.0536 × 101 | 2.2575 × 102 | 1.5268 × 103 | 3.4822 × 103 | 1.0960 × 10 | 2.0020 × 101 |
| Function | Index | ALO | AO | WOA | GWO | HHO | SCA | PSO | SCSO | BWO | SMA | TSA | DOA |
|---|---|---|---|---|---|---|---|---|---|---|---|---|---|
| F1 | BEST | 2.6051 × 10−9 | 1.9568 × 10−163 | 1.2497 × 10−90 | 1.9419 × 10−61 | 5.3605 × 10−114 | 3.6697 × 10−17 | 1.3281 × 10−80 | 4.4863 × 10−145 | 1.9484 × 10−252 | 0.0000 × 10 | 2.2661 × 10−45 | 0.0000 × 10 |
| WORST | 2.8493 × 10−8 | 1.8672 × 10−106 | 4.4998 × 10−75 | 3.2728 × 10−55 | 1.7437 × 10−98 | 1.4787 × 10−8 | 3.4098 × 10−71 | 5.4306 × 10−128 | 1.4864 × 10−240 | 0.0000 × 10 | 3.0305 × 10−39 | 0.0000 × 10 | |
| AVG | 8.7865 × 10−9 | 8.6492 × 10−108 | 1.6580 × 10−76 | 1.7990 × 10−56 | 7.0432 × 10−100 | 5.1161 × 10−10 | 2.8426 × 10−72 | 1.8278 × 10−129 | 5.2714 × 10−242 | 0.0000 × 10 | 1.1984 × 10−40 | 0.0000 × 10 | |
| STD | 6.2232 × 10−9 | 3.6157 × 10−107 | 8.2013 × 10−76 | 6.0630 × 10−56 | 3.1775 × 10−99 | 2.6980 × 10−9 | 7.7778 × 10−72 | 9.9121 × 10−129 | 0.0000 × 10 | 0.0000 × 10 | 5.5031 × 10−40 | 0.0000 × 10 | |
| F2 | BEST | 1.3538 × 10−5 | 1.9633 × 10−79 | 1.5089 × 10−61 | 3.4015 × 10−35 | 1.7082 × 10−59 | 1.6639 × 10−14 | 2.8640 × 10−26 | 3.5854 × 10−76 | 2.8472 × 10−127 | 1.0221 × 10−318 | 2.7740 × 10−27 | 0.0000 × 10 |
| WORST | 4.0894 × 10 | 1.9752 × 10−54 | 9.1420 × 10−53 | 8.8470 × 10−32 | 6.2643 × 10−50 | 7.6191 × 10−8 | 1.7087 × 10−13 | 1.7192 × 10−68 | 8.9820 × 10−123 | 1.5158 × 10−180 | 5.5667 × 10−23 | 2.2268 × 10−318 | |
| AVG | 5.2651 × 10−1 | 1.1966 × 10−55 | 8.5564 × 10−54 | 4.9068 × 10−33 | 2.1224 × 10−51 | 4.2629 × 10−9 | 9.7343 × 10−15 | 1.2318 × 10−69 | 9.0441 × 10−124 | 6.6614 × 10−182 | 4.0983 × 10−24 | 7.4485 × 10−320 | |
| STD | 1.0695 × 10 | 4.5782 × 10−55 | 2.0599 × 10−53 | 1.5934 × 10−32 | 1.1431 × 10−50 | 1.3999 × 10−8 | 3.4497 × 10−14 | 4.1177 × 10−69 | 2.0095 × 10−123 | 0.0000 × 10 | 1.0320 × 10−23 | 0.0000 × 10 | |
| F3 | BEST | 3.9081 × 10−5 | 1.2447 × 10−159 | 1.0588 × 10−2 | 8.9041 × 10−32 | 9.3946 × 10−107 | 2.1889 × 10−8 | 2.5618 × 10−19 | 1.2433 × 10−133 | 2.0894 × 10−248 | 0.0000 × 10 | 1.1623 × 10−31 | 0.0000 × 10 |
| WORST | 1.6074 × 10−1 | 8.4091 × 10−106 | 1.5691 × 103 | 1.3557 × 10−23 | 3.7919 × 10−78 | 4.1072 × 10−2 | 1.9089 × 10−14 | 8.4364 × 10−112 | 8.8799 × 10−236 | 0.0000 × 10 | 1.7218 × 10−24 | 0.0000 × 10 | |
| AVG | 2.4632 × 10−2 | 2.8030 × 10−107 | 1.7240 × 102 | 8.7952 × 10−25 | 1.2640 × 10−79 | 2.8183 × 10−3 | 1.0873 × 10−15 | 2.8281 × 10−113 | 3.8108 × 10−237 | 0.0000 × 10 | 1.5224 × 10−25 | 0.0000 × 10 | |
| STD | 3.4923 × 10−2 | 1.5353 × 10−106 | 3.2300 × 102 | 2.9008 × 10−24 | 6.9231 × 10−79 | 9.1499 × 10−3 | 3.5829 × 10−15 | 1.5400 × 10−112 | 0.0000 × 10 | 0.0000 × 10 | 4.1916 × 10−25 | 0.0000 × 10 | |
| F4 | BEST | 1.8116 × 10−4 | 6.1843 × 10−80 | 7.9359 × 10−6 | 1.6212 × 10−20 | 2.4532 × 10−57 | 4.4306 × 10−6 | 1.8360 × 10−16 | 3.1561 × 10−64 | 3.1784 × 10−124 | 6.4875 × 10−316 | 3.2778 × 10−13 | 0.0000 × 10 |
| WORST | 2.8536 × 10−2 | 1.2884 × 10−49 | 3.4929 × 101 | 9.4797 × 10−18 | 2.5684 × 10−47 | 1.2292 × 10−2 | 1.7482 × 10−12 | 4.3541 × 10−55 | 1.0402 × 10−119 | 3.0699 × 10−183 | 1.3193 × 10−9 | 0.0000 × 10 | |
| AVG | 3.1678 × 10−3 | 4.2947 × 10−51 | 4.2824 × 10 | 1.6178 × 10−18 | 1.5523 × 10−48 | 1.5348 × 10−3 | 3.0634 × 10−13 | 2.2840 × 10−56 | 8.4214 × 10−121 | 1.0233 × 10−184 | 1.6530 × 10−10 | 2.4855 × 10−310 | |
| STD | 5.3593 × 10−3 | 2.3523 × 10−50 | 7.9003 × 10 | 2.3455 × 10−18 | 5.8344 × 10−48 | 2.9090 × 10−3 | 5.1505 × 10−13 | 8.9326 × 10−56 | 2.2347 × 10−120 | 0.0000 × 10 | 2.7077 × 10−10 | 0.0000 × 10 | |
| F5 | BEST | 4.0513 × 10−5 | 2.0132 × 10−5 | 5.9987 × 10 | 5.3743 × 10 | 3.5918 × 10−6 | 6.8600 × 10 | 2.8027 × 10−2 | 5.8223 × 10 | 3.5627 × 10−3 | 1.1805 × 10−3 | 5.7590 × 10 | 2.4641 × 10−11 |
| WORST | 1.6332 × 103 | 9.7110 × 10−3 | 8.9633 × 10 | 8.0835 × 10 | 1.8991 × 10−2 | 7.8582 × 101 | 8.0672 × 10 | 8.9194 × 10 | 8.8431 × 10−2 | 6.4267 × 10 | 8.6865 × 101 | 6.3949 × 10−4 | |
| AVG | 1.0764 × 102 | 1.5210 × 10−3 | 6.9135 × 10 | 6.5711 × 10 | 3.9260 × 10−3 | 9.7585 × 10 | 3.8348 × 10 | 7.0506 × 10 | 3.7824 × 10−2 | 1.4457 × 10 | 1.1001 × 101 | 2.2513 × 10−5 | |
| STD | 3.0700 × 102 | 1.9650 × 10−3 | 5.4354 × 10−1 | 7.1398 × 10−1 | 4.7379 × 10−3 | 1.3003 × 101 | 2.0510 × 10 | 8.7781 × 10−1 | 2.4702 × 10−2 | 2.6447 × 10 | 1.4361 × 101 | 1.1667 × 10−4 | |
| F6 | BEST | 1.3081 × 10−9 | 5.4388 × 10−9 | 1.3622 × 10−4 | 1.4156 × 10−6 | 1.4131 × 10−9 | 1.6034 × 10−1 | 0.0000 × 10 | 1.7048 × 10−7 | 6.5103 × 10−5 | 6.9040 × 10−6 | 2.5681 × 10−1 | 3.4675 × 10−12 |
| WORST | 1.6570 × 10−7 | 4.0285 × 10−4 | 2.4817 × 10−1 | 2.5221 × 10−1 | 2.0580 × 10−4 | 7.8453 × 10−1 | 1.3589 × 10−30 | 2.5520 × 10−1 | 7.3116 × 10−4 | 1.1446 × 10−4 | 1.7515 × 10 | 6.8440 × 10−11 | |
| AVG | 1.3559 × 10−8 | 4.3712 × 10−5 | 1.1908 × 10−2 | 1.6776 × 10−2 | 4.7616 × 10−5 | 4.3353 × 10−1 | 1.2049 × 10−31 | 9.0929 × 10−2 | 3.2699 × 10−4 | 3.9868 × 10−5 | 1.1212 × 10 | 1.6423 × 10−11 | |
| STD | 2.9284 × 10−8 | 8.3111 × 10−5 | 4.7128 × 10−2 | 6.3831 × 10−2 | 5.9789 × 10−5 | 1.4028 × 10−1 | 3.3875 × 10−31 | 1.2181 × 10−1 | 1.7111 × 10−4 | 2.5031 × 10−5 | 4.2747 × 10−1 | 1.4197 × 10−11 | |
| F7 | BEST | 2.3998 × 10−3 | 3.6562 × 10−6 | 6.2916 × 10−5 | 5.0773 × 10−5 | 7.0406 × 10−6 | 2.2829 × 10−4 | 6.3755 × 10−4 | 4.8494 × 10−6 | 5.5723 × 10−6 | 2.5992 × 10−7 | 5.1697 × 10−4 | 3.7697 × 10−6 |
| WORST | 7.7603 × 10−2 | 5.0289 × 10−4 | 1.0332 × 10−2 | 1.4243 × 10−3 | 6.5779 × 10−4 | 2.2287 × 10−2 | 1.0279 × 10−2 | 4.7438 × 10−4 | 2.6153 × 10−4 | 4.2085 × 10−4 | 6.5734 × 10−3 | 9.9445 × 10−5 | |
| AVG | 2.6600 × 10−2 | 1.1645 × 10−4 | 2.5625 × 10−3 | 5.9349 × 10−4 | 1.5614 × 10−4 | 3.2597 × 10−3 | 2.9477 × 10−3 | 1.2600 × 10−4 | 5.6804 × 10−5 | 9.8265 × 10−5 | 2.6005 × 10−3 | 5.3458 × 10−5 | |
| STD | 1.8080 × 10−2 | 1.1393 × 10−4 | 3.1109 × 10−3 | 4.0088 × 10−4 | 1.3741 × 10−4 | 4.1556 × 10−3 | 2.1300 × 10−3 | 1.1268 × 10−4 | 5.0705 × 10−5 | 1.1066 × 10−4 | 1.7703 × 10−3 | 2.8324 × 10−5 | |
| F8 | BEST | −3.2620 × 103 | −4.1896 × 103 | −4.1898 × 103 | −3.3211 × 103 | −4.1898 × 103 | −2.4570 × 103 | −3.3015 × 103 | −3.2999 × 103 | −4.1872 × 103 | −4.1898 × 103 | −3.0764 × 103 | −4.1898 × 103 |
| WORST | −1.9258 × 103 | −2.1856 × 103 | −2.4222 × 103 | −2.0836 × 103 | −4.1894 × 103 | −1.7016 × 103 | −1.9393 × 103 | −2.0239 × 103 | −3.7130 × 103 | −4.1898 × 103 | −1.7255 × 103 | −4.1898 × 103 | |
| AVG | −2.3406 × 103 | −3.6266 × 103 | −3.5462 × 103 | −2.5806 × 103 | −4.1897 × 103 | −2.1323 × 103 | −2.5540 × 103 | −2.5428 × 103 | −4.0645 × 103 | −4.1898 × 103 | −2.4525 × 103 | −4.1898 × 103 | |
| STD | 4.0022 × 102 | 8.1434 × 102 | 6.0172 × 102 | 3.2757 × 102 | 1.1678 × 10−1 | 1.4801 × 102 | 3.5485 × 102 | 3.4289 × 102 | 1.6664 × 102 | 1.9074 × 10−3 | 3.4243 × 102 | 2.4557 × 10−7 | |
| F9 | BEST | 6.9647 × 10 | 0.0000 × 10 | 0.0000 × 10 | 0.0000 × 10 | 0.0000 × 10 | 2.8422 × 10−14 | 5.9698 × 10 | 0.0000 × 10 | 0.0000 × 10 | 0.0000 × 10 | 5.5939 × 10 | 0.0000 × 10 |
| WORST | 4.1788 × 101 | 3.4533 × 10−4 | 3.9226 × 101 | 5.2879 × 10 | 0.0000 × 10 | 3.1482 × 101 | 3.8803 × 101 | 0.0000 × 10 | 0.0000 × 10 | 0.0000 × 10 | 4.1961 × 101 | 0.0000 × 10 | |
| AVG | 1.9766 × 101 | 1.1511 × 10−5 | 1.3075 × 10 | 3.5896 × 10−1 | 0.0000 × 10 | 1.3765 × 10 | 1.4593 × 101 | 0.0000 × 10 | 0.0000 × 10 | 0.0000 × 10 | 2.2762 × 101 | 0.0000 × 10 | |
| STD | 8.8828 × 10 | 6.3049 × 10−5 | 7.1617 × 10 | 1.1758 × 10 | 0.0000 × 10 | 5.9079 × 10 | 7.5879 × 10 | 0.0000 × 10 | 0.0000 × 10 | 0.0000 × 10 | 9.2137 × 10 | 0.0000 × 10 | |
| F10 | BEST | 2.6843 × 10−5 | 4.4409 × 10−16 | 4.4409 × 10−16 | 3.9968 × 10−15 | 4.4409 × 10−16 | 4.6602 × 10−1 | 3.9968 × 10−15 | 4.4409 × 10−16 | 4.4409 × 10−16 | 4.4409 × 10−16 | 7.5495 × 10−15 | 4.4409 × 10−16 |
| WORST | 2.5799 × 10 | 4.4409 × 10−16 | 7.5495 × 10−15 | 7.5495 × 10−15 | 4.4409 × 10−16 | 5.0795 × 10 | 1.1551 × 10 | 4.4409 × 10−16 | 4.4409 × 10−16 | 4.4409 × 10−16 | 3.6063 × 10 | 4.4409 × 10−16 | |
| AVG | 4.0468 × 10−1 | 4.4409 × 10−16 | 3.4047 × 10−15 | 6.6021 × 10−15 | 4.4409 × 10−16 | 1.6932 × 10−1 | 7.7010 × 10−2 | 4.4409 × 10−16 | 4.4409 × 10−16 | 4.4409 × 10−16 | 1.7267 × 10 | 4.4409 × 10−16 | |
| STD | 7.2423 × 10−1 | 0.0000 × 10 | 2.4831 × 10−15 | 1.5979 × 10−15 | 0.0000 × 10 | 9.2738 × 10−1 | 2.9307 × 10−1 | 0.0000 × 10 | 0.0000 × 10 | 0.0000 × 10 | 1.6513 × 10 | 0.0000 × 10 | |
| F11 | BEST | 7.3828 × 10−2 | 0.0000 × 10 | 0.0000 × 10 | 0.0000 × 10 | 0.0000 × 10 | 2.2204 × 10−16 | 1.2316 × 10−2 | 0.0000 × 10 | 0.0000 × 10 | 0.0000 × 10 | 1.3391 × 10−2 | 0.0000 × 10 |
| WORST | 4.8665 × 10−1 | 0.0000 × 10 | 7.3336 × 10−1 | 1.3933 × 10−1 | 0.0000 × 10 | 3.1821 × 10−1 | 3.1513 × 10−1 | 0.0000 × 10 | 0.0000 × 10 | 0.0000 × 10 | 1.1290 × 10 | 0.0000 × 10 | |
| AVG | 1.8551 × 10−1 | 0.0000 × 10 | 1.1864 × 10−1 | 2.7407 × 10−2 | 0.0000 × 10 | 1.8879 × 10−2 | 9.4285 × 10−2 | 0.0000 × 10 | 0.0000 × 10 | 0.0000 × 10 | 4.6505 × 10−1 | 0.0000 × 10 | |
| STD | 8.4496 × 10−2 | 0.0000 × 10 | 1.7150 × 10−1 | 3.1650 × 10−2 | 0.0000 × 10 | 6.0507 × 10−2 | 6.1842 × 10−2 | 0.0000 × 10 | 0.0000 × 10 | 0.0000 × 10 | 2.7292 × 10−1 | 0.0000 × 10 | |
| F12 | BEST | 3.2353 × 10−9 | 1.8459 × 10−8 | 1.0962 × 10−4 | 2.9744 × 10−7 | 7.1966 × 10−9 | 4.1341 × 10−2 | 4.7116 × 10−32 | 1.8067 × 10−7 | 3.2162 × 10−5 | 4.1165 × 10−7 | 5.5244 × 10−2 | 5.1174 × 10−13 |
| WORST | 1.3062 × 101 | 1.7967 × 10−5 | 5.1276 × 10−2 | 4.0215 × 10−2 | 1.7648 × 10−4 | 1.9811 × 10−1 | 3.1101 × 10−1 | 6.1760 × 10−2 | 2.1590 × 10−4 | 8.8219 × 10−6 | 1.1824 × 101 | 2.4464 × 10−11 | |
| AVG | 3.3176 × 10 | 4.6214 × 10−6 | 8.7421 × 10−3 | 4.6461 × 10−3 | 2.2065 × 10−5 | 9.8261 × 10−2 | 2.0734 × 10−2 | 2.5498 × 10−2 | 9.5095 × 10−5 | 4.2107 × 10−6 | 4.4034 × 10 | 6.5120 × 10−12 | |
| STD | 3.0718 × 10 | 4.8609 × 10−6 | 1.1362 × 10−2 | 1.1352 × 10−2 | 3.7004 × 10−5 | 3.7445 × 10−2 | 7.8905 × 10−2 | 1.9259 × 10−2 | 5.0230 × 10−5 | 2.2484 × 10−6 | 3.8744 × 10 | 5.8359 × 10−12 | |
| F13 | BEST | 8.8727 × 10−9 | 2.9132 × 10−8 | 1.8216 × 10−3 | 1.4977 × 10−6 | 1.7398 × 10−7 | 1.1281 × 10−1 | 1.3498 × 10−32 | 3.3228 × 10−7 | 1.2692 × 10−5 | 1.1064 × 10−5 | 2.2053 × 10−1 | 7.7543 × 10−12 |
| WORST | 1.0989 × 10−2 | 3.1595 × 10−5 | 3.3480 × 10−1 | 1.0585 × 10−1 | 2.5304 × 10−4 | 5.2646 × 10−1 | 1.0987 × 10−2 | 6.1085 × 10−1 | 3.6908 × 10−4 | 1.8577 × 10−3 | 1.1617 × 10 | 1.2771 × 10−10 | |
| AVG | 4.3953 × 10−3 | 7.1443 × 10−6 | 3.7690 × 10−2 | 1.9994 × 10−2 | 5.3210 × 10−5 | 3.3134 × 10−1 | 1.8312 × 10−3 | 1.5142 × 10−1 | 1.3269 × 10−4 | 8.6463 × 10−4 | 6.8180 × 10−1 | 2.9565 × 10−11 | |
| STD | 5.4749 × 10−3 | 9.9403 × 10−6 | 7.0561 × 10−2 | 4.0686 × 10−2 | 6.2462 × 10−5 | 9.3969 × 10−2 | 4.1648 × 10−3 | 1.5213 × 10−1 | 9.9907 × 10−5 | 5.0346 × 10−4 | 2.3735 × 10−1 | 2.7515 × 10−11 | |
| F14 | BEST | 9.9800 × 10−1 | 9.9800 × 10−1 | 9.9800 × 10−1 | 9.9800 × 10−1 | 9.9800 × 10−1 | 9.9800 × 10−1 | 9.9800 × 10−1 | 9.9800 × 10−1 | 9.9800 × 10−1 | 9.9800 × 10−1 | 1.9920 × 10 | 9.9800 × 10−1 |
| WORST | 6.9033 × 10 | 1.2671 × 101 | 1.0763 × 101 | 1.2671 × 101 | 2.9821 × 10 | 1.0763 × 101 | 1.5504 × 101 | 1.0763 × 101 | 9.9800 × 10−1 | 9.9800 × 10−1 | 1.8304 × 101 | 9.9800 × 10−1 | |
| AVG | 2.3166 × 10 | 2.6961 × 10 | 3.3480 × 10 | 3.6150 × 10 | 1.3621 × 10 | 1.8587 × 10 | 3.8115 × 10 | 3.7499 × 10 | 9.9800 × 10−1 | 9.9800 × 10−1 | 1.0527 × 101 | 9.9800 × 10−1 | |
| STD | 1.7442 × 10 | 3.3647 × 10 | 3.8423 × 10 | 3.5589 × 10 | 6.6368 × 10−1 | 1.8997 × 10 | 3.5925 × 10 | 3.3038 × 10 | 1.9324 × 10−9 | 9.9974 × 10−13 | 4.7831 × 10 | 1.3039 × 10−16 | |
| F15 | BEST | 5.0276 × 10−4 | 3.1769 × 10−4 | 3.0814 × 10−4 | 3.0761 × 10−4 | 3.0836 × 10−4 | 4.5297 × 10−4 | 3.0749 × 10−4 | 3.0749 × 10−4 | 3.0843 × 10−4 | 3.1270 × 10−4 | 3.0762 × 10−4 | 3.0749 × 10−4 |
| WORST | 2.1190 × 10−2 | 6.8650 × 10−4 | 2.2519 × 10−3 | 2.0363 × 10−2 | 1.2786 × 10−3 | 1.6561 × 10−3 | 2.0363 × 10−2 | 1.2232 × 10−3 | 5.6592 × 10−4 | 1.2244 × 10−3 | 7.1778 × 10−2 | 3.0749 × 10−4 | |
| AVG | 2.9856 × 10−3 | 4.6581 × 10−4 | 7.4534 × 10−4 | 3.0763 × 10−3 | 4.0172 × 10−4 | 1.0507 × 10−3 | 1.7857 × 10−3 | 4.2973 × 10−4 | 3.4707 × 10−4 | 5.8009 × 10−4 | 1.0153 × 10−2 | 3.0749 × 10−4 | |
| STD | 6.0707 × 10−3 | 8.0778 × 10−5 | 4.5580 × 10−4 | 6.9004 × 10−3 | 2.3300 × 10−4 | 3.8354 × 10−4 | 5.0648 × 10−3 | 2.7731 × 10−4 | 5.3316 × 10−5 | 3.1900 × 10−4 | 1.7261 × 10−2 | 5.3334 × 10−19 | |
| F16 | BEST | −1.0316 × 10 | −1.0316 × 10 | −1.0316 × 10 | −1.0316 × 10 | −1.0316 × 10 | −1.0316 × 10 | −1.0316 × 10 | −1.0316 × 10 | −1.0316 × 10 | −1.0316 × 10 | −1.0316 × 10 | −1.0316 × 10 |
| WORST | −1.0316 × 10 | −1.0303 × 10 | −1.0316 × 10 | −1.0316 × 10 | −1.0316 × 10 | −1.0315 × 10 | −1.0316 × 10 | −1.0316 × 10 | −1.0311 × 10 | −1.0316 × 10 | −1.0000 × 10 | −1.0316 × 10 | |
| AVG | −1.0316 × 10 | −1.0313 × 10 | −1.0316 × 10 | −1.0316 × 10 | −1.0316 × 10 | −1.0316 × 10 | −1.0316 × 10 | −1.0316 × 10 | −1.0315 × 10 | −1.0316 × 10 | −1.0295 × 10 | −1.0316 × 10 | |
| STD | 1.8708 × 10−13 | 3.3962 × 10−4 | 1.0948 × 10−9 | 4.0026 × 10−8 | 4.4340 × 10−10 | 2.5326 × 10−5 | 6.5843 × 10−16 | 1.1770 × 10−9 | 1.1789 × 10−4 | 1.0544 × 10−9 | 8.0244 × 10−3 | 6.5843 × 10−16 | |
| F17 | BEST | 3.9789 × 10−1 | 3.9789 × 10−1 | 3.9789 × 10−1 | 3.9789 × 10−1 | 3.9789 × 10−1 | 3.9800 × 10−1 | 3.9789 × 10−1 | 3.9789 × 10−1 | 3.9789 × 10−1 | 3.9789 × 10−1 | 3.9789 × 10−1 | 3.9789 × 10−1 |
| WORST | 3.9789 × 10−1 | 3.9897 × 10−1 | 3.9792 × 10−1 | 4.0260 × 10−1 | 3.9805 × 10−1 | 4.0635 × 10−1 | 3.9789 × 10−1 | 3.9789 × 10−1 | 4.0744 × 10−1 | 3.9789 × 10−1 | 3.9807 × 10−1 | 3.9789 × 10−1 | |
| AVG | 3.9789 × 10−1 | 3.9818 × 10−1 | 3.9789 × 10−1 | 3.9805 × 10−1 | 3.9790 × 10−1 | 3.9965 × 10−1 | 3.9789 × 10−1 | 3.9789 × 10−1 | 3.9905 × 10−1 | 3.9789 × 10−1 | 3.9793 × 10−1 | 3.9789 × 10−1 | |
| STD | 1.2360 × 10−13 | 3.4911 × 10−4 | 9.5510 × 10−6 | 8.5918 × 10−4 | 3.3644 × 10−5 | 2.1041 × 10−3 | 0.0000 × 10 | 5.1077 × 10−8 | 1.7514 × 10−3 | 1.1643 × 10−7 | 4.2676 × 10−5 | 0.0000 × 10 | |
| F18 | BEST | 3.0000 × 10 | 3.0006 × 10 | 3.0000 × 10 | 3.0000 × 10 | 3.0000 × 10 | 3.0000 × 10 | 3.0000 × 10 | 3.0000 × 10 | 3.0050 × 10 | 3.0000 × 10 | 3.0000 × 10 | 3.0000 × 10 |
| WORST | 3.0000 × 10 | 3.1468 × 10 | 3.0012 × 10 | 8.4000 × 101 | 3.0000 × 10 | 3.0006 × 10 | 3.0000 × 10 | 3.0000 × 10 | 4.9727 × 10 | 0.0000 × 10 | 8.4001 × 101 | 3.0000 × 10 | |
| AVG | 3.0000 × 10 | 3.0305 × 10 | 3.0001 × 10 | 5.7000 × 10 | 3.0000 × 10 | 3.0001 × 10 | 3.0000 × 10 | 3.0000 × 10 | 3.3860 × 10 | 3.0000 × 10 | 7.5011 × 10 | 3.0000 × 10 | |
| STD | 6.4277 × 10−13 | 3.2925 × 10−2 | 2.1716 × 10−4 | 1.4789 × 101 | 1.1931 × 10−6 | 1.3372 × 10−4 | 1.9980 × 10−15 | 1.0311 × 10−5 | 4.8352 × 10−1 | 2.6187 × 10−11 | 1.5986 × 101 | 1.5948 × 10−15 | |
| F19 | BEST | −3.8628 × 10 | −3.8620 × 10 | −3.8626 × 10 | −3.8628 × 10 | −3.8628 × 10 | −3.8620 × 10 | −3.8628 × 10 | −3.8628 × 10 | −3.8627 × 10 | −3.8628 × 10 | −3.8628 × 10 | −3.8628 × 10 |
| WORST | −3.8628 × 10 | −3.8504 × 10 | −3.8415 × 10 | −3.8549 × 10 | −3.8382 × 10 | −3.8460 × 10 | −3.0898 × 10 | −3.8549 × 10 | −3.8507 × 10 | −3.8628 × 10 | −3.8552 × 10 | −3.8628 × 10 | |
| AVG | −3.8628 × 10 | −3.8578 × 10 | −3.8566 × 10 | −3.8612 × 10 | −3.8593 × 10 | −3.8545 × 10 | −3.8370 × 10 | −3.8592 × 10 | −3.8589 × 10 | −3.8628 × 10 | −3.8624 × 10 | −3.8628 × 10 | |
| STD | 1.2953 × 10−13 | 3.4096 × 10−3 | 5.5468 × 10−3 | 2.6829 × 10−3 | 5.0772 × 10−3 | 3.4562 × 10−3 | 1.4113 × 10−1 | 3.8708 × 10−3 | 3.3346 × 10−3 | 1.3473 × 10−7 | 1.3769 × 10−3 | 2.5973 × 10−15 | |
| F20 | BEST | −3.3220 × 10 | −3.2972 × 10 | −3.3218 × 10 | −3.3220 × 10 | −3.2863 × 10 | −3.1186 × 10 | −3.3220 × 10 | −3.3220 × 10 | −3.3181 × 10 | −3.3220 × 10 | −3.3213 × 10 | −3.3220 × 10 |
| WORST | −3.1996 × 10 | −3.0836 × 10 | −2.8386 × 10 | −3.1367 × 10 | −2.7892 × 10 | −9.8858 × 10−1 | −3.2031 × 10 | −2.8404 × 10 | −3.1905 × 10 | −3.2011 × 10 | −2.4326 × 10 | −3.3220 × 10 | |
| AVG | −3.2740 × 10 | −3.1992 × 10 | −3.2036 × 10 | −3.2665 × 10 | −3.1038 × 10 | −2.7544 × 10 | −3.2744 × 10 | −3.2200 × 10 | −3.2873 × 10 | −3.2504 × 10 | −3.2080 × 10 | −3.3220 × 10 | |
| STD | 5.9816 × 10−2 | 6.2971 × 10−2 | 1.1950 × 10−1 | 7.1329 × 10−2 | 1.1852 × 10−1 | 5.2798 × 10−1 | 5.9241 × 10−2 | 1.3406 × 10−1 | 3.7116 × 10−2 | 5.9441 × 10−2 | 1.6399 × 10−1 | 1.2613 × 10−14 | |
| F21 | BEST | −1.0153 × 101 | −1.0153 × 101 | −1.0150 × 101 | −1.0153 × 101 | −1.0091 × 101 | −7.7295 × 10 | −1.0153 × 101 | −1.0153 × 101 | −1.0153 × 101 | −1.0153 × 101 | −1.0078 × 101 | −1.0153 × 101 |
| WORST | −2.6305 × 10 | −1.0119 × 101 | −5.0167 × 10 | −2.6825 × 10 | −5.0256 × 10 | −4.9650 × 10−1 | −2.6305 × 10 | −2.6305 × 10 | −1.0097 × 101 | −1.0152 × 101 | −2.5936 × 10 | −1.0153 × 101 | |
| AVG | −6.2079 × 10 | −1.0147 × 101 | −8.3210 × 10 | −8.5542 × 10 | −5.6873 × 10 | −2.7290 × 10 | −6.4862 × 10 | −5.6556 × 10 | −1.0148 × 101 | −1.0153 × 101 | −5.6627 × 10 | −1.0153 × 101 | |
| STD | 2.9954 × 10 | 7.9877 × 10−3 | 2.4327 × 10 | 2.5179 × 10 | 1.6557 × 10 | 2.0701 × 10 | 3.5754 × 10 | 1.8478 × 10 | 1.0444 × 10−2 | 2.4903 × 10−4 | 3.1604 × 10 | 4.4378 × 10−15 | |
| F22 | BEST | −1.0403 × 101 | −1.0403 × 101 | −1.0402 × 101 | −1.0403 × 101 | −1.0162 × 101 | −6.3251 × 10 | −1.0403 × 101 | −1.0403 × 101 | −1.0403 × 101 | −1.0403 × 101 | −1.0390 × 101 | −1.0403 × 101 |
| WORST | −1.8376 × 10 | −1.0321 × 101 | −1.8349 × 10 | −5.0876 × 10 | −5.0595 × 10 | −5.2111 × 10−1 | −2.7519 × 10 | −2.7519 × 10 | −1.0357 × 101 | −1.0402 × 101 | −2.7077 × 10 | −1.0403 × 101 | |
| AVG | −6.2220 × 10 | −1.0394 × 101 | −7.6582 × 10 | −1.0224 × 101 | −5.2515 × 10 | −3.5061 × 10 | −6.1636 × 10 | −6.0770 × 10 | −1.0396 × 101 | −1.0403 × 101 | −6.7207 × 10 | −1.0403 × 101 | |
| STD | 3.3806 × 10 | 1.6368 × 10−2 | 3.1985 × 10 | 9.7010 × 10−1 | 9.2741 × 10−1 | 1.5200 × 10 | 3.6038 × 10 | 2.2407 × 10 | 1.1792 × 10−2 | 2.5265 × 10−4 | 3.5924 × 10 | 1.6820 × 10−15 | |
| F23 | BEST | −1.0536 × 101 | −1.0536 × 101 | −1.0532 × 101 | −1.0536 × 101 | −5.1283 × 10 | −6.8651 × 10 | −1.0536 × 101 | −1.0536 × 101 | −1.0536 × 101 | −1.0536 × 101 | −1.0448 × 101 | −1.0536 × 101 |
| WORST | −1.8595 × 10 | −1.0421 × 101 | −1.6707 × 10 | −1.0534 × 101 | −5.0530 × 10 | −9.4079 × 10−1 | −2.4217 × 10 | −3.8354 × 10 | −1.0508 × 101 | −1.0535 × 101 | −1.8540 × 10 | −1.0536 × 101 | |
| AVG | −6.0792 × 10 | −1.0526 × 101 | −7.5463 × 10 | −1.0535 × 101 | −5.1226 × 10 | −3.8122 × 10 | −7.0971 × 10 | −7.6090 × 10 | −1.0531 × 101 | −1.0536 × 101 | −5.7954 × 10 | −1.0536 × 101 | |
| STD | 3.5858 × 10 | 2.1763 × 10−2 | 3.1869 × 10 | 6.2809 × 10−4 | 1.4116 × 10−2 | 1.6164 × 10 | 3.8113 × 10 | 2.7947 × 10 | 5.9025 × 10−3 | 2.6721 × 10−4 | 3.7811 × 10 | 2.3787 × 10−15 |
| Function | Index | ALO | AO | WOA | GWO | HHO | SCA | PSO | SCSO | BWO | SMA | TSA | DOA |
|---|---|---|---|---|---|---|---|---|---|---|---|---|---|
| F1 | BEST | 1.0524 × 107 | 4.1698 × 104 | 5.0906 × 107 | 2.2452 × 105 | 4.4051 × 104 | 7.7850 × 106 | 1.1785 × 107 | 4.1078 × 104 | 4.1294 × 104 | 4.2386 × 104 | 5.5263 × 104 | 3.1396 × 104 |
| WORST | 7.5514 × 1010 | 7.9894 × 104 | 1.4315 × 1011 | 2.8913 × 109 | 6.9285 × 104 | 6.2329 × 1010 | 1.3783 × 109 | 6.4961 × 104 | 4.9830 × 104 | 1.3684 × 105 | 2.0232 × 109 | 3.1865 × 104 | |
| AVG | 1.5882 × 1010 | 5.3880 × 104 | 4.1403 × 1010 | 2.6299 × 108 | 5.3545 × 104 | 9.3712 × 109 | 4.7705 × 108 | 4.5815 × 104 | 4.4653 × 104 | 6.4211 × 104 | 3.6418 × 108 | 3.1429 × 104 | |
| STD | 1.9095 × 1010 | 8.4237 × 103 | 4.3197 × 1010 | 5.8352 × 108 | 5.5077 × 103 | 1.3000 × 1010 | 4.3943 × 108 | 4.8096 × 103 | 2.1914 × 103 | 2.4754 × 104 | 5.5701 × 108 | 9.7250 × 101 | |
| F2 | BEST | 1.7343 × 101 | 1.7349 × 101 | 1.7344 × 101 | 1.7343 × 101 | 1.7346 × 101 | 1.7390 × 101 | 1.7343 × 101 | 1.7343 × 101 | 1.7421 × 101 | 1.7343 × 101 | 1.7351 × 101 | 1.7343 × 101 |
| WORST | 1.7381 × 101 | 1.7396 × 101 | 1.7519 × 101 | 1.7686 × 101 | 1.7383 × 101 | 1.8207 × 101 | 1.7343 × 101 | 1.7685 × 101 | 1.7764 × 101 | 1.7344 × 101 | 1.9565 × 101 | 1.7343 × 101 | |
| AVG | 1.7346 × 101 | 1.7370 × 101 | 1.7356 × 101 | 1.7366 × 101 | 1.7360 × 101 | 1.7495 × 101 | 1.7343 × 101 | 1.7354 × 101 | 1.7512 × 101 | 1.7344 × 101 | 1.8615 × 101 | 1.7343 × 101 | |
| STD | 7.2684 × 10−3 | 1.2890 × 10−2 | 3.1835 × 10−2 | 8.5832 × 10−2 | 8.8189 × 10−3 | 1.4527 × 10−1 | 7.1360 × 10−15 | 6.2437 × 10−2 | 8.6619 × 10−2 | 3.6177 × 10−4 | 5.8347 × 10−1 | 1.2737 × 10−8 | |
| F3 | BEST | 1.2702 × 101 | 1.2702 × 101 | 1.2702 × 101 | 1.2702 × 101 | 1.2702 × 101 | 1.2702 × 101 | 1.2702 × 101 | 1.2702 × 101 | 1.2702 × 101 | 1.2702 × 101 | 1.2702 × 101 | 1.2702 × 101 |
| WORST | 1.2702 × 101 | 1.2702 × 101 | 1.2702 × 101 | 1.2703 × 101 | 1.2702 × 101 | 1.2703 × 101 | 1.2702 × 101 | 1.2702 × 101 | 1.2703 × 101 | 1.2704 × 101 | 1.2708 × 101 | 1.2702 × 101 | |
| AVG | 1.2702 × 101 | 1.2702 × 101 | 1.2702 × 101 | 1.2702 × 101 | 1.2702 × 101 | 1.2703 × 101 | 1.2702 × 101 | 1.2702 × 101 | 1.2703 × 101 | 1.2703 × 101 | 1.2703 × 101 | 1.2702 × 101 | |
| STD | 3.9994 × 10−15 | 7.2612 × 10−6 | 2.9981 × 10−6 | 1.7770 × 10−4 | 1.1300 × 10−5 | 1.2501 × 10−4 | 3.6134 × 10−15 | 1.0800 × 10−5 | 1.1069 × 10−4 | 2.6904 × 10−4 | 1.1920 × 10−3 | 3.6134 × 10−15 | |
| F4 | BEST | 4.9749 × 10 | 1.0930 × 102 | 1.2819 × 102 | 2.4698 × 101 | 7.5085 × 101 | 4.1653 × 102 | 5.9697 × 10 | 4.7475 × 101 | 1.8107 × 102 | 6.1701 × 10 | 8.7690 × 101 | 4.9750 × 10 |
| WORST | 9.9495 × 101 | 2.0480 × 103 | 6.5617 × 102 | 2.4208 × 103 | 3.9601 × 102 | 5.3521 × 103 | 3.6813 × 101 | 4.1892 × 103 | 5.4036 × 102 | 5.8778 × 101 | 1.1060 × 104 | 2.5869 × 101 | |
| AVG | 3.6449 × 101 | 7.8227 × 102 | 3.0647 × 102 | 1.9263 × 102 | 1.9605 × 102 | 1.5818 × 103 | 1.9916 × 101 | 6.5205 × 102 | 3.1810 × 102 | 2.4556 × 101 | 3.9183 × 103 | 1.5076 × 101 | |
| STD | 2.4696 × 101 | 5.7766 × 102 | 1.3402 × 102 | 4.9185 × 102 | 8.5592 × 101 | 1.0635 × 103 | 9.1843 × 10 | 1.1774 × 103 | 1.0275 × 102 | 1.2463 × 101 | 2.9248 × 103 | 5.8766 × 10 | |
| F5 | BEST | 1.0738 × 10 | 1.2062 × 10 | 1.3203 × 10 | 1.0672 × 10 | 1.4519 × 10 | 2.0565 × 10 | 1.0418 × 10 | 1.0959 × 10 | 1.6280 × 10 | 1.0869 × 10 | 1.5919 × 10 | 1.0222 × 10 |
| WORST | 1.4255 × 10 | 1.9763 × 10 | 2.9947 × 10 | 1.9578 × 10 | 5.2742 × 10 | 2.6169 × 10 | 1.4650 × 10 | 2.2872 × 10 | 2.0456 × 10 | 1.4867 × 10 | 4.5494 × 10 | 1.3398 × 10 | |
| AVG | 1.2122 × 10 | 1.5194 × 10 | 1.9430 × 10 | 1.3717 × 10 | 2.5601 × 10 | 2.2246 × 10 | 1.1330 × 10 | 1.5089 × 10 | 1.8942 × 10 | 1.2725 × 10 | 2.7302 × 10 | 1.1268 × 10 | |
| STD | 1.0136 × 10−1 | 1.9548 × 10−1 | 4.1360 × 10−1 | 2.6179 × 10−1 | 7.7186 × 10−1 | 1.0729 × 10−1 | 1.0258 × 10−1 | 2.5240 × 10−1 | 8.3123 × 10−2 | 1.2232 × 10−1 | 7.3709 × 10−1 | 7.8806 × 10−2 | |
| F6 | BEST | 2.8285 × 10 | 8.3682 × 10 | 6.6422 × 10 | 9.3471 × 10 | 6.3064 × 10 | 9.0529 × 10 | 4.2310 × 10 | 5.2853 × 10 | 6.7584 × 10 | 4.4853 × 10 | 9.8392 × 10 | 2.2258 × 10 |
| WORST | 7.9548 × 10 | 1.2518 × 101 | 1.0607 × 101 | 1.2390 × 101 | 1.1138 × 101 | 1.1996 × 101 | 1.1278 × 101 | 1.0954 × 101 | 9.9664 × 10 | 9.0898 × 10 | 1.2216 × 101 | 4.9751 × 10 | |
| AVG | 4.9505 × 10 | 1.0695 × 101 | 9.1739 × 10 | 1.1044 × 101 | 9.4233 × 10 | 1.1017 × 101 | 7.0505 × 10 | 7.9568 × 10 | 8.5905 × 10 | 6.8056 × 10 | 1.1071 × 101 | 3.8321 × 10 | |
| STD | 1.5129 × 10 | 1.0567 × 10 | 1.0543 × 10 | 6.6947 × 10−1 | 1.1864 × 10 | 6.9075 × 10−1 | 1.8741 × 10 | 1.4513 × 10 | 7.7583 × 10−1 | 9.8960 × 10−1 | 5.7628 × 10−1 | 8.7201 × 10−1 | |
| F7 | BEST | 9.8351 × 101 | 1.1120 × 102 | 1.5133 × 102 | 6.7121 × 101 | 9.1982 × 101 | 5.0234 × 102 | −8.8501 × 101 | −8.0707 × 101 | 5.4538 × 101 | −5.9479 × 101 | 3.7540 × 102 | −1.6663 × 102 |
| WORST | 9.5480 × 102 | 6.4988 × 102 | 1.2165 × 103 | 1.0107 × 103 | 8.2801 × 102 | 1.1235 × 103 | 4.6182 × 102 | 1.0922 × 103 | 4.7198 × 102 | 6.7150 × 102 | 1.2042 × 103 | 2.2628 × 102 | |
| AVG | 4.5660 × 102 | 3.7922 × 102 | 5.9062 × 102 | 4.8331 × 102 | 4.0593 × 102 | 8.2431 × 102 | 1.8449 × 102 | 3.8790 × 102 | 2.8352 × 102 | 2.1913 × 102 | 6.3319 × 102 | 8.0006 × 101 | |
| STD | 2.4412 × 102 | 1.4458 × 102 | 3.0262 × 102 | 2.6051 × 102 | 2.1134 × 102 | 1.4737 × 102 | 1.1245 × 102 | 2.4364 × 102 | 1.1895 × 102 | 1.6258 × 102 | 2.0323 × 102 | 1.0932 × 102 | |
| F8 | BEST | 4.4131 × 10 | 4.1992 × 10 | 5.0904 × 10 | 3.5753 × 10 | 4.6609 × 10 | 5.0461 × 10 | 3.1411 × 10 | 4.1435 × 10 | 3.7252 × 10 | 4.4942 × 10 | 3.8365 × 10 | 2.7047 × 10 |
| WORST | 6.3656 × 10 | 6.5265 × 10 | 6.7725 × 10 | 7.3037 × 10 | 6.6582 × 10 | 7.0058 × 10 | 6.6434 × 10 | 6.1143 × 10 | 5.9928 × 10 | 6.4664 × 10 | 7.0712 × 10 | 4.1412 × 10 | |
| AVG | 5.4146 × 10 | 5.3052 × 10 | 5.9325 × 10 | 5.0556 × 10 | 5.7258 × 10 | 6.1432 × 10 | 5.0990 × 10 | 5.3260 × 10 | 5.0581 × 10 | 5.6267 × 10 | 6.0162 × 10 | 3.6407 × 10 | |
| STD | 5.5831 × 10−1 | 6.1786 × 10−1 | 4.5467 × 10−1 | 1.0333 × 10 | 4.7379 × 10−1 | 5.1114 × 10−1 | 7.9382 × 10−1 | 6.5769 × 10−1 | 6.0443 × 10−1 | 5.5319 × 10−1 | 7.2751 × 10−1 | 3.9837 × 10−1 | |
| F9 | BEST | 2.3961 × 10 | 2.9584 × 10 | 3.4915 × 10 | 2.9558 × 10 | 2.5584 × 10 | 2.7107 × 101 | 2.3504 × 10 | 2.7439 × 10 | 3.8844 × 10 | 2.3951 × 10 | 2.7757 × 10 | 2.3920 × 10 |
| WORST | 2.7971 × 10 | 6.7450 × 10 | 6.5055 × 10 | 6.2168 × 10 | 4.3989 × 10 | 3.2795 × 102 | 2.9099 × 10 | 6.6596 × 10 | 3.7412 × 101 | 2.9872 × 10 | 2.0220 × 103 | 2.6314 × 10 | |
| AVG | 2.5771 × 10 | 4.6146 × 10 | 4.7443 × 10 | 4.6471 × 10 | 3.2594 × 10 | 1.1077 × 102 | 2.4230 × 10 | 4.7922 × 10 | 7.9984 × 10 | 2.4988 × 10 | 4.0230 × 102 | 2.4870 × 10 | |
| STD | 1.1380 × 10−1 | 8.7950 × 10−1 | 9.4702 × 10−1 | 8.5193 × 10−1 | 4.2615 × 10−1 | 7.7225 × 101 | 9.7501 × 10−2 | 9.9272 × 10−1 | 6.7081 × 10 | 1.1128 × 10−1 | 5.5418 × 102 | 6.2969 × 10−2 | |
| F10 | BEST | 1.9748 × 101 | 2.5365 × 10 | 2.0052 × 101 | 2.0280 × 101 | 2.0087 × 101 | 2.0248 × 101 | 1.9961 × 101 | 1.2093 × 101 | 9.1317 × 10 | 1.7620 × 10−1 | 2.0201 × 101 | 1.9950 × 101 |
| WORST | 2.0354 × 101 | 2.0656 × 101 | 2.0595 × 101 | 2.0645 × 101 | 2.0491 × 101 | 2.0702 × 101 | 2.0332 × 101 | 2.0428 × 101 | 2.0320 × 101 | 2.0489 × 101 | 2.0639 × 101 | 2.0368 × 101 | |
| AVG | 2.0046 × 101 | 1.9800 × 101 | 2.0288 × 101 | 2.0503 × 101 | 2.0238 × 101 | 2.0496 × 101 | 2.0106 × 101 | 1.9867 × 101 | 1.8814 × 101 | 1.9543 × 101 | 2.0511 × 101 | 2.0032 × 101 | |
| STD | 1.1879 × 10−1 | 3.2621 × 10 | 1.3241 × 10−1 | 8.0313 × 10−2 | 1.1784 × 10−1 | 9.6174 × 10−2 | 1.1230 × 10−1 | 1.4736 × 10 | 3.0077 × 10 | 3.6596 × 10 | 9.6338 × 10−2 | 6.9775 × 10−2 |
| ALO | AO | WOA | GWO | HHO | SCA | PSO | SCSO | BWO | SMA | TSA | DOA | |
|---|---|---|---|---|---|---|---|---|---|---|---|---|
| Friedman statistic | 6.8261 | 6.1087 | 7.4130 | 6.6739 | 5.8913 | 10.8696 | 5.3043 | 5.3478 | 6.7609 | 4.4130 | 9.8261 | 2.5652 |
| p-value | 1.4881 × 10−17 | |||||||||||
| ARD | 4.2610 | 3.5430 | 4.8480 | 4.1090 | 3.3260 | 8.3040 | 2.7390 | 2.7830 | 4.1960 | 1.8480 | 7.2610 | \ |
| ALO | AO | WOA | GWO | HHO | SCA | PSO | SCSO | BWO | SMA | TSA | DOA | |
|---|---|---|---|---|---|---|---|---|---|---|---|---|
| Friedman statistic | 5.1000 | 7.4000 | 9.0000 | 6.4000 | 7.5000 | 11.0000 | 3.5000 | 4.4000 | 8.0000 | 5.0000 | 8.7000 | 2.0000 |
| p-value | 3.6740 × 10−8 | |||||||||||
| ARD | 3.1000 | 5.4000 | 7.0000 | 4.4000 | 5.5000 | 9.0000 | 1.5000 | 2.4000 | 6.0000 | 3.0000 | 6.7000 | \ |
| Function | Index | ALO | AO | WOA | GWO | HHO | SCA | PSO | SCSO | BWO | SMA | TSA | DOA |
|---|---|---|---|---|---|---|---|---|---|---|---|---|---|
| F1 | BEST | 1.4919 × 105 | 1.0993 × 10−161 | 1.0314 × 10−80 | 7.2524 × 10−4 | 2.2585 × 10−116 | 5.4519 × 104 | 3.3941 × 104 | 6.1921 × 10−111 | 1.1412 × 10−261 | 0.0000 × 10 | 4.8324 × 10−3 | 0.0000 × 10 |
| WORST | 2.9999 × 105 | 2.2875 × 10−99 | 8.5660 × 10−65 | 2.9258 × 10−3 | 3.8228 × 10−95 | 3.5666 × 105 | 6.4493 × 104 | 9.7152 × 10−97 | 1.3465 × 10−252 | 7.6319 × 10−254 | 1.5393 × 10−1 | 0.0000 × 10 | |
| AVG | 2.1539 × 105 | 7.6260 × 10−101 | 2.8555 × 10−66 | 1.6991 × 10−3 | 2.2326 × 10−96 | 1.8722 × 105 | 4.3603 × 104 | 6.7048 × 10−98 | 7.9617 × 10−254 | 2.5440 × 10−255 | 3.5672 × 10−2 | 0.0000 × 10 | |
| STD | 3.7605 × 104 | 4.1764 × 10−100 | 1.5639 × 10−65 | 5.4620 × 10−4 | 7.4859 × 10−96 | 7.9677 × 104 | 6.6711 × 103 | 2.4341 × 10−97 | 0.0000 × 10 | 0.0000 × 10 | 3.3245 × 10−2 | 0.0000 × 10 | |
| F2 | BEST | 1.9904 × 103 | 1.3609 × 10−80 | 1.7394 × 10−55 | 8.7616 × 10−3 | 6.3369 × 10−57 | 3.3741 × 101 | 3.3359 × 102 | 1.1736 × 10−56 | 2.2432 × 10−133 | 3.0798 × 10−62 | 2.5681 × 10−3 | 2.1900 × 10−321 |
| WORST | 7.2739 × 10246 | 4.9450 × 10−50 | 4.9565 × 10−47 | 1.7000 × 10−2 | 4.8109 × 10−48 | 2.7344 × 102 | 1.0918 × 103 | 9.4485 × 10−52 | 4.7967 × 10−128 | 5.1027 × 10 | 2.8349 × 10−2 | 4.0167 × 10−301 | |
| AVG | 2.4246 × 10245 | 1.6885 × 10−51 | 3.5018 × 10−48 | 1.0834 × 10−2 | 3.2903 × 10−49 | 1.0306 × 102 | 8.9346 × 102 | 1.2392 × 10−52 | 3.0508 × 10−129 | 3.8911 × 10−1 | 7.9892 × 10−3 | 1.4064 × 10−302 | |
| STD | Inf | 9.0234 × 10−51 | 1.0751 × 10−47 | 1.5860 × 10−3 | 9.5649 × 10−49 | 5.4869 × 101 | 2.4524 × 102 | 2.3114 × 10−52 | 9.2257 × 10−129 | 1.1792 × 10 | 5.0239 × 10−3 | 0.0000 × 10 | |
| F3 | BEST | 1.1901 × 106 | 5.5111 × 10−159 | 1.3060 × 107 | 1.7430 × 105 | 1.6583 × 10−86 | 4.6410 × 106 | 5.0185 × 105 | 2.3096 × 10−96 | 3.3506 × 10−243 | 0.0000 × 10 | 9.7320 × 105 | 0.0000 × 10 |
| WORST | 3.1503 × 106 | 9.2615 × 10−94 | 6.7293 × 107 | 4.9890 × 105 | 1.2834 × 10−35 | 9.1379 × 106 | 1.1561 × 106 | 9.2064 × 10−84 | 1.1621 × 10−229 | 9.3098 × 10−148 | 1.6348 × 106 | 0.0000 × 10 | |
| AVG | 1.9613 × 106 | 3.0955 × 10−95 | 3.2282 × 107 | 3.3403 × 105 | 4.5275 × 10−37 | 6.5663 × 106 | 7.7584 × 105 | 3.1724 × 10−85 | 6.4783 × 10−231 | 3.1033 × 10−149 | 1.3448 × 106 | 0.0000 × 10 | |
| STD | 5.5429 × 105 | 1.6908 × 10−94 | 1.3082 × 107 | 7.7403 × 104 | 2.3423 × 10−36 | 1.2976 × 106 | 1.6624 × 105 | 1.6792 × 10−84 | 0.0000 × 10 | 1.6997 × 10−148 | 1.8860 × 105 | 0.0000 × 10 | |
| F4 | BEST | 3.9563 × 101 | 8.8476 × 10−81 | 1.4104 × 101 | 5.9332 × 101 | 1.9066 × 10−56 | 9.8418 × 101 | 4.3459 × 101 | 5.2745 × 10−51 | 6.0067 × 10−121 | 4.7391 × 10−217 | 9.8673 × 101 | 1.7850 × 10−317 |
| WORST | 5.4613 × 101 | 4.1701 × 10−56 | 9.8320 × 101 | 7.7591 × 101 | 1.7140 × 10−46 | 9.9492 × 101 | 5.8169 × 101 | 2.3087 × 10−42 | 1.5692 × 10−113 | 4.2130 × 10−92 | 9.9410 × 101 | 1.8031 × 10−292 | |
| AVG | 4.6944 × 101 | 1.3900 × 10−57 | 7.9422 × 101 | 6.6167 × 101 | 9.1234 × 10−48 | 9.9102 × 101 | 4.9791 × 101 | 7.7731 × 10−44 | 6.1397 × 10−115 | 1.4043 × 10−93 | 9.9146 × 101 | 6.0240 × 10−294 | |
| STD | 3.7994 × 10 | 7.6135 × 10−57 | 2.2194 × 101 | 4.3325 × 10 | 3.1719 × 10−47 | 2.7968 × 10−1 | 4.3994 × 10 | 4.2137 × 10−43 | 2.8627 × 10−114 | 7.6919 × 10−93 | 1.8738 × 10−1 | 0.0000 × 10 | |
| F5 | BEST | 7.7517 × 107 | 1.7707 × 10−4 | 4.9561 × 102 | 4.9702 × 102 | 6.1695 × 10−4 | 1.2018 × 109 | 7.7139 × 106 | 4.9822 × 102 | 1.6404 × 10−8 | 5.9177 × 10−2 | 1.6159 × 104 | 4.1919 × 10−10 |
| WORST | 3.4070 × 108 | 2.5426 × 10−1 | 4.9739 × 102 | 4.9855 × 102 | 1.2565 × 10 | 2.6700 × 109 | 2.6898 × 107 | 4.9868 × 102 | 1.4692 × 10−4 | 4.9865 × 102 | 5.2433 × 105 | 6.1584 × 10−5 | |
| AVG | 1.5763 × 108 | 4.4634 × 10−2 | 4.9633 × 102 | 4.9794 × 102 | 2.4758 × 10−1 | 1.8308 × 109 | 1.5497 × 107 | 4.9845 × 102 | 1.1098 × 10−5 | 1.9793 × 102 | 1.0384 × 105 | 1.3271 × 10−5 | |
| STD | 6.4518 × 107 | 6.6008 × 10−2 | 3.6454 × 10−1 | 3.8372 × 10−1 | 3.3553 × 10−1 | 4.0965 × 108 | 3.9741 × 106 | 1.1135 × 10−1 | 2.8259 × 10−5 | 2.2934 × 102 | 1.1268 × 105 | 2.0882 × 10−5 | |
| F6 | BEST | 1.6700 × 105 | 4.7773 × 10−7 | 1.7154 × 101 | 8.6662 × 101 | 7.5628 × 10−7 | 3.4228 × 104 | 2.6885 × 104 | 9.5983 × 101 | 4.7057 × 10−15 | 2.6255 × 10−1 | 9.7033 × 101 | 2.0388 × 10−11 |
| WORST | 4.0247 × 105 | 3.2517 × 10−3 | 5.3952 × 101 | 9.6582 × 101 | 2.9793 × 10−2 | 3.6206 × 105 | 5.4612 × 104 | 1.1128 × 102 | 4.5862 × 10−12 | 9.4866 × 101 | 1.0601 × 102 | 9.8749 × 10−5 | |
| AVG | 2.2797 × 105 | 4.8458 × 10−4 | 3.0775 × 101 | 9.1634 × 101 | 2.9632 × 10−3 | 2.1673 × 105 | 4.2876 × 104 | 1.0515 × 102 | 4.2525 × 10−13 | 3.4058 × 101 | 1.0219 × 102 | 1.2705 × 10−5 | |
| STD | 4.6825 × 104 | 6.1341 × 10−4 | 8.9320 × 10 | 2.5423 × 10 | 5.6430 × 10−3 | 7.6690 × 104 | 6.9876 × 103 | 3.3453 × 10 | 8.9756 × 10−13 | 3.3857 × 101 | 2.1513 × 10 | 2.6173 × 10−5 | |
| F7 | BEST | 4.9500 × 102 | 2.9841 × 10−6 | 1.0400 × 10−4 | 2.6580 × 10−2 | 2.3245 × 10−5 | 8.3941 × 103 | 9.0127 × 101 | 7.0475 × 10−6 | 9.6405 × 10−6 | 3.0111 × 10−5 | 1.3610 × 10 | 6.9096 × 10−6 |
| WORST | 2.0606 × 103 | 1.7129 × 10−4 | 2.2646 × 10−2 | 8.3122 × 10−2 | 1.4794 × 10−3 | 2.2031 × 104 | 2.6091 × 102 | 8.3752 × 10−4 | 2.6695 × 10−4 | 1.8906 × 10−3 | 5.3025 × 10 | 9.9871 × 10−5 | |
| AVG | 1.0888 × 103 | 6.8403 × 10−5 | 4.5657 × 10−3 | 4.8260 × 10−2 | 1.9350 × 10−4 | 1.4722 × 104 | 1.5273 × 102 | 1.9367 × 10−4 | 8.8244 × 10−5 | 4.7685 × 10−4 | 2.7117 × 10 | 6.2691 × 10−5 | |
| STD | 3.6827 × 102 | 5.3090 × 10−5 | 5.9578 × 10−3 | 1.2355 × 10−2 | 2.8195 × 10−4 | 3.2667 × 103 | 4.2467 × 101 | 2.0888 × 10−4 | 6.8522 × 10−5 | 3.8658 × 10−4 | 1.0863 × 10 | 2.8637 × 10−5 |
| Function | Index | ALO | AO | WOA | GWO | HHO | SCA | PSO | SCSO | BWO | SMA | TSA | DOA |
|---|---|---|---|---|---|---|---|---|---|---|---|---|---|
| F1 | BEST | 3.2044 × 105 | 1.2602 × 10−159 | 5.2269 × 10−83 | 2.7573 × 10−2 | 4.2361 × 10−114 | 1.1199 × 105 | 8.7406 × 104 | 7.0700 × 10−110 | 5.8841 × 10−260 | 0.0000 × 10 | 3.4742 × 10−1 | 0.0000 × 10 |
| WORST | 6.1763 × 105 | 9.8255 × 10−97 | 1.8981 × 10−68 | 8.4624 × 10−2 | 1.8292 × 10−92 | 6.6510 × 105 | 1.3427 × 105 | 4.5709 × 10−92 | 1.3961 × 10−248 | 6.1304 × 10−233 | 3.0997 × 10 | 0.0000 × 10 | |
| AVG | 4.5524 × 105 | 3.2752 × 10−98 | 6.4593 × 10−70 | 5.5889 × 10−2 | 6.3610 × 10−94 | 3.4823 × 105 | 1.1224 × 105 | 1.5289 × 10−93 | 5.0957 × 10−250 | 2.0435 × 10−234 | 1.0932 × 10 | 0.0000 × 10 | |
| STD | 7.6520 × 104 | 1.7939 × 10−97 | 3.4633 × 10−69 | 1.4627 × 10−2 | 3.3356 × 10−93 | 1.5019 × 105 | 1.2781 × 104 | 8.3443 × 10−93 | 0.0000 × 10 | 0.0000 × 10 | 6.1052 × 10−1 | 0.0000 × 10 | |
| F2 | BEST | Inf | 1.2181 × 10−81 | 1.5057 × 10−56 | 8.3682 × 10−2 | 3.1355 × 10−57 | 1.5507 × 103 | 1.4806 × 103 | 3.4894 × 10−56 | 7.8030 × 10−133 | 3.1819 × 10−35 | 2.5933 × 10−3 | 3.2560 × 10−321 |
| WORST | Inf | 8.2515 × 10−72 | 2.3673 × 10−47 | 4.9717 × 10−1 | 1.1174 × 10−46 | Inf | 1.8079 × 103 | 7.1000 × 10−49 | 2.7684 × 10−127 | 2.7743 × 10 | 4.8534 × 10−2 | 1.8028 × 10−298 | |
| AVG | Inf | 6.6826 × 10−73 | 1.0208 × 10−48 | 1.8589 × 10−1 | 3.8185 × 10−48 | Inf | 1.6749 × 103 | 3.1333 × 10−50 | 1.7538 × 10−128 | 1.5880 × 10−1 | 1.3595 × 10−2 | 6.2418 × 10−300 | |
| STD | NaN | 1.7440 × 10−72 | 4.3057 × 10−48 | 9.3629 × 10−2 | 2.0386 × 10−47 | NaN | 7.1863 × 101 | 1.3397 × 10−49 | 5.4207 × 10−128 | 5.7011 × 10−1 | 1.1164 × 10−2 | 0.0000 × 10 | |
| F3 | BEST | 2.2289 × 106 | 1.7996 × 10−158 | 3.0371 × 107 | 5.0829 × 105 | 7.7756 × 10−81 | 1.1646 × 107 | 1.4061 × 106 | 4.7026 × 10−96 | 2.2129 × 10−241 | 0.0000 × 10 | 2.4075 × 106 | 0.0000 × 10 |
| WORST | 1.0758 × 107 | 6.3648 × 10−97 | 1.1135 × 108 | 1.5240 × 106 | 2.4535 × 10−44 | 2.6627 × 107 | 2.9521 × 106 | 1.5369 × 10−78 | 7.0929 × 10−229 | 3.4606 × 10−145 | 4.8222 × 106 | 0.0000 × 10 | |
| AVG | 5.1234 × 106 | 2.1216 × 10−98 | 7.7008 × 107 | 9.5722 × 105 | 8.2681 × 10−46 | 1.8751 × 107 | 2.0866 × 106 | 5.1231 × 10−80 | 2.5849 × 10−230 | 1.1535 × 10−146 | 3.6020 × 106 | 0.0000 × 10 | |
| STD | 1.7541 × 106 | 1.1620 × 10−97 | 2.4859 × 107 | 2.4521 × 105 | 4.4778 × 10−45 | 3.4174 × 106 | 4.0217 × 105 | 2.8060 × 10−79 | 0.0000 × 10 | 6.3181 × 10−146 | 5.9044 × 105 | 0.0000 × 10 | |
| F4 | BEST | 4.4285 × 101 | 4.0350 × 10−81 | 1.2031 × 101 | 6.7358 × 101 | 1.1633 × 10−57 | 9.9159 × 101 | 4.8876 × 101 | 7.4855 × 10−49 | 7.7207 × 10−119 | 8.7010 × 10−24 | 9.9196 × 101 | 5.7787 × 10−311 |
| WORST | 6.1790 × 101 | 2.1655 × 10−53 | 9.9408 × 101 | 8.8957 × 101 | 7.0518 × 10−46 | 9.9708 × 101 | 7.0578 × 101 | 4.3785 × 10−45 | 5.2686 × 10−111 | 5.1812 × 10−98 | 9.9719 × 101 | 6.4702 × 10−295 | |
| AVG | 5.2535 × 101 | 7.2710 × 10−55 | 7.9490 × 101 | 7.5537 × 101 | 2.4191 × 10−47 | 9.9499 × 101 | 5.6568 × 101 | 3.1616 × 10−46 | 3.1253 × 10−112 | 1.7271 × 10−99 | 9.9508 × 101 | 2.6359 × 10−296 | |
| STD | 4.8265 × 10 | 3.9526 × 10−54 | 2.4556 × 101 | 4.6800 × 10 | 1.2863 × 10−46 | 1.3604 × 10−1 | 5.5975 × 10 | 8.2039 × 10−46 | 1.0344 × 10−111 | 9.4596 × 10−99 | 1.2622 × 10−1 | 0.0000 × 10 | |
| F5 | BEST | 1.7034 × 108 | 2.8961 × 10−7 | 7.9296 × 102 | 8.0172 × 102 | 4.8973 × 10−3 | 1.5225 × 109 | 3.9758 × 107 | 7.9767 × 102 | 2.3786 × 10−8 | 3.0232 × 10−1 | 7.7479 × 105 | 9.3611 × 10−11 |
| WORST | 6.3985 × 108 | 2.0657 × 10 | 7.9691 × 102 | 8.2637 × 102 | 1.6857 × 10 | 4.6848 × 109 | 8.9806 × 107 | 7.9861 × 102 | 8.8429 × 10−5 | 7.9851 × 102 | 2.4288 × 107 | 4.9704 × 10−5 | |
| AVG | 3.7666 × 108 | 2.3983 × 10−1 | 7.9496 × 102 | 8.1036 × 102 | 3.7655 × 10−1 | 3.2626 × 109 | 6.1260 × 107 | 7.9840 × 102 | 5.4470 × 10−6 | 2.4067 × 102 | 8.0542 × 106 | 1.1540 × 10−5 | |
| STD | 1.1837 × 108 | 4.7626 × 10−1 | 7.5749 × 10−1 | 6.6463 × 10 | 4.8712 × 10−1 | 7.3818 × 108 | 1.2560 × 107 | 1.6445 × 10−1 | 1.5989 × 10−5 | 2.7872 × 102 | 5.7935 × 106 | 1.4665 × 10−5 | |
| F6 | BEST | 3.3026 × 105 | 9.2519 × 10−6 | 3.1069 × 101 | 1.5369 × 102 | 1.1858 × 10−5 | 7.7457 × 104 | 8.6545 × 104 | 1.6412 × 102 | 9.1744 × 10−17 | 7.9824 × 10−2 | 1.7432 × 102 | 3.1368 × 10−11 |
| WORST | 6.0858 × 105 | 5.3711 × 10−2 | 9.2032 × 101 | 1.6214 × 102 | 1.9409 × 10−2 | 5.5742 × 105 | 1.3593 × 105 | 1.8620 × 102 | 4.9600 × 10−12 | 1.7424 × 102 | 1.8307 × 102 | 3.4448 × 10−4 | |
| AVG | 4.4832 × 105 | 2.8105 × 10−3 | 5.2886 × 101 | 1.5716 × 102 | 4.6772 × 10−3 | 3.7343 × 105 | 1.0788 × 105 | 1.7776 × 102 | 3.9394 × 10−13 | 6.3499 × 101 | 1.7926 × 102 | 2.4659 × 10−5 | |
| STD | 7.0441 × 104 | 9.7244 × 10−3 | 1.4644 × 101 | 1.9978 × 10 | 5.7153 × 10−3 | 1.1272 × 105 | 1.2849 × 104 | 5.2263 × 10 | 9.2449 × 10−13 | 6.1677 × 101 | 2.2327 × 10 | 8.3815 × 10−5 | |
| F7 | BEST | 2.3318 × 103 | 8.9711 × 10−6 | 4.6210 × 10−5 | 6.5000 × 10−2 | 2.0828 × 10−5 | 2.5205 × 104 | 3.9138 × 102 | 1.3306 × 10−5 | 5.5652 × 10−6 | 9.2583 × 10−5 | 1.1666 × 101 | 4.1620 × 10−6 |
| WORST | 9.2489 × 103 | 2.9932 × 10−4 | 2.6145 × 10−2 | 1.4939 × 10−1 | 8.9317 × 10−4 | 6.4124 × 104 | 1.3265 × 103 | 7.3961 × 10−4 | 2.6850 × 10−4 | 1.5525 × 10−3 | 3.4873 × 102 | 1.4904 × 10−4 | |
| AVG | 4.3698 × 103 | 8.4329 × 10−5 | 6.0158 × 10−3 | 1.0211 × 10−1 | 2.1612 × 10−4 | 4.2762 × 104 | 7.1902 × 102 | 2.1064 × 10−4 | 7.2348 × 10−5 | 6.0175 × 10−4 | 8.3383 × 101 | 6.2509 × 10−5 | |
| STD | 1.6101 × 103 | 7.3773 × 10−5 | 6.9263 × 10−3 | 1.9705 × 10−2 | 2.1774 × 10−4 | 1.0534 × 104 | 1.8991 × 102 | 1.9133 × 10−4 | 6.4669 × 10−5 | 4.4437 × 10−4 | 7.2473 × 101 | 2.9706 × 10−5 |
| Function | Index | ALO | AO | WOA | GWO | HHO | SCA | PSO | SCSO | BWO | SMA | TSA | DOA |
|---|---|---|---|---|---|---|---|---|---|---|---|---|---|
| F1 | BEST | 3.8214 × 105 | 1.3508 × 10−158 | 4.7088 × 10−80 | 1.6707 × 10−1 | 1.3604 × 10−118 | 1.6464 × 105 | 1.3774 × 105 | 2.2840 × 10−109 | 4.1345 × 10−262 | 0.0000 × 10 | 9.1573 × 10−1 | 0.0000 × 10 |
| WORST | 7.9263 × 105 | 3.3833 × 10−102 | 2.3816 × 10−68 | 4.3559 × 10−1 | 2.9085 × 10−89 | 6.4996 × 105 | 2.1328 × 105 | 9.3907 × 10−98 | 4.4787 × 10−250 | 4.3733 × 10−212 | 1.8734 × 101 | 0.0000 × 10 | |
| AVG | 5.8587 × 105 | 1.1278 × 10−103 | 9.6569 × 10−70 | 2.5226 × 10−1 | 9.7652 × 10−91 | 4.7330 × 105 | 1.6412 × 105 | 6.3509 × 10−99 | 1.8321 × 10−251 | 1.5136 × 10−213 | 5.7894 × 10 | 0.0000 × 10 | |
| STD | 1.1585 × 105 | 6.1770 × 10−103 | 4.3531 × 10−69 | 5.9935 × 10−2 | 5.3090 × 10−90 | 1.1811 × 105 | 1.7711 × 104 | 2.0175 × 10−98 | 0.0000 × 10 | 0.0000 × 10 | 4.4641 × 10 | 0.0000 × 10 | |
| F2 | BEST | Inf | 3.0648 × 10−78 | 1.8500 × 10−54 | 1.9863 × 10−1 | 6.3232 × 10−58 | Inf | 1.7852 × 103 | 5.2412 × 10−57 | 1.2013 × 10−132 | 6.0405 × 10−28 | 8.4183 × 10−3 | 5.3000 × 10−322 |
| WORST | Inf | 3.9078 × 10−61 | 1.3541 × 10−47 | 1.3407 × 10 | 2.4823 × 10−46 | Inf | 2.2442 × 103 | 8.3663 × 10−48 | 7.0451 × 10−127 | 1.6263 × 101 | 8.7765 × 10−2 | 6.1789 × 10−298 | |
| AVG | Inf | 1.3026 × 10−62 | 5.6610 × 10−49 | 5.6413 × 10−1 | 1.5336 × 10−47 | Inf | 2.0252 × 103 | 2.9256 × 10−49 | 6.4131 × 10−128 | 6.7422 × 10−1 | 3.0908 × 10−2 | 2.0596 × 10−299 | |
| STD | NaN | 7.1346 × 10−62 | 2.4841 × 10−48 | 2.9080 × 10−1 | 5.7598 × 10−47 | NaN | 1.0379 × 102 | 1.5264 × 10−48 | 1.7122 × 10−127 | 2.9843 × 10 | 1.7513 × 10−2 | 0.0000 × 10 | |
| F3 | BEST | 4.5250 × 106 | 2.2622 × 10−151 | 6.8868 × 107 | 1.0224 × 106 | 1.2067 × 10−85 | 2.0473 × 107 | 1.8256 × 106 | 2.3643 × 10−96 | 7.2345 × 10−243 | 0.0000 × 10 | 3.9588 × 106 | 0.0000 × 10 |
| WORST | 1.4035 × 107 | 3.8008 × 10−97 | 2.7922 × 108 | 2.5236 × 106 | 2.1525 × 10−25 | 4.8247 × 107 | 4.2181 × 106 | 3.8004 × 10−82 | 2.9774 × 10−229 | 8.0591 × 10−38 | 7.2344 × 106 | 0.0000 × 10 | |
| AVG | 8.3345 × 106 | 1.2669 × 10−98 | 1.3900 × 108 | 1.5646 × 106 | 7.4034 × 10−27 | 2.8282 × 107 | 3.0171 × 106 | 1.5720 × 10−83 | 1.0290 × 10−230 | 2.6864 × 10−39 | 5.8714 × 106 | 0.0000 × 10 | |
| STD | 2.3400 × 106 | 6.9392 × 10−98 | 4.8525 × 107 | 3.1986 × 105 | 3.9276 × 10−26 | 6.5624 × 106 | 5.7108 × 105 | 6.9797 × 10−83 | 0.0000 × 10 | 1.4714 × 10−38 | 7.4032 × 105 | 0.0000 × 10 | |
| F4 | BEST | 4.7188 × 101 | 9.1649 × 10−86 | 1.0221 × 101 | 7.0127 × 101 | 7.7857 × 10−57 | 9.9143 × 101 | 5.0381 × 101 | 8.1188 × 10−52 | 3.3137 × 10−116 | 1.9895 × 10−215 | 9.9394 × 101 | 2.5636 × 10−312 |
| WORST | 5.9951 × 101 | 1.5737 × 10−54 | 9.8276 × 101 | 8.9364 × 101 | 3.0475 × 10−47 | 9.9796 × 101 | 6.7747 × 101 | 2.2570 × 10−42 | 2.2175 × 10−110 | 1.4641 × 10−105 | 9.9743 × 101 | 2.9326 × 10−293 | |
| AVG | 5.2692 × 101 | 5.2466 × 10−56 | 7.6001 × 101 | 7.9039 × 101 | 1.9512 × 10−48 | 9.9569 × 101 | 5.7273 × 101 | 1.3798 × 10−43 | 2.5857 × 10−111 | 4.8847 × 10−107 | 9.9611 × 101 | 1.1164 × 10−294 | |
| STD | 3.6175 × 10 | 2.8731 × 10−55 | 2.3979 × 101 | 4.8503 × 10 | 5.9418 × 10−48 | 1.5359 × 10−1 | 4.8811 × 10 | 4.4841 × 10−43 | 5.6793 × 10−111 | 2.6730 × 10−106 | 1.0187 × 10−1 | 0.0000 × 10 | |
| F5 | BEST | 3.8420 × 108 | 3.7128 × 10−5 | 9.9227 × 102 | 1.0166 × 103 | 7.6793 × 10−5 | 2.8451 × 109 | 6.8368 × 107 | 9.9783 × 102 | 2.3937 × 10−7 | 2.4530 × 10−2 | 9.5790 × 106 | 1.5442 × 10−10 |
| WORST | 1.2296 × 109 | 5.8449 × 10 | 9.9590 × 102 | 1.1173 × 103 | 2.3279 × 10 | 6.4484 × 109 | 1.2730 × 108 | 9.9865 × 102 | 9.5091 × 10−5 | 9.9894 × 102 | 7.8671 × 107 | 7.4064 × 10−5 | |
| AVG | 6.1034 × 108 | 4.5278 × 10−1 | 9.9426 × 102 | 1.0484 × 103 | 4.1295 × 10−1 | 4.2351 × 109 | 9.8041 × 107 | 9.9841 × 102 | 1.6488 × 10−5 | 5.2504 × 102 | 3.1253 × 107 | 1.4934 × 10−5 | |
| STD | 2.2356 × 108 | 1.0954 × 10 | 9.8941 × 10−1 | 2.0185 × 101 | 5.9407 × 10−1 | 8.5330 × 108 | 1.4281 × 107 | 1.4792 × 10−1 | 2.4437 × 10−5 | 4.2762 × 102 | 1.5664 × 107 | 2.2876 × 10−5 | |
| F6 | BEST | 3.8475 × 105 | 1.3628 × 10−5 | 4.3675 × 101 | 1.9785 × 102 | 1.8886 × 10−5 | 1.2802 × 105 | 1.4304 × 105 | 2.0800 × 102 | 3.9624 × 10−15 | 2.2965 × 10 | 2.2686 × 102 | 1.0513 × 10−11 |
| WORST | 7.6076 × 105 | 5.3828 × 10−3 | 1.1694 × 102 | 2.0758 × 102 | 4.5872 × 10−2 | 8.8171 × 105 | 2.0620 × 105 | 2.3265 × 102 | 3.4268 × 10−12 | 2.2089 × 102 | 2.5842 × 102 | 3.2601 × 10−5 | |
| AVG | 5.7703 × 105 | 1.0064 × 10−3 | 6.5356 × 101 | 2.0299 × 102 | 6.7392 × 10−3 | 4.8519 × 105 | 1.6882 × 105 | 2.2556 × 102 | 4.8474 × 10−13 | 7.4277 × 101 | 2.3443 × 102 | 2.8290 × 10−6 | |
| STD | 9.8305 × 104 | 1.3675 × 10−3 | 1.6294 × 101 | 2.6210 × 10 | 1.0969 × 10−2 | 1.8709 × 105 | 1.5648 × 104 | 5.4374 × 10 | 7.3277 × 10−13 | 8.0790 × 101 | 5.7057 × 10 | 6.9155 × 10−6 | |
| F7 | BEST | 4.5810 × 103 | 2.3871 × 10−6 | 1.1818 × 10−5 | 9.2690 × 10−2 | 7.3647 × 10−6 | 4.0503 × 104 | 1.4304 × 105 | 2.9699 × 10−5 | 2.0659 × 10−5 | 3.9902 × 10−5 | 5.7066 × 101 | 1.4376 × 10−5 |
| WORST | 1.8420 × 104 | 3.3340 × 10−4 | 1.1276 × 10−2 | 2.0425 × 10−1 | 6.7456 × 10−4 | 1.0429 × 105 | 2.0620 × 105 | 9.2709 × 10−4 | 4.9325 × 10−4 | 3.2225 × 10−3 | 1.0496 × 103 | 2.6620 × 10−4 | |
| AVG | 8.6676 × 103 | 9.8140 × 10−5 | 3.6827 × 10−3 | 1.4929 × 10−1 | 1.2427 × 10−4 | 6.8667 × 104 | 1.6882 × 105 | 1.9156 × 10−4 | 9.6818 × 10−5 | 7.8888 × 10−4 | 3.6133 × 102 | 1.4031 × 10−4 | |
| STD | 2.8983 × 103 | 7.8560 × 10−5 | 3.1544 × 10−3 | 2.6678 × 10−2 | 1.2685 × 10−4 | 1.7798 × 104 | 1.5648 × 104 | 1.8370 × 10−4 | 9.6497 × 10−5 | 6.5733 × 10−4 | 2.3031 × 102 | 7.7377 × 10−5 |
| Function | Index | ALO | AO | WOA | GWO | HHO | SCA | PSO | SCSO | BWO | SMA | TSA | DOA |
|---|---|---|---|---|---|---|---|---|---|---|---|---|---|
| F1 | Time | 1.4313 | 0.0733 | 0.0680 | 0.0725 | 0.0690 | 0.0611 | 0.1672 | 0.1057 | 0.0881 | 0.1049 | 0.0575 | 0.0558 |
| BEST | 7.9091 × 10−9 | 4.5513 × 10−165 | 3.7133 × 10−80 | 1.1842 × 10−57 | 9.0757 × 10−105 | 6.1016 × 10−13 | 1.9013 × 10−79 | 8.6370 × 10−138 | 7.5654 × 10−250 | 0.0000 × 10 | 2.4839 × 10−41 | 0.0000 × 10 | |
| F2 | Time | 1.3653 | 0.0846 | 0.0523 | 0.0584 | 0.0636 | 0.0643 | 0.1639 | 0.1053 | 0.1181 | 0.1075 | 0.0587 | 0.0576 |
| BEST | 3.2634 × 10−5 | 3.5097 × 10−73 | 2.5651 × 10−54 | 3.3947 × 10−34 | 3.3803 × 10−59 | 7.9982 × 10−10 | 1.7724 × 10−12 | 1.4744 × 10−71 | 8.3488 × 10−125 | 8.8827 × 10−189 | 1.0794 × 10−25 | 0.0000 × 10 | |
| F3 | Time | 1.4380 | 0.1307 | 0.0415 | 0.0492 | 0.0882 | 0.0453 | 0.1607 | 0.1150 | 0.1117 | 0.1137 | 0.0437 | 0.1205 |
| BEST | 9.6637 × 10−3 | 9.5509 × 10−156 | 3.3996 × 102 | 2.8462 × 10−27 | 1.1430 × 10−94 | 1.3718 × 10−3 | 2.4602 × 10−19 | 1.5946 × 10−114 | 1.2261 × 10−244 | 0.0000 × 10 | 2.2516 × 10−28 | 0.0000 × 10 | |
| F4 | Time | 1.3022 | 0.0585 | 0.0476 | 0.0692 | 0.0793 | 0.0582 | 0.1549 | 0.0983 | 0.0773 | 0.1390 | 0.0624 | 0.0556 |
| BEST | 5.2832 × 10−4 | 2.4591 × 10−75 | 2.6896 × 10 | 4.7249 × 10−19 | 1.6455 × 10−52 | 1.6296 × 10−5 | 8.8102 × 10−15 | 1.6491 × 10−58 | 2.3121 × 10−125 | 3.6450 × 10−194 | 2.1311 × 10−11 | 0.0000 × 10 | |
| F5 | Time | 1.3920 | 0.0707 | 0.0700 | 0.0695 | 0.0736 | 0.0688 | 0.1480 | 0.1039 | 0.0911 | 0.1042 | 0.0845 | 0.0667 |
| BEST | 8.1418 × 10 | 2.8801 × 10−4 | 6.9043 × 10 | 8.0720 × 10 | 6.1928 × 10−5 | 7.3364 × 10 | 2.2222 × 10 | 7.2008 × 10 | 2.0000 × 10−2 | 1.8414 × 10−3 | 7.1932 × 10 | 1.6377 × 10−11 | |
| F6 | Time | 1.3782 | 0.0717 | 0.0548 | 0.0558 | 0.0874 | 0.0593 | 0.1373 | 0.0997 | 0.0780 | 0.1005 | 0.0525 | 0.0498 |
| BEST | 2.4656 × 10−8 | 8.4095 × 10−6 | 2.5039 × 10−3 | 2.4420 × 10−6 | 1.8340 × 10−7 | 5.2788 × 10−1 | 1.8489 × 10−32 | 1.0582 × 10−6 | 3.7389 × 10−4 | 3.6636 × 10−5 | 1.0068 × 10 | 1.1757 × 10−14 | |
| F7 | Time | 1.3922 | 0.1134 | 0.0675 | 0.0690 | 0.1434 | 0.0807 | 0.1458 | 0.1131 | 0.1065 | 0.1486 | 0.0744 | 0.0915 |
| BEST | 3.4165 × 10−2 | 1.2553 × 10−4 | 2.3319 × 10−3 | 4.8830 × 10−4 | 2.3788 × 10−4 | 1.7498 × 10−3 | 2.8394 × 10−3 | 2.9286 × 10−4 | 1.1388 × 10−4 | 1.9028 × 10−4 | 5.8690 × 10−3 | 6.3028 × 10−5 | |
| F8 | Time | 1.3765 | 0.0729 | 0.0572 | 0.0674 | 0.0927 | 0.0803 | 0.1392 | 0.1014 | 0.0924 | 0.1062 | 0.0789 | 0.0718 |
| BEST | −2.1870 × 103 | −4.1892 × 103 | −3.9689 × 103 | −2.5077 × 103 | −4.1898 × 103 | −2.2894 × 103 | −2.4132 × 103 | −2.4343 × 103 | −3.6725 × 103 | −4.1898 × 103 | −2.8312 × 103 | −4.1898 × 103 | |
| F9 | Time | 1.4012 | 0.0585 | 0.0731 | 0.0582 | 0.0693 | 0.0734 | 0.1348 | 0.0972 | 0.0800 | 0.0947 | 0.0637 | 0.0489 |
| BEST | 1.2934 × 101 | 0.0000 × 10 | 0.0000 × 10 | 0.0000 × 10 | 0.0000 × 10 | 1.9895 × 10−13 | 6.9647 × 10 | 0.0000 × 10 | 0.0000 × 10 | 0.0000 × 10 | 2.6557 × 101 | 0.0000 × 10 | |
| F10 | Time | 1.3422 | 0.0848 | 0.0613 | 0.0653 | 0.0984 | 0.0580 | 0.1349 | 0.0977 | 0.1127 | 0.1005 | 0.0617 | 0.0549 |
| BEST | 1.6462 × 10 | 4.4409 × 10−16 | 3.9968 × 10−15 | 7.5495 × 10−15 | 4.4409 × 10−16 | 2.5316 × 10−7 | 7.5495 × 10−15 | 4.4409 × 10−16 | 4.4409 × 10−16 | 4.4409 × 10−16 | 3.4905 × 10 | 4.4409 × 10−16 | |
| F11 | Time | 1.4309 | 0.0831 | 0.0593 | 0.0686 | 0.0671 | 0.0784 | 0.1445 | 0.1025 | 0.0871 | 0.1020 | 0.0630 | 0.0603 |
| BEST | 1.8954 × 10−1 | 0.0000 × 10 | 0.0000 × 10 | 6.9565 × 10−2 | 0.0000 × 10 | 1.4337 × 10−3 | 5.6533 × 10−2 | 0.0000 × 10 | 0.0000 × 10 | 0.0000 × 10 | 8.9258 × 10−1 | 0.0000 × 10 | |
| F12 | Time | 1.4284 | 0.2028 | 0.0979 | 0.1024 | 0.2090 | 0.0773 | 0.2083 | 0.2177 | 0.2000 | 0.2133 | 0.0983 | 0.1922 |
| BEST | 1.4483 × 10 | 9.7478 × 10−7 | 1.1015 × 10−2 | 1.7147 × 10−6 | 1.0213 × 10−6 | 3.2106 × 10−2 | 4.7116 × 10−32 | 2.0370 × 10−2 | 9.4075 × 10−5 | 4.7665 × 10−6 | 4.9828 × 10 | 3.0029 × 10−15 | |
| F13 | Time | 1.3650 | 0.1596 | 0.0939 | 0.0982 | 0.1731 | 0.0821 | 0.1877 | 0.1410 | 0.1800 | 0.1450 | 0.0747 | 0.1988 |
| BEST | 1.8283 × 10−9 | 1.2832 × 10−5 | 9.4318 × 10−2 | 1.3010 × 10−5 | 1.6306 × 10−5 | 3.2897 × 10−1 | 1.3498 × 10−32 | 1.8947 × 10−1 | 2.0129 × 10−4 | 1.0732 × 10−3 | 7.2602 × 10−1 | 1.7495 × 10−13 |
| Algorithm | Kp | Ki | Kd | λ | μ | tr (s) | ts (s) | Mp | ess | ITAE |
|---|---|---|---|---|---|---|---|---|---|---|
| ALO | 1.9970 | 5.4037 | 1.2035 | 0.9977 | 0.8332 | 0.1401 | 1.6016 | 0.3769 | 2.2460 × 10−5 | 0.1869 |
| AO | 7.8211 | 10.0000 | 1.3089 | 1.0087 | 1.4051 | 0.0501 | 1.3313 | 0.1173 | −1.0854 × 10−4 | 0.0797 |
| WOA | 3.1306 | 8.8061 | 1.4850 | 1.0138 | 0.8826 | 0.1201 | 1.3213 | 0.4486 | −1.9279 × 10−4 | 0.1293 |
| GWO | 10.0000 | 10.0000 | 2.7531 | 1.0129 | 1.3065 | 0.0400 | 1.6817 | 0.2536 | −1.5474 × 10−4 | 0.0989 |
| HHO | 4.2884 | 10.0000 | 0.4978 | 1.0011 | 1.3467 | 0.1101 | 1.0811 | 0.0619 | −1.6669 × 10−5 | 0.0511 |
| PSO | 9.9963 | 10.0000 | 1.1238 | 1.0186 | 1.5840 | 0.0400 | 1.2913 | 0.0312 | −2.4548 × 10−4 | 0.0979 |
| SCA | 4.1698 | 10.0000 | 0.5461 | 1.0009 | 1.2963 | 0.1101 | 1.0711 | 0.0980 | −1.4102 × 10−5 | 0.0505 |
| SCSO | 10.0000 | 9.3376 | 2.9364 | 1.0264 | 1.2215 | 0.0400 | 1.8318 | 0.3176 | −3.5925 × 10−4 | 0.1180 |
| SMA | 0.0011 | 4.7108 | 0.2617 | 0.9988 | 0.8702 | 0.4505 | 0.9610 | 0.0310 | 1.8959 × 10−5 | 0.0538 |
| TSA | 4.8919 | 10.0000 | 0.6639 | 1.0024 | 1.3260 | 0.1001 | 1.1211 | 0.0885 | −3.1738 × 10−5 | 0.0533 |
| WOA | 1.4191 | 7.9154 | 0.7515 | 0.9947 | 0.9666 | 0.1602 | 1.8018 | 0.1982 | 7.1995 × 10−5 | 0.1112 |
| DOA | 2.2542 | 9.8371 | 0.3367 | 1.0005 | 1.3923 | 0.1702 | 0.7007 | 9.6356 × 10−6 | −1.2227 × 10−5 | 0.0236 |
| Parameter | Deviation | Value | tr (s) | ts (s) | Mp |
|---|---|---|---|---|---|
| −50% | 0.05 | 0.1502 | 1.0210 | 0.0160 | |
| −25% | 0.075 | 0.1201 | 1.0310 | 0.0503 | |
| 0% | 0.1 | 0.1101 | 1.0711 | 0.0991 | |
| 25% | 0.125 | 0.1101 | 1.1311 | 0.1156 | |
| 50% | 1.5 | 0.4204 | 3.2132 | 0.1102 | |
| −50% | 0.2 | 0.1101 | 0.8408 | 0.0749 | |
| −25% | 0.3 | 0.1101 | 0.9810 | 0.0924 | |
| 0% | 0.4 | 0.1101 | 1.0711 | 0.0978 | |
| 25% | 0.5 | 0.1201 | 1.1512 | 0.0934 | |
| 50% | 0.6 | 0.1201 | 1.2412 | 0.0855 | |
| −50% | 0.5 | 0.1201 | 0.7608 | 0.2200 | |
| −25% | 0.75 | 0.1101 | 0.9610 | 0.1363 | |
| 0% | 1 | 0.1101 | 1.0711 | 0.0926 | |
| 25% | 1.25 | 0.1201 | 1.1612 | 0.0616 | |
| 50% | 1.5 | 0.2102 | 0.4505 | 0.0615 | |
| −50% | 0.005 | 0.1201 | 1.0611 | 0.0885 | |
| −25% | 0.0075 | 0.1101 | 1.0711 | 0.0914 | |
| 0% | 0.01 | 0.1101 | 1.0711 | 0.0991 | |
| 25% | 0.0125 | 0.1101 | 1.0711 | 0.1003 | |
| 50% | 0.015 | 0.1101 | 1.0711 | 0.1061 |
Disclaimer/Publisher’s Note: The statements, opinions and data contained in all publications are solely those of the individual author(s) and contributor(s) and not of MDPI and/or the editor(s). MDPI and/or the editor(s) disclaim responsibility for any injury to people or property resulting from any ideas, methods, instructions or products referred to in the content. |
© 2024 by the authors. Licensee MDPI, Basel, Switzerland. This article is an open access article distributed under the terms and conditions of the Creative Commons Attribution (CC BY) license (https://creativecommons.org/licenses/by/4.0/).
Share and Cite
Li, Y.; Ni, L.; Wang, G.; Aphale, S.S.; Zhang, L. Q-Learning-Based Dumbo Octopus Algorithm for Parameter Tuning of Fractional-Order PID Controller for AVR Systems. Mathematics 2024, 12, 3098. https://doi.org/10.3390/math12193098
Li Y, Ni L, Wang G, Aphale SS, Zhang L. Q-Learning-Based Dumbo Octopus Algorithm for Parameter Tuning of Fractional-Order PID Controller for AVR Systems. Mathematics. 2024; 12(19):3098. https://doi.org/10.3390/math12193098
Chicago/Turabian StyleLi, Yuanyuan, Lei Ni, Geng Wang, Sumeet S. Aphale, and Lanqiang Zhang. 2024. "Q-Learning-Based Dumbo Octopus Algorithm for Parameter Tuning of Fractional-Order PID Controller for AVR Systems" Mathematics 12, no. 19: 3098. https://doi.org/10.3390/math12193098
APA StyleLi, Y., Ni, L., Wang, G., Aphale, S. S., & Zhang, L. (2024). Q-Learning-Based Dumbo Octopus Algorithm for Parameter Tuning of Fractional-Order PID Controller for AVR Systems. Mathematics, 12(19), 3098. https://doi.org/10.3390/math12193098

