Dynamical Sphere Regrouping Particle Swarm Optimization Programming: An Automatic Programming Algorithm Avoiding Premature Convergence
Abstract
1. Introduction
- GPSO, a modified version of PSO [39] that includes inertial behavior; this modification was proposed by the authors of the original PSO.
- GEPSO [40], which also uses inertial behavior but with three coefficients and a new speed equation that intends to improve the algorithm convergence.
- Canonical Deterministic PSO [43], which detects stagnation and reinvigorates the particle positions after iterations without improvement.
- IAPSO [44], which reinvigorates the swarm after detecting stagnation through entropy analysis.
- Multi-Swarm PSO alternatives that regulate exploration and exploration of the algorithm based on topological groups of particles [45].
- Dynamical Sphere Regrouping PSO (DSRegPSO), which is a modified version of PSO that introduces a sphere regrouping mechanism and momentum conservation effect [33].
1.1. Contribution
1.2. Limitations
2. Materials and Methods
2.1. Symbolic Regression with AP Mathematical Expressions for Position of Particles
| Algorithm 1 Transformation |
![]() |
2.2. Particle Swarm Optimization with Inertial Coefficient (GPSO)
| Algorithm 2 GPSO |
![]() |
2.3. Dynamical Sphere Regrouping Particle Swarm Optimization (DSRegPSO)
| Algorithm 3 DSRegPSO |
| Data: Result: ; ; ; ; ; ; ; ; ; ; ; ; ; ; ; ; ![]() |
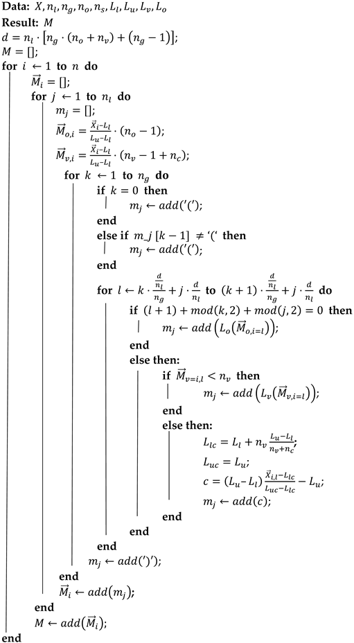
2.4. Dynamical Sphere Regrouping Particle Swarm Optimization Programming (DSRegPSOP)
| Algorithm 4 DSRegPSOP |
| Data: Result: ; ; ; ; ; ; ; ; ; ; ; ; ; ; ; ; ; ![]() |
2.5. Evaluation and Comparison Benchmarks
- Airfoil: A 1989 dataset of NASA for prediction of noise in aerodynamic and acoustic tests of two and three-dimensional airfoil blade sections conducted in an anechoic wind tunnel. The dataset contains the features of frequency, angle of attack, chord length, free stream velocity, suction side displacement thickness, and scaled sound pressure level; this last is the variable to predict [51,52].
- Concrete: A 1998 dataset that allows for the prediction of concrete strength based on amounts of cement, slag from blast furnaces, fly ash, water, superplasticizer, coarse aggregate, fine aggregate, age of the concrete in days (1–365), and concrete compressive strength; this last one is the target variable [53].
- Energy: A dataset of 2012 for the prediction of cooling and heating requirements for buildings with input features including relative compactness, surface area, wall area, roof area, overall height, orientation, glazing area, and glazing area distribution [54,55]. In this work, we focus on the prediction of cooling load for the third dataset test.
- Yacht: Is a 2013 dataset to predict the hydrodynamic performance of sailing yachts based on the longitudinal position of the center of buoyancy, prismatic coefficient, length-displacement ratio, beam-draught ratio, length-beam ratio, Froude number, residuary resistance per unit weight of displacement, this last one is the target variable [56].
- Geographical Origin of Music: A 2014 dataset with audio features extracted from 1059. The goal is to predict the geographical origin of the track. The input features are 68 numerical values extracted from the music with the Music Analysis, Retrieval, and Synthesis for Audio Signals framework (MARSYAS) [57,58]. In this work, we focus only on the latitude related to music, as detailed in [59].
- Tecator: A 2006 dataset with data of the spectrum recorded on a food and feed analyzer working in the wavelength range 850–1050 nm by the near-infrared transmission principle. Each sample contains meat with different moisture, fat, and protein contents [60].
3. Results and Discussion
3.1. Results in Benchmark with Three-Dimensional Functions
3.1.1. Experimental Setup of Benchmark in Three-Dimensional Functions
- The maximum number of function evaluations for each test is , but it could be less during hyperparameter tuning due to the next point.
- During hyperparameter tunning, the test is stopped, and the result is recorded if best cost value reaches .
- The list of variables is.
- The list of operators is.
- The DSRegPSOP static parameters for all the functions are
- The parameters that are dependent on the optimized function are
- The and parameters are adapted so that and in the first iteration.
- The and are specified according to the search space limits in the test function.
- The , , and parameters are obtained with exhaustive search exploring the 64 combinations produced with: , , and .
- There is no data split since the goal of this test is to optimize the surface as much as possible with the information points in the target surface.After finding the best configuration with an exhaustive search, the algorithm trains again but without stopping if the cost reaches value.
- After finding the best configuration with an exhaustive search, the algorithm trains again but adds 0–25% noise in the cost function and position of particles to test the robustness of the algorithm.
3.1.2. Results Function 1
3.1.3. Results Function 2
3.1.4. Results Function 3
3.1.5. Results Function 4
3.1.6. Results Function 5
3.1.7. Results Function 6
3.1.8. Results Function 7
3.1.9. Results Function 8
3.1.10. Results Function 9
3.1.11. Results Function 10
3.2. Results in Benchmark with Datasets
3.2.1. Experimental Setup of Benchmark with Datasets
- We split datasets into 80% for training and 20% for testing and performing six-fold cross-validation.
- The maximum number of function evaluations for each dataset is to compare with several algorithms in the first stage of optimization described in [63].
- During hyperparameter tunning, the test stops, and the result is recorded if the cost value reaches .
- The list of variables is:.
- The list of operators is:.
- The DSRegPSOP static parameters for all the functions are:
- The parameters that are dependent on the optimized dataset are:and
- The and parameters are adapted for each function so that:and in the first iteration.
- The , , and parameters are obtained with an exhaustive search exploring the 64 combinations produced with: , , and .
- Again, we perform a hyperparameter tuning with 64 configurations and six-fold cross-validation, as before, but we also perform running/function evaluations to compare the DSRegPSOP results with those in the literature for each dataset.
- All the generated models for dataset prediction apply the RELU activation function at the final register or the maximum across the evaluation and zero value. This has shown improved results in regression tasks with ANNs, and we found DSRegPSOP benefits of it.
3.2.2. Results in Datasets Benchmark
3.3. Statistical Proofing Comparing DSRegPSO against Other Algorithms
4. Conclusions
Future Work
Author Contributions
Funding
Data Availability Statement
Acknowledgments
Conflicts of Interest
References
- Montes Rivera, M.; Padilla Díaz, A.; Ponce Gallegos, J.C.; Canul-Reich, J.; Ochoa Zezzatti, A.; Meza de Luna, M.A. Performance of Human Proposed Equations, Genetic Programming Equations, and Artificial Neural Networks in a Real-Time Color Labeling Assistant for the Colorblind. In Advances in Soft Computing; Martínez-Villaseñor, L., Batyrshin, I., Marín-Hernández, A., Eds.; Lecture Notes in Computer Science; Springer International Publishing: Cham, Switzerland, 2019; Volume 11835, pp. 557–578. ISBN 978-3-030-33748-3. [Google Scholar]
- Middela, M.S.; Ramadurai, G. Modelling Urban Freight Generation Using Linear Regression and Proportional Odds Logit Models. Transp. Policy 2024, 148, 145–153. [Google Scholar] [CrossRef]
- Li, L.; Luo, Z.; Miao, F.; Du, L.; Wang, K. Prediction of Product Yields from Lignocellulosic Biomass Pyrolysis Based on Gaussian Process Regression. J. Anal. Appl. Pyrolysis 2024, 177, 106295. [Google Scholar] [CrossRef]
- Alahmer, A.; Alahmer, H.; Handam, A.; Rezk, H. Environmental Assessment of a Diesel Engine Fueled with Various Biodiesel Blends: Polynomial Regression and Grey Wolf Optimization. Sustainability 2022, 14, 1367. [Google Scholar] [CrossRef]
- Muftah, M.N.; Faudzi, A.A.M.; Sahlan, S.; Shouran, M. Modeling and Fuzzy FOPID Controller Tuned by PSO for Pneumatic Positioning System. Energies 2022, 15, 3757. [Google Scholar] [CrossRef]
- Lokanan, M.E. Predicting Money Laundering Using Machine Learning and Artificial Neural Networks Algorithms in Banks. J. Appl. Secur. Res. 2024, 19, 20–44. [Google Scholar] [CrossRef]
- Olvera-Gonzalez, E.; Rivera, M.M.; Escalante-Garcia, N.; Flores-Gallegos, E. Modeling Energy LED Light Consumption Based on an Artificial Intelligent Method Applied to Closed Plant Production System. Appl. Sci. 2021, 11, 2735. [Google Scholar] [CrossRef]
- Fleck, P.; Werth, B.; Affenzeller, M. Population Dynamics in Genetic Programming for Dynamic Symbolic Regression. Appl. Sci. 2024, 14, 596. [Google Scholar] [CrossRef]
- Sarkar, B.; Dutta, S.; Lahiri, S.K. Multigene Genetic Programming Approach for Modelling and Optimisation of Removal of Heavy Metals from Ash Pond Water Using Cyanobacterial-Microalgal Consortium. Indian Chem. Eng. 2024, 1–19. [Google Scholar] [CrossRef]
- Zeiträg, Y.; Rui Figueira, J.; Figueira, G. A Cooperative Coevolutionary Hyper-Heuristic Approach to Solve Lot-Sizing and Job Shop Scheduling Problems Using Genetic Programming. Int. J. Prod. Res. 2024, 62, 5850–5877. [Google Scholar] [CrossRef]
- Niazkar, H.R.; Moshari, J.; Khajavi, A.; Ghorbani, M.; Niazkar, M.; Negari, A. Application of Multi-Gene Genetic Programming to the Prognosis Prediction of COVID-19 Using Routine Hematological Variables. Sci. Rep. 2024, 14, 2043. [Google Scholar] [CrossRef]
- Bahadori, M.K.; Shokouhi, M.; Golhosseini, R. Measurements of Density and Viscosity of Carbon Dioxide-Loaded and -Unloaded Nano-Fluids: Experimental, Genetic Programming and Physical Interpretation Approaches. Chem. Eng. J. Adv. 2024, 18, 100600. [Google Scholar] [CrossRef]
- Huang, Z.; Zhang, F.; Mei, Y.; Zhang, M. An Investigation of Multitask Linear Genetic Programming for Dynamic Job Shop Scheduling. In Genetic Programming; Lecture Notes in Computer Science (Including Subseries Lecture Notes in Artificial Intelligence and Lecture Notes in Bioinformatics); Springer: Cham, Switzerland, 2022; Volume 13223, pp. 162–178. [Google Scholar] [CrossRef]
- Zhang, F.; Mei, Y.; Nguyen, S.; Zhang, M. Survey on Genetic Programming and Machine Learning Techniques for Heuristic Design in Job Shop Scheduling. IEEE Trans. Evol. Comput. 2024, 28, 147–167. [Google Scholar] [CrossRef]
- Huang, Z.; Mei, Y.; Zhong, J. Semantic Linear Genetic Programming for Symbolic Regression. IEEE Trans. Cybern. 2024, 54, 1321–1334. [Google Scholar] [CrossRef] [PubMed]
- Humberto Velasco Arellano, M.M.R.; Mendoza, J.E.G. Sensor Linearization Using Linear Genetic Programming. In Robótica y Computaciión, Retos y Perspectivas; Iliana Castro Liera, M.C.L., Ed.; Instituto Tecnológico de la Paz: La Paz, Mexico, 2018; pp. 117–122. ISBN 978-607-97128-7-7. [Google Scholar]
- Arellano, H.V.; Rivera, M.M. Forward Kinematics for 2 DOF Planar Robot Using Linear Genetic Programming. Res. Comput. Sci. 2019, 148, 123–133. [Google Scholar] [CrossRef]
- Hu, T.; Ochoa, G.; Banzhaf, W. Phenotype Search Trajectory Networks for Linear Genetic Programming. arXiv 2022, arXiv:2211.08516. [Google Scholar] [CrossRef]
- Miralavy, I.; Banzhaf, W. Spatial Genetic Programming. In Genetic Programming; Lecture Notes in Computer Science (Including Subseries Lecture Notes in Artificial Intelligence and Lecture Notes in Bioinformatics); Springer: Cham, Switzerland, 2023; Volume 13986, pp. 260–275. [Google Scholar] [CrossRef]
- Huang, Z.; Mei, Y.; Zhang, F.; Zhang, M. Graph-Based Linear Genetic Programming: A Case Study of Dynamic Scheduling. In Proceedings of the GECCO ′22: Genetic and Evolutionary Computation Conference, GECCO ′22: Genetic and Evolutionary Computation Conference, Boston, MA, USA, 9–13 July 2022; pp. 955–963. [Google Scholar] [CrossRef]
- Lensen, A.; Xue, B.; Zhang, M. GPGC: Genetic Programming for Automatic Clustering Using a Flexible Non-Hyper-Spherical Graph-Based Approach. In Proceedings of the GECCO ′17: Proceedings of the Genetic and Evolutionary Computation Conference, Berlin, Germany, 15–19 July 2017; pp. 449–456. [Google Scholar] [CrossRef]
- Alrawi, A.W.; Awad, K.R.; Alakidi, A.M.J. The Impact of Oil Price Volatility on the Economic Development: The Linear Programming Method Study. J. Gov. Regul. 2023, 12, 361–368. [Google Scholar] [CrossRef]
- Olmo, J.L.; Romero, J.R.; Ventura, S. Swarm-Based Metaheuristics in Automatic Programming: A Survey. Wiley Interdiscip. Rev. Data Min. Knowl. Discov. 2014, 4, 445–469. [Google Scholar] [CrossRef]
- Sheta, A.; Abdel-Raouf, A.; Fraihat, K.M.; Baareh, A. Evolutionary Design of a PSO-Tuned Multigene Symbolic Regression Genetic Programming Model for River Flow Forecasting. Int. J. Adv. Comput. Sci. Appl. 2023, 14, 806–814. [Google Scholar] [CrossRef]
- Sotto, L.F.D.P.; Kaufmann, P.; Atkinson, T.; Kalkreuth, R.; Basgalupp, M.P. A Study on Graph Representations for Genetic Programming. In Proceedings of the GECCO ′20: Genetic and Evolutionary Computation Conference, Cancún, Mexico, 8–12 July 2020; pp. 931–939. [Google Scholar] [CrossRef]
- Françoso Dal Piccol Sotto, L.; Kaufmann, P.; Atkinson, T.; Kalkreuth, R.; Porto Basgalupp, M. Graph Representations in Genetic Programming. Genet. Program. Evolvable Mach. 2021, 22, 607–636. [Google Scholar] [CrossRef]
- Salehi-Abari, A.; White, T. The Uphill Battle of Ant Programming vs. Genetic Programming. In Proceedings of the International Joint Conference on Computational Intelligence (IJCCI 2009)—ICEC; SciTePress: Setúbal, Portugal, 2016; pp. 171–176. [Google Scholar] [CrossRef]
- Piotrowski, A.P.; Napiorkowski, M.J.; Napiorkowski, J.J.; Rowinski, P.M. Swarm Intelligence and Evolutionary Algorithms: Performance versus Speed. Inf. Sci. 2017, 384, 34–85. [Google Scholar] [CrossRef]
- Bansal, R.; Khanesar, M.A.; Branson, D. Ant Colony Optimization Algorithm for Industrial Robot Programming in a Digital Twin. In Proceedings of the 2019 25th International Conference on Automation and Computing (ICAC), Lancaster, UK, 5–7 September 2019. [Google Scholar] [CrossRef]
- Moeini, R.; Afshar, M.H. Hybridizing Ant Colony Optimization Algorithm with Nonlinear Programming Method for Effective Optimal Design of Sewer Networks. Water Environ. Res. 2019, 91, 300–321. [Google Scholar] [CrossRef]
- Togelius, J.; De Nardi, R.; Moraglio, A. Geometric PSO + GP = Particle Swarm Programming. In Proceedings of the 2008 IEEE Congress on Evolutionary Computation (IEEE World Congress on Computational Intelligence), Hong Kong, China, 1–6 June 2008; pp. 3594–3600. [Google Scholar]
- O’Neill, M.; Brabazon, A. Grammatical Swarm: The Generation of Programs by Social Programming. Nat. Comput. 2006, 5, 443–462. [Google Scholar] [CrossRef]
- Montes Rivera, M.; Guerrero-Mendez, C.; Lopez-Betancur, D.; Saucedo-Anaya, T. Dynamical Sphere Regrouping Particle Swarm Optimization: A Proposed Algorithm for Dealing with PSO Premature Convergence in Large-Scale Global Optimization. Mathematics 2023, 11, 4339. [Google Scholar] [CrossRef]
- Skiena, S.S.; Revilla, M.A. Programming Challenges; Springer: New York, NY, USA, 2003; ISBN 978-0-387-00163. [Google Scholar]
- Diáz, H.; Sala, A.; Armesto, L. A Linear Programming Methodology for Approximate Dynamic Programming. Int. J. Appl. Math. Comput. Sci. 2020, 30, 363–375. [Google Scholar] [CrossRef]
- Bilal; Rani, D.; Pant, M.; Jain, S.K. Dynamic Programming Integrated Particle Swarm Optimization Algorithm for Reservoir Operation. Int. J. Syst. Assur. Eng. Manag. 2020, 11, 515–529. [Google Scholar] [CrossRef]
- Liu, S.; Wang, P.; Xu, Z.; Feng, Z.; Zhang, C.; Wang, J.; Chen, C. Hydropower Unit Commitment Using a Genetic Algorithm with Dynamic Programming. Energies 2023, 16, 5842. [Google Scholar] [CrossRef]
- Liu, D.; Xue, S.; Zhao, B.; Luo, B.; Wei, Q. Adaptive Dynamic Programming for Control: A Survey and Recent Advances. IEEE Trans. Syst. Man. Cybern. Syst. 2021, 51, 142–160. [Google Scholar] [CrossRef]
- Shi, Y.; Eberhart, R. Modified Particle Swarm Optimizer. In Proceedings of the IEEE Conference on Evolutionary Computation, ICEC, Anchorage, AK, USA, 4–9 May 1998; pp. 69–73. [Google Scholar] [CrossRef]
- Sedighizadeh, D.; Masehian, E.; Sedighizadeh, M.; Akbaripour, H. GEPSO: A New Generalized Particle Swarm Optimization Algorithm. Math. Comput. Simul. 2021, 179, 194–212. [Google Scholar] [CrossRef]
- Pluhacek, M.; Senkerik, R.; Viktorin, A.; Kadavy, T. PSO with Attractive Search Space Border Points. In Artificial Intelligence and Soft Computing; Lecture Notes in Computer Science (Including Subseries Lecture Notes in Artificial Intelligence and Lecture Notes in Bioinformatics); Springer: Cham, Switzerland, 2017; Volume 10246, pp. 665–675. [Google Scholar] [CrossRef]
- Evers, G.I.; Ghalia, M. Ben Regrouping Particle Swarm Optimization: A New Global Optimization Algorithm with Improved Performance Consistency across Benchmarks. In Proceedings of the 2009 IEEE International Conference on Systems, Man and Cybernetics, San Antonio, TX, USA, 11–14 October 2009; pp. 3901–3908. [Google Scholar] [CrossRef]
- Li, F.; Yue, Q.; Liu, Y.; Ouyang, H.; Gu, F. A Fast Density Peak Clustering Based Particle Swarm Optimizer for Dynamic Optimization. Expert. Syst. Appl. 2024, 236, 121254. [Google Scholar] [CrossRef]
- Akan, Y.Y.; Herrmann, J.M. Stability, Entropy and Performance in PSO. In Proceedings of the GECCO ′23 Companion: Companion Conference on Genetic and Evolutionary Computation, Lisbon, Portugal, 15–19 July 2023; pp. 811–814. [Google Scholar] [CrossRef]
- Tsujimoto, T.; Shindo, T.; Jin’no, K. The Neighborhood of Canonical Deterministic PSO. In Proceedings of the Evolutionary Computation (CEC), 2011 IEEE Congress, New Orleans, LA, USA, 5–8 June 2011; pp. 1811–1817. [Google Scholar]
- La Cava, W.; Orzechowski, P.; Burlacu, B.; de França, F.O.; Virgolin, M.; Jin, Y.; Kommenda, M.; Moore, J.H. Contemporary Symbolic Regression Methods and Their Relative Performance. arXiv 2021, arXiv:2107.14351. [Google Scholar] [CrossRef]
- Home—UCI Machine Learning Repository. Available online: https://archive.ics.uci.edu/ (accessed on 7 August 2024).
- Kaggle: Your Home for Data Science. Available online: https://www.kaggle.com/ (accessed on 7 August 2024).
- Romano, J.D.; Le, T.T.; La Cava, W.; Gregg, J.T.; Goldberg, D.J.; Chakraborty, P.; Ray, N.L.; Himmelstein, D.; Fu, W.; Moore, J.H. PMLB v1.0: An Open-Source Dataset Collection for Benchmarking Machine Learning Methods. Bioinformatics 2022, 38, 878–880. [Google Scholar] [CrossRef]
- GitHub—Cavalab/Srbench: A Living Benchmark Framework for Symbolic Regression. Available online: https://github.com/cavalab/srbench (accessed on 7 August 2024).
- Airfoil Self-Noise—UCI Machine Learning Repository. Available online: https://archive.ics.uci.edu/dataset/291/airfoil+self+noise (accessed on 7 August 2024).
- Brooks, T.F.; Stuart, D.; Marcolini, M.A. NASA Reference Publication 1218 Airfoil Self-Noise and Prediction. 1989. Available online: https://ntrs.nasa.gov/citations/19890016302 (accessed on 20 September 2024).
- Yeh, I.C. Modeling of Strength of High-Performance Concrete Using Artificial Neural Networks. Cem. Concr. Res. 1998, 28, 1797–1808. [Google Scholar] [CrossRef]
- Tsanas, A.; Xifara, A. Accurate Quantitative Estimation of Energy Performance of Residential Buildings Using Statistical Machine Learning Tools. Energy Build. 2012, 49, 560–567. [Google Scholar] [CrossRef]
- Energy Efficiency—UCI Machine Learning Repository. Available online: https://archive.ics.uci.edu/dataset/242/energy+efficiency (accessed on 7 August 2024).
- Yacht Hydrodynamics—UCI Machine Learning Repository. Available online: https://archive.ics.uci.edu/dataset/243/yacht+hydrodynamics (accessed on 7 August 2024).
- Zhou, F.; Claire, Q.; King, R.D. Predicting the Geographical Origin of Music. In Proceedings of the 2014 IEEE International Conference on Data Mining, Shenzhen, China, 14–17 December 2014; pp. 1115–1120. [Google Scholar] [CrossRef]
- Geographical Origin of Music—UCI Machine Learning Repository. Available online: https://archive.ics.uci.edu/dataset/315/geographical+original+of+music (accessed on 7 August 2024).
- Fischer, S.; Harutyunyan, L.; Feurer, M.; Bischl, B. OpenML-CTR23—A Curated Tabular Regression Benchmarking Suite 2023. Available online: https://openreview.net/pdf?id=HebAOoMm94 (accessed on 20 September 2024).
- Borggaard, C.; Thodberg, H.H. Optimal Minimal Neural Interpretation of Spectra. Anal. Chem. 1992, 64, 545–551. [Google Scholar] [CrossRef]
- Liao, T.; Stutzle, T. Benchmark Results for a Simple Hybrid Algorithm on the CEC 2013 Benchmark Set for Real-Parameter Optimization. In Proceedings of the 2013 IEEE Congress on Evolutionary Computation, CEC 2013, Cancun, Mexico, 20–23 June 2013; pp. 1938–1944. [Google Scholar] [CrossRef]
- Li, X.; Tang, K.; Omidvar, M.N.; Yang, Z.; Qin, K.; China, H. Benchmark Functions for the CEC 2013 Special Session and Competition on Large-Scale Global Optimization. Gene 2013, 7, 8. [Google Scholar]
- de Franca, F.O.; Aldeia, G.S.I. Interaction-Transformation Evolutionary Algorithm for Symbolic Regression. Evol. Comput. 2019, 29, 367–390. [Google Scholar] [CrossRef] [PubMed]
- Redonnet, S.; Bose, T.; Seth, A.; Li, L.K.B. Airfoil Self-Noise Prediction Using Deep Neural Networks. Eng. Anal. Bound. Elem. 2024, 159, 180–191. [Google Scholar] [CrossRef]
- Claudinei-Daitx/Airfoil-Self-Noise-Prediction: Machine Learning Course SCS 3253. Available online: https://github.com/claudinei-daitx/airfoil-self-noise-prediction (accessed on 23 August 2024).
- Elhishi, S.; Elashry, A.M.; El-Metwally, S. Unboxing Machine Learning Models for Concrete Strength Prediction Using XAI. Sci. Rep. 2023, 13, 19892. [Google Scholar] [CrossRef]
- Bilimleri, F.; Dergisi, E.; Makalesi, A.; Akgundogdu, A. Comparative Analysis of Regression Learning Methods for Estimation of Energy Performance of Residential Structures. Erzincan Univ. J. Sci. Technol. 2020, 13, 600–608. [Google Scholar] [CrossRef]
- Baressi Šegota, S.; Anđelić, N.; Kudláček, J.; Čep, R. Artificial Neural Network for Predicting Values of Residuary Resistance per Unit Weight of Displacement. Pomor. Zb. 2019, 57, 9–22. [Google Scholar] [CrossRef]
- Lazarevska, E. A Neuro-Fuzzy Model of the Residuary Resistance of Sailing Yachts. In Proceedings of the 2016 IEEE 8th International Conference on Intelligent Systems (IS), Sofia, Bulgaria, 4–6 September 2016; pp. 173–179. [Google Scholar] [CrossRef]
- Kucheryavskiy, S. Analysis of NIR Spectroscopic Data Using Decision Trees and Their Ensembles. J. Anal. Test. 2018, 2, 274–289. [Google Scholar] [CrossRef]
- Kruskal-Wallis Test. In The Concise Encyclopedia of Statistics; Springer: New York, NY, USA, 2008; pp. 288–290. [CrossRef]











































| Rank | Best MAE | Best MAPE | Best MSE | Time | |||||
|---|---|---|---|---|---|---|---|---|---|
| 1 | 2 | 4 | 2 | 00:01:37 | |||||
| 2 | 3 | 5 | 2 | 01:15:01 | |||||
| 3 | 1 | 5 | 2 | 00:06:37 | |||||
| 4 | 1 | 4 | 2 | 00:03:29 | |||||
| 5 | 2 | 3 | 2 | 00:08:14 | |||||
| 6 | 2 | 2 | 2 | 00:03:00 | |||||
| 7 | 3 | 2 | 2 | 00:15:47 | |||||
| 8 | 1 | 5 | 1 | 00:01:57 | |||||
| 9 | 3 | 3 | 1 | 00:05:25 | |||||
| 10 | 2 | 4 | 3 | 00:00:59 |
| Rank | ||||
|---|---|---|---|---|
| 1 | ||||
| 2 | ||||
| 3 | ||||
| 4 | ||||
| 5 | ||||
| 6 | ||||
| 7 | ||||
| 8 | ||||
| 9 | ||||
| 10 |
| Rank | Best MAE | Best MAPE | Best MSE | Time | |||||
|---|---|---|---|---|---|---|---|---|---|
| 1 | 1 | 4 | 3 | 06:45:00 | |||||
| 2 | 2 | 4 | 4 | 07:46:53 | |||||
| 3 | 4 | 2 | 3 | 15:30:56 | |||||
| 4 | 2 | 5 | 1 | 19:22:58 | |||||
| 5 | 1 | 3 | 2 | 08:34:41 | |||||
| 6 | 2 | 3 | 2 | 09:09:51 | |||||
| 7 | 3 | 5 | 1 | 14:58:36 | |||||
| 8 | 3 | 5 | 4 | 06:33:45 | |||||
| 9 | 4 | 3 | 3 | 04:44:04 | |||||
| 10 | 3 | 2 | 4 | 04:58:08 |
| Rank | ||||
|---|---|---|---|---|
| 1 | ||||
| 2 | ||||
| 3 | ||||
| 4 | ||||
| 5 | ||||
| 6 | ||||
| 7 | ||||
| 8 | ||||
| 9 | ||||
| 10 |
| Rank | Best MAE | Best MAPE | Best MSE | Best | Best | Time | |||
|---|---|---|---|---|---|---|---|---|---|
| 1 | 2 | 5 | 3 | 16:18:45 | |||||
| 2 | 3 | 5 | 1 | 09:25:19 | |||||
| 3 | 3 | 5 | 2 | 06:28:07 | |||||
| 4 | 4 | 2 | 3 | 23:26:15 | |||||
| 5 | 3 | 4 | 2 | 18:00:00 | |||||
| 6 | 4 | 3 | 2 | 15:28:07 | |||||
| 7 | 2 | 5 | 1 | 19:38:26 | |||||
| 8 | 4 | 3 | 4 | 02:03:45 | |||||
| 9 | 1 | 4 | 3 | 17:54:23 | |||||
| 10 | 3 | 2 | 1 | 18:05:38 |
| Rank | ||||
|---|---|---|---|---|
| 1 | ||||
| 2 | ||||
| 3 | ||||
| 4 | ||||
| 5 | ||||
| 6 | ||||
| 7 | ||||
| 8 | ||||
| 9 | ||||
| 10 |
| Rank | Best MAE | Best MAPE | Best MSE | Time | |||||
|---|---|---|---|---|---|---|---|---|---|
| 1 | 4 | 2 | 2 | 06:42:11 | |||||
| 2 | 4 | 5 | 3 | 07:46:52 | |||||
| 3 | 3 | 2 | 3 | 01:52:30 | |||||
| 4 | 3 | 2 | 4 | 05:26:15 | |||||
| 5 | 3 | 3 | 3 | 18:33:45 | |||||
| 6 | 3 | 2 | 2 | 11:37:30 | |||||
| 7 | 1 | 5 | 2 | 06:15:28 | |||||
| 8 | 3 | 5 | 3 | 20:15:00 | |||||
| 9 | 4 | 3 | 1 | 08:23:26 | |||||
| 10 | 2 | 3 | 3 | 12:56:15 |
| Rank | ||||
|---|---|---|---|---|
| 1 | ||||
| 2 | ||||
| 3 | ||||
| 4 | ||||
| 5 | ||||
| 6 | ||||
| 7 | ||||
| 8 | ||||
| 9 | ||||
| 10 |
| Rank | Best MAE | Best MAPE | Best MSE | Time | |||||
|---|---|---|---|---|---|---|---|---|---|
| 1 | 1 | 2 | 3 | 19:24:37 | |||||
| 2 | 3 | 3 | 4 | 18:09:51 | |||||
| 3 | 4 | 4 | 1 | 15:57:27 | |||||
| 4 | 1 | 3 | 4 | 12:36:18 | |||||
| 5 | 1 | 5 | 1 | 02:09:14 | |||||
| 6 | 2 | 5 | 2 | 00:47:17 | |||||
| 7 | 2 | 5 | 1 | 21:55:01 | |||||
| 8 | 2 | 3 | 3 | 12:40:31 | |||||
| 9 | 1 | 3 | 2 | 12:57:09 | |||||
| 10 | 1 | 2 | 2 | 02:31:10 |
| Rank | ||||
|---|---|---|---|---|
| 1 | ||||
| 2 | ||||
| 3 | ||||
| 4 | ||||
| 5 | ||||
| 6 | ||||
| 7 | ||||
| 8 | ||||
| 9 | ||||
| 10 |
| Rank | Best MAE | Best MAPE | Best MSE | Time | |||||
|---|---|---|---|---|---|---|---|---|---|
| 1 | 1 | 4 | 2 | 17:29:46 | |||||
| 2 | 1 | 5 | 3 | 03:11:15 | |||||
| 3 | 2 | 3 | 3 | 08:24:51 | |||||
| 4 | 3 | 2 | 4 | 18:37:58 | |||||
| 5 | 2 | 3 | 4 | 11:47:21 | |||||
| 6 | 4 | 4 | 1 | 18:50:38 | |||||
| 7 | 2 | 4 | 3 | 12:43:36 | |||||
| 8 | 3 | 3 | 3 | 01:03:17 | |||||
| 9 | 1 | 4 | 4 | 06:29:32 | |||||
| 10 | 1 | 4 | 3 | 18:33:03 |
| Rank | ||||
|---|---|---|---|---|
| 1 | ||||
| 2 | ||||
| 3 | ||||
| 4 | ||||
| 5 | ||||
| 6 | ||||
| 7 | ||||
| 8 | ||||
| 9 | ||||
| 10 |
| Rank | Best MAE | Best MAPE | Best MSE | Time | |||||
|---|---|---|---|---|---|---|---|---|---|
| 1 | 3 | 3 | 2 | 11:26:15 | |||||
| 2 | 4 | 4 | 4 | 21:05:37 | |||||
| 3 | 3 | 3 | 1 | 4:08:54 | |||||
| 4 | 4 | 5 | 1 | 11:47:21 | |||||
| 5 | 4 | 4 | 2 | 2:15:00 | |||||
| 6 | 2 | 3 | 1 | 1:10:19 | |||||
| 7 | 1 | 4 | 2 | 19:37:44 | |||||
| 8 | 4 | 2 | 1 | 13:40:33 | |||||
| 9 | 4 | 3 | 1 | 14:51:34 | |||||
| 10 | 1 | 5 | 3 | 12:47:49 |
| Rank | ||||
|---|---|---|---|---|
| 1 | ||||
| 2 | ||||
| 3 | ||||
| 4 | ||||
| 5 | ||||
| 6 | ||||
| 7 | ||||
| 8 | ||||
| 9 | ||||
| 10 |
| Rank | Best MAE | Best MAPE | Best MSE | Best | Best | Time | |||
|---|---|---|---|---|---|---|---|---|---|
| 1 | 3 | 4 | 2 | 8:17:49 | |||||
| 2 | 2 | 4 | 2 | 3:01:24 | |||||
| 3 | 2 | 2 | 3 | 8:27:39 | |||||
| 4 | 3 | 3 | 2 | 23:45:56 | |||||
| 5 | 3 | 2 | 3 | 6:08:26 | |||||
| 6 | 2 | 3 | 3 | 18:33:45 | |||||
| 7 | 2 | 4 | 3 | 19:10:19 | |||||
| 8 | 1 | 4 | 2 | 12:00:00 | |||||
| 9 | 1 | 5 | 2 | 23:30:28 | |||||
| 10 | 1 | 4 | 3 | 12:40:47 |
| Rank | ||||
|---|---|---|---|---|
| 1 | ||||
| 2 | ||||
| 3 | ||||
| 4 | ||||
| 5 | ||||
| 6 | ||||
| 7 | ||||
| 8 | ||||
| 9 | ||||
| 10 |
| Rank | Best MAE | Best MAPE | Best MSE | Time | |||||
|---|---|---|---|---|---|---|---|---|---|
| 1 | 2 | 4 | 4 | 5:51:34 | |||||
| 2 | 4 | 2 | 2 | 15:11:15 | |||||
| 3 | 4 | 4 | 2 | 21:37:58 | |||||
| 4 | 2 | 2 | 4 | 0:26:43 | |||||
| 5 | 3 | 3 | 4 | 23:36:06 | |||||
| 6 | 3 | 2 | 3 | 20:10:47 | |||||
| 7 | 2 | 3 | 3 | 8:24:51 | |||||
| 8 | 4 | 2 | 3 | 4:24:22 | |||||
| 9 | 4 | 3 | 3 | 21:46:24 | |||||
| 10 | 3 | 3 | 2 | 23:41:01 |
| Rank | ||||
|---|---|---|---|---|
| 1 | ||||
| 2 | ||||
| 3 | ||||
| 4 | ||||
| 5 | ||||
| 6 | ||||
| 7 | ||||
| 8 | ||||
| 9 | ||||
| 10 |
| Rank | Best MAE | Best MAPE | Best MSE | Time | |||||
|---|---|---|---|---|---|---|---|---|---|
| 1 | 3 | 4 | 2 | 21:09:08 | |||||
| 2 | 3 | 3 | 4 | 13:31:24 | |||||
| 3 | 2 | 2 | 2 | 08:05:52 | |||||
| 4 | 1 | 2 | 4 | 10:01:10 | |||||
| 5 | 3 | 4 | 4 | 03:53:26 | |||||
| 6 | 2 | 3 | 3 | 15:59:04 | |||||
| 7 | 1 | 3 | 4 | 16:18:03 | |||||
| 8 | 2 | 2 | 4 | 15:33:45 | |||||
| 9 | 4 | 4 | 3 | 17:05:09 | |||||
| 10 | 4 | 3 | 4 | 16:38:26 |
| Rank | ||||
|---|---|---|---|---|
| 1 | ||||
| 2 | ||||
| 3 | ||||
| 4 | ||||
| 5 | ||||
| 6 | ||||
| 7 | ||||
| 8 | ||||
| 9 | ||||
| 10 |
| Algorithm | Airfoil | Concrete | Cooling | Yacht | Geo | Tecator |
|---|---|---|---|---|---|---|
| ITEA | 2.27 ± 0.06 | 5.81 ± 0.11 | 1.44 ± 0.05 | 0.49 ± 0.06 | 32.94 ± 2.21 | 0.7 ± 0.09 |
| SymTree | 1.50 ± 0.08 | 3.67 ± 0.14 | 1.12 ± 0.08 | 1.21 ± 0.35 | 31.95 ± 0.90 | 0.42 ± 0.04 |
| FEAT-full | 3.06 ± 0.33 | 6.00 ± 0.29 | 1.60 ± 0.04 | 0.54 ± 0.13 | 41.96 ± 4.35 | 1.02 ± 0.54 |
| FEAT | 3.48 ± 0.46 | 6.63 ± 0.44 | 1.72 ± 0.13 | 1.73 ± 0.63 | 41.87 ± 1.44 | 0.83 ± 0.30 |
| dCGP | 7.56 ± 1.33 | 19.45 ± 2.42 | 12.89 ± 2.35 | 17.09 ± 1.76 | 55.60 ± 3.41 | 4.10 ± 0.35 |
| GP | 10.28 ± 7.26 | 13.64 ± 1.89 | 4.44 ± 0.91 | 6.38 ± 2.45 | 49.66 ± 2.58 | 3.00 ± 0.63 |
| GSGP | 10.60 ± 4.62 | 7.24 ± 0.74 | 2.07 ± 0.43 | 8.81 ± 1.11 | 42.03 ± 0.96 | 1.04 ± 0.46 |
| Forest | 1.80 ± 0.03 | 2.97 ± 0.07 | 1.22 ± 0.03 | 0.04 ± 0.02 | 11.26 ± 0.76 | 0.63 ± 0.02 |
| Tree | 2.04 ± 0.08 | 2.90 ± 0.16 | 1.68 ± 0.07 | 0.33 ± 0.41 | 19.73 ± 3.50 | 0.66 ± 0.21 |
| kNN | 5.90 ± 0.08 | 8.27 ± 0.09 | 1.97 ± 0.04 | 8.75 ± 0.68 | 31.51 ± 0.52 | 1.39 ± 0.04 |
| LR | 4.82 ± 0.04 | 10.47 ± 0.12 | 3.22 ± 0.02 | 8.94 ± 0.15 | 43.70 ± 0.18 | 0.80 ± 0.03 |
| DSRegPSOP | 6.41 ± 1.01 | 13.10 ± 1.88 | 5.24 ± 0.59 | 7.55± 2.63 | 26.30 ± 8.48 | 8.19 ± 2.07 |
| Algorithm | Airfoil | Concrete | Cooling | Yacht | Geo | Tecator |
|---|---|---|---|---|---|---|
| ITEA | 2.45 ± 0.21 | 6.33 ± 0.47 | 1.53 ± 0.13 | 0.75 ± 0.58 | 35.65 ± 2.69 | 1.2 ± 0.37 |
| SymTree | 2.12 ± 0.20 | 5.56 ± 0.38 | 1.61 ± 0.17 | 1.61 ± 1.22 | 43.53 ± 1.49 | 0.71 ± 0.16 |
| FEAT-full | 3.18 ± 0.31 | 6.35 ± 0.28 | 1.63 ± 0.12 | 0.83 ± 0.22 | 45.11 ± 9.02 | 2.02 ± 4.93 |
| FEAT | 3.55 ± 0.44 | 7.06 ± 1.09 | 1.75 ± 0.16 | 1.83 ± 0.65 | 45.67 ± 9.12 | 1.03 ± 0.32 |
| dCGP | 7.55 ± 1.38 | 19.50 ± 2.27 | 12.84 ± 2.25 | 17.01 ± 2.20 | 63.75 ± 46.90 | 4.10 ± 0.43 |
| GP | 10.31 ± 7.21 | 13.65 ± 1.90 | 4.46 ± 0.91 | 6.68 ± 2.94 | 49.72 ± 2.94 | 3.05 ± 0.70 |
| GSGP | 10.60 ± 4.35 | 7.86 ± 1.10 | 2.13 ± 0.42 | 9.03 ± 1.03 | 44.35 ± 1.51 | 1.41 ± 0.56 |
| Forest | 2.37 ± 0.07 | 5.25 ± 0.32 | 1.79 ± 0.12 | 1.07 ± 0.31 | 25.78 ± 3.65 | 1.25 ± 0.12 |
| Tree | 2.93 ± 0.10 | 5.01 ± 0.35 | 1.85 ± 0.14 | 1.44 ± 0.26 | 31.92 ± 7.42 | 1.68 ± 0.15 |
| kNN | 5.86 ± 0.26 | 7.85 ± 0.73 | 1.92 ± 0.13 | 7.56 ± 1.31 | 31.17 ± 0.87 | 1.29 ± 0.09 |
| LR | 4.82 ± 0.17 | 10.44 ± 0.49 | 3.21 ± 0.11 | 8.93 ± 0.71 | 42.95 ± 1.26 | 0.74 ± 0.06 |
| DSRegPSOP | 6.46 ± 0.90 | 12.55 ± 1.61 | 5.26 ± 0.54 | 6.12± 2.02 | 26.75 ± 9.89 | 8.14 ± 2.54 |
| Algorithm/Dataset | Airfoil R2 | Airfoil RMSE |
|---|---|---|
| Linear Regression | 0.46 | 5.15 |
| Ridge Regression | 0.46 | 5.15 |
| Lasso Regression | 0.46 | 5.16 |
| SVM | 0.80 | 3.14 |
| ANN | 0.89 | 2.33 |
| DNN | 0.95 | 1.54 |
| DSRegPSOP | 0.66 | 4.03 |
| Algorithm/Dataset | Concrete RMSE | |
|---|---|---|
| Linear Regression | 0.57 | 10.28 |
| Ridge Regression | 0.57 | 10.29 |
| Lasso Regression | 0.54 | 10.68 |
| SVM | 0.66 | 9.13 |
| ANN | 0.75 | 6.02 |
| DSRegPSOP | 0.78 | 8.03 |
| Algorithm/Dataset | Cooling Load RMSE | |
|---|---|---|
| Linear Regression | 0.95 | 2.96 |
| Gaussian Regression | 0.95 | 2.92 |
| Multilayer Perceptron | 0.97 | 2.10 |
| SVM | 0.94 | 3.10 |
| ANN | 0.95 | 2.78 |
| ANFIS | 0.99 | 1.60 |
| DSRegPSOP | 0.94 | 2.38 |
| Algorithm/Dataset | Yachts Sailing Resistance RMSE | |
|---|---|---|
| Position-gradient type fuzzy model | 1.00 | 0.17 |
| Neuro-fuzzy model based on extended RVM | 1.00 | 0.21 |
| NN model based on ELM | 1.00 | 0.16 |
| NN model based on IELM | 1.00 | 0.14 |
| NN model based on CIELM | 1.00 | 0.13 |
| ANN with L2 regularization | 0.99 | 1.51 |
| DSRegPSOP | 1.00 | 1.08 |
| Algorithm/Dataset | Geographical Location of Music RMSE | |
|---|---|---|
| XGBoost | 0.32 | 15.19 |
| Random Forest | 0.28 | 15.67 |
| Ridge Regression | 0.14 | 17.11 |
| Regression Tree | 0.04 | 18.09 |
| Generalized Additive Model | 0.12 | 17.33 |
| DSRegPSOP | 0.21 | 15.94 |
| Algorithm/Dataset | Tecator Fat RMSE | |
|---|---|---|
| Partial Least Square Regression | 0.95 | 2.96 |
| Tree Regression | 0.95 | 2.92 |
| Random Forest | 0.97 | 2.10 |
| DSRegPSOP | 0.99 | 1.29 |
| Dataset | Kruskal-Wallis Test Statistic Value | p-Value | Significant Differences |
|---|---|---|---|
| Airfoil | 6 | 0.423190081 | No |
| Concrete | 5 | 0.415880187 | No |
| Cooling Load | 6 | 0.423190081 | No |
| Yachts Sailing Resistance | 6 | 0.423190081 | No |
| Geographical Location of Music | 5 | 0.415880187 | No |
| Tecator Fat | 3 | 0.391625176 | No |
Disclaimer/Publisher’s Note: The statements, opinions and data contained in all publications are solely those of the individual author(s) and contributor(s) and not of MDPI and/or the editor(s). MDPI and/or the editor(s) disclaim responsibility for any injury to people or property resulting from any ideas, methods, instructions or products referred to in the content. |
© 2024 by the authors. Licensee MDPI, Basel, Switzerland. This article is an open access article distributed under the terms and conditions of the Creative Commons Attribution (CC BY) license (https://creativecommons.org/licenses/by/4.0/).
Share and Cite
Montes Rivera, M.; Guerrero-Mendez, C.; Lopez-Betancur, D.; Saucedo-Anaya, T. Dynamical Sphere Regrouping Particle Swarm Optimization Programming: An Automatic Programming Algorithm Avoiding Premature Convergence. Mathematics 2024, 12, 3021. https://doi.org/10.3390/math12193021
Montes Rivera M, Guerrero-Mendez C, Lopez-Betancur D, Saucedo-Anaya T. Dynamical Sphere Regrouping Particle Swarm Optimization Programming: An Automatic Programming Algorithm Avoiding Premature Convergence. Mathematics. 2024; 12(19):3021. https://doi.org/10.3390/math12193021
Chicago/Turabian StyleMontes Rivera, Martín, Carlos Guerrero-Mendez, Daniela Lopez-Betancur, and Tonatiuh Saucedo-Anaya. 2024. "Dynamical Sphere Regrouping Particle Swarm Optimization Programming: An Automatic Programming Algorithm Avoiding Premature Convergence" Mathematics 12, no. 19: 3021. https://doi.org/10.3390/math12193021
APA StyleMontes Rivera, M., Guerrero-Mendez, C., Lopez-Betancur, D., & Saucedo-Anaya, T. (2024). Dynamical Sphere Regrouping Particle Swarm Optimization Programming: An Automatic Programming Algorithm Avoiding Premature Convergence. Mathematics, 12(19), 3021. https://doi.org/10.3390/math12193021





