Mechanical Instabilities and the Mathematical Behavior of van der Waals Gases
Abstract
1. Introduction
2. Preliminaries
2.1. Van der Waals Equation
2.2. Thermal Quantifiers
2.3. Comment on Small Densities
2.4. Critical Points
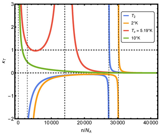
2.5. Isothermal Compressibility
2.6. Negative Isothermal Compressibility
2.7. van der Waals-Associated Classical–Quantum Frontier
3. Macroscopic Observables Signal the Classic–Quantum Transition
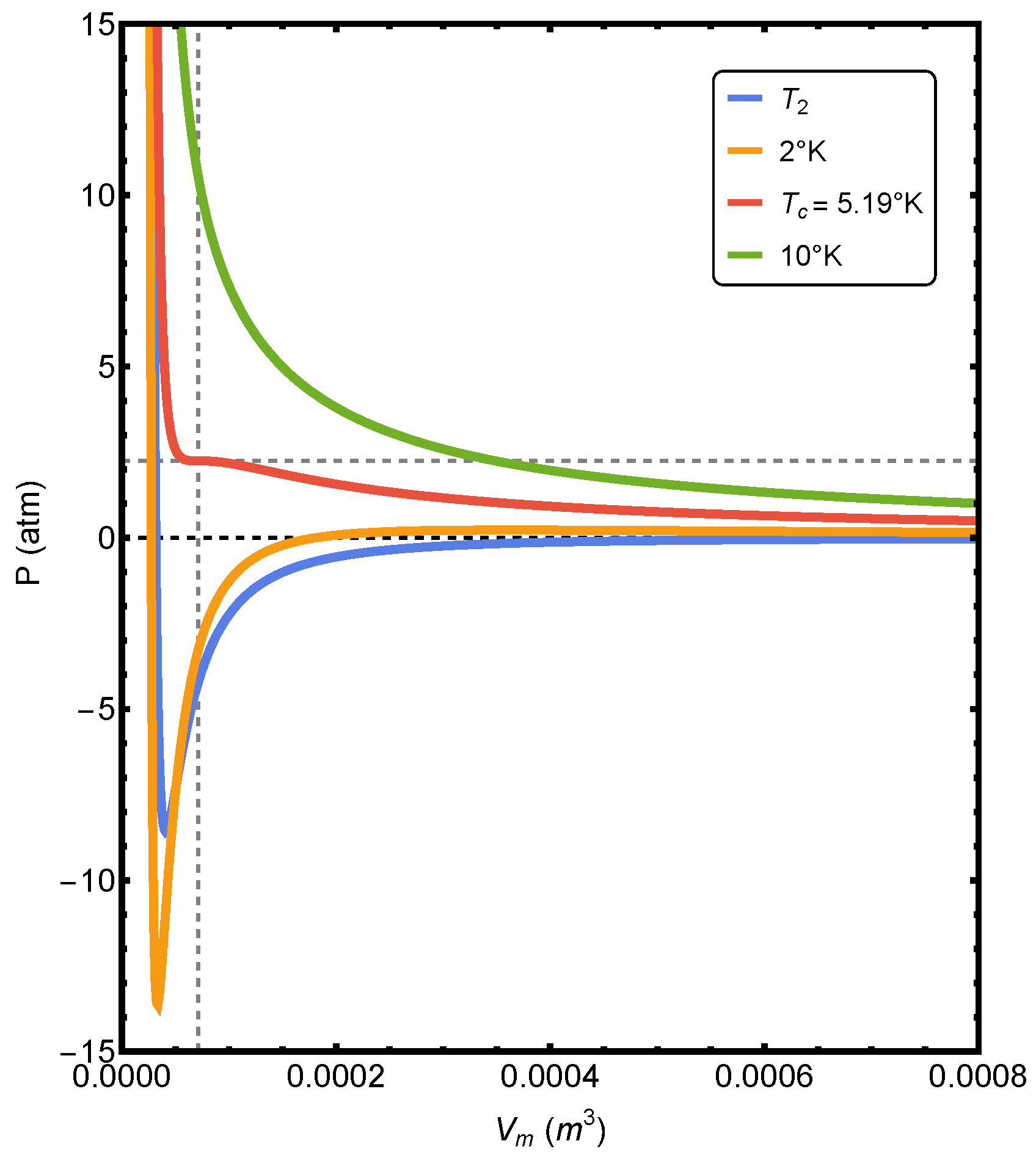
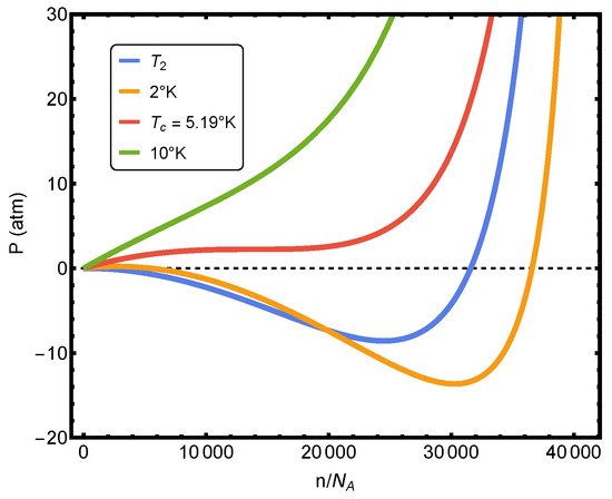
3.1. P-versus-V and P-versus-Density Graphs for Helium
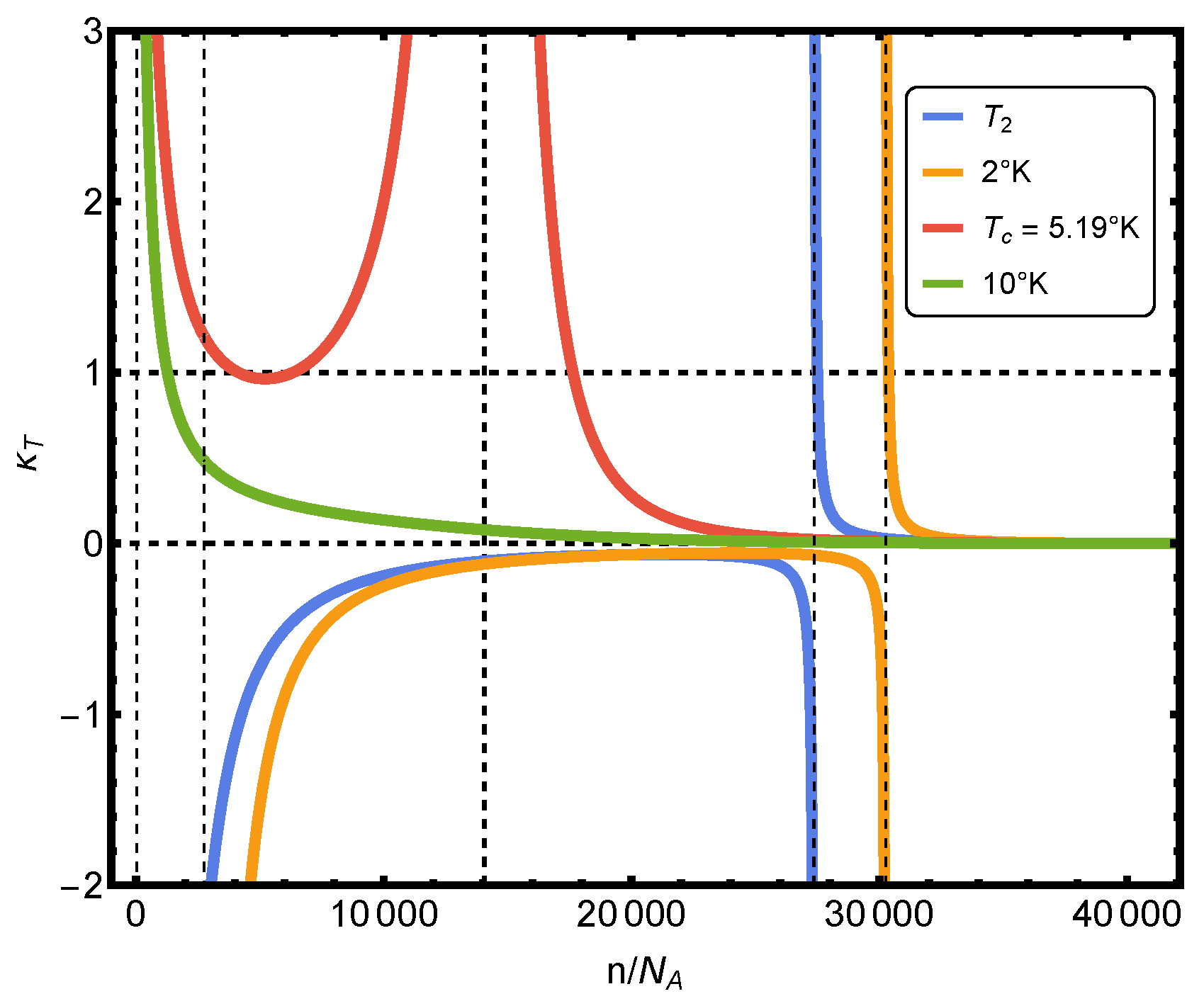
3.2. Isothermal Compressibility
4. Phase Diagram
The Set of Temperatures
5. Gas Models’ Limitations
5.1. Classical Gas Models
- Particles are point masses with no internal structure.
- Interactions are typically limited to the short range, often modeled by simple pairwise potentials.
- Systems are assumed to be in thermodynamic equilibrium and free from significant external constraints like walls or porous structures.
5.2. Reference to Rarefaction Effects
- The breakdown of continuum assumptions, which classical models rely on.
- Knudsen number dependency: Gas behavior becomes dependent on the Knudsen number (the ratio of the molecular mean free path to a characteristic dimension). At high Knudsen numbers, gas particles are more likely to undergo ballistic motion instead of diffusive interactions, making traditional gas laws invalid.
- Boundary and surface interactions dominate, which are not accounted for in classical gas laws, especially in micro- and nanoscale systems. Porous structures modify thermal and flow properties in ways that classical models fail to address.
5.3. Monte Carlo Tree Search (MCTS)
6. Conclusions
- Mechanical Instability: At temperatures for a van der Waals gas, the isothermal compressibility becomes negative, indicating mechanical instability. This suggests that the system can no longer be adequately described by classical thermodynamics alone and requires quantum mechanical considerations.
- Limitations of Classical Models: In the pressure–volume diagram, the pressure becomes negative at very small volumes when the system reaches these critical temperatures. This phenomenon underscores the limitations of classical models, such as the van der Waals equation, in predicting gas behavior under extreme conditions. Negative pressure signals a mechanically unstable or non-physical region, necessitating phase transitions to more stable configurations.
- Signatures of the Classical–Quantum Transition: The observed negative isothermal compressibility and pressure are clear indicators of the transition from classical to quantum behavior in gases. These findings emphasize the importance of incorporating quantum effects into thermodynamic analysis, particularly at low temperatures and high densities, where the de Broglie thermal wavelength becomes significant.
- Macroscopic Manifestations: Our study highlights simple macroscopic manifestations of the classical–quantum transition. The instances of mechanical instability and negative pressures observed here are rare but significant examples of how quantum mechanical effects can dramatically alter macroscopic behavior. These phenomena demonstrate the tangible impact of quantum mechanics on gas behavior, illustrating how quantum properties influence observable macroscopic scales.
- Fundamental Insights from Simple Systems: It is surprising to find such clear evidence of the classical–quantum frontier in relatively simple systems like van der Waals gases. This suggests that even basic models can yield valuable insights into the transition from classical to quantum behavior, highlighting the fundamental nature of these effects.
- Implications for Complex Systems: Understanding these transitions in simple gas models provides a foundational framework for studying more complex systems. It enhances our knowledge of gas behavior and phase transitions, offering valuable insights into phenomena such as Bose–Einstein condensation and superfluidity in condensed matter physics.
Author Contributions
Funding
Data Availability Statement
Conflicts of Interest
References
- Reif, F. Fundamentals of Statistical and Thermal Physics, 1st ed.; Waveland Press: Long Grove, IL, USA, 2009. [Google Scholar]
- Kittel, C.; Kroemer, H. Thermal Physics, 2nd ed.; W. H. Freeman: New York, NY, USA, 1980; p. 73. [Google Scholar]
- Branada, R.; Pennini, F.; Plastino, A. Statistical complexity and classical-quantum frontier. Phys. A 2018, 511, 18–26. [Google Scholar] [CrossRef]
- Pennini, F.; Plastino, A. The Classical-Quantum Passage: A van der Waals Description. Entropy 2022, 24, 182. [Google Scholar] [CrossRef]
- Johnston, D.C. Advances in Thermodynamics of the van der Waals Fluid; Morgan and Claypool Publishers: San Rafael, CA, USA, 2014. [Google Scholar]
- De Boer, J. Van der Waals in his time and the present revival. Physica 1974, 73, 1–27. [Google Scholar] [CrossRef]
- Sadus, R.J. The Dieterici alternative to the van der Waals approach for equations of state: Second virial coefficients. Phys. Chem. Chem. Phys. 2002, 4, 919–921. [Google Scholar] [CrossRef]
- Van der Waals, J.D. The equation of state for gases and liquids. Nobel Lecture. 12 December 1910. Available online: https://www.nobelprize.org/uploads/2018/06/waals-lecture.pdf (accessed on 1 September 2024).
- Reid, R.C.; Prausnitz, J.M.; Poling, B.E. The Properties of Gases and Liquids, 4th ed.; McGraw-Hill: New York, NY, USA, 1987. [Google Scholar]
- Huang, K. Statistical Mechanics; John Wiley & Sons: Hoboken, NJ, USA, 1987. [Google Scholar]
- Pathria, R.K. Statistical Mechanics, 2nd ed.; Butterworth-Heinemann: Oxford, UK, 1996. [Google Scholar]
- Leggett, A.J. Quantum Liquids: Bose Condensation and Cooper Pairing in Condensed-Matter Systems; Oxford University Press: Oxford, UK, 2006. [Google Scholar]
- Haynes, W.E. Handbook of Chemistry and Physics, 95th ed.; CRC Press: Boca Raton, FL, USA, 2014. [Google Scholar]
- Meghdadi Isfahani, A.H. Parametric Study of Rarefaction Effects on Micro- and Nanoscale Thermal Flows in Porous Structures. J. Heat Transfer. 2017, 139, 092601. [Google Scholar] [CrossRef]
- Swiechowski, M.; Godlewski, K.; Sawicki, B.; Mandziuk, J. Monte Carlo tree search: A review of recent modifications and applications. Artif. Intell. Rev. 2023, 56, 2497–2562. [Google Scholar] [CrossRef]






| Gas Name | a (J m3/mol2) | b ( m3/mol) | m ( Kg/mol) |
|---|---|---|---|
| Helium | 0.003460 | 0.02373 | 4.0026 |
| Neon | 0.02155 | 0.01626 | 20.1797 |
| Argon | 0.1362 | 0.03220 | 39.948 |
| Krypton | 0.2316 | 0.03940 | 83.798 |
| Xenon | 0.4190 | 0.05154 | 131.293 |
| Gas Name | (°K) | (°K) |
|---|---|---|
| Helium | 2.02 | 5.19 |
| Neon | 0.37 | 44.49 |
| Argon | 0.23 | 150.70 |
| Krypton | 0.12 | 209.52 |
| Xenon | 0.09 | 289.73 |
Disclaimer/Publisher’s Note: The statements, opinions and data contained in all publications are solely those of the individual author(s) and contributor(s) and not of MDPI and/or the editor(s). MDPI and/or the editor(s) disclaim responsibility for any injury to people or property resulting from any ideas, methods, instructions or products referred to in the content. |
© 2024 by the authors. Licensee MDPI, Basel, Switzerland. This article is an open access article distributed under the terms and conditions of the Creative Commons Attribution (CC BY) license (https://creativecommons.org/licenses/by/4.0/).
Share and Cite
Pennini, F.; Plastino, A. Mechanical Instabilities and the Mathematical Behavior of van der Waals Gases. Mathematics 2024, 12, 3016. https://doi.org/10.3390/math12193016
Pennini F, Plastino A. Mechanical Instabilities and the Mathematical Behavior of van der Waals Gases. Mathematics. 2024; 12(19):3016. https://doi.org/10.3390/math12193016
Chicago/Turabian StylePennini, Flavia, and Angelo Plastino. 2024. "Mechanical Instabilities and the Mathematical Behavior of van der Waals Gases" Mathematics 12, no. 19: 3016. https://doi.org/10.3390/math12193016
APA StylePennini, F., & Plastino, A. (2024). Mechanical Instabilities and the Mathematical Behavior of van der Waals Gases. Mathematics, 12(19), 3016. https://doi.org/10.3390/math12193016

