Next Article in Journal
Non-Linear Plasma Wave Dynamics: Investigating Chaos in Dynamical Systems
Previous Article in Journal
CGAOA-AttBiGRU: A Novel Deep Learning Framework for Forecasting CO2 Emissions
 
 
Font Type:
Arial Georgia Verdana
Font Size:
Aa Aa Aa
Line Spacing:
Column Width:
Background:
Article

The Dynamic Event-Based Non-Fragile H State Estimation for Discrete Nonlinear Systems with Dynamical Bias and Fading Measurement

School of Science, Jiangnan University, Wuxi 214122, China
*
Author to whom correspondence should be addressed.
Mathematics 2024, 12(18), 2957; https://doi.org/10.3390/math12182957
Submission received: 29 August 2024 / Revised: 19 September 2024 / Accepted: 20 September 2024 / Published: 23 September 2024

Abstract

The present study investigates non-fragile H state estimation based on a dynamic event-triggered mechanism for a class of discrete time-varying nonlinear systems subject to dynamical bias and fading measurements. The dynamic deviation caused by unknown inputs is represented by a dynamic equation with bounded noise. Subsequently, the augmentation technique is employed and the dynamic event-triggered mechanism is introduced in the sensor-to-estimator channel to determine whether data should be transmitted or not, thereby conserving resources. Furthermore, an augmented state-dependent non-fragile state estimator is constructed considering gain perturbation of the estimator and fading measurements during network transmission. Sufficient conditions are provided based on Lyapunov stability and matrix analysis techniques to ensure exponential mean-square stability of the estimation error system while satisfying the H disturbance fading level. The desired estimator gain matrix can be obtained by solving the linear matrix inequality (LMI). Finally, an example is presented to illustrate the effectiveness of the proposed method for designing estimators.

1. Introduction

Over the last few decades, as science and technology have kept on developing artificial intelligence technologies, the level of intelligence and complexity of the linear system is increasingly high. A variety of more accurate scientific experiments and analysis of the results show that the linear systems surrounding the operational point are generally simplified or approximated by linear systems and have been unable to satisfy the sophisticated and complex analytical requirements in the actual production process and modeling needs. While nonlinear systems often involve systems with complex dynamic characteristics, where the state of the system varies over time and is affected by multiple uncertainties [1,2,3]. Therefore, to obtain the required status information, we must make use of the metrics that are already accessible. And the state estimation problem has aroused research interest because of its great potential for application in engineering practices such as control engineering and digital signal processing [4,5,6,7,8].
The state estimation is the key to control and monitor the system, while the real-time and spatial distribution of data collected by sensor networks through a series of sensor nodes over a long period of time and at a high frequency has an essential effect on nonlinear systems’ state estimation, which has been extensively utilized in various industries, including agriculture, automated transportation, healthcare, and environmental monitoring [9,10,11,12]. In practical applications, sensors usually obtain only local state information from the observed data, so how to utilize the partially observable information to design the estimator and then realize the state estimation of the system is currently a significant research direction in the fields of control theory and intelligent information processing. In general, the state estimation techniques that have been developed may be divided into Kalman estimation and H state estimation techniques. In contrast, the H state estimation is a more robust state estimation method, which aims to assure the resilience and steadiness of the system in uncertain environments via optimizing the worst-case performance of the H filter in the face of system architecture uncertainty and external disturbances. For example, the state estimation issue was studied in [13] for neural systems with mixed time-delay and nonlinearities. Ref. [14] extended the results to H state estimation of neural systems based on random communication protocols.
In engineering practice, systems often encounter a variety of disruptive inputs, in addition to noise; for example, position errors become significant when the actuator is subject to sudden movements, air resistance, or electromagnetic perturbations [15]. Dynamic deviation, as a unique type of uncertainty due to unidentified inputs, is modeled by a dynamical equation, and it increases the complexity and difficulty of modeling and studying the system. Therefore, there has been plenty of research conducted regarding the issue of state estimation for nonlinear systems with dynamic variations. For example, a Kalman estimator with deviated state noise represented by the dynamical equations was studied in [16]. Refs. [17,18] designed separate bias estimators and adaptive estimators for unknown random bias, respectively. Subsequently, an enhanced model combining state and bias is constructed to discuss the evolution of dynamic bias, and the state estimation issue, which includes the estimation error covariance minimization, is considered through random analysis and mathematical induction in [15]. The augmentation and generalization methods are used to handle stochastic bias as stated by the dynamical equations [19]. For sensor network systems tainted by dynamical bias and packet disorder destruction, a class of distributed filters was developed in [20]. Recently, [21] designed the H state estimator of nonlinear systems subject to dynamical bias under binary coding. In addition, because of the system model’s complexity, measurement noise, rounding mistakes in calculation, and component aging, there may be estimator gain perturbations in the design of estimator parameters. Therefore, it is essential to develop a non-fragile state estimation method that remains stable when it occurs uncertainties and perturbations in the estimator parameter [22,23,24,25]. For instance, [26] showed that even a single tiny fluctuation or deviation may make a closed-loop system unanticipatedly vulnerable. Ref. [27] designed the non-fragile state estimators for memory systems with fractional orders using Lyapunov stability. Based on energy constraints and sensor nonlinearities, the finite-time state estimation issue is studied in [28] for a class of discrete time-delay neural networks with constrained gain variation. However, issues of non-fragile H state estimation for discrete nonlinear systems with dynamical bias has not been thoroughly investigated.
In another research frontier, event-triggered mechanisms have been widely employed in a number of industries, including transportation networks, multiple area power systems, and underwater robots [19]. For the increased network transmission burden and energy consumption caused by the transmission of measurement information from a large number of sensor nodes, event-triggered mechanisms effectively save network resources and reduce communication burden by defining specific events and their triggering conditions, which enable the execution of predetermined actions or responses when certain conditions are satisfied in the system. In the field of state estimation, [29] studied the state estimation problem under random transmission delays according to the traditional static event-triggered mechanisms, while the traditional strategies were promoted to improve network resource utilization by introducing a dynamic variable to further allocate transmission rights in [30]. And [31] illustrated that traditional static event-triggered strategies are unique instances of the dynamic event-triggered strategies. In [32], the H state estimator was designed to address the state estimation issue for complex networks with discrete time-delay and stochastic nonlinearities under the dynamic event-triggered mechanisms.
In addition, the actual measurements are usually incomplete due to communication imperfections, measurement failures, network congestion, intermittent sensor failures, and the complexity of network enhancements, etc. In [33], the probabilistic characterization of fading measurements by random sequences of known distributions was used to design non-fragile estimators based on the consequent analytical approach for discrete nonlinear systems. A study on delay-compensated state estimation with dynamical bias and fading observation for time-varying complex networks was conducted in [34]. Based on dynamic event-triggered mechanisms, a dissipative state estimator is given for non-fragile stochastic complex networks with random change coupling and fading measurement in [35]. Subsequently, the unknown variables are accustomed to characterize the value that may be missing from different sensor nodes to fusion centers, and the resilient fusion filtering problem of nonlinear systems is examined based on dynamic event-triggered strategies [36]. In spite of this, the matters of non-fragile H state estimation for discrete nonlinear systems with dynamical bias on sensor networks with measuring fading continue to exist, which deserves further study.
Considering the conversation above, in this paper, non-fragile H state estimation of nonlinear discrete systems with dynamical bias and fading observations when estimator gain disturbances occur is considered simultaneously according to dynamic event-triggered strategies. The stochastic bias and fading measurements are explained by dynamical equations and stochastic variables with prescribed probability distributions, respectively. By applying certain matrix analysis techniques and Lyapunov’s extended approach, a non-fragile H state estimator is constructed for increasing the robustness of estimation methods and satisfying the stability of dynamical systems with estimate errors. The following succinctly describes the primary contributions of this paper: (1) dynamic bias caused by unknown input and fading measurements during signal transmission are considered in the H state estimation problem for discrete nonlinear systems; (2) by incorporating a dynamic event-triggering strategy and considering gain perturbation in the estimator, a new augmented state-dependent non-fragile state estimator is proposed; and (3) the mean-square exponential stability of the error estimation system is investigated by using the improved strategy, and random analysis is carried out to ensure that the error estimation system satisfies the H performance requirements while maintaining necessary prerequisites for stability.
The remainders of this paper are structured as follows. Section 2 explains the problem, including the modeling of the system and related definitions and assumptions, and designs a non-fragile H state estimator. In Section 3, the primary theorems and proofs are provided, which illustrate that the designed H state estimator facilitates the estimation error system to satisfy H performance constraints and stability. Section 4 verifies the efficiency and feasibility of the designed estimation approach via simulation and comparative discussion. Lastly, the conclusions are provided in Section 5.

2. Problem Formulation and Preliminaries

Notations: This paper uses normative notations throughout. R n represents the n-dimensional Euclidean space; E { } represents the mathematical expectation of “ ”; A T and A 1 stand for transpose and inverse of matrix A , respectively; I denotes the identity matrix; and 0 means the zero matrix with appropriate dimensions.
Consider the following discrete nonlinear system:
{ x ( h + 1 ) = A ( h ) x ( h ) + B ( h ) d ( h ) + C ( h ) f ( x ( h ) ) + D ( h ) w ( h ) z ( h ) = G ( h ) x ( h ) y i ( h ) = Υ i ( h ) x i ( h ) + v i ( h ) ,
where x ( h ) R n x is the state of the system; z ( h ) R n z is the signal to be estimated as the output; y i ( h ) R n y denotes the measurement results measured by the i th sensor; w ( h ) R n w is the exogenous disturbance, which belongs to 2 [ 0 , + ) ; v i ( h ) R n v is the measurement noise which belongs to 2 [ 0 , + ) ; A ( h ) , B ( h ) , C ( h ) , D ( h ) and G ( h ) represent the given system matrices with suitable dimensions; and Υ i ( h ) [ 0 , 1 ] is a random sequence that describes the probabilistic features of the measuring fading phenomena, subject to known random distribution with E { Υ i ( h ) } = Υ ¯ i ( h ) and E { Υ i ( h ) Υ ¯ i ( h ) } = Υ ˜ , where Υ ¯ i ( h ) and Υ ˜ are known scalars. The following condition is met by the nonlinear function f ( x i ( h ) ) .
Assumption 1 ([25]). 
For all  m , n R n x , nonlinear function f ( x i ( h ) ) satisfies f ( 0 ) = 0 and f ( m ) f ( n ) S ( m n ) , where S R n x × n x is a known matrix.
The dynamics model of dynamical bias d ( h ) is explained as follows:
d ( h + 1 ) = H ( h ) d ( h ) + u ( h ) ,
where d ( h ) R n b shows the random bias of the unknown magnitude; u ( h ) describes the bounded stochastic noise sequence, which belongs to 2 [ 0 , + ) ; and H ( h ) is a known matrix of appropriate dimension.
Remark 1. 
Dynamical bias denotes a kind of disturbance caused by unknown inputs or nonlinearities during mathematical modeling of the target system, which usually presents a dynamical equation similar to that of the system, so that the constraints on noise in the dynamic deviation model (2) considered in this paper are more general; for example, for practical problems, such as in indoor environments when there is air resistance or sudden start-ups that cause the actuator to be subjected to changes in the dynamics. The target system for the maneuver tracking example of [20] is modeled using an unknown deviation of the target acceleration, where the state is made up of the velocity and target position, and the dynamic deviation is shown to be the acceleration deviation, which adequately characterizes the engineering scenario.
To decrease the load on communication and conserve network resources, dynamic event-triggered mechanisms are introduced to transmit the measurement outputs y i ( h ) to the state estimator, where the sequences of event-triggered moments are denoted by 0 t i ( 0 ) t i ( 1 ) t i ( l ) , and determined by the following dynamic event-triggered circumstances:
t i ( l + 1 ) = min { h | h > t i ( l ) , 1 τ i ρ i ( h ) + θ i y i T ( h ) y i ( h ) ε i T ( h ) ε i ( h ) 0 } ,
with ε i ( h ) = y i ( h ) y i ( t i ( l ) ) , where h is the current, t i ( l ) is the latest triggering moment, τ i and θ i are given positive scalars, and the internal dynamic variables ρ i ( h ) satisfy the following conditions:
ρ i ( h + 1 ) = α ρ i ( h ) + θ i y i T ( h ) y i ( h ) ε i T ( h ) ε i ( h ) ,
where α ( 0 , 1 ) is a given constant, the initial condition ρ i ( 0 ) 0 .
Remark 2. 
As we all know, event-triggered strategies are based on the predefined conditions to reduce the trigger probability so as to ensure smooth communication. When  τ i + , condition (3) is changed to a conventional static event-triggered strategy, it is easy for the signal received by the estimator to contain less available information as the fixed threshold  θ i  increases. Consequently, the dynamic event-triggered mechanisms used in this paper can be simplified to a static event-triggered mechanism, which is more effective in conserving network resources in comparison with the changing characteristics of the triggering conditions over time after the introduction of dynamic variables.
By defining x ( h + 1 ) [ x T ( h ) d T ( h ) ] T and ξ ( h ) [ w T ( h ) u T ( h ) ] T , the following compact form can be obtained according to (1) and (4):
{ x ( h + 1 ) = A ( h ) x ( h ) + C ( h ) f ( x ( h ) ) + D ( h ) ξ ( h ) y i ( h ) = Υ i ( h ) x i ( h ) + v i ( h ) z ( h ) = G ( h ) x ( h ) ,
where D ( h ) = [ D ( h ) 0 0 I ] , f ( x ( h ) ) = [ f ( x ( h ) ) 0 ] , Υ i ( h ) = [ Υ i ( h ) 0 ] , C ( h ) = [ C ( h ) 0 0 0 ] , G ( h ) = [ G ( h ) 0 ] , A ( h ) = [ A ( h ) B ( h ) 0 H ( h ) ] .
The following H non-fragile state estimator is proposed to achieve the purpose of estimating the system state while taking the dynamic event-triggered into account:
{ x ^ i ( h + 1 ) = A ( h ) x ^ i ( h ) + C ( h ) f ( x ^ i ( h ) ) + ( K i + Δ K i ) ( y i ( t i ( l ) ) Υ ¯ i x ^ i ( h ) ) z ^ i ( h ) = G ( h ) x ^ i ( h ) ,
where x ^ i ( h ) and z ^ i ( h ) denote the state estimation of x ( h ) and z ( h ) , respectively; K i is the estimator gain parameters to be determined later; and Δ K i denotes the estimator gain disturbance with the following form: Δ K i = L i ( h ) F i ( h ) M i ( h ) , where F i ( h ) is an unknown matrix satisfying F i T ( h ) F i ( h ) I , L i ( h ) and M i ( h ) are known real-valued matrices with appropriate dimensions.
Recalling the definition of ε i ( h ) in (3), (6) can be rewritten as
{ x ^ i ( h + 1 ) = A ( h ) x ^ i ( h ) + C ( h ) f ( x ^ i ( h ) ) + ( K i + Δ K i ) ( y i ( h ) ε i ( h ) Υ ¯ i x ^ i ( h ) ) z ^ i ( h ) = G ( h ) x ^ i ( h ) ,
Next, by defining e i ( h ) x i ( h ) x ^ i ( h ) and z ˜ i ( h ) z i ( h ) z ^ i ( h ) , the estimated state error and estimated output error dynamics can be obtained according to (5) and (7) as follows:
{ e i ( h + 1 ) = [ A ( h ) ( K i + Δ K i ) Υ ¯ i ] e i ( h ) ( K i + Δ K i ) [ Υ ˜ i x i ( h ) + v i ( h ) ε i ( h ) ] + C ( h ) f ( e i ( h ) ) + D ( h ) ξ ( h ) z ˜ i ( h ) = G ( h ) e i ( h ) ,
where f ( e i ( h ) ) = f ( x i ( h ) ) f ( x ^ i ( h ) ) , Υ ˜ i = Υ i ( h ) Υ ¯ i , Υ ¯ i = [ Υ ¯ i ( h ) 0 ] .
For the simplicity of subsequent processing, we denote f ( e ( h ) ) c o l N { f ( e i ( h ) ) } , ( h ) d i a g { 1 ( h ) , 2 ( h ) , , N ( h ) } ( = K , Δ K , Υ ¯ , Υ ˜ , Υ , M , L ) , ( h ) [ 1 T ( h ) 2 T ( h ) N T ( h ) ] T ( = e , ε , v , x , z ˜ ) ,
Expanding state and state estimation errors into a new vector η ( h ) = [ x T ( h ) e T ( h ) ] T , we can obtain the following augmented error system according to (5) and (8):
{ η ( h + 1 ) = [ A ( K + Δ K ) Γ ] η ( h ) + C + D ξ ( h ) ( K + Δ K ) v ( h ) + ( K + Δ K ) ε ( h ) z ˜ ( h ) = G η ( h ) ,
where A = d i a g { A ( h ) , A ( h ) } , K = [ 0 K ] , Δ K = [ 0 Δ K ] , C = d i a g { C ( h ) , C ( h ) } , Γ = [ Υ ˜ Υ ¯ ] , D = d i a g { D ( h ) , D ( h ) } , G = [ 0 G ( h ) ] , = [ f ( x ( h ) ) f ( e ( h ) ) ] .
According to Assumption 1, the following inequality is easily obtained:
S η ( h ) ,
where S = d i a g { S ˜ , S } , S ˜ = d i a g { S , S , , S } N .
Definition 1. 
The system (9) is thought of as exponentially mean-square stable, if for any  ξ ( h ) = 0 ,   v ( h ) = 0   and the initial conditions η ( 0 ) , such that holds   Ε { η ( h ) 2 } δ σ h η ( 0 ) 2 , where   δ > 0   and   0 < σ < 1   are scalars.
The main objective of this study is to develop a non-fragile H state estimator (7) for the nonlinear system (1) with dynamic bias and fading measurements to fulfill the following two requirements:
(a)
For every ξ ( h ) = 0 and v ( h ) = 0 , the estimation error system (9) is exponentially stable in the mean square.
(b)
When ξ ( h ) and v ( h ) are nonzero, under the initial settings, the output estimation error complies with the following H performance criteria with λ > 0 , which is a given level of interference attenuation:
Ε { h = 0 z ˜ ( h ) 2 } λ 2 ( h = 0 ξ ( h ) 2 + h = 0 v ( h ) 2 ) .

3. Results

Prior to outlining the primary results, we first list some lemmas:
Lemma 1 ([37], Shur Complement). 
Given constant matrices  S 1 , S 2 , S 3 , where S 1 = S 1 T  and 0 < S 2 = S 2 T , then S 1 + S 3 T S 2 1 S 3 < 0  holds solely in the event that
[ S 1 S 3 T S 3 S 2 ] < 0 or [ S 2 S 3 S 3 T S 1 ] < 0 .
Lemma 2 ([37], S-procedure). 
Given the matrix  Ξ  satisfying  Ξ = Ξ T ,  M  and  N  are real matrices of appropriate dimensions, and for all  F  satisfying  F T F I ,  Ξ + M F N + N T F T M T < 0  holds solely in the event that there exists a positive scalar  ε > 0 , such that
Ξ + ε 1 M M T + ε N T N < 0 or [ Ξ M ε N T M T ε I 0 ε N 0 ε I ] < 0 .
Lemma 3 ([38]). 
For the dynamic event-triggered mechanisms given in (3) and (4), the variable  ρ i ( k )  is non-negative if the parameters  α ( 0 , 1 )  and  τ i > 0  satisfy  α τ i 1 .
Remark 3. 
Lemma 3 says that dynamical variable   ρ i ( h )   is non-negative for any   h 0 . In contrast to the traditional event-triggered mechanisms, the value of the variable   θ i y i T ( h ) y i ( h ) ε i T ( h ) ε i ( h )   does not need to remain non-negative all the time. In order to reduce the triggering rate and to facilitate the computation, this paper assumes   α τ i 1   to be true in the following theorems.
Next, the stability of improved error system (9) will be discussed.
Theorem 1. 
Consider the augmented error system (9) and assume that estimator gain matrix  K  is known and dynamic event-triggered parameters  α θ i τ i  are given and satisfy  α τ i 1 . The following matrix is true if there are symmetric positive definite matrices  P > 0  and scalars  μ > 0 ,  β > 0 :
1 = [ Ω 11 Ω 12 Ω 13 0 Ω 22 Ω 23 0 Ω 33 0 Ω 44 ] < 0 ,
where  Ω 11 = ( A K ˜ Γ ) T P ( A K ˜ Γ ) P + Γ ¯ T Λ ¯ 1 Γ ¯ + μ S T S , Ω 12 = ( A K ˜ Γ ) T P C , K ˜ = K + Δ K , Ω 13 = ( A K ˜ Γ ) T P K ˜ , Ω 33 = Λ ¯ 2 + K ˜ T P K ˜ , Λ ¯ 1 = d i a g N { ( β + 1 τ i ) θ i I } , Ω 44 = d i a g N { α + β 1 τ i } , Λ ¯ 1 = d i a g N { ( β + 1 τ i ) θ i I } , Λ ¯ 2 = d i a g N { ( β + 1 τ i ) I } , Ω 22 = C T P C μ I , Ω 23 = C T P K ˜ . When  ξ ( h ) = 0  and  v ( h ) = 0 , the augmented error system (9) is said to be mean-square exponentially stale.
Proof. 
Choose the following Lyapunov function:
V ( h ) = η T ( h ) P η ( h ) + i = 1 N 1 τ i ρ i ( h ) .
For the improved error system (9), calculate the expected difference of V ( h ) when ξ ( h ) = 0 and v ( h ) = 0 , then we can acquire
Ε { Δ V ( h ) } = Ε { V ( h + 1 ) V ( h ) } = Ε { η T ( h ) ( ( A K ˜ Γ ) T P ( A K ˜ Γ ) P ) η ( h ) + η T ( h ) ( A K ˜ Γ ) T P C + η T ( h ) ( A K ˜ Γ ) T P K ˜ ε ( h ) + T C T P ( A K ˜ Γ ) η ( h ) + ε T ( h ) K ˜ T P K ˜ ε ( h ) + T C T P K ˜ ε ( h ) + T C T P C ε ( h ) T Λ 2 ε ( h ) + ε T ( h ) K ˜ T P C + ε T ( h ) K ˜ T P ( A K ˜ Γ ) η ( h ) + i = 1 N α 1 τ i ρ i ( h ) + η T ( h ) Γ ¯ T Λ 1 Γ ¯ η ( h ) }
Ε { η T ( h ) ( ( A K ˜ Γ ) T P ( A K ˜ Γ ) P ) η ( h ) + η T ( h ) ( A K ˜ Γ ) T P C + η T ( h ) ( A K ˜ Γ ) T P K ˜ ε ( h ) + T C T P ( A K ˜ Γ ) η ( h ) + ε T ( h ) K ˜ T P K ˜ ε ( h ) + T C T P K ˜ ε ( h ) + T C T P C ε ( h ) T Λ ¯ 2 ε ( h ) + ε T ( h ) K ˜ T P C + ε T ( h ) K ˜ T P ( A K ˜ Γ ) η ( h ) + i = 1 N α + β 1 τ i ρ i ( h ) + η T ( h ) Γ ¯ T Λ ¯ 1 Γ ¯ η ( h ) } ,
where Γ ¯ = [ Υ 0 ] , Λ 1 = d i a g N { θ i τ i I } , Λ 2 = d i a g N { 1 τ i I } .
For any μ > 0 , based on Assumption 1 and (10), it is obvious that the following inequality can be acquired:
μ η T ( h ) S T S η ( h ) μ T 0 .
Let ζ ( h ) = [ η Τ ( h ) , Τ , ε Τ ( h ) , ρ * Τ ( h ) ] Τ , where ρ * T ( h ) = c o l N { ( ρ * ( h ) ) 1 2 } , one has
Ε { Δ V ( h ) } Ε { ζ T ( h ) 1 ζ ( h ) } .
According to the inequality (12), (16) implies that
Ε { V ( h + 1 ) } Ε { V ( h ) } < 0 ,
this means that by a scalar σ ( 0 , 1 ) , we have
Ε { V ( h + 1 ) } σ Ε { V ( h ) } .
By performing recursion, the following inequality holds:
Ε { V ( k ) } σ h V ( 0 ) ,
then for a given initial condition η ( 0 ) , it is simple to acquire that
λ min ( P ) Ε { η ( h ) 2 } λ max ( P ) σ h η ( 0 ) 2 , Ε { η ( h ) 2 } δ σ h η ( 0 ) 2 ,
where δ = λ max ( P ) λ min ( P ) .
Therefore, it is obvious from Definition 1 that improved error system (9) is exponentially stable in the mean-square sense when ξ ( h ) = 0 , v ( h ) = 0 , and the theorem is proved.
Next, the sufficient condition for augmented error system (9) to be mean-square exponentially stable and satisfy the H performance requirement (11) is provided in the following theorem. □
Theorem 2. 
Consider the augmented error system (9) and assume that estimator gain matrix  K   is known; dynamic event-triggered parameters  α θ i τ i  are given and satisfy  α τ i 1 ; and prescribed   H  performance index  λ > 0 , if a symmetric positive definite matrix   P > 0   and scalars   μ > 0 β > 0  exist, such that the following linear matrix inequality holds:
2 = [ Ξ 11 Ξ 12 Ξ 13 0 Ξ 15 Ξ 16 Ξ 22 Ξ 23 0 Ξ 25 Ξ 26 Ξ 33 0 Ξ 35 Ξ 36 Ω 44 0 0 Ξ 55 Ξ 56 Ξ 66 ] < 0 ,
where  Ξ 11 = ( A K ˜ Γ ) T P ( A K ˜ Γ ) P + Γ ¯ T Λ ¯ 1 Γ ¯ + μ S T S ,  Ξ 12 = ( A K ˜ Γ ) T P C ,  Ξ 35 = K ˜ T P D ,  Ξ 13 = ( A K ˜ Γ ) T P K ˜ ,  Ξ 15 = ( A K ˜ Γ ) T P D ,  Ξ 16 = ( A K ˜ Γ ) T P K ˜ + Γ ¯ T Λ ¯ 1 ,  Ξ 22 = C T P C μ I ,  Ξ 23 = C T P K ˜ ,  Ξ 25 = C T P D ,  Ξ 26 = C T P K ˜ ,  Ξ 33 = K ˜ T P K ˜ Λ ¯ 2 ,  Ξ 35 = K ˜ T P D ,  Ξ 36 = K ˜ T P K ˜ ,  Ξ 55 = D T P D λ 2 I ,  Ξ 56 = D T P K ˜ ,  Ξ 66 = K ˜ T P K ˜ + Λ ¯ 1 λ 2 I .
Then, augmented error system (9) is exponentially stable in the mean square when   ξ ( h ) = 0   and   v ( h ) = 0 . Moreover, for any nonzero under zero   ξ ( h )   and   v ( h ) , the output estimate error fulfills the   H   performance criteria (11) under the zero initial condition.
Proof. 
By Lemma 1, it is easy to conclude that if (17) holds, then we can obtain (12). This implies that the enhanced error system (9) has assured exponential mean-square stability.
Selecting the identical Lyapunov function used in the proof of Theorem 1, we have
Ε { Δ V ( h ) } = Ε { V ( h + 1 ) V ( h ) } = Ε { η T ( h ) ( ( A K ˜ Γ ) T P ( A K ˜ Γ ) P ) η ( h ) + η T ( h ) ( A K ˜ Γ ) T P C + η T ( h ) ( A K ˜ Γ ) T P K ˜ ε ( h ) + T C T P ( A K ˜ Γ ) η ( h ) + η T ( h ) ( A K ˜ Γ ) T P D ξ ( h ) η T ( h ) ( A K ˜ Γ ) T P K ˜ v ( h ) + T C T P D ξ ( h ) T C T P K ˜ v ( h ) + ε T ( h ) K ˜ T P D ξ ( h ) ε T ( h ) K ˜ T P K ˜ v ( h ) + ε T ( h ) K ˜ T P K ˜ ε ( h ) + T C T P K ˜ ε ( h ) + ξ T ( h ) D T P ( A K ˜ Γ ) η ( h ) + ε T ( h ) K ˜ T P C + T C T P C + ε T ( h ) K ˜ T P ( A K ˜ Γ ) η ( h ) + ξ T ( h ) D T P C + ξ T ( h ) D T P K ˜ ε ( h ) ξ T ( h ) D T P K ˜ v ( h ) + ξ T ( h ) D T P D ξ ( h ) v T ( h ) K T P ( A K ˜ Γ ) η ( h ) + η T ( h ) Γ ¯ T Λ 1 Γ ¯ η ( h ) + v T ( h ) K T P K ˜ v ( h ) v T ( h ) K T P K ˜ ε ( h ) v T ( h ) K T P D ξ ( h ) + i = 1 N α 1 τ i ρ i ( h ) v T ( h ) K T P C + 2 η T ( h ) Γ ¯ T Λ 1 v ( h ) + v T ( h ) Λ 1 v ( h ) ε ( h ) T Λ 2 ε ( h ) } Ε { η T ( h ) ( ( A K ˜ Γ ) T P ( A K ˜ Γ ) P ) η ( h ) + η T ( h ) ( A K ˜ Γ ) T P C + η T ( h ) ( A K ˜ Γ ) T P K ˜ ε ( h ) + T C T P ( A K ˜ Γ ) η ( h ) + η T ( h ) ( A K ˜ Γ ) T P D ξ ( h ) η T ( h ) ( A K ˜ Γ ) T P K ˜ v ( h ) + T C T P D ξ ( h ) T C T P K ˜ v ( h ) + ε T ( h ) K ˜ T P D ξ ( h ) ε T ( h ) K ˜ T P K ˜ v ( h )
+ ε T ( h ) K ˜ T P K ˜ ε ( h ) + T C T P K ˜ ε ( h ) + T C T P C + ε T ( h ) K ˜ T P ( A K ˜ Γ ) η ( h ) + ε T ( h ) K ˜ T P C + ξ T ( h ) D T P ( A K ˜ Γ ) η ( h ) + ξ T ( h ) D T P C + ξ T ( h ) D T P K ˜ ε ( h ) ξ T ( h ) D T P K ˜ v ( h ) v T ( h ) K T P C + ξ T ( h ) D T P D ξ ( h ) v T ( h ) K T P ( A K ˜ Γ ) η ( h ) + v T ( h ) K T P K ˜ v ( h ) v T ( h ) K T P K ˜ ε ( h ) + i = 1 N α 1 τ i ρ i ( h ) + η T ( h ) Γ ¯ T Λ ¯ 1 Γ ¯ η ( h ) + 2 η T ( h ) Γ ¯ T Λ ¯ 1 v ( h ) + v T ( h ) Λ ¯ 1 v ( h ) ε ( h ) T Λ ¯ 2 ε ( h ) v T ( h ) K T P D ξ ( h ) }
Define φ ( h ) = [ η T ( h ) , T , ε T ( h ) , ρ * T ( h ) , ξ T ( h ) , v T ( h ) ] T , which is easily obtained according to (15) and (19) that
Ε { Δ V ( h ) } Ε { φ T ( h ) ¯ 2 φ ( h ) }
where ¯ 2 = [ Ξ 11 Ξ 12 Ξ 13 0 Ξ 15 Ξ 16 Ξ 22 Ξ 23 0 Ξ 25 Ξ 26 Ξ 33 0 Ξ 35 Ξ 36 Ω 44 0 0 Ξ ¯ 55 Ξ 56 Ξ ¯ 66 ] , Ξ ¯ 55 = D T P D , Ξ ¯ 66 = K ˜ T P K ˜ + Λ ¯ 1 .
The following index function is presented in order to evaluate H performance:
J = Ε { h = 1 ( z ˜ T ( h ) z ˜ ( h ) λ 2 ξ T ( h ) ξ ( h ) λ 2 v T ( h ) v ( h ) ) }
where the integer 0 , under zero initial conditions, and based on Equation (17) that we obtain
J = h = 0 ( Ε { z ˜ T ( h ) z ˜ ( h ) } λ 2 ξ T ( h ) ξ ( h ) λ 2 v T ( h ) v ( h ) + Ε { Δ V ( h ) } ) h = 0 Ε { Δ V ( h ) } h = 0 ( Ε { z ˜ T ( h ) z ˜ ( h ) } λ 2 ξ T ( h ) ξ ( h ) λ 2 v T ( h ) v ( h ) + Ε { Δ V ( h ) } ) h = 0 Ε { φ T ( h ) 2 φ ( h ) } < 0
For any nonzero ξ ( h ) 2 [ 0 , + ) and v ( h ) 2 [ 0 , + ) . Let + , it is directly concluded that H performance criteria is fulfilled from (21), and the proof of Theorem 2 is completed. □
Theorem 3. 
Consider the augmented error system (9) and suppose that the estimator gain matrix  K  is known; dynamic event-triggered parameters  α θ i τ i  are given and satisfy  α τ i 1 ; and prescribed  H  performance index  λ > 0 . If symmetric positive definite matrices  P = d i a g { P 1 , P 2 } > 0 , matrix  Z , and scalars  μ > 0 ,  β > 0  exist,  ε > 0  satisfies the following linear matrix inequality:
3 = [ Θ 11 Θ 12 Θ 13 0 Θ 22 Z ¯ T 0 P P ε ] < 0 ,
where  Θ 11 = [ P + Γ ¯ T Λ ¯ 1 Γ ¯ + μ S T S + ε Γ T T Γ 0 0 0 0 μ I 0 0 0 Λ ¯ 2 + ε T 0 0 Ω 44 0 λ 2 I ] ,  Θ 12 = [ Λ ¯ 1 T Γ ¯ 0 0 0 ] T ,  Θ 13 = [ P T A Z ¯ Γ P T C Z ¯ 0 P T D ] T ,  Θ 22 = λ 2 I + Λ ¯ 1 + ψ T ,  = [ 0 M T ( h ) ] T ,  = [ 0 L T ( h ) ] T .
Then, the augmented error system (9) is mean-square exponentially stable. The output estimation error fulfills the performance criteria (11) for any nonzero  ξ ( h )   and   v ( h ) . Additionally, the desired estimator gain matrix is
K = P 2 1 Z
Proof. 
Applying Schur’s complementary lemma, (17) is equivalent to
[ 11 12 13 λ 2 I + Λ ¯ 1 K ˜ T P P ] < 0
where  11 = d i a g { P + Γ ¯ T Λ ¯ 1 Γ ¯ + μ S T S , μ I , Λ ¯ 2 , Ω 44 , λ 2 I } 12 = [ Λ ¯ 1 T Γ ¯ 0 0 0 0 ] T 13 = [ P T ( A K ˜ Γ ) P T C P T K ˜ 0 P T D ] T .
Now we will deal with the uncertainties. According to the definition of the gain perturbation K ˜ of the estimator, one has
2 = 4 + T F T ( h ) T P + P F ( h ) < 0
where 4 = [ 11 12 ¯ 13 λ 2 I + Λ ¯ 1 K T P P ] , ¯ 13 = [ P T ( A K Γ ) P T C P T K 0 P T D ] T , = [ Γ M ¯ 0 M ¯ 0 0 M ¯ 0 ] , T = [ 0 0 0 0 0 0 L ¯ T ] , M ¯ = [ 0 M T ( h ) ] T , L ¯ = [ 0 L T ( h ) ] T .
According to Lemma 2, there exists ε > 0 , such that (24) is equivalent to the following inequality:
4 + ε T + ε 1 P T P < 0
Let K = P 2 1 Z , the linear matrix inequality (22) can be acquired. If the inequality (22) holds, augmented error system (9) is steady from Theorems 1 and 2. Additionally, it also satisfies the H performance constraints. And the theorem is proved. □

4. Illustrative Example

Numerical simulation examples are used in this part to exemplify the efficacy of the proposed estimation algorithm.
Now, we consider the discrete nonlinear system (1) with the following parameters:
A ( h ) = [ 0.6 + 0.1 sin ( h ) 0.5 0.4 0.2 ] , B ( h ) = [ 0.3 0.1 sin ( 2 h ) 0.2 0.1 ] , C ( h ) = [ 0.75 0 0 0.2 ] , f ( x ( h ) ) = 0.4 cos ( x ( h ) ) , H ( h ) = [ 0.5 0.3 0.1 0.2 ] , G ( h ) = [ 0.28 0.2 0.4 0.3 ] , S = 0.4 I , F ( h ) = 0.8 sin ( h ) , L ( h ) = [ 0.15 0.2 0.3 0.1 ] T , M ( h ) = [ 0.1 0.1 0.2 0.2 ] T .
Assume that the H performance decay level is 0.6, and dynamic event-triggered parameters are taken as τ i = 10 , ( i = 1 , 2 , 3 ) , θ 1 = θ 2 = 0.05 , θ 3 = 0.07 , α = 0.3 , respectively. Υ ¯ 1 ( h ) = Υ ¯ 3 ( h ) = 0.2 , Υ ¯ 2 ( h ) = 0.5 . Theorem 3 states that the desired parameters of the state estimator may be acquired, as shown in Table 1.
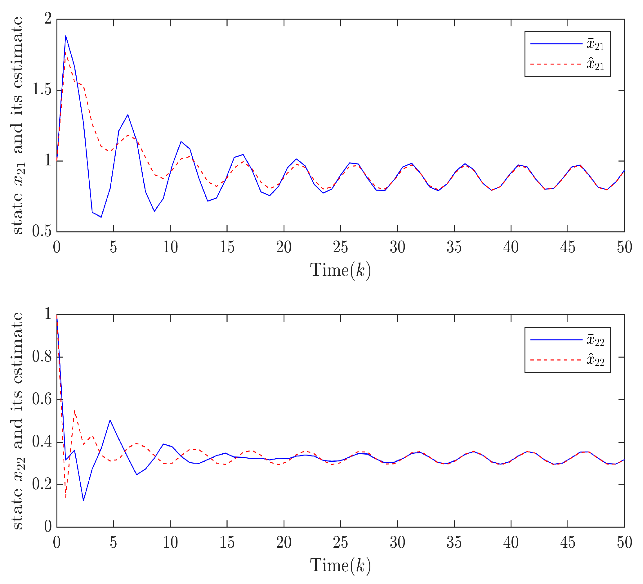
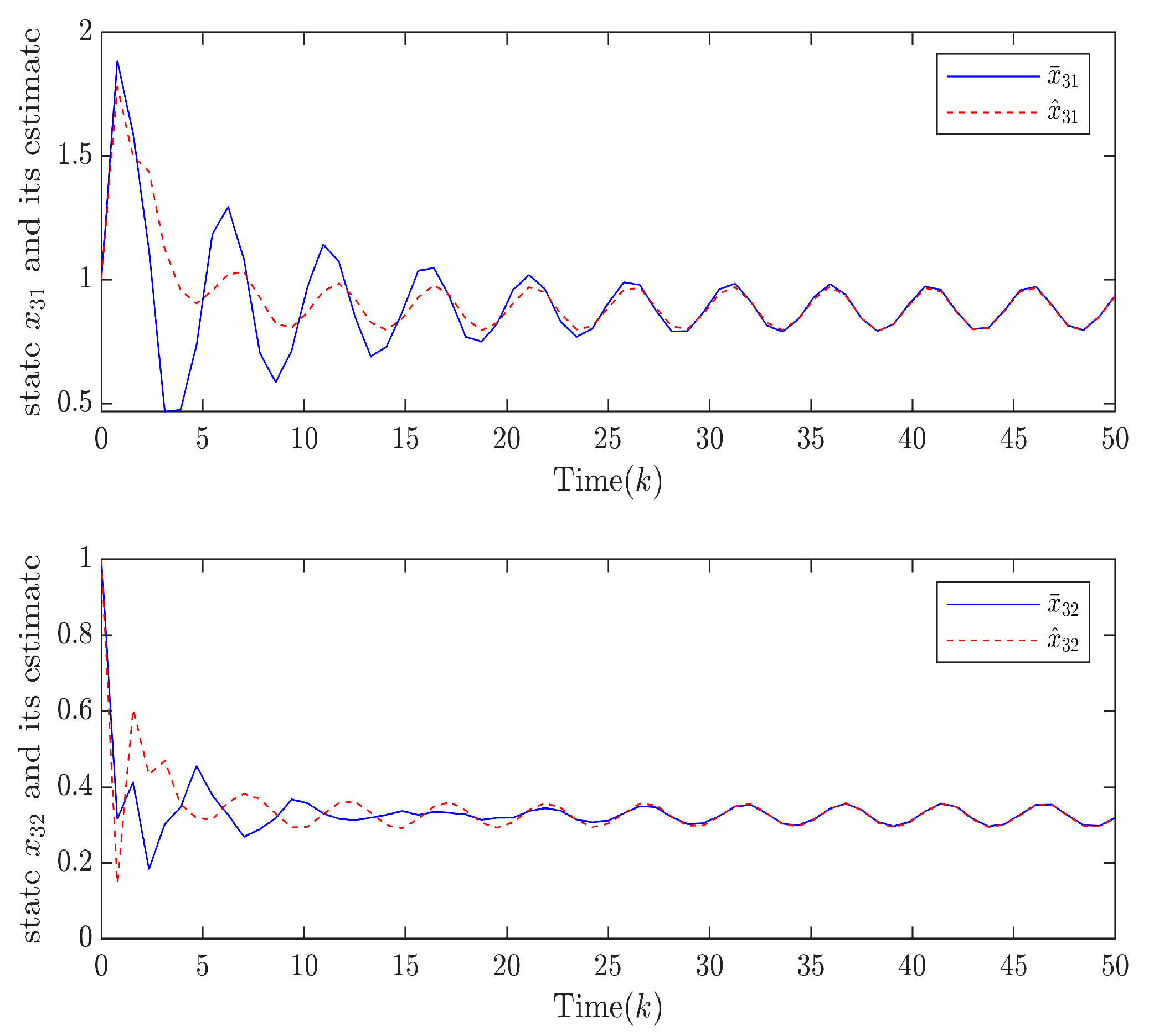
The disturbance inputs and measurement noise are considered to be w ( h ) = cos ( h ) e 0.1 h , u ( h ) = cos ( h ) e 0.1 h , v ( h ) = sin ( h ) e 0.1 h , respectively. Given an initial value of x ¯ ( 0 ) = [ 1 1 1 1 ] , x ^ ( 0 ) = [ 1 1 1 1 ] . The outcomes of numerical simulation are displayed in Figure 1, Figure 2 and Figure 3. With the assumption that the influence of noise is suppressed, namely the H noise suppression limit (11) is fulfilled. And it is evident from Figure 1, Figure 2 and Figure 3 that the estimation error is minor and the state is estimated accurately.
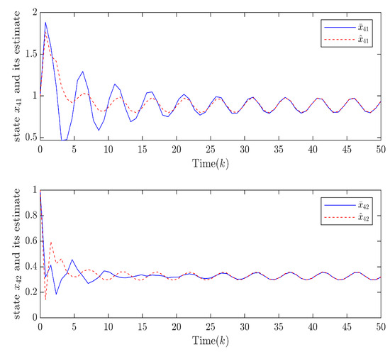
In order to reflect more clearly the efficiency of the proposed non-fragile H state estimator for random deviations in the presence of unknown inputs, let H ( h ) = [ 0.75 0.3 0.1 0.2 ] , θ 4 = 0.05 , Υ ¯ 4 ( h ) = 0.2 . The state trajectories and the corresponding estimations of x ( h ) are taken as shown in Figure 4. It can be demonstrated from Figure 1, Figure 2, Figure 3 and Figure 4 that the estimation errors are minor and the expected non-fragile H state estimator is effective. And the trajectories of the output estimation errors for the four cases are given in Figure 5.
Additionally, the triggered moments of the measured outputs are shown in Figure 6. The simulation results together demonstrate that the dynamic event-triggered non-fragile H state estimation technique proposed in this study is genuinely valid.

5. Conclusions

This paper investigates non-fragile H state estimation for nonlinear systems subject to dynamic bias and measuring fading on sensor networks. The stochastic bias is described by the dynamical equations with bounded noise. Then, the recursive state of the system is considered simultaneously using the augmentation and generalization technique. Auxiliary dynamic variables are introduced under the dynamic event-triggered mechanism to dispatch network transmission. Meanwhile, a non-fragile state estimator is proposed under the influence of estimator gain perturbation. The sufficient condition for the exponential mean-square stabilization of the estimation error system is obtained by augmentation and matrix inequality techniques using the Lyapunov function. And the output estimation error is made to fulfill the H performance constraints, and then the gain matrix is given. Finally, the viability and non-vulnerability of the constructed estimator are verified by numerical simulation.
In addition, future research directions can be extended to distributed resilient fusion estimation [36], ensemble affiliation state estimation [39], and may also involve the study based on fractional order [40].

Author Contributions

M.L.: formal analysis, software, validation, investigation, resources, writing—original draft preparation, writing—review and editing, visualization; M.H.: conceptualization, methodology, supervision, writing—review and editing; B.Y.: investigation, resources, data curation, writing—review and editing; Z.Y.: investigation, resources, data curation, writing—review and editing; Y.S.: investigation, resources, data curation, writing—review and editing. All authors have read and agreed to the published version of the manuscript.

Funding

This research was funded by the National Natural Science Foundation of China under Grant 61973137 and the Natural Science Foundation of Jiangsu Province under Grant BK20181342.

Data Availability Statement

Dataset available on request from the authors.

Acknowledgments

The authors would like to thank the editors and anonymous reviewers for their detailed comments and efforts toward improving our research paper.

Conflicts of Interest

The authors declare no conflicts of interest.

References

  1. Sahoo, A.; Xu, H.; Jagannathan, S. Neural network-based event-triggered state feedback control of nonlinear continuous-time systems. IEEE Trans. Neural Netw. Learn. Syst. 2016, 27, 497–509. [Google Scholar] [CrossRef] [PubMed]
  2. Wang, Z.; Liu, L.; Zhang, H. Neural network-based model-free adaptive fault-tolerant control for discrete-time nonlinear systems with sensor fault. IEEE Trans. Syst. Man Cybern. Syst. 2017, 47, 2351–2362. [Google Scholar] [CrossRef]
  3. Wang, J.; Zhang, H.; Wang, Z. Local synchronization criteria of Markovian nonlinearly coupled neural networks with uncertain and partially unknown transition rates. IEEE Trans. Syst. Man Cybern. Syst. 2017, 47, 1953–1964. [Google Scholar] [CrossRef]
  4. Hu, J.; Wang, Z.; Liu, S.; Gap, H. A variance-constrained approach to recursive state estimation for time-varying complex networks with missing measurements. Automatica 2016, 64, 155–162. [Google Scholar] [CrossRef]
  5. Huang, Y.; Werner, S.; Huang, J.; Kashyap, N.; Gupta, V. State estimation in electric power grids: Meeting new challenges presented by the requirements of the future grid. IEEE Signal Process Mag. 2012, 29, 33–43. [Google Scholar] [CrossRef]
  6. Li, W.; Jia, Y.; Du, J. State estimation for stochastic complex networks with switching topology. IEEE Trans. Autom. Control 2017, 62, 6377–6384. [Google Scholar] [CrossRef]
  7. Wang, L.; Wang, Z.; Huang, T.; Wei, G. An event-triggered approach to state estimation for a class of complex networks with mixed time delays and nonlinearities. IEEE Trans. Cybern. 2016, 46, 2497–2508. [Google Scholar] [CrossRef]
  8. Ding, D.; Wang, Z.; Shen, B.; Shu, H. State-saturated H filtering with randomly occurring nonlinearities and packet dropouts: The finite-horizon case. Int. J. Robust Nonlinear Control 2013, 23, 1803–1821. [Google Scholar] [CrossRef]
  9. Al-Kadi, T.; Al-Tuwaijri, Z.; Al-Omran, A. Wireless sensor networks for leakage detection in underground pipelines: A survey paper. Procedia Comput. 2013, 21, 491–498. [Google Scholar] [CrossRef]
  10. Ding, D.; Wang, Z.; Shen, B. Recent advances on distributed filtering for stochastic systems over sensor networks. Int. J. Gen. Syst. 2014, 43, 372–386. [Google Scholar] [CrossRef]
  11. Ding, D.; Wang, Z.; Han, Q. A scalable algorithm for event-triggered state estimation with unknown parameters and switching topologies over sensor networks. IEEE Trans. Cybern. 2020, 50, 4087–4097. [Google Scholar] [CrossRef] [PubMed]
  12. Zhao, Q.; Wang, X.; Tian, E. Probabilistic-constrained distributed fusion filtering for a class of time-varying systems over sensor networks: Torus-event-triggering mechanism. Int. J. Syst. Sci. 2022, 53, 1288–1297. [Google Scholar]
  13. Liu, H.; Wang, Z.; Shen, B.; Dong, H. Delay-distribution-dependent H state estimation for discrete-time Memristive neural networks with mixed time-delays and fading measurements. IEEE Trans. Cybern. 2020, 50, 440–451. [Google Scholar] [CrossRef] [PubMed]
  14. Wan, X.; Wang, Z.; Han, Q.; Wu, M. Finite-time H state estimation for discrete time-delayed genetic regulatory networks under stochastic communication protocols. IEEE Trans. Circuits Syst. I Regul. Pap. 2018, 65, 3481–3491. [Google Scholar] [CrossRef]
  15. Wang, F.; Wang, Z.; Liang, J.; Liu, X. Recursive state estimation for two-dimensional shift-varying systems with random parameter perturbation and dynamical bias. Automatica 2020, 112, 108658. [Google Scholar] [CrossRef]
  16. Ignagni, M.B. Separate bias Kalman estimator with bias state noise. IEEE Trans. Autom. Control 1990, 35, 338–341. [Google Scholar] [CrossRef]
  17. Ignagni, M.B. Optimal and suboptimal separate-bias Kalman estimators for a stochastic bias. IEEE Trans. Autom. Control 2000, 45, 547–551. [Google Scholar] [CrossRef]
  18. Kim, K.H.; Lee, J.G.; Park, C.G. Adaptive two-stage Kalman filter in the presence of unknown random bias. Int. J. Adapt. Control Signal Process. 2006, 20, 305–319. [Google Scholar] [CrossRef]
  19. Liu, X. Design of delay-dependent state estimation algorithm for nonlinear coupling complex networks with dynamical bias: An adaptive event-triggered scheme. Neurocomputing 2023, 517, 10–19. [Google Scholar] [CrossRef]
  20. Liu, D.; Wang, Z.; Liu, Y.; Xue, C.; Alsaadi, F.E. Distributed recursive filtering for time-varying systems with dynamic bias over sensor networks: Tackling packet disorders. Appl. Math. Comput. 2023, 440, 127669. [Google Scholar] [CrossRef]
  21. Li, W.; Hou, N.; Yang, F.; Bu, X.; Sun, L. Finite-Horizon Variance-Constrained Estimation for Complex Networks Subject to Dynamical Bias Using Binary Encoding Schemes. IEEE Access 2023, 11, 142589–142600. [Google Scholar] [CrossRef]
  22. Mahmoud, M.S. Resilient linear filtering of uncertain systems. Automatica 2004, 40, 1797–1802. [Google Scholar] [CrossRef]
  23. Wang, X.; Yaz, E.E. Stochastically resilient extended Kalman filtering for discrete-time nonlinear systems with sensor failures. Int. J. Syst. Sci. 2014, 45, 1393–1401. [Google Scholar] [CrossRef]
  24. Zhang, L.; Zhu, Y.; Shi, P.; Zhao, Y. Resilient asynchronous H filtering for Markov-jump neural networks with unideal measurements and multiplicative noises. IEEE Trans. Cybern. 2015, 45, 2840–2852. [Google Scholar] [CrossRef]
  25. Yu, Y.; Dong, H.; Wang, Z.; Ren, W.; Alsaadi, F.E. Design of non-fragile state estimators for discrete time-delayed neural networks with parameter uncertainties. Neurocomputing 2016, 182, 18–24. [Google Scholar] [CrossRef]
  26. Keel, L.; Bhattacharyya, S. Robust, fragile, or optimal. IEEE Trans. Autom. Control 1997, 42, 1098–1105. [Google Scholar] [CrossRef]
  27. Li, R.; Gao, X.; Cao, J. Non-fragile state estimation for delayed fractional-order memristive neural networks. Appl. Math. Comput. 2019, 340, 221–233. [Google Scholar] [CrossRef]
  28. Wang, Y.; Arumugam, A.; Liu, Y.; Alsaadi, F.E. Finite-time event-triggered non-fragile state estimation for discrete-time delayed neural networks with randomly occurring sensor nonlinearity and energy constraints. Neurocomputing 2020, 384, 115–129. [Google Scholar] [CrossRef]
  29. Li, L.; Niu, M.; Xia, Y.; Yang, H.; Yan, L. Event-triggered distributed fusion estimation with random transmission delays. Inf. Sci. 2019, 475, 67–81. [Google Scholar] [CrossRef]
  30. Girard, A. Dynamic triggering mechanisms for event-triggered control. IEEE Trans. Autom. Control 2015, 60, 1992–1997. [Google Scholar] [CrossRef]
  31. Li, Q.; Wang, Z.; Li, N.; Sheng, W. A dynamic event-triggered approach to recursive filtering for complex networks with switching topologies subject to random sensor failures. IEEE Trans. Neural Netw. Learn. Syst. 2020, 31, 4381–4388. [Google Scholar] [CrossRef] [PubMed]
  32. Li, N.; Li, Q.; Suo, J. Dynamic event-triggered H state estimation for delayed complex networks with randomly occurring nonlinearities. Neurocomputing 2021, 421, 97–104. [Google Scholar] [CrossRef]
  33. Chen, Y.; Chen, C.; Anke, X. Distributed non-fragile l2l filtering over sensor networks with random gain variations and fading measurements. Neurocomputing 2019, 338, 154–162. [Google Scholar] [CrossRef]
  34. Hu, J.; Wang, Z.; Liu, G. Delay Compensation-Based State Estimation for Time-Varying Complex Networks With Incomplete Observations and Dynamical Bias. IEEE Trans. Cybern. 2022, 52, 12071–12083. [Google Scholar] [CrossRef]
  35. Fan, S.; Yan, H.; Zhang, H.; Shen, H.; Kaibo, S. Dynamic Event-Based Non-Fragile Dissipative State Estimation for Quantized Complex Networks With Fading Measurements and Its Application. IEEE Trans. Circuits Syst. I Regul. Pap. 2021, 68, 856–867. [Google Scholar] [CrossRef]
  36. Hu, J.; Hu, Z.; Caballero, A.; Raquel; Chen, C.; Fan, S.; Yi, X. Distributed resilient fusion filtering for nonlinear systems with multiple missing measurements via dynamic event-triggered mechanism. Inf. Sci. 2023, 637, 118950. [Google Scholar] [CrossRef]
  37. Yaz, E.E. Linear Matrix Inequalities In System And Control Theory. Proc. IEEE. 1998, 86, 2473–2474. [Google Scholar] [CrossRef]
  38. Li, Q.; Shen, B.; Wang, Z.; Huang, T.; Luo, J. Synchronization control for a class of discrete time-delay complex dynamical networks: A dynamic event-triggered approach. IEEE Trans. Cybern. 2019, 9, 979–1986. [Google Scholar] [CrossRef]
  39. Li, M.; Liang, J.; Wang, F. Robust set-membership filtering for two-dimensional systems with sensor saturation under the round-robin protocol. Int. J. Syst. Sci. 2022, 53, 2773–2785. [Google Scholar] [CrossRef]
  40. Talebi, S.P.; Godsill, S.J.; Mandic, D.P. Filtering Structures for α-Stable Systems. IEEE Control Syst. Lett. 2023, 7, 553–558. [Google Scholar] [CrossRef]
Figure 1. The actual state value and the estimated value of x 1 ( h ) .
Figure 1. The actual state value and the estimated value of x 1 ( h ) .
Mathematics 12 02957 g001
Figure 2. The actual state value and the estimated value of x 2 ( h ) .
Figure 2. The actual state value and the estimated value of x 2 ( h ) .
Mathematics 12 02957 g002
Figure 3. The actual state value and the estimated value of x 3 ( h ) .
Figure 3. The actual state value and the estimated value of x 3 ( h ) .
Mathematics 12 02957 g003
Figure 4. The actual state value and the estimated value of x 4 ( h ) .
Figure 4. The actual state value and the estimated value of x 4 ( h ) .
Mathematics 12 02957 g004
Figure 5. Trajectories of the output estimation error.
Figure 5. Trajectories of the output estimation error.
Mathematics 12 02957 g005
Figure 6. The triggering instants.
Figure 6. The triggering instants.
Mathematics 12 02957 g006
Table 1. Non-fragile state estimator gain parameters.
Table 1. Non-fragile state estimator gain parameters.
h345678
K 1 [ 0.0312 0.0146 0.0043 0.0015 ] [ 0.0275 0.0115 0.0040 0.0013 ] [ 0.0235 0.0102 0.0036 0.0012 ] [ 0.0367 0.0156 0.0050 0.0014 ] [ 0.0229 0.0104 0.0052 0.0017 ] [ 0.0330 0.0140 0.0046 0.0013 ]
K 2 [ 0.0522 0.0206 0.0095 0.0037 ] [ 0.0526 0.0205 0.0062 0.0018 ] [ 0.0523 0.0201 0.0098 0.0027 ] [ 0.0569 0.0222 0.0103 0.0028 ] [ 0.0463 0.0182 0.0078 0.0023 ] [ 0.0616 0.0239 0.0059 0.0017 ]
K 3 [ 0.0298 0.0118 0.0033 0.0010 ] [ 0.0337 0.0144 0.0043 0.0014 ] [ 0.0341 0.0145 0.0057 0.0016 ] [ 0.1332 0.0142 0.0041 0.0011 ] [ 0.0303 0.0131 0.0050 0.0016 ] [ 0.0349 0.0148 0.0036 0.0011 ]
Disclaimer/Publisher’s Note: The statements, opinions and data contained in all publications are solely those of the individual author(s) and contributor(s) and not of MDPI and/or the editor(s). MDPI and/or the editor(s) disclaim responsibility for any injury to people or property resulting from any ideas, methods, instructions or products referred to in the content.

Share and Cite

MDPI and ACS Style

Luo, M.; Yang, B.; Yan, Z.; Shen, Y.; Hu, M. The Dynamic Event-Based Non-Fragile H State Estimation for Discrete Nonlinear Systems with Dynamical Bias and Fading Measurement. Mathematics 2024, 12, 2957. https://doi.org/10.3390/math12182957

AMA Style

Luo M, Yang B, Yan Z, Shen Y, Hu M. The Dynamic Event-Based Non-Fragile H State Estimation for Discrete Nonlinear Systems with Dynamical Bias and Fading Measurement. Mathematics. 2024; 12(18):2957. https://doi.org/10.3390/math12182957

Chicago/Turabian Style

Luo, Manman, Baibin Yang, Zhaolei Yan, Yuwen Shen, and Manfeng Hu. 2024. "The Dynamic Event-Based Non-Fragile H State Estimation for Discrete Nonlinear Systems with Dynamical Bias and Fading Measurement" Mathematics 12, no. 18: 2957. https://doi.org/10.3390/math12182957

APA Style

Luo, M., Yang, B., Yan, Z., Shen, Y., & Hu, M. (2024). The Dynamic Event-Based Non-Fragile H State Estimation for Discrete Nonlinear Systems with Dynamical Bias and Fading Measurement. Mathematics, 12(18), 2957. https://doi.org/10.3390/math12182957

Note that from the first issue of 2016, this journal uses article numbers instead of page numbers. See further details here.

Article Metrics

Back to TopTop