Exploring the Dynamic Behavior of Crude Oil Prices in Times of Crisis: Quantifying the Aftershock Sequence of the COVID-19 Pandemic
Abstract
1. Introduction
2. Literature Review
3. Methodology and Data
4. Empirical Properties
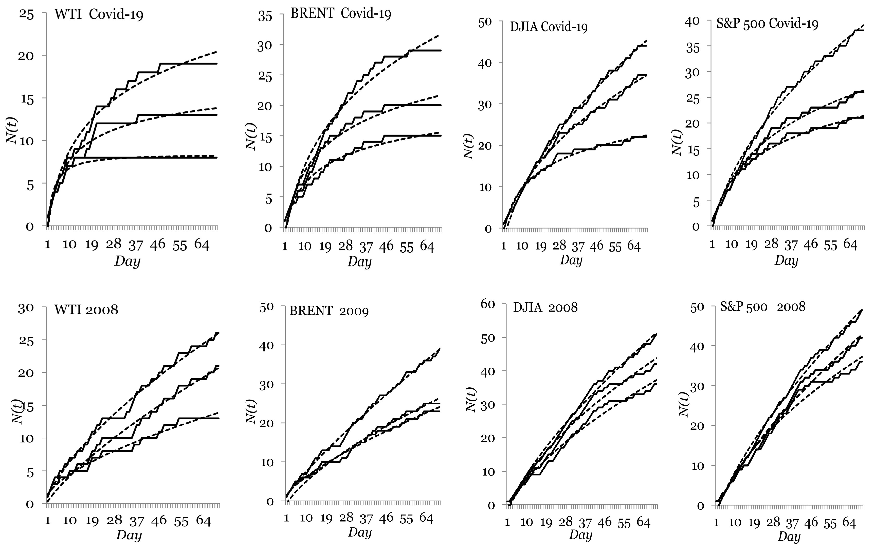
4.1. The Aftershock Sequences
4.2. The Relation between the Mainshock and the Largest Shock in the Aftershock Sequence
5. Policy Implications
6. Conclusions
Funding
Data Availability Statement
Conflicts of Interest
References
- Johansen, A.; Sornette, D. A hierarchical model of financial crashes. Phys. A 1998, 261, 581–598. [Google Scholar]
- Lillo, F.; Mantegna, N.R. Power-law relaxation in a complex system: Omori law after a financial crash. Phys. Rev. E 2003, 68, 016119. [Google Scholar] [CrossRef] [PubMed]
- Omori, F. On the aftershocks of earthquake. J. Coll. Sci. Imp. Univ. Tokyo 1894, 7, 111. [Google Scholar]
- Gabaix, X. Power Laws in Economics & Finance. Annu. Rev. Econ. 2009, 1, 255–294. [Google Scholar]
- Selcuk, F. Financial earthquakes, aftershocks and scaling in emerging stock markets. Phys. A 2004, 333, 306–316. [Google Scholar] [CrossRef]
- Weber, P.; Wang, F.; Vodenska-Chitkushev, I.; Havlin, S.; Stanley, E.H. Relation between volatility correlations in financial markets and Omori processes occurring on all scales. Phys. Rev. E 2007, 76, 016109. [Google Scholar] [CrossRef]
- Strogatz, S.H. Exploring complex networks. Nature 2001, 410, 268. [Google Scholar] [CrossRef]
- Focardi, S.; Cincotti, S.; Marchesi, M. Self-organization and market crashes. J. Econ. Behav. Organ. 2002, 49, 241–267. [Google Scholar] [CrossRef]
- Cont, R.; Bouchaud, J. Herd behaviour and aggregate fluctuations of financial markets. Macroecon. Dyn. 2000, 4, 170–196. [Google Scholar] [CrossRef]
- Stauffer, D.; Sornette, D. Self organized percolation model for stock market fluctuations. Phys. A 1999, 271, 496–506. [Google Scholar] [CrossRef]
- Levy, M.; Levy, H.; Solomon, S. A microscopic model of the stock market-cycles, booms and crashes. Econ. Lett. 1995, 45, 103–111. [Google Scholar] [CrossRef]
- Gabaix, X.; Parameswaran Gopikrishnan Plerou, V.; Stanley, H.E. A Theory of Power Law Distributions in Financial Market Fluctuations. Nature 2003, 423, 267–270. [Google Scholar] [CrossRef] [PubMed]
- Gabaix, X. Power Laws in Economics: An Introduction. J. Econ. Perspect. 2016, 30, 185–206. [Google Scholar] [CrossRef]
- Newman, M.E. Power laws, Pareto distributions and Zipf’s law. Contemp. Phys. 2005, 46, 323–351. [Google Scholar] [CrossRef]
- Abe, S.; Suzuki, N.; Tayurskii, D. Aftershocks and Fluctuating Diffusivity. Entropy 2023, 25, 989. [Google Scholar] [CrossRef]
- Zavyalov, A.; Zotov, O.; Guglielmi, A.; Klain, Β. On the Omori Law in the Physics of Earthquakes. Appl. Sci. 2022, 12, 9965. [Google Scholar] [CrossRef]
- Gupta, H.; Rekapalli, Ρ. Mw ≥ 5 aftershocks of the 2008 Sichuan earthquake: Analysis of temporal variation of Omori Law p-value Front. Earth Sci. 2022, 10, 964245. [Google Scholar] [CrossRef]
- Ommi, S.; Janalipour, M. Selection of shelters after earthquake using probabilistic seismic aftershock hazard analysis and remote sensing. Nat. Hazards 2022, 113, 345–363. [Google Scholar] [CrossRef]
- Zhang, Y.; Fan, J.; Marzocchi, W.; Shapira, A.; Hofstetter, R.; Havlin, S.; Ashkenazy, Y. Scaling laws in earthquake memory for interevent times and distances. Phys. Rev. Res. 2020, 2, 013264. [Google Scholar] [CrossRef]
- Im, Κ.; Avouac, J. Cascading foreshocks, aftershocks and earthquake swarms in a discrete fault network. Geophys. J. Int. 2023, 235, 831–852. [Google Scholar] [CrossRef]
- Siokis, M.F. Stock market dynamics: Before and after stock market crashes. Phys. A Stat. Mech. Its Appl. 2012, 391, 1315–1322. [Google Scholar] [CrossRef]
- Vallianatos, F. Gutenberg-Richter, Omori and Cumulative Benioff strain patterns in view of Tsallis entropy and Beck-Cohen Superstatistics. In Proceedings of the EGU General Assembly, Vienna, Austria, 24–28 April 2023. EGU23-5021. [Google Scholar]
- Zaccagnino, D.; Telesca, L.; Doglioni, C. Scaling properties of seismicity and faulting. Earth Planet. Sci. Lett. 2022, 584, 117511. [Google Scholar] [CrossRef]
- Sornette, D.; Johansen, A.; Bouchaud, J.-P. Stock market crashes, precursors and replicas. J. Phys. I 1996, 6, 167–175. [Google Scholar] [CrossRef]
- Di Matteo, T.; Aste, T.; Dacorogna, M. Scaling behaviors in differently developed markets. Phys. A 2003, 324, 183–188. [Google Scholar] [CrossRef]
- Mu, G.-H.; Zhou, W.-X. Relaxation dynamics of aftershocks after large volatility shocks in the SSEC index. Phys. A Stat. Mech. Its Appl. 2008, 387, 5211–5218. [Google Scholar] [CrossRef][Green Version]
- Petersen, A.; Wang, F.; Havlin, S.; Stanley, H.E. Market dynamics immediately before and after financial shocks: Quantifying the Omori, productivity, and Bath laws. Phys. Rev. E 2010, 82, 036114. [Google Scholar] [CrossRef]
- Siokis, F. The dynamics of a complex system: The exchange rate crisis in Southeast Asia. Econ. Lett. 2012, 114, 98–101. [Google Scholar] [CrossRef]
- Pagnottoni, P.; Spelta, A.; Pecora, N.; Flori, A.; Pammolli, F. Financial earthquakes: SARS-CoV-2 news shock propagation in stock and sovereign bond markets. Phys. A Stat. Mech. Its Appl. 2021, 582, 126240. [Google Scholar] [CrossRef]
- Spelta, A.; Pecora, N.; Flori, A.; Giudici, P. The impact of the SARS-CoV-2 pandemic on financial markets: A seismologic approach. Ann. Oper. Res. 2021, 330, 639–664. [Google Scholar] [CrossRef]
- Rai, A.; Mahata, A.; Nurujjaman, M.; Prakash, O. Statistical properties of the aftershocks of stock market crashes revisited: Analysis based on the 1987 crash, financial-crisis-2008 and COVID-19 pandemic. Int. J. Mod. Phys. 2022, 33, 2250019. [Google Scholar] [CrossRef]
- Sun, X.; Yuan, O.; Xu, Z.; Yin, Y.; Liu, Q.; Wu, L. Did Zipf’s Law hold for Chinese cities and why? Evidence from multi-source data. Land Use Policy 2021, 106, 105460. [Google Scholar] [CrossRef]
- Ning, Y.; Liu, S.; Zhao, S.; Liu, M.; Gao, H.; Gong, P. Urban growth rates, trajectories, and multi-dimensional disparities in China. Cities 2022, 126, 103717. [Google Scholar] [CrossRef]
- Ma, D.; Guo, R.; Jing, Y.; Zheng, Y.; Zhao, Z.; Yang, J. Intra-Urban Scaling Properties Examined by Automatically Extracted City Hotspots from Street Data and Nighttime Light Imagery. Remote Sens. 2021, 13, 1322. [Google Scholar] [CrossRef]
- Kopczewska, K.; Kopczewski, T. Natural spatial pattern—When mutual socio-geo distances between cities follow Benford’s law. PLoS ONE 2022, 17, e0276450. [Google Scholar] [CrossRef]
- Capello, R.; Caragliu, A.; Gerritse, M. Continuous vs. Discrete Urban Ranks: Explaining the Evolution in the Italian Urban Hierarchy over Five Decades. Econ. Geogr. 2022, 98, 438–463. [Google Scholar] [CrossRef]
- Li, X.; Zhou, Y.; Gong, P. Diversity in global urban sprawl patterns revealed by Zipfian dynamics. Remote Sens. Lett. 2023, 14, 565–575. [Google Scholar] [CrossRef]
- Najafi, A.; Darooneh, A.; Gheibi, A.; Farhang, N. Solar Flare Modified Complex Network. Astrophys. J. 2020, 894, 66. [Google Scholar] [CrossRef]
- Kennedy, A.P.; Yam, C. On the authenticity of COVID-19 case figures. PLoS ONE 2020, 15, e0243123. [Google Scholar] [CrossRef]
- Casals, B.; Salje, H.K. Energy exponents of avalanches and Hausdorff dimensions of collapse patterns. Phys. Rev. E 2021, 104, 054138. [Google Scholar] [CrossRef]
- Abe, S.; Suzuki, N. Omori’s law in the Internet traffic. Europhys. Lett. 2003, 61, 6. [Google Scholar] [CrossRef][Green Version]
- Wang, L.; Cao, S.; Jiang, X.; Salje, K.H.E. Cracking of human teeth: An avalanche and acoustic emission study. J. Mech. Behav. Biomed. Mater. 2021, 122, 104666. [Google Scholar] [CrossRef] [PubMed]
- Chen, Y.; Tang, K.; Gou, B.; Jiang, F.; Ding, X.; Salje, K.H.E. Acoustic emission spectra and statistics of dislocation movements in Fe40Mn40Co10Cr10 high entropy alloys. J. Appl. Phys. 2022, 132, 080901. [Google Scholar] [CrossRef]
- Utsu, T. A statistical study on the occurrence of aftershocks. Geophys. Mag. 1961, 30, 521–605. [Google Scholar]
- Utsu, T. Aftershocks and Earthquake Statistics-Some Parameters Which Characterize an Aftershock Sequence and Their Interrelations. J. Fac. Sci. Hokkaido Univ. Ser. 7 Geophys. 1969, 3, 129–195. [Google Scholar]
- U.S. Energy Information Administration. Petroleum Prices, Spot Prices. 2023. Available online: https://www.eia.gov/opendata/browser/petroleum/pri/spt (accessed on 1 September 2024).
- Bath, M. Lateral inhomogeneities in the upper mantle. Tectonophysics 1965, 2, 483–514. [Google Scholar] [CrossRef]








| Sample | WTI OIL | BRENT OIL | DJIA | S&P 500 |
|---|---|---|---|---|
| COVID-19 Period | ||||
| (for 70 days) | ||||
| Mean | 0.9% | 2.9% | 0.5% | 0.5% |
| Maximum | 53.1% | 51.0% | 10.8% | 9.0% |
| Minimum | −124.1% | −8.3% | −6.5% | −5.3% |
| Std. Dev. | 18.9% | 8.0% | 2.9% | 2.6% |
| Kurtosis | 33.69 | 22.89 | 2.30 | 1.47 |
| Skewness | −4.62 | 4.14 | 0.67 | 0.56 |
| 2008 period | ||||
| (for 70 days) | ||||
| Mean | −1.2% | 0.1% | −0.1% | −0.2% |
| Maximum | 10.8% | 11.3% | 10.3% | 10.2% |
| Minimum | −12.0% | −10.7% | −8.2% | −9.5% |
| Std. Dev. | 5.9% | 4.5% | 3.6% | 3.9% |
| Kurtosis | 0.80 | −0.15 | 0.40 | 0.28 |
| Skewness | 0.75 | 0.14 | 0.12 | −0.07 |
| Total Sample | ||||
| Mean | −0.01% | 0.06% | 0.02% | 0.02% |
| Maximum | 53.1% | 51.0% | 10.8% | 11.0% |
| Minimum | −302.0% | −47.5% | −13.8% | −12.8% |
| Std. Dev. | 5.2% | 2.6% | 1.2% | 1.2% |
| Kurtosis | 2147.4 | 56.8 | 13.1 | 11.0 |
| Skewness | −37.98 | 0.54 | −0.38 | −0.40 |
| Index | Date | Mainshock (%) | Sample Standard Deviation | Relative Shock |
|---|---|---|---|---|
| COVID-19 period | ||||
| WTI OIL | 20 April 2020 | 302.0% | 5.2% | 58.35 |
| BRENT OIL | 21 April 2020 | 47.5% | 2.6% | 18.07 |
| DJIA | 16 March 2020 | 13.8% | 1.2% | 11.62 |
| S&P 500 | 16 March 2020 | 12.8% | 1.2% | 10.30 |
| 2008–2009 period | ||||
| WTI OIL | 22 September 2008 | 17.8% | 5.9% | 3.04 |
| BRENT OIL | 2 January 2009 | 19.9% | 4.5% | 4.39 |
| DJIA | 13 October 2008 | 10.5% | 3.6% | 2.93 |
| S&P 500 | 13 October 2008 | 11.0% | 3.9% | 2.81 |
| Actual Data | p | χ | Shuffled Data p | ||||||
|---|---|---|---|---|---|---|---|---|---|
| Index | 1σ | 1.5σ | 2σ | 1σ | 1.5σ | 2σ | 1σ | 1.5σ | 2σ |
| 2020 | |||||||||
| WTI | 1.01 | 1.34 | 1.96 | 0.53 | 0.15 | 0.15 | 0.07 | 0.13 | 0.09 |
| BRENT | 0.82 | 1.07 | 1.16 | 2.00 | 1.14 | 0.56 | 0.08 | 0.11 | 0.00 |
| DOW JONES | 0.49 | 0.77 | 1.06 | 0.80 | 0.59 | 0.58 | 0.07 | 0.00 | 0.00 |
| S&P 500 | 0.54 | 0.85 | 0.98 | 0.83 | 0.66 | 0.35 | 0.00 | 0.00 | 0.00 |
| 2008 | |||||||||
| WTI | 0.35 | 0.33 | 0.37 | 0.46 | 0.71 | 0.30 | −0.06 | 0.06 | 0.01 |
| BRENT | 0.26 | 0.48 | 0.60 | 0.68 | 0.87 | 0.71 | −0.03 | 0.05 | 0.09 |
| DOW JONES | 0.32 | 0.45 | 0.40 | 1.18 | 2.61 | 2.13 | 0.02 | −0.07 | 0.01 |
| S&P 500 | 0.33 | 0.35 | 0.51 | 0.96 | 1.46 | 1.54 | 0.02 | 0.06 | 0.02 |
Disclaimer/Publisher’s Note: The statements, opinions and data contained in all publications are solely those of the individual author(s) and contributor(s) and not of MDPI and/or the editor(s). MDPI and/or the editor(s) disclaim responsibility for any injury to people or property resulting from any ideas, methods, instructions or products referred to in the content. |
© 2024 by the author. Licensee MDPI, Basel, Switzerland. This article is an open access article distributed under the terms and conditions of the Creative Commons Attribution (CC BY) license (https://creativecommons.org/licenses/by/4.0/).
Share and Cite
Siokis, F.M. Exploring the Dynamic Behavior of Crude Oil Prices in Times of Crisis: Quantifying the Aftershock Sequence of the COVID-19 Pandemic. Mathematics 2024, 12, 2743. https://doi.org/10.3390/math12172743
Siokis FM. Exploring the Dynamic Behavior of Crude Oil Prices in Times of Crisis: Quantifying the Aftershock Sequence of the COVID-19 Pandemic. Mathematics. 2024; 12(17):2743. https://doi.org/10.3390/math12172743
Chicago/Turabian StyleSiokis, Fotios M. 2024. "Exploring the Dynamic Behavior of Crude Oil Prices in Times of Crisis: Quantifying the Aftershock Sequence of the COVID-19 Pandemic" Mathematics 12, no. 17: 2743. https://doi.org/10.3390/math12172743
APA StyleSiokis, F. M. (2024). Exploring the Dynamic Behavior of Crude Oil Prices in Times of Crisis: Quantifying the Aftershock Sequence of the COVID-19 Pandemic. Mathematics, 12(17), 2743. https://doi.org/10.3390/math12172743
