Next Article in Journal
Operational Calculus for the 1st-Level General Fractional Derivatives and Its Applications
Previous Article in Journal
Sorting Permutations on an nBroom
 
 
Font Type:
Arial Georgia Verdana
Font Size:
Aa Aa Aa
Line Spacing:
Column Width:
Background:
Article

An Approximation of the Prime Counting Function and a New Representation of the Riemann Zeta Function

Department of Physics & Astronomy, University of Calgary, Calgary, AB T2N 1N4, Canada
Mathematics 2024, 12(17), 2624; https://doi.org/10.3390/math12172624
Submission received: 6 July 2024 / Revised: 19 August 2024 / Accepted: 23 August 2024 / Published: 24 August 2024

Abstract

Determining the exact number of primes at large magnitudes is computationally intensive, making approximation methods (e.g., the logarithmic integral, prime number theorem, Riemann zeta function, Chebyshev’s estimates, etc.) particularly valuable. These methods also offer avenues for number-theoretic exploration through analytical manipulation. In this work, we introduce a novel approximation function, ϕ(n), which adds to the existing repertoire of approximation methods and provides a fresh perspective for number-theoretic studies. Deeper analytical investigation of ϕ(n) reveals modified representations of the Chebyshev function, prime number theorem, and Riemann zeta function. Computational studies indicate that the difference between ϕ(n) and the logarithmic integral at magnitudes greater than 10100 is less than 1%.

1. Introduction

Analytic approximations have been known for estimating the prime-counting function, Π n which counts the exact number of primes less than a given magnitude, n —e.g., the logarithmic integral, l i n , and Riemann’s prime-power counting function. A systematic computational study of these approximations is given in [1]. Another interesting approach to prime counting is presented in [2]. In that work, the authors employed a novel random approximation method that produces the existence of a discrete Beurling prime system. In [3], the author directly developed asymptotic expansions of the prime-counting function, Π n . In that work, some general results on asymptotic continued fraction expansions were determined. The author in [3] also found that the results of the prime-counting function, Π n , could be generalized to any arithmetic semigroup (or any number field). Another interesting work is seen in [4], where the authors explored the fractal nature of a prime-counting function. In that research, the prime numbers related to fractal curves and polygons were derived. This was performed by combining the approximation of the prime-counting function constructed on an additive function and prime-number-indexed basis entities obtained using the Fourier basis (discrete/continuous). In [5], the author proved that the asymptotic limit of a summation operation performed on a unique subsequence of prime numbers produces the prime number counting function, Π n , as n approaches infinity. The author also showed that the prime number count could be approximated by carrying out the summation operation on the subsequence up to the limit n (Please refer to Appendix A and Appendix B). In [6], the Copeland–Erdős constant was employed for counting primes. In that work, the authors also proved Cramér’s conjecture on prime gaps using a combinatorial method.
It is known that one of the most effective methods to approximate the number of primes lesser than a given magnitude is the logarithmic integral, l i n . In the current literature, no existing approximation or analytic method offers a viable alternative function to the logarithmic integral, l i n , for estimating the number of primes less than a given magnitude, n . Therefore, this work proposes a new function, ϕ n = 2 n π 3 5 arccosh n 1 , as an alternative function to approximate the number of primes less than n , thus providing a fresh perspective for number-theoretic studies. This paper is organized as follows: Section 2 provides the preliminary results and the main results of this work. In this section, a deeper analytical investigation of ϕ ( n ) reveals modified representations of the Chebyshev function, prime number theorem, and Riemann zeta function. A comparative analysis on the accuracy of the proposed function ϕ ( n ) for estimating the number of primes is provided in Section 3. This paper ends with key conclusions and some ideas for future research work.

2. Preliminary Results

In this section, a version of Euler’s formula is developed using a parametrized hyperbolic function. The hyperbolic cosine function is given as:
Cosh i θ = 1 2 e i θ + 1 2 e i θ .  
The hyperbolic cosine function is modified by parametrizing it with a real-valued parameter, p R :
ρ θ = 1 p 2 e i θ + 1 + p 2 e i θ .
In this form, the coefficients of both terms sum to 1. An alternative representation of ρ θ is a parametrized version of Euler’s formula:
ρ θ = 1 p 2 e i θ + 1 + p 2 e i θ = cos θ + i p sin θ .
As p 0 , the hyperbolic cosine function is recovered ( ρ θ cosh i θ = cos θ ), while as p 1 , Euler’ formula is approached ( ρ θ e i θ ). The function ρ θ is equivalent to the conventional Euler’s identity, where ρ π = e i π = 1 Another characteristic of the function, ρ θ   , is its conjugate property:
ρ θ ¯ = 1 + p 2 e i θ + 1 p 2 e i θ = cos θ i p sin θ .
Similarly, for the conjugate function, ρ θ ¯ : as p 0 , the hyperbolic cosine function is recovered ( ρ θ ¯ cosh i θ ), while as p 1 , Euler’ formula is approached ( ρ θ e i θ ). It is also important to note that the conjugate multiplication and the inverse properties are as follows:
Corollary 1. 
Conjugate Multiplication.
ρ θ ρ θ ¯ = cos θ + p i sin θ cos θ p i sin θ = c o s 2 θ + p   s i n 2 θ .
Corollary 2. 
Inverse Property.
ρ θ 1 = 1 c o s 2 θ + p   s i n 2 θ ρ θ ¯ .
A convenient way to represent the analogue Euler’s formula is using the following hyperbolic maps:
ρ θ = cos θ + p i sin θ = a e i θ + b e i θ .
ρ θ ¯ = cos θ p i sin θ = b e i θ + a e i θ .
where the constants: a = 1 p / 2 and b = 1 + p / 2 .
  • The differential form of the function ρ θ is given as follows:
    ρ θ = d ρ d θ = sin θ + p i cos θ = a e i θ + b e i θ .
    where the constants: a = i p 1 2 and b = i p + 1 2 . The function, P θ , is defined by the following differential equation:
Definition 1. 
Let  ω R , then the function P(ω) is defined as:
Ρ ω = 1 + i A e ω + 1 i B e ω
where the complex coefficients are:
A = 1 p 1 i 2   a n d   B = 1 + p 1 + i 2 .
Using Definition 1, the following lemma is considered:
Lemma 1. 
Let  ω R , when  p = 0 , the function,  P ( ω ) = 2   c o s h ω .
Proof of Lemma 1. 
Let ρ θ = ω i = a e i ω i + b e i ω i = a e ω + b e ω . Similarly, ρ θ = ω i = a e ω + b e ω .
The summation then becomes:
ρ ω i + ρ ω i = a e ω + b e ω + a e ω + b e ω = a + a e ω + b + b e ω
where the constants are:
A = a + a = 1 p 2 + i p i 2 = 1 p 1 i 2
B = b + b = 1 + p 2 + i p + i 2 = 1 + p 1 + i 2
ρ ω i + ρ ω i = A e ω + B e ω
Ρ ω = 1 + i A e ω + 1 i B e ω
Ρ ω = 1 + i A e ω + 1 i B e ω = 1 p e ω + 1 + p e ω
Ρ ω = 2 cosh ω   when   p = 0 .  
Definition 2. 
The prime-counting approximation,  ϕ n ,  estimates the number of primes less than a given magnitude,  n . The function  ϕ n  is defined as:
ϕ n = f Ρ n = 2 n π 3 5 arccosh n .
Based on Definition 2, the Generalized Puiseux series is used to estimate ϕ n for large values of n :
lim n ϕ n = lim n 2 n π 3 5 arccosh n
= 1.00633 n l n 2 l n 1 n + 0.251582 n l n 2 l n 1 n 2 + 0.0943434 l n 1 n 0.128289 n 3 l n 1 n 0.693147 3
+ 0.052413 l o g 2 1 n 0.119831 l n 1 n + 0.0736028 n 5 l n 2 l n 1 n 4 + O 1 n 6 .

Main Results

Using the function, ϕ n (prime-counting approximation), an analogue to the Chebyshev function is defined:
Definition 3. 
For the number of primes lesser than a given magnitude,  x , the analogue Chebyshev function,  φ x ,  is defined as:
φ x = p k x π 3 5 2 arccosh p = π 3 5 2 p k x arccosh p .
where  p k  is the  k -th prime number. Theorem 1 provides an analogue version of the prime number theorem:
Theorem 1. 
The prime number theorem is represented using the analogue Chebyshev function,  φ x  as:
lim x ψ 2 x x = π 3 5   lim x φ x x = 2 .
 where  ψ x is the convetional Chebyshev function.
Proof of Theorem 1. 
Using Definition 3, the analogue Chebyshev function is as follows:
φ x = p k x π 3 5 2 arccosh p = π 3 5 2 p k x ln p + p 2 1
where p k is the k -th prime. The Chebyshev function is:
ψ x = p k x ln p .
Therefore, ψ x in terms of φ x is:
φ x = π 3 5 2 p k x ln p + p 2 1 = π 3 5 2 ψ x + x 2 1
ψ x + x 2 1 2 = 1 π 3 5 φ x    
At the limit x , the following approximation is applied:
lim x x + x 2 1 = 2 x 1 2 x 1 8 x + O 1 x 4     2 x
Equation (1) at x :
ψ x + x 2 1 2 = 1 π 3 5 φ x
lim x ψ x + x 2 1 2 = lim x π 3 5 φ x .
In terms of the approximation in Equation (2):
lim x ψ x + x 2 1 2 = lim x ψ 2 x 2 = lim x π 3 5 φ x .
Based on the prime number theorem: lim x ψ x x = 1 . It follows that:
lim x ψ 2 x 2 ( 2 x ) l i m x ψ 2 x 4 x = 1 .
In terms of the function φ x in Equation (3):
lim x ψ 2 x 2 ( 2 x ) = lim x π 3 5 φ x 2 x = 1 .
Therefore, the following limit exists:
1 2   lim x ψ 2 x x = lim x π 3 5 φ x 2 x = π 3 5 2   lim x φ x x = 1  
lim x ψ 2 x x = π 3 5   lim x φ x x = 2 .
  • The function ρ θ can be generalized to a complex form: z = σ + p   i ω . Theorem 2 proves the expression of the gamma function with the argument, z .
Theorem 2.
Let  Γ ( · )  be the gamma function, then the gamma function for  Γ z = σ + p i ω  is represented as:
Γ z = 1 p 2 Γ y ¯ + 1 + p 2 Γ y
for  y = σ + i ω ,  z = σ + p   i ω  where  σ , ω ,   t , p R .
Proof of Theorem 2.
Consider the function for a complex number: z = σ + p   i ω C where p R . The gamma function Γ z C is represented as follows:
Γ z = 0 t z 1 e t d t .
Then, the exponent for t z 1 when z = σ + p   i ω is:
t z 1 = t σ + p   i ω 1
t z 1 = t σ 1 t p   i ω = t σ 1 e i p   ω ln t  
Substituting e i p   ω ln t   with the analogue Euler’s formula, ρ ω ln t = cos ω ln t + p i sin ω ln t :
t z 1 = t σ 1 ρ ω ln t = t σ 1 cos ω ln t + p   i sin ω ln t
The expression cos ω ln t + p   i sin ω ln t is represented as follows:
cos ω ln t + p   i sin ω ln t = 1 p 2 e i ω ln t + 1 + p 2 e i ω ln t = 1 p 2 t i ω + 1 + p 2 t i ω
The gamma function becomes:
Γ z = 0 t σ 1 cos ω ln t + p   i sin ω ln t   e t d t
Γ z = 0 t σ 1   e t 1 p 2 t i ω + 1 + p 2 t i ω d t
Γ z = 1 p 2 0 t σ i ω 1   e t   d t + 1 + p 2 0 t σ + i ω 1   e t d t
Let y = σ + i ω C , then the gamma function can be represented as:
Γ z = 1 p 2 0 t y ¯ 1   e t   d t + 1 + p 2 0 t y 1   e t d t = 1 p 2 Γ y ¯ + 1 + p 2 Γ y
for y = σ + i ω and z = σ + p i ω . The parameters σ , ω , t , p R . □
  • It is important to note that Theorem 2 allows the gamma function to be related to its complex conjugate: Γ z = f Γ y , Γ y ¯ . Since y , z C , all the properties of the standard gamma functions hold for Γ y ,   Γ y ¯ and Γ z . Theorem 3 gives the form of the Riemann zeta function obtained using the complex variable, z .
Theorem 3.
Let  ζ ·  be the Riemann zeta function, then the Riemann zeta function,  ζ z = σ + p   i ω ,  is given by:
ζ z = 1 p ζ y ¯ Γ y ¯ + 1 + p ζ y Γ y 1 p Γ y ¯ + 1 + p Γ y  
for  y = σ + i ω  where  σ , ω R  and  p N .
Proof of Theorem 3.
The definition of the Riemann zeta function is given as:
ζ y = n = 1 1 n y = 1 Γ y   0 x y 1 e x 1   d x
where y = σ + i ω C , n N , and x R . The Riemann zeta function is defined using the argument: z = σ + p   i ω as follows:
ζ z = n = 1 1 n z = 1 Γ z   0 x z 1 e x 1   d x
x z 1 = x σ + p   i ω 1 = x σ 1 x p   i ω = x σ 1 e i p   ω x  
Substituting e i p   ω ln x + 1   with the analogue Euler’s formula, ρ ω ln x = cos ω ln x + p i sin ω ln x , from Theorems 2.3 and 2.4 yields:
x z 1 = x σ 1 cos ω ln x + p   i sin ω ln x
Based on Theorem 2:
Γ z = 1 2   1 + p Γ y ¯ + 1 + p Γ y
Therefore, the Riemann zeta function, ζ z , is expressed as:
ζ z = 1 Γ z   0 x z 1 e x 1   d x = 2 1 p Γ y ¯ + 1 + p Γ y 0 x σ 1 cos ω ln x + p   i sin ω ln x e x 1   d x = 2 1 p Γ y ¯ + 1 + p Γ y 0 x σ 1 e x 1 1 p 2 e i ω ln x + 1 + p 2 e i ω ln x   d x
The integral terms of ζ z are simplified:
0 x σ 1 e x 1 1 p 2 x i ω   d x + 0 x σ 1 e x 1 1 + p 2 x i ω   d x = 1 p 2 0 x σ i ω 1 e x 1   d x + 1 + p 2 0 x σ + i ω 1 e x 1   d x
The Riemann zeta function, ζ z , is then:
ζ z = 1 p 1 p Γ y ¯ + 1 + p Γ y 0 x σ i ω 1 e x 1   d x + 1 + p 1 p Γ y ¯ + 1 + p Γ y 0 x σ + i ω 1 e x 1   d x
For y = σ + i ω , the Riemann zeta function is:
ζ y = 1 Γ y 0 x y 1 e x 1 d x ζ z = 1 p 1 p Γ y ¯ + 1 + p Γ y 0 x y ¯ 1 e x 1   d x + 1 + p 1 p Γ y ¯ + 1 + p Γ y 0 x y 1 e x 1   d x
ζ z = 1 p ζ y ¯ Γ y ¯ 1 p Γ y ¯ + 1 + p Γ y + 1 + p ζ y Γ y 1 p Γ y ¯ + 1 + p Γ y     = 1 p ζ y ¯ Γ y ¯ + 1 + p ζ y Γ y 1 p Γ y ¯ + 1 + p Γ y
p 1 :   ζ z ζ y C
p 0 :     ζ z ζ y ¯ Γ y ¯ + ζ y Γ y Γ y ¯ + Γ y R .

3. Comparative Analysis

In Section 2, a parametrized version of Euler’s formula is given: ρ θ = cos θ + i p sin θ . Using this formula and the defined function, Ρ ω , a prime-counting approximation, ϕ n , is proposed. Using this function and the analogue Chebyshev function, φ x , a version of the prime number theorem is obtained. In Section 3, the form of the Riemann zeta function and the gamma function is obtained when the complex form, z = σ + p   i ω , is employed as the argument.
The prime-counting approximation, ϕ n , was employed to estimate the number of primes lesser than n . Due to limitations in computational resources, the calculation was not extended to the number of primes greater than 10 23 . The calculations and plotting of the data were conducted using the Python programming language on the Google Collaboratory platform on a cloud with the Python 3 Google Compute Engine (RAM 12.7 GB and Disk space: 107.72 GB). Throughout this work, WolframAlpha [7] was also employed to perform some calculations. The estimates obtained using ϕ n were then compared with values obtained using the logarithmic integral, l i ( n ) (see Appendix A and Appendix B). The error in these approximations relative to the actual number of primes lesser than n , Π n , was determined as follows:
ε   % = f n Π n Π n × 100 %  
where f n is ϕ n or l i ( n ) . Figure 1 shows the plot of the obtained error values in the range from 10 to 10 23 :
It can be observed in Figure 1 that the proposed function, ϕ n , is a weaker approximation as compared to the logarithmic integral, l i n , at the range of [ 10 3 ,   10 23 ] . Nevertheless, the approximation error of the proposed function, ϕ n , reduces as n . Further analysis is then carried out by varying the exponent of π in the proposed function, ϕ n :
ϕ n = 2 n π h arccosh n
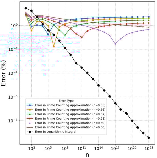
The results of the error comparisons, ε (%) for h [ 0.55 ,   0.6 ] (where the ε (%) is at is lowest), is given in Figure 2:
In Figure 2, it can be observed that, at h = 0.55 , the ε (%) of the function ϕ n is lower than l i ( n ) from 10 < n 10 5 . For n > 10 5 , the ε (%) of the function ϕ n grows in contrast to that of l i ( n ) . This trend holds for various values of h in this analysis. For h = 0.55 , the ε (%) of the function ϕ n closely follows the that of the l i n   for 10 < n 10 6 and then increases for higher values of n > 10 6 , where it stabilizes to ε   6 % with an increasing n . For h = 0.57 and h = 0.58 , the ε (%) of the function ϕ n closely follows the that of the l i n at 10 < n 10 8 and 10 < n 10 11 , respectively. When h = 0.59 , the ε (%) is reduced for a larger range 10 < n 10 17 before growing again to stabilize at ε   1 % with an increasing n . At h = 0.6 , the ε (%) is reduced all the way as n 10 23 . Observing the general trend of h values, it is highly probable that, at h = 0.6 , the ε (%) would also be reduced up to a limit (at some value of n > 10 23 ). Therefore, the function ϕ n at h = 0.6 most accurately approximates the number of primes lesser than n as compared to other values of h . In this numerical experiment, it can be stated that the accuracy of the function ϕ n in estimating primes is limited to specific ranges of the magnitude, n . It is also important to note that, although ε (%) grows after some specific limit, ε remains bounded to an upper limit of ~ 6 % as n 10 23 for all values of h [ 0.55 ,   0.6 ] .
Further numerical analysis was also performed to determine the error, δ (%), between the proposed function ϕ n at h = 0.6 and the logarithmic integral l i n for approximating the number of primes lesser that the magnitude n using the following relation:
δ   % = ϕ n l i n l i n × 100 % .
Figure 3 shows the error, δ (%), between the proposed function ϕ n and the logarithmic integral l i n for n 10 ,   10 8000 :
Figure 3 shows that, at very large values of n , the proposed function approaches the linear integral with an error range of <1%: lim n ϕ n = l i n .

4. Conclusions & Future Work

In this work, a novel approximation function, ϕ n , is introduced as an alterntive to the logarithmic integral, l i n , to estimate the number of primes lesser than a given magnitude. The following are the main results of this work:
  • An analytical investigation involving ϕ n reveals new representations of the Chebyshev function, prime number theorem, gamma function, and Riemann zeta function.
  • Computational studies show that ϕ n   l i n at   n   10 8000 with a relative error of δ < 1 % —making it a very attractive alternative function for approximating primes.
In future research works, further analytical and numerical explorations involving the function ϕ n could provide further insights into the distribution of very large primes [8,9]. The functions ϕ n , ζ z , and Γ z may also provide researchers with an alternative approach to tackle problems in analytical number theory. One example for this is given in Theorem 3, where it can be seen that it is possible for the Riemann zeta function, ζ z C , to take on real values as well as complex values depending on the parameter, p . Research in this direction could offer deeper insights into the structure of the Riemann zeta function.

Funding

This research received no external funding.

Data Availability Statement

Data is contained within the article.

Conflicts of Interest

The author declares no conflict of interest.

Appendix A

  • Table for prime count estimates using l i ( n ) and ϕ n (for the number of primes less than the magnitude n ).
nli(n)ϕ(n)
1 × 1015.12043572473.5223610397
1 × 10229.080977804023.7950214963
1 × 103176.5644942100156.9410293285
1 × 1041245.09205211931150.0897278776
1 × 1059628.76383727079073.6430650407
1 × 10678,626.503995632374,997.6552514018
1 × 107664,917.3598844722639,472.9607556000
1 × 1085,762,208.33045744245,575,049.6232796088
1 × 10950,849,233.912585228749,423,494.2754003257
1 × 1010455,055,616.9042515755443,899,294.1650980711
1 × 10114,118,066,399.74528551104,028,898,502.5527229309
1 × 101237,607,950,269.679443359436,882,943,283.5154418945
1 × 1013346,065,645,782.0182495117340,086,978,597.0837402344
1 × 10143,204,942,065,608.13427734383,155,055,961,180.9267578125
1 × 101529,844,571,474,990.5117187529,424,168,498,076.82421875
1 × 1016279,238,344,247,361.9375275,665,484,925,927.4375
1 × 10172,623,557,165,605,567.52,592,972,898,161,118.5
1 × 101824,739,954,309,665,03624,476,522,994,274,376
1 × 1019234,057,667,376,086,912231,776,560,224,923,104
1 × 10202,220,819,602,782,484,2242,200,976,646,852,194,304
1 × 102121,127,269,486,608,613,37620,953,983,666,845,884,416
1 × 1022201,467,286,691,204,005,888199,948,976,637,296,476,160
1 × 10231,925,320,391,613,786,095,6161,911,980,029,641,412,837,376

Appendix B

  • Table for Error Values, ε   % , of l i ( n ) and ϕ n compared against the true prime number count, Π ( n ) (for the number of primes less than a magnitude, n ).
nError (%) for li(n)Error (%) for ϕ(n)
1 × 10128.0108931167%11.9409740085%
1 × 10216.3239112158%4.8199140147%
1 × 1035.0979132203%6.5827206378%
1 × 1041.3093614418%6.4206893509%
1 × 1050.3832760349%5.4040547848%
1 × 1060.1637035283%4.4591515053%
1 × 1070.0509134180%3.7777358665%
1 × 1080.0130753509%3.2353871847%
1 × 1090.0033431564%2.8006072519%
1 × 10100.0006825375%2.4509735833%
1 × 10110.0002813645%2.1650102900%
1 × 10120.0001017118%1.9277026976%
1 × 10130.0000314805%1.7275797806%
1 × 10140.0000098225%1.5565271852%
1 × 10150.0000035260%1.4086378817%
1 × 10160.0000011508%1.2795005495%
1 × 10170.0000003031%1.1657554097%
1 × 10180.0000000886%1.0648010518%
1 × 10190.0000000426%0.9745918935%
1 × 10200.0000000100%0.8934969633%
1 × 10210.0000000028%0.8201997863%
1 × 10220.0000000009%0.7536260983%
1 × 10230.0000000004%0.6928904936%

References

  1. Kotnik, T. The prime-counting function and its analytic approximations: π (x) and its approximations. Adv. Comput. Math. 2008, 29, 55–70. [Google Scholar] [CrossRef]
  2. Broucke, F.; Vindas, J. A new generalized prime random approximation procedure and some of its applications. Math. Z. 2024, 307, 62. [Google Scholar] [CrossRef]
  3. Elliott, J. Asymptotic expansions of the prime counting function. J. Number Theory 2022, 238, 353–395. [Google Scholar] [CrossRef]
  4. Vartziotis, D.; Wipper, J. The fractal nature of an approximate prime counting function. Fractal Fract. 2017, 1, 10. [Google Scholar] [CrossRef]
  5. May, M.P. Relationship between the prime-counting function and a unique prime number sequence. Mo. J. Math. Sci. 2023, 35, 105–116. [Google Scholar] [CrossRef]
  6. Campbell, J.M. The prime-counting Copeland–Erdős constant. Acta Math. Hung. 2024, 173, 101–111. [Google Scholar] [CrossRef]
  7. Wolfram Research, Inc. Wolfram; Alpha Notebook Edition; Wolfram Research, Inc.: Champaign, IL, USA, 2024. [Google Scholar]
  8. Valente, T. A Distributed Approach to Proving Large Numbers Prime. Ph.D. Dissertation, Rensselaer Polytechnic Institute, Troy, NY, USA, 1992. [Google Scholar]
  9. Scott Williams, R. How Big is the “Biggest” Prime Number? Math Horiz. 2021, 28, 5–7. [Google Scholar] [CrossRef]
Figure 1. Comparison of errors, ε (%), between the functions, l i ( n ) and ϕ n , with respect to the actual number of primes lesser than n , ( Π n ).
Figure 1. Comparison of errors, ε (%), between the functions, l i ( n ) and ϕ n , with respect to the actual number of primes lesser than n , ( Π n ).
Mathematics 12 02624 g001
Figure 2. Comparison of errors, ε (%) between the functions, l i ( n ) and ϕ n , with respect to the actual number of primes lesser than n , ( Π n ) for h [ 0.55 ,   0.6 ] .
Figure 2. Comparison of errors, ε (%) between the functions, l i ( n ) and ϕ n , with respect to the actual number of primes lesser than n , ( Π n ) for h [ 0.55 ,   0.6 ] .
Mathematics 12 02624 g002
Figure 3. Comparison of errors, δ (%) between the proposed function ϕ n and the logarithmic integral l i n for n 10 ,   10 8000 .
Figure 3. Comparison of errors, δ (%) between the proposed function ϕ n and the logarithmic integral l i n for n 10 ,   10 8000 .
Mathematics 12 02624 g003
Disclaimer/Publisher’s Note: The statements, opinions and data contained in all publications are solely those of the individual author(s) and contributor(s) and not of MDPI and/or the editor(s). MDPI and/or the editor(s) disclaim responsibility for any injury to people or property resulting from any ideas, methods, instructions or products referred to in the content.

Share and Cite

MDPI and ACS Style

Ganesan, T. An Approximation of the Prime Counting Function and a New Representation of the Riemann Zeta Function. Mathematics 2024, 12, 2624. https://doi.org/10.3390/math12172624

AMA Style

Ganesan T. An Approximation of the Prime Counting Function and a New Representation of the Riemann Zeta Function. Mathematics. 2024; 12(17):2624. https://doi.org/10.3390/math12172624

Chicago/Turabian Style

Ganesan, Timothy. 2024. "An Approximation of the Prime Counting Function and a New Representation of the Riemann Zeta Function" Mathematics 12, no. 17: 2624. https://doi.org/10.3390/math12172624

APA Style

Ganesan, T. (2024). An Approximation of the Prime Counting Function and a New Representation of the Riemann Zeta Function. Mathematics, 12(17), 2624. https://doi.org/10.3390/math12172624

Note that from the first issue of 2016, this journal uses article numbers instead of page numbers. See further details here.

Article Metrics

Back to TopTop