Fibonacci Wavelet Collocation Method for Solving Dengue Fever SIR Model
Abstract
1. Introduction
2. Fundamental Definitions
2.1. Fibonacci Polynomials
2.2. Fibonacci Wavelets
3. Function Approximation
4. Operational Matrix of Integration (OMI)
5. Stability Analysis and Solution of Dengue Fever SIR Model by Fibonacci Wavelet Collocation Method
6. Error Analysis
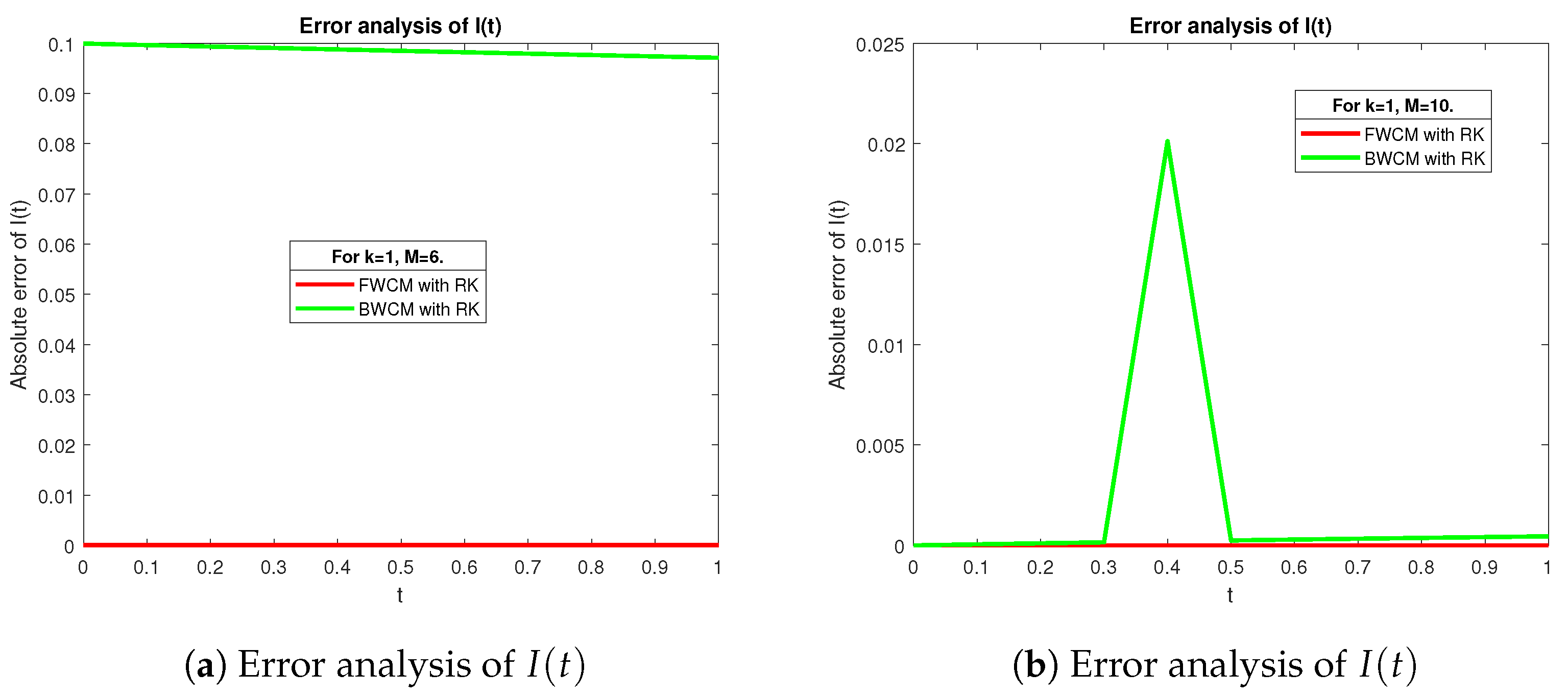
7. Comparison of Solutions Obtained from Different Numerical Methods (FWCM, BWCM, and RK4) and Their Error Analysis
8. Conclusions
Author Contributions
Funding
Data Availability Statement
Conflicts of Interest
References
- Guzman, M.G.; Harris, E. Dengue. Lancet 2015, 385, 453–465. [Google Scholar] [CrossRef] [PubMed]
- Gould, E.; Pettersson, J.; Higgs, S.; Charrel, R.; De Lamballerie, X. Emerging arboviruses: Why today? One Health 2017, 4, 1–13. [Google Scholar] [CrossRef] [PubMed]
- Bhatt, S.; Gething, P.W.; Brady, O.J.; Messina, J.P.; Farlow, A.W.; Moyes, C.L.; Drake, J.M.; Brownstein, J.S.; Hoen, A.G.; Sankoh, O.; et al. The global distribution and burden of dengue. Nature 2013, 496, 504–507. [Google Scholar] [CrossRef] [PubMed]
- Buhler, C.; Winkler, V.; Runge-Ranzinger, S.; Boyce, R.; Horstick, O. Environmental methods for dengue vector control—A systematic review and meta-analysis. PLoS Negl. Trop. Dis. 2019, 13, e0007420. [Google Scholar] [CrossRef] [PubMed]
- Simmons, C.P.; Farrar, J.J.; van Vinh Chau, N.; Wills, B. Dengue. N. Engl. J. Med. 2012, 366, 1423–1432. [Google Scholar] [CrossRef] [PubMed]
- Nuraini, N.; Soewono, E.; Sidarto, K. Mathematical model of dengue disease transmission with severe dhf compartment. Bull. Malays. Math. Sci. Soc. 2007, 30, 143–157. [Google Scholar]
- Yaacob, Y. Analysis of a dengue disease transmission model without immunity. Mat. Univ. Teknol. Malays. 2007, 23, 75–81. [Google Scholar]
- Khalid, M.; Sultana, M.; Khan, F.S. Numerical Solution of SIR Model of Dengue Fever. Int. J. Comput. Appl. 2015, 118, 1–4. [Google Scholar] [CrossRef]
- Rangkuti, Y.M.; Side, S.; Noorani, M.S.M. Numerical Analytic Solution of SIR Model of Dengue Fever Disease in South Sulawesi using Homotopy Perturbation Method and Variational Iteration Method. J. Math. Fundam. Sci. 2014, 46, 91–105. [Google Scholar] [CrossRef]
- Mungkasi, S. Improved variational iteration solutions to the SIR model of dengue fever disease for the case of South Sulawesi. J. Math. Fundam. Sci. 2020, 52, 297–311. [Google Scholar] [CrossRef]
- Umar, M.; Sabir, Z.; Raja, M.A.Z.; Sánchez, Y.G. A stochastic numerical computing heuristic of SIR nonlinear model based on dengue fever. Results Phys. 2020, 19, 103585. [Google Scholar] [CrossRef]
- Lede, Y.K.; Mungkasi, S. Performance of the Runge-Kutta methods in solving a mathematical model for the spread of dengue fever disease. AIP Conf. Proc. 2019, 2202, 020044. [Google Scholar]
- Li, F.; Baskonus, H.M.; Kumbinarasaiah, S.; Manohara, G.; Gao, W.; Ilhan, E. An Efficient Numerical Scheme for Biological Models in the Frame of Bernoulli Wavelets. Comput. Model. Eng. Sci. 2023, 137, 2381–2408. [Google Scholar] [CrossRef]
- Bulut, F.; Oruç, Ö.; Esen, A. Higher order Haar wavelet method integrated with strang splitting for solving regularized long wave equation. Math. Comput. Simul. 2022, 197, 277–290. [Google Scholar] [CrossRef]
- Keshavarz, E.; Ordokhani, Y.; Razzaghi, M. The Taylor wavelets method for solving the initial and boundary value problems of Bratu-type equations. Appl. Numer. Math. 2018, 128, 205–216. [Google Scholar] [CrossRef]
- Rahimkhani, P.; Ordokhani, Y.; Babolian, E. Müntz-Legendre wavelet operational matrix of fractional-order integration and its applications for solving the fractional pantograph differential equations. Numer. Algorithms 2017, 77, 1283–1305. [Google Scholar] [CrossRef]
- Sahu, P.K.; Ray, S.S. A new Bernoulli wavelet method for accurate solutions of nonlinear fuzzy Hammerstein–Volterra delay integral equations. Fuzzy Sets Syst. 2017, 309, 131–144. [Google Scholar] [CrossRef]
- Yousefi, S.; Banifatemi, A. Numerical solution of Fredholm integral equations by using CAS wavelets. Appl. Math. Comput. 2006, 183, 458–463. [Google Scholar] [CrossRef]
- Nemati, S.; Lima, P.M.; Torres, D.F.M. Numerical solution of a class of third-kind Volterra integral equations using Jacobi wavelets. Numer. Algorithms. 2021, 86, 675–691. [Google Scholar] [CrossRef]
- Debnath, L.; Shah, F.A. Lecture Notes on Wavelet Transforms; Springer: Cham, Switzerland, 2017. [Google Scholar] [CrossRef]
- Ahmad, K. Wavelet Packets and Their Statistical Applications; Springer: Singapore, 2018. [Google Scholar] [CrossRef]
- Falcón, S.; Plaza, Á. On k–Fibonacci sequences and polynomials and their derivatives. Chaos Solitons Fractals 2009, 39, 1005–1019. [Google Scholar] [CrossRef]
- Sabermahani, S.; Ordokhani, Y.; Yousefi, S. Fibonacci wavelets and their applications for solving two classes of time-varying delay problems. Optim. Control Appl. Methods. 2020, 41, 395–416. [Google Scholar] [CrossRef]
- Irfan, M.; Shah, F.A.; Nisar, K.S. Fibonacci wavelet method for solving Pennes bioheat transfer equation. Int. J. Wavelets Multiresolut. Inf. Process. 2021, 19, 2150023. [Google Scholar] [CrossRef]
- Rafiq, M.; Abdullah, A. Numerical Investigation using Fibonacci Wavelet Collocation Method for Solving Modified Unstable Nonlinear Schrödinger Equation. Int. J. Appl. Comput. Math 2023, 9, 118. [Google Scholar] [CrossRef]






| t | FWCM For | RK4 | BWCM [13] for | AE of FWCM with RK4 | AE of BWCM with RK4 |
|---|---|---|---|---|---|
| 0 | 0.999938521568902 | 0.999940052761458 | 0.9999400527 | 0.153119255 | 0.000000061 |
| 0.1 | 0.999932605979405 | 0.999934089589839 | 0.9998801632 | 0.148361043 | 0.053926389 |
| 0.2 | 0.999926713883546 | 0.999928145307637 | 0.9998205524 | 0.143142409 | 0.107592907 |
| 0.3 | 0.999920844680790 | 0.999922219774398 | 0.9997610412 | 0.137509360 | 0.161178574 |
| 0.4 | 0.999914998190981 | 0.999916312853228 | 0.9997018124 | 0.131466224 | 0.214500453 |
| 0.5 | 0.999909174607655 | 0.999910424410677 | 0.9996427632 | 0.124980302 | 0.267661210 |
| 0.6 | 0.999903374451345 | 0.999904554316623 | 0.9995838457 | 0.117986527 | 0.320708616 |
| 0.7 | 0.999897598522890 | 0.999898702444166 | 0.9995252421 | 0.110392127 | 0.373460344 |
| 0.8 | 0.999891847856746 | 0.999892868669524 | 0.9994667214 | 0.102081277 | 0.426147269 |
| 0.9 | 0.999886123674291 | 0.999887052871929 | 0.9994084741 | 0.092919763 | 0.478578771 |
| 1.0 | 0.999880427337135 | 0.999881254933527 | 0.9993503412 | 0.082759639 | 0.530913733 |
| t | FWCM for | RK4 | BWCM [13] for | AE of FWCM with RK4 | AE of BWCM with RK4 |
|---|---|---|---|---|---|
| 0 | 0.151388595802287 | 0.599472385422882 | 0.1000000000 | 0.914413572 | 0.099940052 |
| 0.1 | 0.154675688981761 | 0.638746242903276 | 0.0997041574 | 0.908010646 | 0.099640282 |
| 0.2 | 0.157470598949661 | 0.676573124611832 | 0.0994216325 | 0.898132864 | 0.099353975 |
| 0.3 | 0.159736182347967 | 0.713001766004047 | 0.0991352365 | 0.884360057 | 0.099063936 |
| 0.4 | 0.161397910060683 | 0.748079270409903 | 0.0988563251 | 0.865899830 | 0.098781517 |
| 0.5 | 0.162338867907779 | 0.781851163670911 | 0.0985723652 | 0.841537515 | 0.098494180 |
| 0.6 | 0.162394757339147 | 0.814361446948217 | 0.0982942573 | 0.809586126 | 0.098212821 |
| 0.7 | 0.161348896128539 | 0.845652647763017 | 0.0980212547 | 0.767836313 | 0.097936689 |
| 0.8 | 0.158927219067519 | 0.875765872431373 | 0.0977476325 | 0.713506321 | 0.097660055 |
| 0.9 | 0.154793278659409 | 0.904740838229979 | 0.0974764251 | 0.643191948 | 0.097385951 |
| 1.0 | 0.148543245813239 | 0.932615950510128 | 0.0972080524 | 0.552816507 | 0.097114790 |
| t | FWCM for | RK4 | BWCM [13] for | AE of FWCM with RK4 | AE of BWCM with RK4 |
|---|---|---|---|---|---|
| 0 | 0.009463888096041 | 0.010000000000000 | 0.0000599472 | 0.536111903 | 0.009940052 |
| 0.1 | 0.009438569426823 | 0.009972928794027 | 0.0001169012 | 0.534359367 | 0.009856027 |
| 0.2 | 0.009415617923393 | 0.009946080047223 | 0.0001718139 | 0.530462123 | 0.009774266 |
| 0.3 | 0.009395362166263 | 0.009919447840034 | 0.0002247537 | 0.524085673 | 0.009694694 |
| 0.4 | 0.009378327425305 | 0.009893026447422 | 0.0201957869 | 0.514699022 | 0.010302760 |
| 0.5 | 0.009365295297659 | 0.009866810332378 | 0.0003249776 | 0.501515034 | 0.009541832 |
| 0.6 | 0.009357363345630 | 0.009840794139641 | 0.0003723877 | 0.483430794 | 0.009468406 |
| 0.7 | 0.009356004734595 | 0.009814972689638 | 0.0004180770 | 0.458967955 | 0.009396895 |
| 0.8 | 0.009363127870905 | 0.009789340972615 | 0.0004621033 | 0.426213101 | 0.009327237 |
| 0.9 | 0.009381136039787 | 0.009763894142974 | 0.0005045226 | 0.382758103 | 0.009259371 |
| 1.0 | 0.009412987043246 | 0.009738627513792 | 0.0005453889 | 0.325640470 | 0.009193238 |
| t | FWCM for | RK4 | BWCM [13] for | AE of FWCM with RK4 | AE of BWCM with RK4 |
|---|---|---|---|---|---|
| 0 | 0.999940052761381 | 0.999940052761458 | 0.9999400530 | 0.768274333 | 0.000000238 |
| 0.1 | 0.999934089589761 | 0.999934089589839 | 0.9998801861 | 0.778266340 | 0.053903489 |
| 0.2 | 0.999928145307559 | 0.999928145307637 | 0.9998205233 | 0.784927678 | 0.107622007 |
| 0.3 | 0.999922219774320 | 0.999922219774398 | 0.9997610628 | 0.782707232 | 0.161156974 |
| 0.4 | 0.999916312853151 | 0.999916312853228 | 0.9997018029 | 0.777156117 | 0.214509953 |
| 0.5 | 0.999910424410601 | 0.999910424410677 | 0.9996427419 | 0.757172102 | 0.267682510 |
| 0.6 | 0.999904554316550 | 0.999904554316623 | 0.9995838783 | 0.722755189 | 0.320676016 |
| 0.7 | 0.999898702444100 | 0.999898702444166 | 0.9995252103 | 0.657252030 | 0.373492144 |
| 0.8 | 0.999892868669469 | 0.999892868669524 | 0.9994667366 | 0.549560397 | 0.426132069 |
| 0.9 | 0.999887052871891 | 0.999887052871929 | 0.9994084556 | 0.373034936 | 0.478597271 |
| 1.0 | 0.999881254933518 | 0.999881254933527 | 0.9993503659 | 0.087707618 | 0.530889033 |
| t | FWCM for | RK4 | BWCM [13] for | AE of FWCM with RK4 | AE of BWCM with RK4 |
|---|---|---|---|---|---|
| 0 | 0.599472384428216 | 0.599472385422882 | 0.0000599472 | 0.099466652 | 0.000000000 |
| 0.1 | 0.638746242405969 | 0.638746242903276 | 0.0001169012 | 0.049730632 | 0.000053026 |
| 0.2 | 0.676573124582576 | 0.676573124611832 | 0.0001718139 | 0.002925611 | 0.000104156 |
| 0.3 | 0.713001766416621 | 0.713001766004047 | 0.0002247537 | 0.041257443 | 0.000153453 |
| 0.4 | 0.748079271242499 | 0.748079270409903 | 0.0201957869 | 0.083259544 | 0.020120978 |
| 0.5 | 0.781851164908085 | 0.781851163670911 | 0.0003249776 | 0.123717442 | 0.000246792 |
| 0.6 | 0.814361448583902 | 0.814361446948217 | 0.0003723877 | 0.163568431 | 0.000290951 |
| 0.7 | 0.845652649805132 | 0.845652647763017 | 0.0004180770 | 0.204211539 | 0.000333511 |
| 0.8 | 0.875765871805900 | 0.875765869328421 | 0.0004621033 | 0.247747907 | 0.000374526 |
| 0.9 | 0.904740841203290 | 0.904740838229979 | 0.0005045226 | 0.297331129 | 0.000414048 |
| 1.0 | 0.932615954086819 | 0.932615950510128 | 0.0005453889 | 0.357669108 | 0.000452127 |
| t | FWCM for | RK4 | BWCM [13] for | AE of FWCM with RK4 | AE of BWCM with RK4 |
|---|---|---|---|---|---|
| 0 | 0.009999999999813 | 0.010000000000000 | 0.1000000000 | 0.187115947 | 0.090000000 |
| 0.1 | 0.009972928793781 | 0.009972928794027 | 0.0997093188 | 0.245964706 | 0.089736390 |
| 0.2 | 0.009946080046923 | 0.009946080047223 | 0.0994213779 | 0.300114100 | 0.089475297 |
| 0.3 | 0.009919447839684 | 0.009919447840034 | 0.0991361027 | 0.349460044 | 0.089216654 |
| 0.4 | 0.009893026447029 | 0.009893026447422 | 0.0988534211 | 0.393600083 | 0.088960394 |
| 0.5 | 0.009866810331946 | 0.009866810332378 | 0.0985732633 | 0.431705018 | 0.088706452 |
| 0.6 | 0.009840794139179 | 0.009840794139641 | 0.0982955618 | 0.462303806 | 0.088454767 |
| 0.7 | 0.009814972689155 | 0.009814972689638 | 0.0980202512 | 0.482952219 | 0.088205278 |
| 0.8 | 0.009789340972125 | 0.009789340972615 | 0.0977472682 | 0.489708967 | 0.087957927 |
| 0.9 | 0.009763894142498 | 0.009763894142974 | 0.0974765517 | 0.476415781 | 0.087712657 |
| 1.0 | 0.009738627513358 | 0.009738627513792 | 0.0972080425 | 0.433632296 | 0.087469414 |
Disclaimer/Publisher’s Note: The statements, opinions and data contained in all publications are solely those of the individual author(s) and contributor(s) and not of MDPI and/or the editor(s). MDPI and/or the editor(s) disclaim responsibility for any injury to people or property resulting from any ideas, methods, instructions or products referred to in the content. |
© 2024 by the authors. Licensee MDPI, Basel, Switzerland. This article is an open access article distributed under the terms and conditions of the Creative Commons Attribution (CC BY) license (https://creativecommons.org/licenses/by/4.0/).
Share and Cite
Kumar, A.; Khan, A.; Abdullah, A. Fibonacci Wavelet Collocation Method for Solving Dengue Fever SIR Model. Mathematics 2024, 12, 2565. https://doi.org/10.3390/math12162565
Kumar A, Khan A, Abdullah A. Fibonacci Wavelet Collocation Method for Solving Dengue Fever SIR Model. Mathematics. 2024; 12(16):2565. https://doi.org/10.3390/math12162565
Chicago/Turabian StyleKumar, Amit, Ayub Khan, and Abdullah Abdullah. 2024. "Fibonacci Wavelet Collocation Method for Solving Dengue Fever SIR Model" Mathematics 12, no. 16: 2565. https://doi.org/10.3390/math12162565
APA StyleKumar, A., Khan, A., & Abdullah, A. (2024). Fibonacci Wavelet Collocation Method for Solving Dengue Fever SIR Model. Mathematics, 12(16), 2565. https://doi.org/10.3390/math12162565

