An Intelligent Fault-Tolerant Control Method for a Flexible-Link Manipulator with an Uncertain Dead-Zone and Intermittent Actuator Faults
Abstract
1. Introduction
- (1)
- As opposed to the previous study [30], this study introduces a smooth dead-zone inverse dynamics model that effectively compensates for the input dead-zone effect in a flexible-link manipulator and reduces actuator chattering.
- (2)
- (3)
- The established control method can suppress the vibration of the controlled system without the need to simplify or discretize infinite-dimensional system dynamics, and the effectiveness of the proposed controller is verified through numerical simulation and experiment.
2. Problem Statement
2.1. Deadzone Characteristic Analysis
2.2. Intermittent Actuator Fault Model
2.3. Preliminaries
3. Control Design
3.1. Adaptive FTC
3.2. Stability Analysis
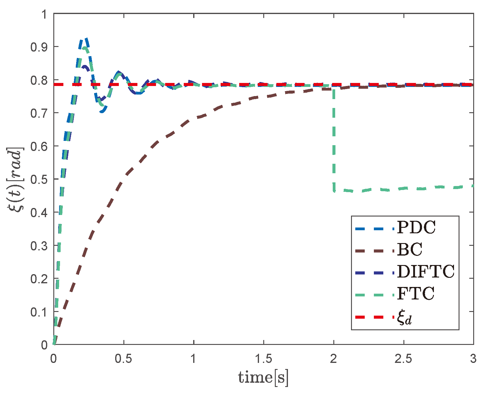
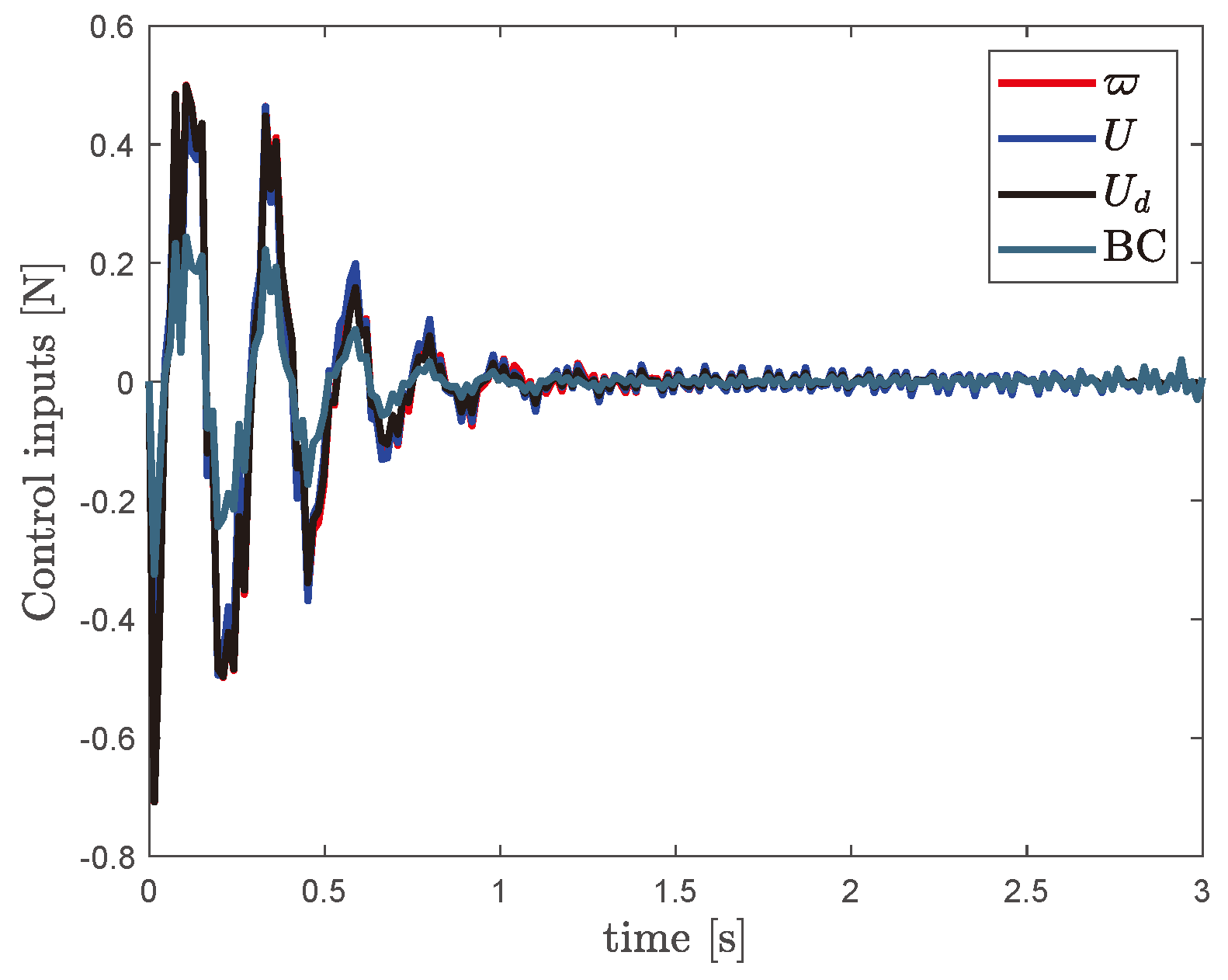
4. Numerical Simulation
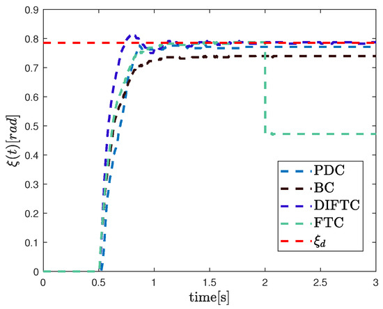
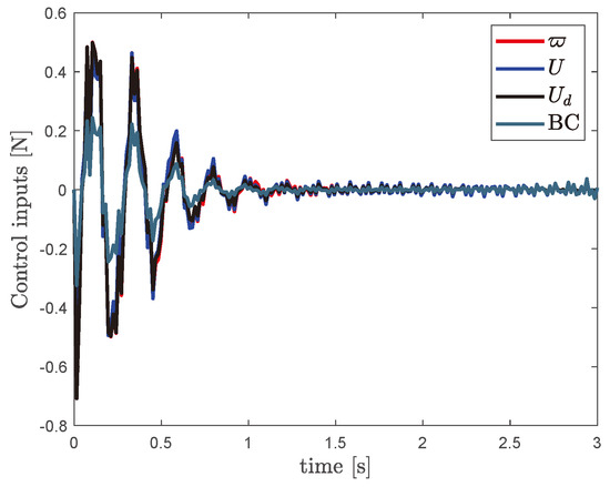
5. Experiment
6. Conclusions
Author Contributions
Funding
Data Availability Statement
Conflicts of Interest
Appendix A
Appendix B
References
- Liu, Y.; Guo, F.; He, X.; Hui, Q. Boundary control for an axially moving system with input restriction based on disturbance observers. IEEE Trans. Syst. Man Cybern. Syst. 2018, 49, 2242–2253. [Google Scholar] [CrossRef]
- Liu, Z.; He, X.; Zhao, Z.; Ahn, C.K.; Li, H. Vibration control for spatial aerial refueling hoses with bounded actuators. IEEE Trans. Ind. Electron. 2020, 68, 4209–4217. [Google Scholar] [CrossRef]
- Han, Z.; Liu, Z.; Meurer, T.; He, W. PDE-based control synthesis for a planar cable-driven continuum arm. Automatica 2024, 163, 111600. [Google Scholar] [CrossRef]
- Cao, L.; Liu, S. Vibration Suppression of an Input-Constrained Wind Turbine Blade System. Mathematics 2023, 11, 3946. [Google Scholar] [CrossRef]
- Viswanadhapalli, J.K.; Elumalai, V.K.; Shivram, S.; Shah, S.; Mahajan, D. Deep reinforcement learning with reward shaping for tracking control and vibration suppression of flexible link manipulator. Appl. Soft Comput. 2024, 152, 110756. [Google Scholar] [CrossRef]
- Zhao, Z.; Liu, Z.; He, W.; Hong, K.; Li, H. Boundary adaptive fault-tolerant control for a flexible Timoshenko arm with backlash-like hysteresis. Automatica 2021, 130, 109690. [Google Scholar] [CrossRef]
- Meng, Q.; Zhu, M.; Lai, X.; Wang, Y.; Wu, M. Iterative-Learning-Based Motion Planning and Position Control of a Single-Link Flexible Manipulator with Vibration Sensor Hysteresis. IEEE/ASME Trans. Mechatron. 2024; in press. [Google Scholar] [CrossRef]
- Liu, S.; Yang, H.; Liu, Z.; Langari, R.; Li, Y. Adaptive neural network independent joint-based control for an ODE-PDE rigid-flexible manipulator with multiple constraints. J. Vib. Control 2024, 30, 1647–1658. [Google Scholar] [CrossRef]
- Meng, T.; Zhang, S.; How, B.V.E.; Cui, X.; Li, Q. Observer-based nonlinear control for a flexible wing with non-collocated and unknown output constraints. J. Frankl. Inst. 2024, 361, 106639. [Google Scholar] [CrossRef]
- He, W.; He, X.; Ge, S.S. Vibration control of flexible marine riser systems with input saturation. IEEE/ASME Trans. Mechatron. 2015, 21, 254–265. [Google Scholar] [CrossRef]
- Feliu-Talegon, D.; Feliu-Batlle, V. Vibration control of very large and lightweight structures mounted on a four-legged platform. J. Vib. Control 2024, 30, 104–115. [Google Scholar] [CrossRef]
- Ordaz, P.; Rodríguez-Guerrero, L.; Ordaz-Oliver, M.; Sánchez, M. Three link flexible arm robust regulation via proportional retarded control scheme. Appl. Math. Model. 2024, 125, 778–797. [Google Scholar] [CrossRef]
- Liu, Y.; Yao, X.; Zhao, W. Distributed neural-based fault-tolerant control of multiple flexible manipulators with input saturations. Automatica 2023, 156, 111202. [Google Scholar] [CrossRef]
- Liu, Y.; Chen, X.; Mei, Y.; Wu, Y. Observer-based boundary control for an asymmetric output-constrained flexible robotic manipulator. Sci. China Inf. Sci. 2022, 65, 139203. [Google Scholar] [CrossRef]
- Shi, M.; Rong, B.; Liang, J.; Zhao, W.; Pan, H. Dynamics analysis and vibration suppression of a spatial rigid-flexible link manipulator based on transfer matrix method of multibody system. Nonlinear Dyn. 2023, 111, 1139–1159. [Google Scholar] [CrossRef]
- Liu, Y.; Zhan, W.; Xing, M.; Wu, Y.; Xu, R.; Wu, X. Boundary control of a rotating and length-varying flexible robotic manipulator system. IEEE Trans. Syst. Man Cybern. Syst. 2020, 52, 377–386. [Google Scholar] [CrossRef]
- Homaeinezhad, M.R.; Abbasi Gavari, M. Feedback control of actuation-constrained moving structure carrying Timoshenko beam. Int. J. Robust Nonlinear Control 2023, 33, 1785–1806. [Google Scholar] [CrossRef]
- Mei, C.; Guo, D.; Chen, G.; Cai, J.; Li, J. Event-triggered adaptive control for a class of nonlinear systems with dead-zone input. Electronics 2024, 13, 210. [Google Scholar] [CrossRef]
- Yan, Y.; Guan, D.; Jiang, T.; Yu, S.; Liu, Y. Event-triggered adaptive predefined-time sliding mode control of autonomous surface vessels with unknown dead zone and actuator faults. Ocean Eng. 2024, 304, 117851. [Google Scholar] [CrossRef]
- Wang, T.; Zhang, Q.; Fang, J.; Lai, Z.; Feng, R.; Wei, J. Active fault-tolerant control for the dual-valve hydraulic system with unknown dead-zone. ISA Trans. 2024, 145, 399–411. [Google Scholar] [CrossRef]
- Huang, Z.; Li, T.; Long, Y.; Yang, H.; Chen, C.L.P.; Liang, H. Improved prescribed performance control for nonlinear systems with unknown control direction and input dead-zone. Int. J. Robust Nonlinear Control 2024, 34, 4489–4508. [Google Scholar] [CrossRef]
- Kreiss, J.; Jungers, M.; Pierron, A.; Millérioux, G.; Dupont, J.; Martig, M. Control Design for Linear Systems with Asymmetric Input Backlash and Dead-Zone Through LMI Conditions. IEEE Control Syst. Lett. 2024, 8, 940–945. [Google Scholar] [CrossRef]
- Taware, A.; Tao, G.; Teolis, C. Design and analysis of a hybrid control scheme for sandwich nonsmooth nonlinear systems. IEEE Trans. Autom. Control 2002, 47, 145–150. [Google Scholar] [CrossRef]
- Zhou, J.; Wen, C.; Zhang, Y. Adaptive output control of nonlinear systems with uncertain dead-zone nonlinearity. IEEE Trans. Autom. Control 2006, 51, 504–511. [Google Scholar] [CrossRef]
- Yu, C. Adaptive Iterative Learning Constrained Control for Linear Motor-Driven Gantry Stage with Fault-Tolerant Non-Repetitive Trajectory Tracking. Mathematics 2024, 12, 1673. [Google Scholar] [CrossRef]
- Wu, R.; Yuan, Y.; Xiao, Y.; Luo, B.; Yin, X.; Xu, X.; Huang, T.; Gui, W. Event-triggered robust fault-tolerant control of a class of Euler–Bernoulli beam equations via sliding mode control. Nonlinear Dyn. 2024, 112, 5795–5810. [Google Scholar] [CrossRef]
- Zhao, Y.; Wang, H.; Xu, N.; Zong, G.; Zhao, X. Reinforcement learning-based decentralized fault tolerant control for constrained interconnected nonlinear systems. Chaos Solitons Fractals 2023, 167, 113034. [Google Scholar] [CrossRef]
- Ahmadi, K.; Asadi, D.; Merheb, A.; Nabavi-Chashmi, S.; Tutsoy, O. Active fault-tolerant control of quadrotor UAVs with nonlinear observer-based sliding mode control validated through hardware in the loop experiments. Control Eng. Pract. 2023, 137, 105557. [Google Scholar] [CrossRef]
- Jia, F.; Cao, F.; He, X. Active Fault-Tolerant Control Against Intermittent Faults for State-Constrained Nonlinear Systems. IEEE Trans. Syst. Man Cybern. Syst. 2024, 54, 2389–2401. [Google Scholar] [CrossRef]
- Zhou, L.; Wang, G.; Wan, M. Vibration control of a flexible marine riser system subject to input dead zone and extraneous disturbances. China Ocean Eng. 2024, 38, 271–284. [Google Scholar] [CrossRef]
- Zhao, Z.; Tan, Z.; Liu, Z.; Efe, M.; Ahn, C. Adaptive inverse compensation fault-tolerant control for a flexible manipulator with unknown dead-zone and actuator faults. IEEE Trans. Ind. Electron. 2023, 70, 12698–12707. [Google Scholar] [CrossRef]
- Zhao, Z.; Zhang, J.; Liu, Z.; Li, H.X.; Chen, C.L.P. Event-triggered adaptive neural fault-tolerant control for a 2-DOF helicopter system with prescribed performance. Automatica 2024, 162, 111511. [Google Scholar] [CrossRef]
- He, X.; Zhang, S.; Ouyang, Y.; Fu, Q. Vibration control for a flexible single-link manipulator and its application. IET Control. Theory Appl. 2020, 14, 930–938. [Google Scholar] [CrossRef]
- Zhao, Z.; Liu, Y.; Cai, S.; Li, Z.; Wang, Y.; Hong, K.S.; Li, H.X. Adaptive quantized control of flexible manipulators subject to unknown dead zones. IEEE Trans. Syst. Man Cybern. Syst. 2023, 53, 6438–6447. [Google Scholar] [CrossRef]
- Dong, S.; Zhang, Y.; Zhou, X.; Hao, L. Two-dimensional identification of time-varying batch nonlinear processes with input dead-zone nonlinearity. J. Control. Decis. 2024, 1–16. [Google Scholar] [CrossRef]
- Wu, W.; Li, Y.; Tong, S. Neural network output-feedback consensus fault-tolerant control for nonlinear multiagent systems with intermittent actuator faults. IEEE Trans. Neural Netw. Learn. Syst. 2021, 34, 4728–4740. [Google Scholar] [CrossRef]
- Liu, Z.; Han, Z.; He, W. Adaptive fault-tolerant boundary control of an autonomous aerial refueling hose system with prescribed constraints. IEEE Trans. Autom. Sci. Eng. 2021, 19, 2678–2688. [Google Scholar] [CrossRef]
- Wang, W.; Wen, C.; Huang, J.; Zhou, J. Adaptive consensus of uncertain nonlinear systems with event triggered communication and intermittent actuator faults. Automatica 2020, 111, 108667. [Google Scholar] [CrossRef]
- Zhao, Z.; Liu, Y.; Ma, G.; Hong, K.S.; Li, H.X. Adaptive fuzzy fault-tolerant control for a riser-vessel system with unknown backlash. IEEE Trans. Syst. Man Cybern. Syst. 2023, 53, 6598–6607. [Google Scholar] [CrossRef]
- Zhao, Z.; Liu, Y.; Zou, T.; Hong, K.S.; Li, H.X. Robust adaptive fault-tolerant control for a riser-vessel system with input hysteresis and time-varying output constraints. IEEE Trans. Cybern. 2022, 53, 3939–3950. [Google Scholar] [CrossRef]
- He, W.; Kang, F.; Kong, L.; Feng, Y.; Cheng, G.; Sun, C. Vibration control of a constrained two-link flexible robotic manipulator with fixed-time convergence. IEEE Trans. Cybern. 2021, 52, 5973–5983. [Google Scholar] [CrossRef] [PubMed]
- Ma, Y.; He, X.; Chen, M.; He, W. Predictor-based control for a flexible satellite subject to output time delay. IEEE Trans. Control Syst. Technol. 2021, 30, 1420–1432. [Google Scholar] [CrossRef]
- He, W.; Ouyang, Y.; Hong, J. Vibration control of a flexible robotic manipulator in the presence of input deadzone. IEEE Trans. Ind. Inform. 2016, 13, 48–59. [Google Scholar] [CrossRef]
- Liu, H.; Pan, Y.; Cao, J.; Wang, H.; Zhou, Y. Adaptive neural network backstepping control of fractional-order nonlinear systems with actuator faults. IEEE Trans. Neural Netw. Learn. Syst. 2020, 31, 5166–5177. [Google Scholar] [CrossRef]
- Tang, P.; Lin, D.; Zheng, D.; Fan, S.; Ye, J. Observer based finite-time fault tolerant quadrotor attitude control with actuator faults. Aerosp. Sci. Technol. 2020, 104, 105968. [Google Scholar] [CrossRef]













Disclaimer/Publisher’s Note: The statements, opinions and data contained in all publications are solely those of the individual author(s) and contributor(s) and not of MDPI and/or the editor(s). MDPI and/or the editor(s) disclaim responsibility for any injury to people or property resulting from any ideas, methods, instructions or products referred to in the content. |
© 2024 by the authors. Licensee MDPI, Basel, Switzerland. This article is an open access article distributed under the terms and conditions of the Creative Commons Attribution (CC BY) license (https://creativecommons.org/licenses/by/4.0/).
Share and Cite
Cao, L.; Liu, S.; Xu, L. An Intelligent Fault-Tolerant Control Method for a Flexible-Link Manipulator with an Uncertain Dead-Zone and Intermittent Actuator Faults. Mathematics 2024, 12, 2173. https://doi.org/10.3390/math12142173
Cao L, Liu S, Xu L. An Intelligent Fault-Tolerant Control Method for a Flexible-Link Manipulator with an Uncertain Dead-Zone and Intermittent Actuator Faults. Mathematics. 2024; 12(14):2173. https://doi.org/10.3390/math12142173
Chicago/Turabian StyleCao, Liang, Shuangyin Liu, and Longqin Xu. 2024. "An Intelligent Fault-Tolerant Control Method for a Flexible-Link Manipulator with an Uncertain Dead-Zone and Intermittent Actuator Faults" Mathematics 12, no. 14: 2173. https://doi.org/10.3390/math12142173
APA StyleCao, L., Liu, S., & Xu, L. (2024). An Intelligent Fault-Tolerant Control Method for a Flexible-Link Manipulator with an Uncertain Dead-Zone and Intermittent Actuator Faults. Mathematics, 12(14), 2173. https://doi.org/10.3390/math12142173
