Next Article in Journal
Modeling Risk Sharing and Impact on Systemic Risk
Previous Article in Journal
About the Subgradient Method for Equilibrium Problems
 
 
Font Type:
Arial Georgia Verdana
Font Size:
Aa Aa Aa
Line Spacing:
Column Width:
Background:
Article

Evolution of Tax Exemption Policy and Pricing Strategy Selection in a Competitive Market

School of Economics and Management, Nanjing University of Science and Technology, Nanjing 210094, China
*
Author to whom correspondence should be addressed.
Mathematics 2024, 12(13), 2082; https://doi.org/10.3390/math12132082
Submission received: 10 June 2024 / Revised: 28 June 2024 / Accepted: 30 June 2024 / Published: 2 July 2024

Abstract

The evolution of tax exemption policies and consumer preferences for low-carbon products affect firms’ optimal pricing strategy selection in a competitive duopoly market. In our study, we build a two-period pricing model to examine the pricing strategy choices between low-carbon and traditional firms. Low-carbon firms offer consumers greater value, improving their overall experience and satisfaction. Given the evolution of government policies from tax exemption to taxation for low-carbon products, we divide the changes in carbon tax into two periods. Since each firm can choose either the uniform pricing strategy (setting the same price in both periods) or the tiered pricing strategy (setting different prices for two periods), four scenarios may occur. Conventional wisdom suggests that a firm’s pricing increases should result in a reduction in consumer demand. Interestingly, our results show that as traditional firm raises prices, consumer demand for traditional products could increase simultaneously in the second period. In such a case, the low-carbon firm selects the uniform pricing strategy and the traditional firm chooses the tiered pricing strategy. Moreover, as tax exemption policies evolve in duopoly markets, the cancellation of the tax exemption policy may intensify competition between traditional and low-carbon firms under certain conditions. Furthermore, given one firm’s pricing strategy, our results show that the other firm could adopt either a uniform pricing strategy or a tiered pricing strategy, which depends on the low-carbon advantage and tax rate.

1. Introduction

To enhance independent innovation capability and promote the stable development of China’s automobile industry, the Chinese government adopts tax exemption policies for consumers purchasing new energy vehicles (NEVs policy) (https://www.gov.cn/zwgk/2009-03/20/content_1264324.html, accessed on 3 March 2024). The NEVs policy increases the popularity of new energy vehicles among consumers, accelerates the technological advancements in batteries, motors, and related components, and promotes the development of charging infrastructure. Despite the gradual reduction in tax exemptions in recent years, the market sales of new energy vehicles (NEVS) are experiencing explosive growth, indicating significant consumer demand for new energy vehicles (http://www.xinhuanet.com/fortune/2023-02/21/c_1129382110.htm, accessed on 3 March 2024). At the end of 2021, the Ministry of Finance and other departments announced that the 13-year tax exemption policy for new energy vehicles would be terminated by 31 December 2022 (https://www.gov.cn/zhengce/zhengceku/2021-12/31/content_5665857.htm, accessed on 3 March 2024). The policy signifies that consumers buying new energy vehicles have to pay more carbon tax. To support the development of the new energy vehicle industry, in June 2023, the Ministry of Finance, the State Taxation Administration, and other departments renewed and optimized matters related to the tax exemption policy for new energy vehicles until 31 December 2027 (https://www.gov.cn/zhengce/zhengceku/202306/content_6887734.htm, accessed on 3 March 2024).
Similarly, Western countries are tightening their policies on subsidies for new energy vehicles. For example, Germany originally plans to maintain its electric vehicle subsidy policy until the end of 2024. However, in December 2023, the German government declared that it would no longer accept new applications for electric vehicle purchase subsidies (https://www.reuters.com/business/autos-transportation/germany-end-e-vehicle-subsidy-programme-2023-12-16/, accessed on 23 April 2024). This suggests that Germany is on track to become a country that phases out subsidies for new energy vehicles. At the same time, the Inflation Reduction Act and recent guidance indicate that the U.S. government is narrowing the scope of its electric vehicle subsidies. The requirements for electric vehicles to qualify for subsidies through 2025 include stricter component specifications that exclude most electric vehicles in the U.S. market (https://www.reuters.com/business/autos-transportation/how-us-electric-vehicle-subsidy-rules-impact-europe-2023-03-30/, accessed on 23 April 2024). Overall, with the rapid increase in global electric vehicle sales, subsidies or tax exemptions for new energy vehicles may be phased out in certain countries. As carbon tax policies evolve, firms in the market must consider the choice of pricing strategies to maximize profits. Specifically, we divide the period before and after tax policy changes into two periods. Utilizing a two-period game theoretical model, we investigate the impact of carbon tax policy evolution and consumer preferences for low-carbon products on the pricing decisions of competitive firms. We consider two pricing strategies: a uniform pricing strategy and tiered pricing strategy. The former refers to the firm setting the same price in both periods; the latter refers to the firm setting different prices in each period.
In the rapidly evolving market, understanding the optimal pricing strategies for firms in competitive environments is crucial for decision makers. Pricing is a crucial strategy for firms in competitive markets. Tesla, a leading electric vehicle manufacturer, is introducing more incentives to boost demand for its electric vehicles. In early 2024, Tesla joined the price war on its best-selling electric vehicles, the Model 3 and Model Y, resulting in price reductions of several thousand USD (https://www.wsj.com/business/autos/tesla-rolls-out-more-china-discounts-as-price-war-with-byd-heats-up-ecdbba1c, accessed on 23 April 2024). Additionally, with government incentives, the starting price of the Model 3 is USD 300 less than that of the cheapest BMW 3 Series sedan. Similarly, Ford also lowered the price of its electric vehicle, the Mustang Mach-E (https://www.nytimes.com/2023/02/10/business/electric-vehicles-price-cost.html, accessed on 23 April 2024). In China’s largest auto market, a fierce price war is underway. In March of 2024, Volkswagen’s joint venture in China reduced the price of its ID.3 electric vehicle by 18%. Changan Automobile, a state-owned car manufacturer in China, provided incentives such as USD 3000 cash rebates and free charging credits for its electric vehicles. BYD, China’s largest electric vehicle manufacturer, conducted a second round of price cuts on some older models within a month (https://www.nytimes.com/2023/04/17/business/china-electric-vehicle-prices.html, accessed on 23 April 2024).
The above business practices demonstrate that competition between companies can diminish their potential market profits and impact their choice of pricing strategies. Although tiered pricing can potentially enhance a firm’s profits from consumers, it may also result in reduced profits for rival firms. This is because some consumers may switch to the firm offering a tiered pricing strategy, resulting in a loss of consumers for competitors. Thus, in the tradeoff process, each firm in a competitive environment must carefully consider a crucial tradeoff whether to adopt uniform pricing or tiered pricing. Recognizing that previous studies give limited attention to investigating the effects of tax exemption policy evolution on the equilibrium pricing strategies in the context of firm competition. To fill this gap, our study examines the impact of evolving tax exemption policies and consumer preferences for low-carbon products on pricing strategies within a duopoly market.
In our study, a two-period analytical model is to be developed. In the model, a low-carbon firm competes with a traditional firm to sell substitutable products in a duopoly market, and only one of them invests in low-carbon technology. Our study aims to explore the following research questions: (1) How does the tax exemption policy evolution affect firms’ optimal pricing strategies (uniform pricing or tiered pricing)? (2) How does a product’s low-carbon advantage affect a firm’s specific pricing under a uniform pricing strategy? (3) How does the equilibrium of a uniform pricing strategy compare to that of a tiered pricing strategy? To answer the above questions, we investigate how the evolution of carbon tax policies and consumer preferences for low-carbon products affect the pricing decisions of competitive firms in a duopoly market. We first derive the equilibrium results under four scenarios: (1) (U, U), both low-carbon and traditional firms set the same price over two periods; (2) (U, T), low-carbon firm selects uniform pricing, traditional firm adopts tiered pricing; (3) (T, U), low-carbon firm chooses tiered pricing, traditional firm adopts uniform pricing; and (4) (T, T), both firms select tiered pricing. In the case of adopting uniform pricing by the low-carbon or traditional firm, we compare the uniform pricing and tiered pricing strategies between low-carbon and traditional firms to discuss the optimal pricing selection. Similarly, in the scenario where a low-carbon or traditional firm adopts tiered pricing, we compare uniform pricing and tiered pricing strategies between low-carbon and traditional firms to discuss the optimal pricing selection choice.
Our core results and contributions are as follows. First, conventional wisdom suggests that an increase in the price of a firm’s products should lead to a reduction in demand. Interestingly, contrary to conventional wisdom, our results show that consumer demand increases for traditional products when traditional firms raise prices in the second period under the evolution of the carbon tax policy. Second, our results demonstrate that removing the tax exemption policy can escalate competition among firms under specific circumstances. Third, given one firm’s pricing strategy, our results show that the equilibrium strategy for the other player can be either a uniform pricing or a tiered pricing strategy, neither of which is strictly dominant. Finally, our study enriches the research on firms’ pricing selection by considering the carbon tax policy and consumers’ low-carbon preferences. Although some previous studies have focused on the impact of carbon policies on firms’ pricing decisions, to our knowledge, the literature on the design of optimal government carbon policies mainly concentrates on one carbon policy or a comparison of different policies. Our study is the first to consider the influence of the evolving process of carbon tax policy on firms’ pricing selection. The practical implications of our results are significant. As governments worldwide reconsider tax exemption policies for low-carbon products, our study provides critical insights into how these changes impact firms’ pricing strategies. By examining the competitive interactions between low-carbon and traditional firms, we offer guidance on how businesses can adjust their pricing models to maintain profitability and market share. Our study highlights that the removal of tax exemptions can intensify competition and shift consumer demand patterns, suggesting that firms must be agile in their strategic planning to navigate these regulatory changes effectively.
The remainder of this paper is organized as follows. The previous literature is reviewed in Section 2, and the model setting is introduced in Section 3. In Section 4, we provide the pricing strategy selection under four scenarios: (U, U), (U, T), (T, U), and (T, T), respectively. We compare different scenarios to discuss equilibrium pricing strategies in Section 5. Finally, Section 6 provides the conclusion.

2. Literature Review

Our study is closely related to three streams of literature: (i) operation strategies under carbon emission regulation, (ii) pricing strategies, and (iii) competing markets.

2.1. Operation Strategies under Carbon Emission Regulation

Numerous scholars study the impact of carbon abatement policies on the operations decisions at the firm level. Existing research considers various carbon emission regulations, including carbon tax policies, subsidies, cap-and-trade policies, etc. For example, Under carbon offsetting, the authors of ref. [1] examine the strategic choices a firm makes to reduce its carbon footprint. They find that when the firm chooses to reduce emissions internally rather than purchase carbon offsets, consumers show a clear preference and willingness to pay for the company’s carbon footprint reduction, especially among eco-conscious consumers. Moreover, combining environmental policies such as taxes, subsidies, and rebates enables regulators to consistently maximize welfare, especially when optimal green technology aligns with centralized solutions. By combining cap-and-trade and tax policy, the authors of ref. [2] examine the influence of carbon emissions trading and carbon tax policies on manufacturers’ decisions regarding production and inventory management. They find that an increase in carbon prices contributes to augmenting the overall profits of manufacturers. Similarly, the authors of ref. [3] study the impact of environmental taxes and subsidies on a supply chain. They find that the subsidy policy gives manufacturers a greater incentive to reduce pollution and leads to higher profits for both manufacturer and retailers. The authors of ref. [4] examine the effects of emission tax and mandatory emission capacity regulations on a manufacturer’s production choices facing stochastic demand. Moreover, the authors of ref. [5] examine a firm’s investment and production decisions related to technology under cap-and-trade and carbon tax policies. They find that firms prioritize increased technology investment over production flexibility when there is a positive correlation between the sales and permit trading market. Under regulatory policies such as carbon tax, carbon offset, and carbon cap-and-trade, the authors of ref. [6] investigate emissions reduction strategies for manufacturers in the production, transportation, storage, and disposal of deteriorating products. They find that the carbon cap-and-trade policy is the most effective among the strategies aimed at reducing carbon footprint. Compared with other carbon policies, carbon tax has unique advantages, such as low cost and flexible implementation. Many countries, for example, the United States (http://articles.latimes.com/2013/jun/05/autos/la-fi-hy-autos-electric-cars-sold-out-20130605, accessed on 23 April 2024), the United Kingdom, and Colombia (http://www.fin.gov.bc.ca/tbs/tp/climate/carbon_tax.htm, accessed on 23 April 2024) implement carbon taxes as strategies to mitigate carbon emissions. In recent years, numerous scholars have studied the necessity and feasibility of carbon tax policies for enterprises’ carbon abatement operations [7,8,9,10]. The authors of ref. [11] investigate the pricing strategy and production policies of two competing firms under the carbon tax. They find that when a firm incurs a higher carbon emissions tax, the firm gains a higher carbon emissions reduction compared to the competing firm. Through data envelopment analysis, ref. [12] examine the optimal pricing strategy of two competing firms under carbon tax. Divided into two periods with two tax prices, the authors of [13] explore manufacturers’ manufacturing and remanufacturing decisions under carbon tax regulation. Considering consumer environmental awareness, the authors of ref. [8] investigate the joint pricing strategy of two competing manufacturers based on the carbon tax policy. The authors of ref. [14] focus on two competing firms under the carbon tax and study the optimal carbon abatement investments. They demonstrate that in a duopoly market, the corresponding greenness level increases in the environmental tax rate when the buyer’s market share is large. More recently, the authors of ref. [4,15] examined the impact of carbon tax policy on investment in abatement and corporate profits.
However, the above studies consider a one-period model and carbon tax is represented by a fixed parameter. Different from the research, we examine the evolution of carbon tax policies in a duopoly market, dividing the changes in carbon tax into two periods. Our paper is the first to consider the influence of the evolution of carbon tax policies on the pricing choices of competitive firms.

2.2. Pricing Strategies

The second stream of literature related to our study concerns pricing strategies. The authors of ref. [16] explore the pricing and production decisions in a make-to-order supply chain and find that cap-and-trade regulation may not induce the production of low-carbon products. The authors of ref. [17] investigate the impact of pricing policies, specifically flat pricing and peak pricing, on firms’ investment levels in renewable and traditional energy sources, revealing that flat pricing can significantly reduce carbon emissions. The authors of ref. [18] examine how regulators design pricing strategies to stimulate market demand for low-carbon products (i.e., electric vehicles). Moreover, the authors of ref. [19] examine pricing strategies for sharing platform and find that bargaining pricing strategy is not always optimal, particularly contingent upon varying levels of service quality. Many scholars focus on the perspective of dynamic pricing. Under carbon tax, the authors of ref. [20] investigate dynamic pricing decisions among multiple raw material suppliers in supply chain. They observe that increasing the number of cooperative suppliers can be advantageous for manufacturer. The authors of ref. [21] examine the impact of dynamic pricing on renewable energy investments. More recently, considering the consumers’ low-carbon preferences, the authors of ref. [22] study how to set offset pricing by a nongovernmental organization. They find that premium pricing strategies may be more effective in promoting low-carbon products, especially if eco-conscious consumers value the products more highly on average. Similarly, the authors of ref. [5] examine the impact of carbon tax pricing on firm technological investment and production decisions. They find that when there is a moderate positive correlation between the sales market and the permit trading market, carbon tax policy stimulates greater technological investment and lower carbon emissions. Furthermore, the authors of ref. [23] study the optimal pricing by considering cap-and-trade regulation, the analysis shows that the ability of cap-and-trade to improve low-carbon supply chain performance depends on the trade price. The authors of ref. [24] investigate the impact of consumer environmental awareness on firm pricing decisions and channel profits, revealing that in the retailer-Stakelberg game scenario, total channel profits exceed those of the manufacturer-Stakelberg (MS) game scenario. From the perspective of environmentally friendly product development, the MS model is not suitable. Based on consumer preferences for low-carbon options, the authors of ref. [25] examine the issues of carbon emission reduction and dynamic pricing within the traditional automotive supply chain. They find that marketing cost-sharing contracts increase investment in carbon consumption abatement.
By contrast, in our study, we investigate how two competing firms select their pricing strategies across two periods, before and after the evolution of carbon tax policies. Specifically, we categorize the pricing scenarios as follows: When a low-carbon firm sets the same price in both periods and a traditional firm does the same, the situation is represented as (U, U) or (T, T). Conversely, when a low-carbon firm sets different prices in each period and a traditional firm also does the same, the situation is denoted as (U, T) or (T, U).

2.3. Competing Markets

Our study also contributes to the growing literature on operations decisions in competitive markets [26,27,28,29,30]. Many studies focus on the firms’ operational decisions between vertically differentiated firms ([31,32,33]) and competition in the supply chain ([34,35,36]). For example, the authors of ref. [31] examine the optimal strategies of rival firms in a duopoly market and find that competition strategy can have a positive economic impact. The authors of ref. [35] examine the influence of horizontal competition between manufacturers and vertical competition between manufacturers and retailers on the accumulation of pollution over time in two supply chains. They find that, compared to vertical integration, horizontal competition led to higher pollution intensity but lower intensity of abatement efforts. The authors of ref. [36] develop a multi-period supply chain to study competing firms’ strategic decisions regarding sustainable operations and product flows. The authors of ref. [33] investigate how competing firms adopt carbon abatement technologies when facing a potentially stricter regulation. They find that competing firms may collude not to adopt abatement technology to defend against stricter regulations and maximize their profits. In the last few decades, many scholars have focused on the impact of the government’s low-carbon regulation on competing markets. Under the cap-and-trade policy, ref. [37] examine the pricing and emissions reduction policies of two competing manufacturers with varying levels of emission reduction efficiency. Ref. [38] examine the impact of mandatory environmental regulation on low-carbon production in competing firms, the analysis shows that regulators should intervene when both less and more credible firms are not credible enough. Also under the cap-and-trade regulation, the authors of ref. [8] study two differentiated firms’ pricing and carbon reduction rates. Furthermore, the authors of ref. [39] examine how environmental and price competition among retailers affects a product’s environmental performance. They find that competition may result in retailers not offering low-carbon products if price differentiation affects switchovers (consumers switching from one retailer’s product to another retailer’s product). Also, the authors of ref. [32] explore the impact of stricter government regulations on firms’ incentives to develop or adopt new green technologies. They find that considering an industry’s voluntary adoption level can more effectively promote the development of new environmental technology. More recently, the authors of ref. [40] explore the potential impacts of mergers among low-carbon manufacturers on prices and carbon emissions within the context of cap-and-trade policy, and the results show that find that the postmerger manufacturer could result in lower prices but increased carbon emissions. The authors of ref. [41] examine the competition and coordination that drive conventional and organic markets and their implications for the organic agricultural supply chain. They find that when members of the supply chain move towards coordination, consumer surplus and social welfare are improved. The authors of ref. [30] build a model of price and low-carbon competition for two competing firms. The result shows that manufacturers tend to increase their carbon reduction rate when the government increases the unit carbon quota. In contrast to the prior work, our study examines the evolution of carbon tax policies, from tax exemption to taxation for low-carbon products, and their impact on pricing decisions of competitive firms for two periods.

3. Model Setting

In our study, we consider a two-period duopoly market in which a low-carbon firm (denoted firm A) and a traditional firm (denoted firm B) compete by selecting pricing strategies. Both firms offer a substitutable product with a base value of v to consumers. Each firm decides between a uniform pricing strategy and a tiered pricing strategy as part of the competitive game. We assume that v is sufficiently large so that each consumer purchases at least one unit of products, resulting in complete market coverage in each period. The uniform pricing strategy refers to the firm i ( i A , B ) setting the same price during two periods. By contrast, the tiered pricing strategy refers to the firm i setting the different prices over two periods. Furthermore, as consumers’ environmental awareness increases, environmentally friendly products are becoming more favored [42]. Additionally, consumers are willing to pay a premium for these products [43,44]. To describe the characteristics of environmentally friendly products, we define parameter γ representing the low-carbon advantage, which indicates the additional utility that consumers gain from purchasing low-carbon products. Consequently, when consumers purchase products from low-carbon firm A, they obtain an increase in utility of γ . However, low-carbon production requires significant investment compared to traditional production [45,46], and the market demand for low-carbon products has substantial uncertainty, so relying solely on the market’s “invisible hand” is insufficient. Therefore, tangible “government intervention” is needed. From the practices of various countries around the world, the tax exemption policy is constantly innovated to encourage consumers to purchase low-carbon products [47]. Tax exemption policy directly benefits consumers by reducing the price of low-carbon products, such as the Chinese government exempts consumers who purchase new energy vehicles from vehicle purchase tax (https://www.gov.cn/zhengce/zhengceku/2021-12/31/content_5665857.htm, accessed on 23 April 2024). We divide the period before and after the change in tax exemption policy into two cycles and denote δ as the tax rate. In our paper, we assume that all participants are rational actors. Without the loss of generality, we normalize the market to 1 in each period.
Following the work conducted by [48,49], we use the Hotelling model to characterize firm differentiation. Consumers are uniformly distributed over a Hotelling line from 0 to 1, with the total number normalized to 1 in each period. Furthermore, low-carbon firm A and traditional firm B are positioned at the left end ( x = 0 ) and right end ( x = 1 ), respectively. A consumer located at x yields t x when purchasing from firm A and disutility t ( 1 x ) when purchasing from firm B, where t indicates the degree of firm differentiation. Furthermore, each consumer can purchase at most one unit of the products. We build a two-period model to depict the pricing strategy selection of firms A and B over two periods. We define p i ( j ) to denote the price set by firm i ( i A , B ) in period j ( j 1 , 2 ). In the first period, the production costs of the low-carbon and traditional firms are c A and c B , respectively. As the technical level of new energy vehicle manufacturers improves, accompanied by reductions in raw material costs, and increases in supply, the second-period production is anticipated to yield economies of scale. This phenomenon implies a relative decrease in the unit production costs of new energy vehicles compared to the first period. We assume that in the second period, the unit production cost of the low-carbon firm is λ c A ( λ ( 0 , 1 ) ) [50]. For example, during the product design and recycling processes, Canon’s continuous advancements in eco-friendly technologies reduce operational costs and ultimately ensure a stable supply of low-carbon products. For traditional firm B, the technology for manufacturing fuel vehicles is mature and stable. The change in unit production cost of the second period relative to the first period is insignificant, which remains c B .
In the first period, low-carbon firm A and traditional firm B simultaneously and independently set prices under the tax exemption policy. Consumers receive tax exemptions when purchasing low-carbon products, but do not get tax-free benefits when purchasing traditional products. Formally, when the low-carbon firm sets the price p A ( 1 ) , the perceived price (i.e., after-tax price) to the consumer is also p A ( 1 ) . By contrast, when the traditional firm sets the price p B ( 1 ) , the after-tax price to the consumer is ( 1 + δ ) p B ( 1 ) , where δ represents the tax rate. Following [48], the utility functions of purchasing from low-carbon firm A and traditional firm B are
u A ( 1 ) = v t x p A ( 1 ) + γ ,
u B ( 1 ) = v t ( 1 x ) ( 1 + δ ) p B ( 1 ) ,
where parameter γ indicates the incremental utility consumers derive from buying low-carbon products, reflecting the low-carbon advantage of low-carbon products, and γ > 0 . The price p i ( j ) denotes the price of firm i A , B in period j 1 , 2 . Based on u A = u B , we obtain the location of the indifferent consumer as x ¯ ( 1 ) = t + γ p A ( 1 ) + ( 1 + δ ) p B ( 1 ) 2 t in the first period. That is consumers located at 0 < x < x ¯ ( 1 ) purchase low-carbon products from firm A, while those located at x ¯ ( 1 ) < x < 1 purchase traditional products from firm B. Therefore, the demand functions of firms A and B in the first period are
D A ( 1 ) = t + γ p A ( 1 ) + ( 1 + δ ) p B ( 1 ) 2 t ,
D B ( 1 ) = t γ + p A ( 1 ) ( 1 + δ ) p B ( 1 ) 2 t .
To ensure a duopoly market, we consider the condition c A ( c B 1 , c B 2 ) . It indicates that in order for the low-carbon firm to remain competitive, its production costs should fall within a certain range comparable to those of the traditional firm. The specific magnitudes of c B 1 and c B 2 are detailed in the appendix. With the popularization and widespread adoption of low-carbon products, the government could cancel the tax exemption policy for purchasing low-carbon products. In the absence of the tax exemption policy, when the low-carbon and traditional firms set the price p A ( 2 ) and p B ( 2 ) , the corresponding perceived price (i.e., after-tax price) to the consumer are ( 1 + δ ) p A ( 2 ) and ( 1 + δ ) p B ( 2 ) , where δ represents the tax rate. Thus, the utility functions in the second period are defined as
u A ( 2 ) = v t x ( 1 + δ ) p A ( 2 ) + γ ,
u B ( 2 ) = v t ( 1 x ) ( 1 + δ ) p B ( 2 ) .
Similarly, the indifferent position purchases products from firms A and B in the second stage, denoted as x ¯ ( 2 ) = t + γ ( 1 + δ ) p A ( 2 ) + ( 1 + δ ) p B ( 2 ) 2 t . Namely, consumers purchase products from low-carbon firm A when 0 < x < x ¯ ( 2 ) and from firm B when x ¯ ( 2 ) < x < 1 . Accordingly, the demand functions of firms A and B in the second period are
D A ( 2 ) = t + γ ( 1 + δ ) p A ( 2 ) + ( 1 + δ ) p B ( 2 ) 2 t ,
D B ( 2 ) = t γ + ( 1 + δ ) p A ( 2 ) ( 1 + δ ) p B ( 2 ) 2 t .
From carbon tax policy evolution and consumers’ low-carbon preferences, Equations (3), (4), (7), and (8) exhibit some interesting characteristics. First, the sensitivity of low-carbon firm A and traditional firm B to the evolution of carbon tax policy is consistent. Based on Equations (3), (4), (7), and (8), we have D i ( 2 ) δ D i ( 1 ) δ = p A ( 2 ) p B ( 2 ) p B ( 1 ) 2 t ( i A , B ). Interestingly, consumer demands are sensitive to the evolution of carbon tax policy for both low-carbon and traditional firms. This is because inter-firm competition effectively mitigates the impact of policy evolution on consumer demand over two periods. Furthermore, we have D i ( 2 ) γ = D i ( 1 ) γ , indicating that low-carbon advantage is not magnified by external carbon policy evolution over two periods. In other words, compared to the first period, both low-carbon firm A and traditional firm B do not show more low-carbon advantage in the second period. If firms set the same price for the two periods (i.e., p A ( 1 ) = p A ( 2 ) , and p B ( 1 ) = p B ( 2 ) ), consumer demand of low-carbon firm A decreases and that of firm B increases from the first period to the second period. This outcome is intuitive. Once the government levies carbon taxes on low-carbon firm A, some consumers shift to purchasing products from firm B, increasing demand for firm B and decreasing demand for firm A.
Each firm independently sets the price and selects uniform pricing or tiered pricing in each period, denoted as p i ( j ) . Low-carbon firm A incurs costs of c A in the first period and λ c A in the second period. Traditional firm B’s cost is constant over two periods and denotes c B . Thus, in the first period, firm A’s and B’s profits are π A ( 1 ) = ( p A ( 1 ) c A ) D A ( 1 ) and π B ( 1 ) = ( p B ( 1 ) c B ) D B ( 1 ) . In the second period, firm A’s and B’s profits are π A ( 2 ) = ( p A ( 2 ) λ c A ) D A ( 2 ) and π B ( 2 ) = ( p B ( 2 ) c B ) D B ( 2 ) . As a rational player, traditional firm A aims to maximize its expected profits over two periods by setting the price p A ( j ) at the beginning of the first period:
π A = ( p A ( 1 ) c A ) D A ( 1 ) + ( p A ( 2 ) λ c A ) D A ( 2 ) .
Then, at the beginning of the second period, firm A sets the price to maximize its expected profits:
π A ( 2 ) = ( p A ( 2 ) λ c A ) D A 2 .
Similarly, at the beginning of the first period and second period, the profit functions of firm B are
π B = ( p B ( 1 ) c B ) D B ( 1 ) + ( p B ( 2 ) c B ) D B ( 2 ) ,
π B ( 2 ) = ( p B ( 2 ) c B ) D B ( 2 ) .
Four scenarios occur based on the pricing strategy selection of firm i: (U, U), (U, T), (T, U), (T, T). In particular, (1) Both low-carbon firm A and traditional firm B set the same price over two periods, denoted as (U, U); (2) Firm A maintains a consistent price across the first and second periods while firm B employs differing prices in each period, represented as (U, T); (3) Firm A sets the different prices in two periods while firm B keeps its price constant within each period, denoted as (T, U); (4) Both firms A and B set the different prices in the first and second periods, indicated as (T, T). For ease of reference, the notation is summarized in Table 1.

4. Pricing Strategy Selection in Four Scenarios

In this section, we derive and analyze how pricing strategy selection affects the firms’ equilibrium results under four scenarios: (U, U), (U, T), (T, U), (T, T). We use backward induction to solve the equilibrium solutions of the game for all scenarios.

4.1. Scenario (U, U)

In scenario (U, U), low-carbon firm A and traditional firm B independently and simultaneously set their respective uniform prices p A and p B at the beginning of the first period. The sequence of this case is as follows. In the first period, given a tax exemption policy for low-carbon products offered by the government, firms A and B simultaneously set prices p A and p B in a duopoly market. In the second period, the government cancels the tax exemption policy. In scenario (U, U), since both firms A and B adopt the uniform pricing strategy, they simultaneously decide prices p A and p B in the second period, consistent with the first-period prices. For brevity, we define Δ D A = D A ( 2 ) D A ( 1 ) and Δ D B = D B ( 2 ) D B ( 1 ) . Employing backward induction, we conclude the equilibrium outcomes summarized in Proposition 1.
Proposition 1.
In scenario (U, U), the equilibrium prices, demands, and profits of firms are shown in Table 2. Moreover, we obtain
  • (1) We have D A U U ( 2 ) < D A U U ( 1 ) , and D B U U ( 2 ) > D B U U ( 1 ) .
  • (2) We have p A U U γ > 0 , D A U U ( 1 ) γ > 0 , D A U U ( 2 ) γ > 0 , p B U U γ < 0 , D B U U ( 1 ) γ < 0 , D B U U ( 2 ) γ < 0 , π A U U γ > 0 , and π B U U γ < 0 if c A ( δ ( λ 3 ) + 2 ( 1 + λ ) ) 4 ( 1 + δ ) c B 3 t < γ < c A ( 1 + δ + λ δ ) + 2 ( 1 + λ ) 2 ( 1 + δ ) c B + 3 t .
  • (3) We have Δ D A U U δ < 0 , Δ D B U U δ > 0 , and p B U U δ > 0 if γ < 3 t .
Proposition 1 indicates that as the level of low-carbon advantage increases, the price of the low-carbon product rises (i.e., p A U U γ > 0 ). Conversely, m, the price of the traditional product, decreases as the low-carbon advantage increases (i.e., p B U U γ < 0 ). The reason is as follows. With the increasing low-carbon advantage, more consumers are willing to purchase products from the low-carbon firm ( D A U U ( 1 ) γ > 0 , D A U U ( 2 ) γ > 0 ), and the growing demand for low-carbon products directly increases the prices of low-carbon products. Therefore, in the second period, a proportion of consumers prefer to buy low-carbon products compared to the first period. In contrast to the first period, the market share of the low-carbon firm in the second period continues to increase (i.e., D A U U ( 2 ) < D A U U ( 1 ) ), while that of the traditional firm is decreasing (i.e., D B U U ( 2 ) > D B U U ( 1 ) ). Interestingly, we find that traditional firm tends to set higher prices as the tax rate increases under certain conditions. The emergence of this interesting result could be attributed to the price competition effect. As the competitor (i.e., low-carbon firm) raises the price, the traditional firm can also raise prices despite its disadvantaged position under certain conditions. Moreover, we observe that the demand for the low-carbon firm decreases over two periods in response to an increase in the tax rate ( δ ), namely, Δ D A U U δ < 0 . Conversely, the two-period demand for traditional firms experiences an increase with a rise in the tax rate (i.e., Δ D B U U δ < 0 ) increases.
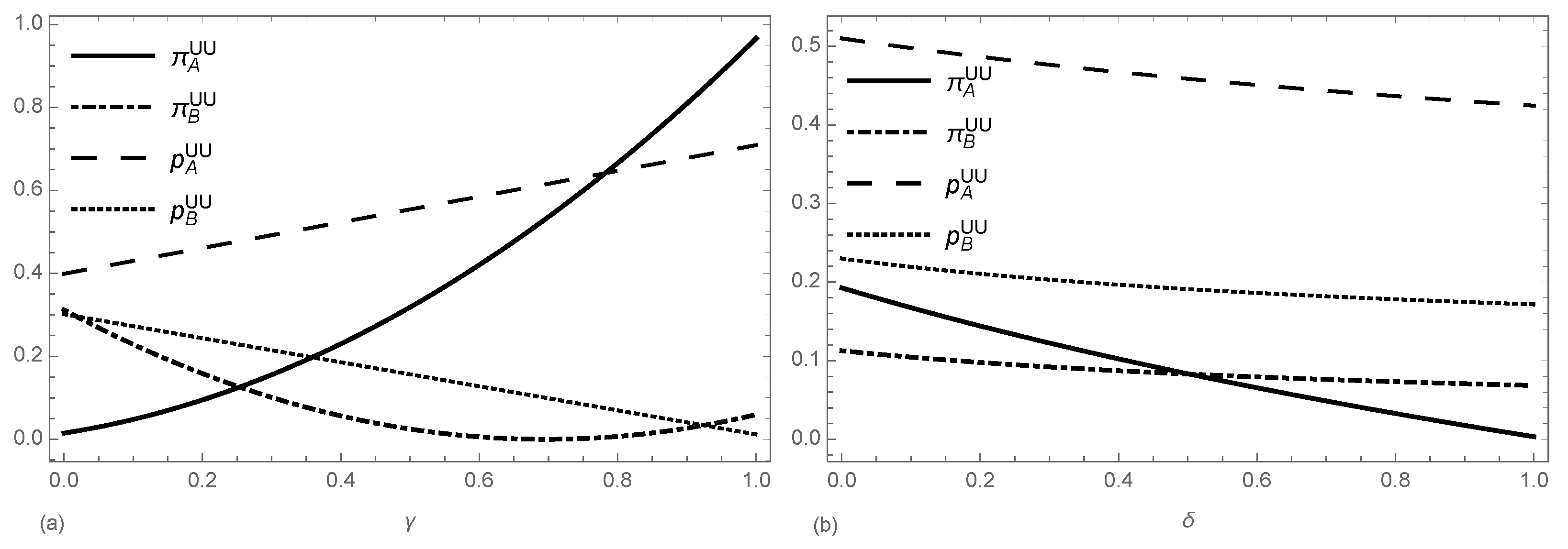
Furthermore, Proposition 1 illustrates that the low-carbon advantage benefits the low-carbon firm, while negatively affecting the traditional firm under certain conditions. It implies that the traditional firm could benefit from the competitor’s advantage. We use two concrete examples, drawn in Figure 1 (with t = 3 20 , λ = 7 10 , c A = 2 5 , c B = 1 10 , and δ = 3 20 in Figure 1a; with t = 3 20 , λ = 7 10 , c A = 2 5 , c B = 1 10 , and γ = 3 10 in Figure 1b, to visually see the effect of the low-carbon advantage ( γ ) and tax rate ( δ ) on the equilibrium results. Figure 1a visually demonstrates that the profit of firm A rapidly increases as its low-carbon advantage increases. By contrast, the profit of the traditional firm decreases initially and then increases as the low-carbon advantage of the competitor increases. This is mainly because the price gap (i.e., p A U U p B U U ) widens as γ increases, leading to a rapid increase in demand from firm B. Ultimately, the incremental profit brought by demand can offset the decrease in marginal profit when the price gap is large. Furthermore, Figure 1b illustrates that, given this case, the equilibrium results decrease as the tax rate increases. Moreover, we also find that the marginal impact of the tax rate on the low-carbon firm A is greater than that on the traditional firm B. Our theoretical findings provide some practice applications in the automobile industry. Considering the scenario that a low-carbon electric vehicle (EV) manufacturer competes with a traditional internal combustion engine (ICE) vehicle manufacturer. As EV technology advances and becomes more cost-effective (increasing γ ), consumers prefer EVs over ICE vehicles. This shift increases the prices of EVs due to higher demand and decreases the prices of ICE vehicles as their demand falls. Traditional car manufacturers might need to adopt aggressive pricing strategies or diversify into the EV market to remain competitive.

4.2. Scenario (U, T)

In scenario (U, T), low-carbon firm A chooses the uniform pricing strategy. Meanwhile, traditional firm B adopts the tiered pricing strategy. The sequence is as follows. At the beginning of the first period, given a tax exemption policy for low-carbon products, firms A and B concurrently determine prices p A and p B ( 1 ) to compete with each other. At the beginning of the second period, the tax exemption policy has been canceled by the government, resulting in the taxation of consumers purchasing low-carbon products. Based upon the demand D A ( 1 ) and D B ( 2 ) , firms A and B simultaneously decide prices p A and p B ( 2 ) . Employing backward induction, we conclude the equilibrium outcomes summarized in Proposition 2.
Proposition 2.
In scenario (U, T), the equilibrium prices, demands, and profits of firms are shown in Table 3. Furthermore, the properties obtained from the equilibrium results are as follows:
  • (1) We have p B U T ( 2 ) > p B U T ( 1 ) , and D B U T ( 2 ) > D B U T ( 1 ) .
  • (2) We have p A U T γ > 0 , D A U T ( 1 ) γ > 0 , D A U T ( 2 ) γ > 0 ; p B U T ( 1 ) γ < 0 , p B U T ( 2 ) γ < 0 , D B U T ( 1 ) γ < 0 , and D B U T ( 2 ) γ < 0 .
  • (3) We have Δ D A U T δ < 0 , and Δ D B U T δ > 0 .
Intuitively, as a firm increases its price, consumer demand for its products is expected to decrease. Interestingly, Proposition 2 shows that when the tax exemption policy has been canceled by the government, the traditional products from firm B experience a price increase in the second period, yet demand for these products rises. The main reason for this outcome can be attributed to the impact of changes in carbon tax policy. When the tax exemption policy has been canceled, the perceived price (i.e., after-tax price) for consumers purchasing low-carbon products increases from p A U T to ( 1 + α ) p A U T , where ( 1 + α ) p A U T represents the after-tax price following the price hike in the second period. The increase in the price of low-carbon products leads to a decrease in demand for these products. Following the increase in after-tax price, some rational consumers shift their purchases to traditional products, thereby increasing demand for traditional products. In the second period, the price increase of traditional products might normally lead to decreased demand for these products. However, the indirect rise in demand for traditional products, driven by the after-tax price hike of low-carbon products, is significant enough to offset the decrease in demand caused by the price increase. Consequently, despite price increases in the second period, demand for traditional products continues to grow.
We now analyze the low-carbon advantage ( γ ) and tax rate ( δ ) on the equilibrium prices and demands. When low-carbon advantage grows, we have the following outcomes: (1) low-carbon firm A raises its price, while traditional firm B lowers prices within each period; (2) low-carbon firm A gains a higher market share and traditional firm B has a lower market share in two periods. Moreover, as the government shifts from tax exemption to taxation, the demand for low-carbon firm A in the second period decreases compared to the first period ( Δ D A U T δ < 0 ), while that of traditional firm B increases ( Δ D B U T δ > 0 ) as the tax rate becomes stronger ( δ increases).
Corollary 1.
In scenario (U, T), an increase in product price for the traditional firm could lead to an increase in demand during the second period.
Corollary 1 shows that when the government changes its policy from tax exemption to taxation on low-carbon products, the price of traditional products increases, and demand for them paradoxically increases. Conventional wisdom suggests that as firm raises their prices, consumer demand for their products tends to decrease. However, contrary to conventional wisdom, we find that an increase in product price for the traditional firm could lead to an increase in demand in the second period. We offer the following explanation for this intriguing finding. When the government removes tax exemptions on low-carbon products, the resulting reduction in product differentiation from low-carbon investment stimulates a significant increase in demand for traditional products. The positive effect of increased product demand due to the elimination of tax exemptions can offset the reduction in demand caused by higher prices. Consequently, as tax exemption policies evolve into non-exempt status, the rise in prices for traditional products can enhance consumer demand.

4.3. Scenario (T, U)

In scenario (T, U), a low-carbon firm A selects the tiered pricing strategy over two periods. Simultaneously, the traditional firm B chooses the uniform pricing strategy for both periods. The sequence is as follows. At the beginning of the first period, given a tax exemption policy for low-carbon products, the low-carbon and traditional firms simultaneously set prices p A ( 1 ) and p B in a duopoly market. At the beginning of the second period, the government cancels the tax exemption policy, resulting in the taxation of consumers buying low-carbon products. Based upon the demand D A ( 2 ) and D B ( 2 ) , firms A and B simultaneously decide prices p A ( 2 ) and p B . We know that Δ D A = D A ( 2 ) D A ( 1 ) and Δ D B = D B ( 2 ) D B ( 1 ) . Under backward induction, we summarize the equilibrium outcomes in Proposition 3.
Proposition 3.
In scenario (T, U), the equilibrium prices, demands, and profits of firms are shown in Table 4. Furthermore, the properties obtained from the equilibrium results are as follows:
  • (1) We have Δ D A T U = Δ D B T U , and Δ D A T U = Δ D B T U .
  • (2) We have p A T U ( 1 ) γ > 0 , p A T U ( 2 ) γ > 0 , D A T U ( 1 ) γ > 0 , D A T U ( 2 ) γ > 0 ; p B T U γ < 0 , D B T U ( 1 ) γ < 0 , and D B T U ( 2 ) γ < 0 .
  • (3) We have p A T U ( 1 ) δ > 0 , p A T U ( 2 ) δ < 0 , D A T U ( 1 ) δ > 0 , p B T U δ < 0 when γ < 3 t , D B T U ( 1 ) δ < 0 , and D A T U ( 2 ) δ = D B T U ( 2 ) δ .
Proposition 3 shows that the absolute value of demand changes for both low-carbon and traditional firms within two periods is the same. Still, the magnitude of its enlargement or reduction remains uncertain (i.e., Δ D A T U = Δ D B T U ). Intuitively, in the progression from tax exemption to taxation, the demand for traditional products increases in the second period compared to the first period, that is, Δ D B T U > 0 . This is due to the coexistence of traditional and low-carbon firms, intensifying market competition. Consumer demand for firms is no longer solely influenced by carbon tax policy but also influenced by the low-carbon advantage of products, and it also applies to a traditional firm. Moreover, under tax exemption policy, as the tax rate ( δ ) increases, the prices of low-carbon products increase in the first period, that is p A T U ( 1 ) δ > 0 . This phenomenon occurs because an increase in the tax rate is equivalent to an increase in government subsidies to consumers. As a result, more consumers, especially those with heightened environmental awareness, are more likely to choose to purchase from low-carbon firms. As the demand for low-carbon products surges, so do their prices. When the government does not exempt taxes, as the tax rate increases, both low-carbon and traditional firms will decrease their prices under low-carbon advantage relatively low (i.e., p A T U ( 2 ) δ < 0 , p B T U δ < 0 if γ < 3 t ). Moreover, the demand for low-carbon and traditional firms within two periods also changes with the variation in the tax rate. Specifically, in the first period, the demand for the low-carbon firm increases as the tax rate rises (i.e., D A T U ( 1 ) δ > 0 ), while the demand for the traditional firm decreases with the increase in tax rate ( D B T U ( 1 ) δ < 0 ). In the second period, we obtain D A T U ( 2 ) δ = D B T U ( 2 ) δ . From the perspective of the low-carbon advantage, it simultaneously impacts the demand for both low-carbon and traditional firms. As the low-carbon advantage ( γ ) increases, the low-carbon firm gains a larger market share while traditional firms experience a decrease in market share over two periods.

4.4. Scenario (T, T)

In scenario (T, T), both low-carbon firm A and traditional firm B choose the tiered pricing strategy. The sequence is as follows. At the beginning of the first period, given a tax exemption policy for low-carbon products, firms A and B simultaneously set prices p A ( 1 ) and p B ( 1 ) in a competitive marketplace. At the beginning of the second period, the tax exemption policy has been canceled. Based upon the demand D A ( 2 ) and D B ( 2 ) , firms A and B simultaneously decide prices p A ( 2 ) and p B ( 2 ) . We summarize the equilibrium results in Proposition 4.
Proposition 4.
In scenario (T, T), the equilibrium prices, demands, and profits of firms are shown in Table 5. Moreover, the properties obtained from the equilibrium results are as follows:
  • (1) We have p A T T ( 2 ) < p A T T ( 1 ) ; p B T T ( 2 ) < p B T T ( 1 ) when 0 < δ < 1 λ λ , otherwise, p B T T ( 2 ) > p B T T ( 1 ) ; D A T T ( 2 ) > D A T T ( 1 ) and D B T T ( 2 ) < D B T T ( 1 ) if 0 < δ < 1 λ λ , otherwise, D A T T ( 2 ) < D A T T ( 1 ) and D B T T ( 2 ) > D B T T ( 1 ) .
  • (2) We have p A T T ( 1 ) γ > 0 , p A T T ( 2 ) γ < 0 , D A T T ( 1 ) γ > 0 , D A T T ( 2 ) γ > 0 ; p B T T ( 1 ) γ < 0 , p B T T ( 2 ) γ < 0 , D B T T ( 1 ) γ < 0 , and D B T T ( 2 ) γ < 0 .
  • (3) We have p A T T ( 1 ) δ > 0 , p A T T ( 2 ) δ < 0 , D A T T ( 1 ) δ > 0 , p B T T ( 1 ) δ < 0 if γ < 3 t , p B T T ( 2 ) δ < 0 if γ < 3 t , and D B T T ( 1 ) δ < 0 .
Proposition 4 indicates that low-carbon firm A has a lower price in the second period (i.e., p A T T ( 2 ) < p A T T ( 1 ) ); traditional firm B also offers a lower price in the second period (i.e., p B T T ( 2 ) < p B T T ( 1 ) ) when tax rate is relatively low (i.e., 0 < δ < 1 λ λ ). Thus, under certain conditions, the elimination of the tax exemption policy intensifies competition in duopoly markets. In such a case, consumers exhibit a decreased demand for traditional products and an increased demand for low-carbon products. These findings suggest that the removal of the tax exemption policy has significant implications for market dynamics and should be carefully considered by policymakers. Conventional wisdom suggests that higher firm pricing reduces demand. However, our analysis shows that when the tax rate is relatively high (i.e., 1 λ λ < δ < 1 ), the perceived price (i.e., after-tax price) of low-carbon products decreases, leading to a decrease in their demand. Conversely, the price of the traditional firm increases, increasing their demand in the second period. As the tax rate increases, the after-tax price of low-carbon products for consumers elevates, from p A T T to ( 1 + δ ) p A T T . This results in a reduction in demand for low-carbon products. Correspondingly, rational consumers choose to abandon low-carbon products in favor of purchasing traditional products, leading to an increase in the demand for traditional products.
Corollary 2.
In scenario (T, T), the price competition is fiercer in the second period than in the first period when 0 < δ < 1 λ λ .
Corollary 2 shows that the intensity of price competition in the second period is higher than that in the first period under certain conditions. The main reason can explain this phenomenon. In the second period, as the tax exemption policy expires, the government reduces incentives for consumers who purchase low-carbon products, causing an increase in the perceived price (i.e., after-tax price) for consumers, leading to a decrease in consumer utility from u A ( 1 ) = v t x p A ( 2 ) + γ to u A ( 2 ) = v t x ( 1 + δ ) p A ( 2 ) + γ . To increase its market sales, the low-carbon firm adopts a price reduction strategy at the beginning of the second period (i.e., p A T T 2 < p A T T 1 ), increasing its sales, specifically, D A T T 2 > D A T T 1 if 0 < δ < 1 λ λ . Moreover, this trend may result in the erosion of the traditional products market by the low-carbon products market, leading to a situation where D B T T 2 < D B T T 1 and D A T T 2 > D A T T 1 . This phenomenon is likely to escalate competition between the two firms, ultimately exerting downward pressure on prices during the second period. Practice implications for firms, such as an EV manufacturer and an ICE vehicle manufacturer, could be as follows. As the government transitions from tax exemption to taxation, the EV manufacturer should anticipate a drop in demand due to higher after-tax prices. To counter this, the EV manufacturer might lower the base price discounts to retain consumer interest. Additionally, the EV manufacturer could increase marketing efforts to highlight the long-term cost savings and environmental benefits of low-carbon products compared with the ICE vehicle manufacturer, justifying the higher prices due to taxation.

5. Equilibrium Pricing Strategies

In this section, we compare and analyze the profits of firms in four different scenarios (U, U), (U, T), (T, U), and (T, T) to discuss which pricing strategy firm i ( i A , B ) should select. A uniform pricing strategy requires firm i to set the same price over two periods. Conversely, a tiered pricing strategy requires firm i to set different pricing in each period. Given traditional firm B selecting the uniform pricing strategy, low-carbon firm A chooses the uniform pricing if π A U U > π A T U holds. Otherwise, low-carbon firm A selects the tiered pricing strategy. Given traditional firm B chooses the tiered pricing strategy, low-carbon firm A chooses the uniform pricing strategy if π A U T > π A T T and otherwise adopts the tiered pricing strategy. Similarly, given the low-carbon firm A choosing the uniform pricing strategy, we compare π B U U and π B U T to decide the traditional firm B’s pricing strategy. The traditional firm selects the uniform pricing if π B U U > π A U T holds. Otherwise, the traditional firm B chooses the tiered pricing strategy. Given the low-carbon firm A choosing the tiered pricing strategy, the traditional firm B selects the uniform pricing strategy if π B T U > π B T T and otherwise chooses the tiered pricing strategy. For ease of exposition, we define γ A 1 and γ A 2 as the left and right roots of the quadratic function π A U U π A T U = 0 and denote γ B 1 and γ B 2 as the left and right roots of the quadratic function π B U U π B U T = 0 . Thus, given a low-carbon or traditional firm adopts uniform pricing, we have the following results.
Proposition 5.
In the scenario of adopting uniform pricing by the low-carbon/traditional firm, we have the following results.
  • (1) When 0 < γ < m a x { 0 , γ i 1 } , the traditional/low-carbon firm chooses the uniform pricing strategy, resulting in scenario (U, U) in equilibrium.
  • (2) When m a x { 0 , γ i 1 } γ γ i 2 , the traditional/low-carbon firm chooses the tiered pricing strategy, resulting in scenario (U, T)/(T, U) in equilibrium.
  • (3) When γ > γ i 2 , the traditional/low-carbon firm chooses the uniform pricing strategy, resulting in scenario (U, U) in equilibrium.
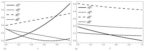
Proposition 5 analyzes the optimal pricing strategy when one firm (low-carbon or traditional firm) adopts uniform pricing. We find that, given a firm’s choice of uniform pricing strategy, when the low-carbon advantage is low (i.e., 0 < γ < m a x { 0 , γ i 1 } , where i A , B ) or high (i.e., γ > γ i 2 ), the other firm always chooses the uniform pricing strategy. By contrast, when the low-carbon advantage is in the middle range (i.e., m a x { 0 , γ i 1 } γ γ i 2 ), the other firm adopts the tiered pricing strategy. The finding implies that a simple pricing strategy (uniform pricing) can still gain a competitive advantage in the market, simplifying the decision-making process for firms. To illustrate the results intuitively, we use two concrete examples, drawn in Figure 2 (with t = 1 25 , λ = 4 5 , c A = 2 5 , and c B = 1 100 in Figure 2a; t = 1 20 , λ = 7 10 , c A = 4 5 , and c B = 1 25 in Figure 2b), to compare the optimal pricing strategy. Figure 2a features the low-carbon firm’s pricing strategy when the traditional firm adopts uniform pricing. Figure 2b presents the low-carbon firm’s pricing choice when the traditional firm adopts uniform pricing. Figure 2 indicates how the low-carbon advantage ( γ ) influences the optimal pricing strategy of low-carbon and traditional firms. Generally, if one firm selects uniform pricing, the other firm could choose the uniform or tiered pricing strategy. Specifically, if the low-carbon advantage ( γ ) is low or high, uniform pricing is the optimal pricing strategy for the low-carbon/traditional firm. That is, π A U U > π A T U or π B U U > π B U T when γ is small or large. When γ is in the middle range, the optimal pricing selection for both low-carbon and traditional firms is tiered pricing because of π A T U > π A U U or π B U T > π B U U . To sum up, in the scenario where a firm chooses uniform pricing, the equilibrium outcome of (U, U) may happen when the low-carbon advantage is either low or high. This scenario occurs when both low-carbon and traditional firms adopt uniform pricing. When low-carbon advantage is medium, scenario (T, U) or (U, T) could be optimal, where one firm adopts uniform pricing and the other chooses tiered pricing.
We now consider the scenario in which the traditional firm adopts the tiered pricing strategy. In such a scenario, we define γ A 3 and γ A 4 as the left and right roots of the quadratic function π A U T π A T T = 0 . By comparison and analysis, we have the following results.
Proposition 6.
When considering the traditional firm’s adoption of tiered pricing, we have the following results:
  • (1) In condition δ [ 0 , 108 125 ] , we derive the following findings.
  • (i) When 0 < γ < m a x { 0 , γ A 3 } or γ > γ A 4 , the low-carbon firm chooses the uniform pricing strategy, leading to scenario (U, T) in equilibrium.
  • (ii) When m a x { 0 , γ A 3 } γ γ A 4 , the low-carbon firm adopts the tiered pricing strategy, leading to scenario (T, T) in equilibrium.
  • (2) In condition δ ( 108 125 , 1 ] , we derive the following results.
  • (i) When 0 < γ < m a x { 0 , γ A 3 } or γ > γ A 4 , the low-carbon firm chooses the tiered pricing strategy, leading to scenario (T, T) in equilibrium.
  • (ii) When m a x { 0 , γ A 3 } γ γ A 4 , the low-carbon firm adopts the uniform pricing strategy, leading to scenario (U, T) in equilibrium.
Proposition 6 suggests that when the traditional firm selects tiered pricing, the low-carbon firm’s pricing strategy depends on the level of low-carbon advantage ( γ ) and tax rate ( δ ). To better illustrate firms’ pricing selection, we use a concrete example, with parameter setting t = 1 10 , λ = 21 25 , c A = 11 10 , and c B = 3 40 , drawn in Figure 3a. The figure depicts that low-carbon advantage directly influences the low-carbon firm’s pricing selection when the traditional firm adopts tiered pricing. Based on Figure 3a, when the tariff rate is relatively low (i.e., δ [ 0 , 108 125 ] ), we get the following results. If the traditional firm chooses tiered pricing, we find that the low-carbon firm selects uniform pricing when low-carbon advantage is low (i.e., 0 < γ < m a x { 0 , γ A 3 } ) or high (i.e., γ > γ A 4 ), and that adopts tiered pricing when low-carbon advantage is in the medium range (i.e., m a x { 0 , γ A 3 } γ γ A 4 ). As shown in Figure 3a, we notice that π A U T > π A T T when γ is low or high, which corresponds to the (U, T) scenario. Conversely, π A U T < π A T T when γ is moderate, which aligns with the (T, T) scenario. In contrast to the scenario where the tariff rate is relatively high (i.e., δ [ 108 125 , 1 ] ) when the traditional firm chooses tiered pricing, the (T, T) scenario occurs under certain conditions. In this case, the low-carbon firm also selects tiered pricing when the low-carbon advantage is low (i.e., 0 < γ < m a x { 0 , γ A 3 } ) or high (i.e., γ > γ A 4 ). However, the (U, T) scenario occurs when the low-carbon firm adopts uniform pricing, if the low-carbon advantage is moderate (i.e., m a x { 0 , γ A 3 } γ γ A 4 ).
Furthermore, we find that, as the tariff rate increases, the equilibrium scenario shifts from (U, T) to (T, T) or (T, T) to (U, T). The primary reason for this transition is that when the carbon tax policy shifts from tax exemption to taxation, the government reduces subsidies for consumers purchasing low-carbon products, increasing the perceived product price (i.e., after-tax price) for consumers. This situation undermines consumer enthusiasm for purchasing low-carbon products, prompting them to shift to purchasing traditional products, thereby increasing demand for traditional products. The increased demand for traditional products stimulates price increases (i.e., p B U T 2 > p B U T 1 , p B T T 2 > p B T T 1 ), prompting the traditional firm to adopt tiered pricing over two periods. The tiered pricing strategy exerts two opposing effects on firms’ profitability. On the one hand, tiered pricing enables firms to enhance their responsiveness to carbon tax policy evolution in each period, thereby increasing profitability. The positive effect of tiered pricing is particularly significant when the low-carbon advantage is moderate. This is because firms can set lower prices to stimulate demand and increase economies of scale in the second period. On the other hand, tiered pricing intensifies competition, leading to a reduction in profitability. Therefore, when the tariff rate is relatively small, the (U, T) scenario occurs. In this scenario, the low-carbon firm’s optimal strategy is uniform pricing when the low-carbon advantage is low or high. When the low-carbon advantage is moderate, scenario (T, T) occurs and the low-carbon firm’s optimal strategy is tiered pricing. When the tariff rate is relatively high, scenario (T, T) occurs and the low-carbon firm’s optimal strategy is tiered pricing if the low-carbon advantage is low or high. However, when the low-carbon advantage is moderate, scenario (U, T) occurs and the low-carbon firm’s optimal strategy is uniform pricing.
Now, we consider the scenario in which the traditional firm chooses the tiered pricing strategy. In such a scenario, we denote γ B 3 and γ B 4 as the left and right roots of the quadratic function π B T U π A T T = 0 , respectively. Through comparison and analysis, we obtain the following results.
Proposition 7.
When considering the implementation of tiered pricing by the low-carbon firm, we have the following results.
  • (1) If 0 < γ < m a x { 0 , γ B 3 } , the traditional firm adopts the uniform pricing strategy, leading to scenario (T, U) in equilibrium.
  • (2) If m a x { 0 , γ B 3 } γ γ B 4 , the traditional firm chooses the tiered pricing strategy, leading to scenario (T, T) in equilibrium.
  • (3) If γ > γ B 4 , the uniform pricing strategy, leading to scenario (T, U) in equilibrium.
Similar to Proposition 5, Proposition 7 shows that when a low-carbon firm adopts tiered pricing, the traditional firm’s pricing strategy depends on the low-carbon advantage ( γ ). To illustrate the results intuitively, we use a concrete example with parameter setting t = 3 100 , λ = 17 20 , c A = 3 5 , and c B = 1 10 , drawn in Figure 3b. Figure 3b depicts that low-carbon advantage directly influences traditional firm’s pricing choices. Given the low-carbon firm choosing the tiered pricing strategy, Figure 3b illustrates that the traditional firm selects the uniform pricing strategy when low-carbon advantage is low (i.e., 0 < γ < m a x { 0 , γ B 3 } ) or high (i.e., γ > γ B 4 ) and adopts the tiered pricing strategy when low-carbon advantage is medium (i.e., m a x { 0 , γ B 3 } γ γ B 4 ). As in Figure 3b, we notice that π B T U > π B T T when γ is small or large, and π B T U < π B T T when γ is medium. In summary, given the low-carbon firm adopts the tiered pricing strategy, scenario (T, U) could be optimal. In such a case, the traditional firm chooses the uniform pricing strategy when the low-carbon advantage is low or high. Conversely, scenario (T, T) is optimal when the low-carbon advantage is moderate. This situation occurs when the traditional firm selects tiered pricing when a low-carbon advantage is in the middle range. The analysis regarding the low-carbon advantage and pricing strategy provides some practice applications. For the high low-carbon advantage, the traditional firm reverts to a uniform pricing strategy, likely to simplify its approach in the face of a strong competitor. The low-carbon firm continues with tiered pricing to exploit its strong market position. The low-carbon firm can use its significant advantage to not only segment the market but also to potentially justify higher prices for its premium products. This could increase overall profitability and strengthen its market position.

6. Conclusions

Our study explores the intricate interplay between tax exemption policy, consumer low-carbon preferences, and firms’ pricing strategy selection within the context of the global automobile industry. By developing a two-period analytical model, our study investigates how the evolution of tax exemption policy impacts firms’ optimal pricing strategy selection in a competitive duopoly market. Through thorough analysis, our study addresses crucial questions concerning the effect of tax policy evolution on pricing strategies, the influence of low-carbon advantages on pricing decisions, and the equilibrium between uniform and tiered pricing strategies. Importantly, our findings challenge conventional wisdom by revealing unexpected results, such as price hikes for traditional products leading to increased demand under certain conditions, and underscore the importance of considering evolving low-carbon policy in strategic pricing decisions.
The theoretical contributions of our study are as follows. First, we enrich the understanding of firms’ pricing behaviors in response to changing low-carbon policies and consumer preferences. Second, we shed light on the pricing strategy selection in a competitive market in the context of evolving tax exemption policy. Moreover, the practical implication of our study lies in providing valuable insights for firms operating in competitive markets. Our study guides firms in navigating the trade-offs between uniform and tiered pricing strategies during evolving tax exemption policy. By offering a nuanced understanding of the relationship between government policies, consumer behavior, and firms’ pricing decisions, our study provides policymakers and industry stakeholders with actionable knowledge to adapt low-carbon policies and pricing strategies effectively.

7. Directions for Future Research

While our work has several limitations, it sheds light on the intricate interplay between pricing strategy selection and evolving tax exemption policies in a two-period setting, and it opens several directions for further research. First, the model assumes rational consumer behavior and homogeneous product preferences, which may oversimplify real-world consumer decision-making processes. Future research could address these limitations by exploring alternative market structures, incorporating behavioral economics perspectives, and examining the impact of heterogeneous consumer preferences on firms’ pricing strategies. Second, our study predominantly analyzes pricing strategy selection in the context of the automobile industry, leaving room for research to investigate similar questions in other industries affected by evolving environmental policies. Furthermore, considering the increasing importance of sustainability and corporate social responsibility, future research could delve deeper into how firms’ pricing strategies intersect with broader environmental and social objectives. Despite these limitations, our study still offers helpful decision support and insightful recommendations for industry and government decision-makers.

Author Contributions

Conceptualization, X.Y., H.Y. and H.H.; methodology, X.Y.; software, X.Y. and K.S.; validation, H.Y., H.H.; formal analysis, X.Y.; investigation, K.S.; resources, X.Y.; data curation, X.Y.; writing—original draft preparation, X.Y.; writing—review and editing, X.Y.; visualization, K.S.; supervision, H.H.; project administration, H.Y.; funding acquisition, H.Y. and H.H. All authors have read and agreed to the published version of the manuscript.

Funding

This research was funded by the National Natural Science Foundation of China [Grant number 72101117] and the National Social Science Foundation of China [Grant number 20VYJ074].

Data Availability Statement

Data are contained within the article.

Conflicts of Interest

The authors declare that they have no known competing financial interests or personal relationships that could have appeared to influence the work reported in this paper. This manuscript has not been published or presented elsewhere in part or entirety and is not under consideration by another journal. We have read and understood your journal’s policies, and we guarantee that neither the manuscript nor the study violates any of these. There are no conflicts of interest to declare.

Appendix A. Proofs of All Results

Proof of Proposition 1.
Under scenario (U, U) where p i ( 1 ) = p i ( 2 ) ( i A , B ), by substituting Equations (3), (4), (7) and (8) into Equations (9)–(12), we have
π A U U ( p A ) = 2 p A ( p B ( 1 + δ ) + t + γ ) p A 2 ( 2 + δ ) c A ( p B ( 1 + δ ) + t + γ ) ( 1 + λ ) + c A p A ( 1 + λ ( 1 + δ ) ) 2 t
π B U U ( p A ) = ( p B c B ) ( p A ( 2 + δ ) 2 ( p B ( 1 + δ ) t + γ ) 2 t
Because 2 π A U U ( p A ) p A 2 = 2 + δ t < 0 and 2 π B U U ( p B ) p B 2 = 2 ( 1 + δ ) t < 0 , π A U U ( p A ) is concave in p A , and π B U U ( p B ) is concave in p B . We can obtain the optimal decisions from first-order conditions. By solving d π A UU ( p A ) d p A , we obtain low-carbon firm A’s best optimal p A * ( p B ) . Similarly, by simultaneously solving d π B UU ( p B ) d p B , we obtain traditional firm B’s best optimal p B * ( p A ) . By setting p A = p A * ( p B ) and p B = p B * ( p A ) , we can derive the firms’ equilibrium prices in Table 2. Substituting these equilibrium prices into the consumer demand and profit functions, we obtain the corresponding profits and consumer demands. Specifically,
D A U U 1 = 4 ( 1 + δ ) ( 3 t + γ + c B ( 1 + δ ) ) + c A ( δ 2 ) ( 1 + λ + δ λ ) 12 t ( 2 + δ ) ,
D A U U 2 = 4 ( 3 t + γ + c B ( 1 + δ ) ) c A ( 2 + 3 δ ) ( 1 + λ + δ λ ) 12 t ( 2 + δ ) ,
D B U U 1 = 4 ( 3 t γ ( 1 + δ ) c B ( 1 + δ ) 2 ) + c A ( δ 2 ) ( 1 + λ + δ λ ) 12 t ( 2 + δ ) ,
D B U U 2 = 4 ( 3 t ( 1 + δ ) γ c B ( 1 + δ ) ) + c A ( 2 + 3 δ ) ( 1 + λ + δ λ ) 12 t ( 2 + δ ) ,
π A U U = 8 ( 3 t + γ + c B ( 1 + δ ) ) 2 + c A 2 ( 1 + λ + δ λ ) ( 2 3 δ + 2 λ + 5 δ λ ) + 4 c A ( 3 t + γ + c B ( 1 + δ ) ) ( δ ( λ 3 ) 2 ( 1 + λ ) ) 36 t ( 2 + δ ) ,
π B U U = ( 2 ( 3 t γ c B ( 1 + δ ) ) + c A ( 1 + λ + δ λ ) ) 2 36 t ( 1 + δ ) .
To compare consumer demands in the first and second periods, we find that
(1)
D A U U 2 < D A U U 1 , D B U U 2 > D B U U 2 .
Using the results from Table 2 and taking the first-order derivatives, we have
(2)
p A U U γ = 2 3 ( 2 + δ ) > 0 , D A U U 1 γ = 1 + δ 3 t ( 2 + δ ) > 0 , D A U U 2 γ = 1 + δ 3 t ( 2 + δ ) > 0 , p B U U γ = 2 6 ( 1 + δ ) > 0 and Δ D A δ = 2 ( 3 t + γ ) + c B ( 2 + δ ( 4 + δ ) ) + c A ( 2 + ( 2 + δ ( 4 + δ ) ) λ ) 3 t ( 2 + δ ) 2 < 0 ; D B U U 1 γ = 1 + δ 3 t ( 2 + δ ) < 0 , and D B U U 2 γ = 1 3 t ( 2 + δ ) < 0 ; π A U U γ > 0 and π B γ < 0 if c A ( δ ( λ 3 ) + 2 ( 1 + λ ) ) 4 ( 1 + δ ) c B 3 t < γ < c A ( 1 + δ + λ δ ) + 2 ( 1 + λ ) 2 ( 1 + δ ) c B + 3 t .
(3)
Δ D A U U δ = 2 ( 3 t + γ ) + c B ( 2 + δ ( 4 + δ ) ) + c A ( 2 + ( 2 + δ ( 4 + δ ) ) λ ) 3 t ( 2 + δ ) 2 < 0 , Δ D B U U δ = 2 ( 3 t + γ ) + c B ( 2 + δ ( 4 + δ ) ) + c A ( 2 + ( 2 + δ ( 4 + δ ) ) λ ) 3 t ( 2 + δ ) 2 > 0 , p B U U δ = c A 6 t + 2 γ 6 ( 2 + δ ) 2 > 0 if γ < 3 t .
Due to D A U U 1 + D B U U 1 = 1 and D A U U 2 + D B U U 2 = 1 , it follows that both D A U U 1 and D A U U 2 fall within the interval [ 0 , 1 ] . From Table 2, we obtain that D A U U 1 = 4 ( 1 + δ ) ( 3 t + γ + c B ( 1 + δ ) ) + c A ( δ 2 ) ( 1 + λ + δ λ ) 12 t ( 2 + δ ) and D A U U 2 = 4 ( 3 t + γ + c B ( 1 + δ ) ) c A ( 2 + 3 δ ) ( 1 + λ + δ λ ) 12 t ( 2 + δ ) .
D A U U 1 is within [ 0 , 1 ] if 4 ( 1 + δ ) ( 3 t + γ + c B ( 1 + δ ) ) 12 t ( 2 + δ ) ( 2 δ ) ( 1 + λ + δ λ ) < c A < 4 ( 1 + δ ) ( 3 t + γ + c B ( 1 + δ ) ) ( 2 δ ) ( 1 + λ + δ λ ) and D A U U 2 is within [ 0 , 1 ] if 4 ( 3 t + γ + c B ( 1 + δ ) ) 12 t ( 2 + δ ) ( 2 + 3 δ ) ( 1 + λ + δ λ ) < c A < 4 ( 3 t + γ + c B ( 1 + δ ) ) ( 2 + 3 δ ) ( 1 + λ + δ λ ) . Thus, in scenario (U, U), consumer demand of both periods of low-carbon firm A is within [ 0 , 1 ] if 4 ( 3 t + γ + c B ( 1 + δ ) ) 12 t ( 2 + δ ) ( 2 + 3 δ ) ( 1 + λ + δ λ ) < c A U U < 4 ( 3 t + γ + c B ( 1 + δ ) ) ( 2 + 3 δ ) ( 1 + λ + δ λ ) .  □
Proof of Proposition 2.
Under scenario (U, T) where p A ( 1 ) = p A ( 2 ) = p A and traditional firm B adopts tiered pricing during the two periods, we find the subgame perfect equilibrium by backward induction.
At the beginning of the second period, traditional firm B chooses p B ( 2 ) to maximize its second-period profit π B U T 2 = ( p B ( 2 ) c B ) D B U T 2 . We find π B U T 2 is concave in p B ( 2 ) . By solving the first-order condition d π B UT 2 d p B = 0 , we can obtain the equilibrium second-period price of firm B as follows:
p B ( 2 ) = t γ + p A ( 1 + δ ) + c B ( 1 + δ ) 2 ( 1 + δ ) .
Based on the price of firm B’s second-period response, the firms then independently and simultaneously set the first-period prices p A and p B ( 1 ) , to maximize their profits over the two periods, which are given by π A U T ( p A ) = ( p A c A ) D A ( 1 ) + ( p A λ c A ) D A ( 2 ) and π B U T ( p B ( 1 ) ) = ( p B ( 1 ) c B ) D B ( 1 ) + ( p B ( 2 ) c B ) D B ( 2 ) . By substituting (A3) into π A U T ( p A ) and π B U T ( p B ( 1 ) ) , we find that π A U T ( p A ) and π B U T ( p B ( 1 ) ) are concave in p A and p B ( 1 ) , respectively. By solving the first-order conditions d π A UT ( p A ) d p A = 0 and d π B UT d p B ( 1 ) = 0 simultaneously, we can derive the equilibrium first-period prices given in Table 3. By substituting the equilibrium first-period prices into Equation (A3), we can derive the equilibrium second-period price of firm B. By substituting the equilibrium prices into the consumer demands and profit functions, we can obtain the corresponding profits and consumer demands summarized in Table 3. The profits corresponding to firms A and B are
π A U T = 4 ( 3 + δ ) ( 3 t + γ + c B ( 1 + δ ) ) 2 + c A 2 ( 2 + λ + δ λ ) ( 1 + ( 1 + δ ) ( 3 + δ ) λ ) c A ( 3 t + γ + c B ( 1 + γ ) ) ( 11 + 13 λ + 4 δ ( 4 + δ + λ ) ) 4 t ( 5 + 2 δ ) 2 ,
π B U T = 2 ( γ 2 ( 9 + 2 δ ( 3 + δ ) ) + c B 2 ( 1 + δ ) 2 ( 9 + 2 δ ( 3 + δ ) ) 2 t γ ( 33 + 2 δ ( 13 + δ ) ) + t 2 ( 121 + 2 δ ( 55 + 17 δ ) ) 2 c B ( 1 + δ ) ( γ ( 9 + 2 δ ( 3 + δ ) ) ) ) 8 t ( 1 + δ ) ( 5 + 2 δ ) 2 + t ( 33 + 2 δ ( 13 + δ ) ) ) 2 c A ( γ ( 6 + 5 δ ) + c B ( 1 + δ ) ( 6 + 5 δ ) t ( 22 + δ ( 21 + 8 δ ) ) ) ( 2 + λ + δ λ ) + c A 2 ( 2 + δ ( 2 + δ ) ) ( 2 + λ + δ λ ) 2 8 t ( 1 + δ ) ( 5 + 2 δ ) 2 .
To compare consumer demands in the first and second periods, we obtain that
(1)
P B ( 2 ) > p B ( 1 ) , D B ( 2 ) > D B ( 1 ) .
Using the results from Table 3 and taking the first-order derivatives, we have
(2)
p A U T 1 γ = 2 5 + 2 δ > 0 , D A U T 1 γ = 3 + 2 δ 4 t ( 5 + 2 δ ) > 0 , D A U T 2 γ = 3 4 t ( 5 + 2 δ ) > 0 ; p B U T 1 γ = 3 + 2 δ 2 ( 5 + 7 δ + 2 δ 2 ) < 0 , p B U T 2 γ = 3 2 ( 5 + 7 δ + 2 δ 2 ) < 0 , D B U T 1 γ = 3 + 2 δ 4 t ( 5 + 2 δ ) < 0 , and D B U T 2 γ = 3 4 t ( 5 + 2 δ ) < 0 .
(3)
Δ D A U T δ = 10 ( c A + c B + 3 t + γ ) + 20 c B δ + 4 c B δ 2 + c A ( 5 + 2 δ ( 5 + δ ) ) λ 4 t ( 5 + 2 δ ) ( 2 ) < 0 , and Δ D B U T δ = 2 ( 3 t + γ ) + c B ( 2 + δ ( 4 + δ ) ) + c A ( 2 + ( 2 + δ ( 4 + δ ) ) λ ) 3 t ( 2 + δ ) 2 > 0 .
Due to the constraints of D A U T 1 + D B U T 1 = 1 and D A U T 2 + D B U T 2 = 1 , it follows that both D A U T 1 and D A U T 2 fall within the interval [ 0 , 1 ] . From Table 3, we obtain that D A U T 1 = ( 3 + 2 δ ) ( 3 t + γ + c B ( 1 + δ ) ) c A ( 2 + λ + δ λ ) 4 t ( 5 + 2 δ ) and D A U T 2 = 3 ( 3 t + γ + c B ( 1 + δ ) ) c A ( 1 + δ ) ( 2 + λ + δ λ ) 4 t ( 5 + 2 δ ) . D A U T 1 is within [ 0 , 1 ] if ( 3 + 2 δ ) ( 3 t + γ + c B ( 1 + δ ) ) 4 t ( 5 + 2 δ ) ( 2 + λ + δ λ ) < c A < ( 3 + 2 δ ) ( 3 t + γ + c B ( 1 + δ ) ) ( 2 + λ + δ λ ) and D A U T 2 is within [ 0 , 1 ] if 3 ( 3 t + γ + c B ( 1 + δ ) ) 4 t ( 5 + 2 δ ) ( 1 + δ ) ( 2 + λ + δ λ ) < c A < 3 ( 3 t + γ + c B ( 1 + δ ) ) ( 1 + δ ) ( 2 + λ + δ λ ) . Thus, in scenario (U, T), consumer demand of both periods of low-carbon firm A is within [ 0 , 1 ] if 3 ( 3 t + γ + c B ( 1 + δ ) ) 4 t ( 5 + 2 δ ) ( 1 + δ ) ( 2 + λ + δ λ ) < c A U T < 3 ( 3 t + γ + c B ( 1 + δ ) ) ( 1 + δ ) ( 2 + λ + δ λ ) .  □
Proof of Corollary 1.
See the proof of Proposition 2.  □
Proof of Proposition 3.
Under scenario (T, U) where p B ( 1 ) = p B ( 2 ) = p B and low-carbon firm A adopts tiered pricing during the two periods, we find the subgame perfect equilibrium by backward induction. At the beginning of the second period, low-carbon firm A chooses p A ( 2 ) to maximize its second-period profit π A U T 2 = ( p A ( 2 ) c A λ ) D A ( 2 ) . We find π A U T 2 is concave in p A ( 2 ) . By solving the first-order condition d π A UT 2 d p A = 0 , we can obtain the equilibrium second-period price of low-carbon firm A as follows:
p A ( 2 ) = t + γ + p B ( 1 + δ ) + c A ( 1 + δ ) λ 2 ( 1 + δ ) .
Based on the price of firm A’s second-period response, the firms then independently and simultaneously set the first-period prices p A ( 1 ) and p B , to maximize their profits over the two periods, which are given by π A U T ( p A ( 1 ) ) = ( p A ( 1 ) c A ) D A ( 1 ) + ( p A ( 2 ) λ c A ) D A ( 2 ) and π B U T ( p B ) = ( p B c B ) D B ( 1 ) + ( p B c B ) D B ( 2 ) . By substituting (A.4) into π A U T ( p A ( 1 ) ) and π B U T ( p B ) , we find that π A U T ( p A ( 1 ) ) and π B U T ( p B ) are concave in p A ( 1 ) and p B , respectively. By solving the first-order conditions d π A UT ( p A ( 1 ) ) d p A ( 1 ) = 0 and d π B UT ( p B ) d p B = 0 simultaneously, we can derive the equilibrium first-period prices given in Table 4. By substituting the equilibrium first-period prices into Equation (A4), we can derive the equilibrium second-period price of firm A. By substituting the equilibrium prices into the consumer demands and profit functions, we can obtain the corresponding profits and consumer demands summarized in Table 4. Specially, the profits of firms A and B are π A T U = ( 11 t + 3 γ + 3 c B ( 1 + δ ) + c A 4 c A ( 1 + δ ) λ ) 2 + ( 1 + δ ) ( 11 t + 3 γ + 3 c B ( 1 + δ ) + c A ( 4 + λ + δ λ ) ) 2 200 t ( 1 + δ ) and π B T U = 3 ( c A ( 1 + λ + δ λ ) 2 ( c B 3 t + γ + c B δ ) ) 2 100 t ( 1 + δ ) , respectively.
Because of D A T U 1 = 11 t + 3 γ + 3 c B ( 1 + δ ) + c A ( 4 + ( 1 + δ ) λ ) 20 t and D A T U 2 = 11 t + 3 γ + 3 c B ( 1 + δ ) + c A ( 1 4 ( 1 + δ ) λ ) 20 t , we get Δ D A T U = D A T U 2 D A T U 1 = c A ( 1 + λ ( 1 + δ ) 4 t . Similarly, because of D B T U 1 = 3 ( 3 t γ c B ( 1 + δ ) ) + c A ( 4 ( 1 + δ ) λ ) 20 t and D B T U 2 = 3 ( 3 t γ c B ( 1 + δ ) ) + c A ( 1 + 4 ( 1 + δ ) λ ) 20 t , Δ D B T U = D B T U 2 D B T U 1 = c A ( 1 + λ ( 1 + δ ) 4 t . Thus, we obtain
(1)
Δ D A = Δ D B , and Δ D A = Δ D B .
Similar to Proof of Proposition 2, we obtain:
(2)
p A T U 1 γ = 3 10 > 0 , p A T U 2 γ = 3 10 ( 1 + δ ) > 0 , D A T U 1 γ = 3 20 t > 0 , D A T U 2 γ = 3 20 t > 0 ; p B T U γ = 2 5 ( 1 + δ ) < 0 , D B T U 1 γ = 3 20 t < 0 , and D B T U 2 γ = 3 20 t < 0 .
(3)
p A T U 1 δ = 3 c B + c A λ 10 > 0 , p A T U 2 δ = 11 t + 3 γ + c A 10 ( 1 + δ ) ( 2 ) > 0 , D A T U 1 δ = 3 c B + c A λ 20 t > 0 , p B T U δ = 6 t 2 γ + c A 5 ( 1 + δ ) 2 > 0 if γ < 3 t , D B T U 1 δ = 3 c B + c A λ 20 t < 0 ; Because of D A T U 2 δ = 3 c B 4 c A λ 20 t , D B T U 2 δ = 3 c B + 4 c A λ 20 t , thus, we can derive that D A T U 2 δ = D B T U 2 δ .
Due to D A T U 1 + D B T U 1 = 1 and D A T U 2 + D B T U 2 = 1 , it follows that both D A T U 1 and D A T U 2 fall within the interval [ 0 , 1 ] . From Table 3, we obtain that D A T U 1 = 11 t + 3 γ + 3 c B ( 1 + δ ) + c A ( 4 + ( 1 + δ ) λ ) 20 t and D A T U 2 = 11 t + 3 γ + 3 c B ( 1 + δ ) + c A ( 1 4 ( 1 + δ ) λ ) 20 t . D A T U 1 is within [ 0 , 1 ] if 11 t + 3 γ + 3 c B ( 1 + δ ) 20 t 4 ( 1 + δ ) λ < c A < 11 t + 3 γ + 3 c B ( 1 + δ ) 4 ( 1 + δ ) λ . D A T U 2 is within [ 0 , 1 ] if 11 t + 3 γ + 3 c B ( 1 + δ ) 20 t 4 ( 1 + δ ) λ 1 < c A < 11 t + 3 γ + 3 c B ( 1 + δ ) 4 ( 1 + δ ) λ 1 and 4 ( 1 + δ ) λ 1 > 0 (If 4 ( 1 + δ ) λ 1 < 0 , c A may be negative, and we delete this case). Thus, in scenario (T, U), consumer demand of both periods of low-carbon firm A is within [ 0 , 1 ] if m i n { 11 t + 3 γ + 3 c B ( 1 + δ ) 20 t 4 ( 1 + δ ) λ , 11 t + 3 γ + 3 c B ( 1 + δ ) 20 t 4 ( 1 + δ ) λ 1 } < c A T U < m i n { 11 t + 3 γ + 3 c B ( 1 + δ ) 4 ( 1 + δ ) λ , 11 t + 3 γ + 3 c B ( 1 + δ ) 4 ( 1 + δ ) λ 1 } .  □
Proof of Proposition 4.
Under scenario (T, T) where both low-carbon firm A and traditional firm B adopt tiered pricing during the two periods, we find the subgame perfect equilibrium by backward induction. At the beginning of the second period, low-carbon firm A and and traditional firm B independently and simultaneously choose p A ( 2 ) and p B ( 2 ) to maximize their own second-period profit π A T T 2 = ( p A ( 2 ) c A λ ) D A ( 2 ) and π B T T 2 = ( p B ( 2 ) c B ) D B ( 2 ) . We find π A T T 2 and π B T T 2 are concave functions in p A ( 2 ) and p B ( 2 ) . By solving the first-order conditions d π A TT 2 d p A ( 2 ) = 0 and d π B TT 2 d p B ( 2 ) = 0 , we can obtain the equilibrium second-period prices as follows:
p A ( 2 ) = 3 t + γ + c B ( 1 + δ ) + 2 c A ( 1 + δ ) λ 3 ( 1 + δ ) .
p B ( 2 ) = 3 t γ + 2 c B ( 1 + δ ) + c A ( 1 + δ ) λ 3 ( 1 + δ ) .
With the anticipated best response second-period prices, both firm A and firm B independently and simultaneously set the first-period prices p A ( 1 ) and p B ( 1 ) . To maximize their own profits over the two periods, the first-period profits of both firm A and firm B are π A T T ( p A ( 1 ) ) = ( p A ( 1 ) c A λ ) D A ( 1 ) + π A T T 2 and π B T T ( p B ( 1 ) ) = ( p B ( 1 ) c B ) D B ( 1 ) + π B T T 2 . By substituting Equations (A5) and (A6) into π A T T ( p A ( 1 ) ) and π B T T ( p B ( 1 ) ) , we find that π A T T ( p A ( 1 ) ) and π B T T ( p B ( 1 ) ) are concave in p A ( 1 ) and p B ( 1 ) , respectively. By solving the first-order conditions d π A TT d p A ( 1 ) = 0 and d π B TT d p B ( 1 ) = 0 simultaneously, we can derive the equilibrium first-period prices given in Table 5. By substituting the equilibrium first-period prices into Equations (A5) and (A6), we can derive the equilibrium second-period prices.
By substituting the equilibrium prices into the consumer demands and profit functions, we can further obtain the corresponding profits and consumer demands summarized in Table 5. Corresponding, the profits of firms A and B are
π A T T = ( 1 + δ ) ( 3 t + γ c A + c B ( 1 + δ ) ) 2 + ( 3 t + γ c A ( 1 + δ ) λ + c B ( 1 + δ ) ) 2 18 t ( 1 + δ )
and
π B T T = 2 ( c B ( 1 + δ ) 3 t + γ ) 2 2 c A ( c B ( 1 + δ ) 3 t + γ ) ( 1 + λ + δ λ ) + c A 2 ( 1 + δ ) 2 λ 2 18 t ( 1 + δ ) .
Because of p A T T 1 = 3 t + γ + c B ( 1 + δ ) + 2 c A 3 and p A T T 2 = 3 t + γ + c B ( 1 + δ ) + 2 c A ( 1 + δ ) λ 3 ( 1 + δ ) , we find that Δ p A T T = p A T T 2 p A T T 1 = 3 t + γ + c B ( 1 + δ ) δ 3 ( 1 + δ ) 2 3 c A ( 1 λ ) . Based on the parameter range, we obtain Δ P A T T < 0 ; thus, p A T T 2 < p A T T 1 . Similarly, we derive that p B T T 2 < p B T T 1 if 0 < δ < 1 λ λ , otherwise, p B T T 2 > p B T T 1 . We have D A T T 2 > D A T T 1 and D B T T 2 < D B T T 1 if 0 < δ < 1 λ λ , otherwise, D A T T 2 < D A T T 1 and D B T T 2 > D B T T 1 . Similar to Proof of Proposition 2, in scenario (T, T), we obtain p A T T 1 γ = 1 3 > 0 , p A T T 2 γ = 1 3 ( 1 + δ ) > 0 , D A T T 1 γ = 1 6 T > 0 , D A T T 2 γ = 1 6 t > 0 ; p B T T 1 γ = 1 3 ( 1 + δ ) < 0 , p B T T 2 γ = 1 3 ( 1 + δ ) < 0 , D B ( 1 ) γ = 1 6 t < 0 , and d D A TT 2 γ = 1 6 t < 0 . p A T T 1 δ = c B 3 > 0 , p A T T 2 δ = 3 t + γ 3 ( 1 + δ ) ( 2 ) < 0 , D A T T 1 δ = c B 6 t > 0 , p B T T 1 δ = c A 3 t + γ 3 ( 1 + δ ) 2 < 0 and p B T T 2 δ = 3 t + γ 3 ( 1 + δ ) ( 2 ) < 0 if γ < 3 t , and D B T T 1 δ = c B 6 t < 0 .
Due to D A T T 1 + D B T T 1 = 1 and D A T T 2 + D B T T 2 = 1 , it follows that both D A T T 1 and D A T T 2 fall within the interval [ 0 , 1 ] . From Table 5, we obtain that D A T T 1 = 3 t + γ + c B ( 1 + δ ) c A 6 t and D A T T 2 = 3 t + γ + c B ( 1 + δ ) c A ( 1 + δ ) λ 6 t . D A T T 1 is within [ 0 , 1 ] if 3 t + γ + c B ( 1 + δ ) 6 t < c A < 3 t + γ + c B ( 1 + δ ) and D A T T 2 is within [ 0 , 1 ] if 3 t + γ + c B ( 1 + δ ) 6 t ( 1 + δ ) λ < c A < 3 t + γ + c B ( 1 + δ ) ( 1 + δ ) λ . Thus, in scenario (T, T), consumer demand of both periods of low-carbon firm A is within [ 0 , 1 ] if m i n { 3 t + γ + c B ( 1 + δ ) 6 t , 3 t + γ + c B ( 1 + δ ) 6 t ( 1 + δ ) λ } < c A T T < m i n { 3 t + γ + c B ( 1 + δ ) , 3 t + γ + c B ( 1 + δ ) ( 1 + δ ) λ } . To ensure that low-carbon firm A does not outprice traditional firm B across all four scenarios, we require c A < m i n { c A U U , c A U T , c A T U , c A T T } . Namely, m i n { 4 ( 3 t + γ + c B ( 1 + δ ) ) 12 t ( 2 + δ ) ( 2 + 3 δ ) ( 1 + λ + δ λ ) , 3 ( 3 t + γ + c B ( 1 + δ ) ) 4 t ( 5 + 2 δ ) ( 1 + δ ) ( 2 + λ + δ λ ) , m i n { 11 t + 3 γ + 3 c B ( 1 + δ ) 20 t 4 ( 1 + δ ) λ , 11 t + 3 γ + 3 c B ( 1 + δ ) 20 t 4 ( 1 + δ ) λ 1 } , m i n { 3 t + γ + c B ( 1 + δ ) 6 t , 3 t + γ + c B ( 1 + δ ) 6 t ( 1 + δ ) λ } } < c A < m i n { 4 ( 3 t + γ + c B ( 1 + δ ) ) ( 2 + 3 δ ) ( 1 + λ + δ λ ) , 3 ( 3 t + γ + c B ( 1 + δ ) ) ( 1 + δ ) ( 2 + λ + δ λ ) , m i n { 11 t + 3 γ + 3 c B ( 1 + δ ) 4 ( 1 + δ ) λ , 11 t + 3 γ + 3 c B ( 1 + δ ) 4 ( 1 + δ ) λ 1 } , m i n { 3 t + γ + c B ( 1 + δ ) , 3 t + γ + c B ( 1 + δ ) ( 1 + δ ) λ } } . We let c B 1 = m i n { 4 ( 3 t + γ + c B ( 1 + δ ) ) 12 t ( 2 + δ ) ( 2 + 3 δ ) ( 1 + λ + δ λ ) , 3 ( 3 t + γ + c B ( 1 + δ ) ) 4 t ( 5 + 2 δ ) ( 1 + δ ) ( 2 + λ + δ λ ) ,
m i n { 11 t + 3 γ + 3 c B ( 1 + δ ) 20 t 4 ( 1 + δ ) λ , 11 t + 3 γ + 3 c B ( 1 + δ ) 20 t 4 ( 1 + δ ) λ 1 } , m i n { 3 t + γ + c B ( 1 + δ ) 6 t , 3 t + γ + c B ( 1 + δ ) 6 t ( 1 + δ ) λ } } . c B 2 = m i n { 4 ( 3 t + γ + c B ( 1 + δ ) ) ( 2 + 3 δ ) ( 1 + λ + δ λ ) , 3 ( 3 t + γ + c B ( 1 + δ ) ) ( 1 + δ ) ( 2 + λ + δ λ ) , m i n { 11 t + 3 γ + 3 c B ( 1 + δ ) 4 ( 1 + δ ) λ , 11 t + 3 γ + 3 c B ( 1 + δ ) 4 ( 1 + δ ) λ 1 } , m i n { 3 t + γ + c B ( 1 + δ ) , 3 t + γ + c B ( 1 + δ ) ( 1 + δ ) λ } } . That is, c B 1 < c A < c B 2 .  □
Proof of Corollary 1.
See the proof of Proposition 4.  □
Proof of Proposition 5.
In the scenario of the traditional firm adopting uniform pricing, We let W ( γ ) = π A U U ( γ ) π A T U ( γ ) and find that W ( γ ) is a quadratic function with respect to γ . We define γ A 1 and γ A 2 as the left and right roots of the quadratic function W ( γ ) = 0 , respectively. Because of
π A T U = ( 11 t + 3 γ + 3 c B ( 1 + δ ) + c A 4 c A ( 1 + δ ) λ ) 2 + ( 1 + δ ) ( 11 t + 3 γ + 3 c B ( 1 + δ ) + c A ( 4 + λ + δ λ ) ) 2 200 t ( 1 + δ )
and
π A U U = 8 ( 3 t + γ + c B ( 1 + δ ) ) 2 + c A 2 ( 1 + λ + δ λ ) ( 2 3 δ + 2 λ + 5 δ λ ) + 4 c A ( 3 t + γ + c B ( 1 + δ ) ) ( δ ( λ 3 ) 2 ( 1 + λ ) ) 36 t ( 2 + δ ) ,
we obtain
W ( γ ) = 1 1800 t 1 + δ 2 + δ ( γ 2 76 δ 81 δ 2 + 76 A 1 A 2 A 3 A 4 A 5 A 6 A 7 ) ,
where A 1 = c B 2 1 + δ 2 δ 81 δ 76 76 ,
A 2 = 2 c B 1 + δ 3 t 9 δ 2 2 + 11 δ + γ δ 81 δ 76 76 ,
A 3 = 3 t 2 γ 9 δ 2 2 + 11 δ + 3 t 84 + δ 84 + 121 δ ,
A 4 = c A 2 206 + 491 δ + 294 δ 2 + 2 1 + δ δ 39 δ 244 244 λ + 1 + δ 2 206 + δ 79 + 9 δ λ 2 ,
A 5 = 2 c A 6 t + 38 γ + δ γ 203 + 192 δ + t 411 + 504 δ ,
A 6 = 2 c A 1 + δ t 6 399 δ + 99 δ 2 + γ 38 + δ 27 δ 127 λ
A 7 = 2 c A c B 1 + δ 38 + 203 δ + 192 δ 2 + 1 + δ 38 + δ 27 δ 127 λ .
To understand the shape of the quadratic function W ( γ ) , it is necessary to assess whether 76 δ 81 δ 2 + 76 is greater than, less than, or equal to 0. Define the other quadratic function Y ( δ ) = 76 δ 81 δ 2 + 76 concerning δ , which is a continuous function for δ [ 0 , 1 ] . As dY ( δ ) d δ = 162 δ + 76 , W ( γ ) is strictly increasing for δ ( 0 , 38 81 ] , and strictly decreasing for δ ( 38 81 , 1 ] , we derive Y ( δ ) > 0 when δ [ 0 , 1 ] . Since the quadratic coefficient Y ( δ ) is positive, the quadratic function W ( γ ) is an upward parabola. Then, we discuss the pricing strategy selection for the low-carbon firm in the following three scenarios: First, if there exists γ A 2 < 0 and W ( γ ) must be greater than zero, we obtain the following observations: scenario (U, U) is optimal and uniform pricing is always better than tiered pricing for low carbon firm. This scenario is not sufficiently interesting and therefore falls outside the scope of our discussion. Second, if there exists γ A 1 < 0 and γ A 2 0 , we get the following observations: W ( γ ) is less than zero if 0 γ γ A 2 , the low-carbon firm adopts tiered pricing; W ( γ ) is greater than zero if γ > γ A 2 , low-carbon firm adopts uniform pricing. Third, if there exists γ 1 > 0 and γ 2 > 0 . We obtain the following observations: W ( γ ) is greater than zero when 0 < γ < γ i 1 , and in this case, the low-carbon firm adopts uniform pricing; On the other hand, W ( γ ) is less than zero when γ i 1 γ γ i 2 , prompting the low-carbon firm to choose tiered pricing. Combining first, second, and third, we obtain the following results: When the traditional firm adopts uniform pricing, the low-carbon firm also chooses uniform pricing if the low-carbon advantage is in the range 0 < γ < m a x { 0 , γ A 1 } or γ > γ A 2 . Otherwise, the low-carbon firm adopts tiered pricing if the low-carbon advantage falls within the range m a x { 0 , γ A 1 } γ γ A 2 .
Similarly, when the low-carbon firm adopts uniform pricing, we let Z ( γ ) = π B U U ( γ ) π B U T ( γ ) and find Z ( γ ) is a quadratic function for γ . We employ the same reasoning process as above and find that the quadratic function Z ( γ ) = π B U U ( γ ) π B U T ( γ ) is an upward parabola. Define γ B 1 and γ B 2 as the left and right roots of the quadratic function Z ( γ ) = 0 , respectively. We obtain similar results: when the low-carbon firm adopts uniform pricing, the traditional firm will also choose uniform pricing if the low-carbon advantage is in the range 0 < γ < m a x { 0 , γ B 1 } or γ > γ B 2 . However, the traditional firm adopts tiered pricing if the low-carbon advantage falls within the range m a x { 0 , γ B 1 } γ γ B 2 .
In summary, when one firm adopts uniform pricing, a low-carbon or traditional firm also chooses uniform pricing if the low-carbon advantage falls within the range 0 < γ < m a x { 0 , γ i 1 } or γ > γ i 2 . However, the low-carbon or traditional firm adopts tiered pricing if the low-carbon advantage is in the range γ > γ i 2 . To visually compare the optimal pricing strategies for both low-carbon and traditional firms, we use two concrete examples with parameters ( t = 1 25 , λ = 4 5 , c A = 2 5 , c B = 1 100 ) and ( t = 1 20 , λ = 7 10 , c A = 4 5 , c B = 1 25 ) to examine the impact of low-carbon advantage on the pricing choices of low-carbon and traditional firms as in Figure 2.  □
Proof of Proposition 6.
In the scenario of the traditional firm adopting tiered pricing, We let R ( γ ) = π A U T ( γ ) π A T T ( γ ) and find that R ( γ ) is a quadratic function to γ . Define γ A 3 and γ A 4 as the left and right roots of the quadratic function R ( γ ) = 0 , respectively. Because of π A T T = ( 1 + δ ) ( 3 t + γ c A + c B ( 1 + δ ) ) 2 + ( 3 t + γ c A ( 1 + δ ) λ + c B ( 1 + δ ) ) 2 18 t ( 1 + δ ) and π A U T = 4 ( 3 + δ ) ( 3 t + γ + c B ( 1 + δ ) ) 2 + c A 2 ( 2 + λ + δ λ ) ( 1 + ( 1 + δ ) ( 3 + δ ) λ ) c A ( 3 t + γ + c B ( 1 + γ ) ) ( 11 + 13 λ + 4 δ ( 4 + δ + λ ) ) 4 t ( 5 + 2 δ ) 2 , we obtain
R ( γ ) = 1 36 t 1 + δ 5 + 2 δ 2 2 4 + δ 7 2 δ 5 + 2 δ γ 2 + B 1 + B 2 + B 3 + B 4 ,
where B 1 = 4 3 t + c B 1 + δ 4 + δ 7 2 δ 5 + 2 δ γ ,
B 2 = 2 3 t + c B 1 + δ 2 4 + δ 7 2 δ 5 + 2 δ ,
B 3 = c A 2 1 + δ 2 9 7 + 2 δ λ 8 4 + δ + δ 4 δ 23 λ 2 ,
B 4 = c A 1 + δ c B + 3 t + γ + c B δ 1 17 λ + 4 δ 16 + 11 λ + δ 4 λ 5 .
To understand the shape of the function R ( γ ) , it is necessary to assess the relationship between 2 4 + δ 7 2 δ 5 + 2 δ and 0. We define the new quadratic function S ( δ ) = 2 4 + δ 7 2 δ 5 + 2 δ concerning δ , which is a continuous function for δ [ 0 , 1 ] . As dS ( δ ) d δ = 2 ( 12 δ 2 + 20 δ 7 ) , S ( δ ) is strictly increasing for δ [ 0 , 46 5 6 ] , and strictly decreasing for δ ( 46 5 6 , 1 ] . Moreover, S ( 108 125 ) = 0 , we derive S ( δ ) > 0 when δ [ 0 , 108 125 ] , S ( δ ) < 0 when δ ( 108 125 , 1 ] .
If δ [ 0 , 108 125 ] , S ( δ ) > 0 , the quadratic coefficient of S ( δ ) is positive, the quadratic function R ( γ ) is an upward parabola. Thus, we find that when the traditional firm adopts tiered pricing; Otherwise, the low-carbon firm chooses uniform pricing if 0 < γ < m a x { 0 , γ A 3 } or γ > γ A 4 ; the low-carbon firm chooses tiered pricing if m a x { 0 , γ A 3 } γ γ A 4 .
If δ ( 108 125 , 1 ] , S ( δ ) < 0 , the quadratic coefficient of S ( δ ) is negative; the quadratic function R ( γ ) is an downward parabola. Thus, we find that when a traditional firm adopts tiered pricing, the low-carbon firm chooses uniform pricing if m a x { 0 , γ A 3 } γ γ A 4 ; Otherwise, the low-carbon firm chooses tiered pricing if 0 < γ < m a x { 0 , γ A 3 } or γ > γ A 4 .
When traditional firm adopts tired pricing, we use one concrete example with parameters setting ( t = 1 10 , λ = 21 25 , c A = 11 10 , c B = 3 40 ,) to examine the impact of low-carbon advantage on low-carbon firm’s pricing selection. Figure 3a indicates how low-carbon advantage ( γ ) impacts a low-carbon firm’s pricing selection when a traditional firm chooses tiered pricing. We have the following observations: when low-carbon advantage is low or high, the traditional firm chooses uniform pricing; when the low-carbon advantage is moderate, both low-carbon firms select tiered pricing.  □
Proof of Proposition 7.
In the scenario where the low-carbon firm adopts tiered pricing, we let G ( γ ) = π B T U ( γ ) π B T T ( γ ) and find that G ( γ ) is a quadratic function for γ . By employing the same reasoning process as Proposition 5, we find that the quadratic function G ( γ ) = π B T U ( γ ) π B T T ( γ ) is an upward parabola. Define γ B 3 and γ B 4 as the left and right roots of the quadratic function G ( γ ) = 0 , respectively. We obtain similar results to Proposition 5: When the low-carbon firm adopts uniform pricing, the traditional firm also chooses uniform pricing if the low-carbon advantage is in the range 0 < γ < m a x { 0 , γ B 3 } or γ > γ B 4 . However, the traditional firm adopts tiered pricing if low-carbon advantage falls within the range m a x { 0 , γ B 3 } γ γ B 4 .  □

References

  1. Roemer, N.; Souza, G.C.; Tröster, C.; Voigt, G. Offset or reduce: How should firms implement carbon footprint reduction initiatives? Prod. Oper. Manag. 2023, 32, 2940–2955. [Google Scholar] [CrossRef]
  2. Pan, J.; Wu, K.S.; Yang, C.T.; Lu, C.J.; Lu, S. Using Game Theory to Explore the Multinational Supply Chain Production Inventory Models of Various Carbon Emission Policy Combinations. Mathematics 2024, 12, 1564. [Google Scholar] [CrossRef]
  3. Bian, J.; Zhao, X. Tax or subsidy? An analysis of environmental policies in supply chains with retail competition. Eur. J. Oper. Res. 2020, 283, 901–914. [Google Scholar] [CrossRef]
  4. Bai, Q.; Xu, J.; Gong, Y.; Chauhan, S.S. Robust decisions for regulated sustainable manufacturing with partial demand information: Mandatory emission capacity versus emission tax. Eur. J. Oper. Res. 2022, 298, 874–893. [Google Scholar] [CrossRef]
  5. Fan, X.; Chen, K.; Chen, Y.J. Is price commitment a better solution to control carbon emissions and promote technology investment? Manag. Sci. 2023, 69, 325–341. [Google Scholar] [CrossRef]
  6. Jain, R.; Mittal, M.; Mangla, S.K.; Baraiya, R. Optimizing supply chain strategies for deteriorating items and imperfect manufacturing under carbon emission regulations. Comput. Ind. Eng. 2023, 182, 109350. [Google Scholar] [CrossRef]
  7. Yang, H.; Chen, W. Retailer-driven carbon emission abatement with consumer environmental awareness and carbon tax: Revenue-sharing versus cost-sharing. Omega 2018, 78, 179–191. [Google Scholar] [CrossRef]
  8. Zhou, Z.; Hu, F.; Xiao, D. Optimal pricing strategy of competing manufacturers under carbon policy and consumer environmental awareness. Comput. Ind. Eng. 2020, 150, 106918. [Google Scholar] [CrossRef]
  9. Qi, Q.; Li, S.; Zhang, R.Q. Optimal joint decisions of production and emission reduction considering firms’ risk aversion and carbon tax rate. Int. J. Prod. Res. 2024, 62, 1189–1205. [Google Scholar] [CrossRef]
  10. Zhang, L.; Ren, J.; Zhang, G. Optimal dynamic strategy for emission reduction and operation considering hybrid carbon policy with carbon tax and cap-and-trade. Comput. Ind. Eng. 2024, 187, 109820. [Google Scholar] [CrossRef]
  11. Chen, X.; Hao, G. Sustainable pricing and production policies for two competing firms with carbon emissions tax. Int. J. Prod. Res. 2015, 53, 6408–6420. [Google Scholar] [CrossRef]
  12. Jin, M.; Shi, X.; Emrouznejad, A.; Yang, F. Determining the optimal carbon tax rate based on data envelopment analysis. J. Clean. Prod. 2018, 172, 900–908. [Google Scholar] [CrossRef]
  13. Dou, G.; Guo, H.; Zhang, Q.; Li, X. A two-period carbon tax regulation for manufacturing and remanufacturing production planning. Comput. Ind. Eng. 2019, 128, 502–513. [Google Scholar] [CrossRef]
  14. Shen, B.; Zhu, C.; Li, Q.; Wang, X. Green technology adoption in textiles and apparel supply chains with environmental taxes. Int. J. Prod. Res. 2021, 59, 4157–4174. [Google Scholar] [CrossRef]
  15. Chelly, A.; Nouira, I.; Hadj-Alouane, A.B.; Frein, Y. A comparative study of progressive carbon taxation strategies: Impact on firms’ economic and environmental performances. Int. J. Prod. Res. 2022, 60, 3476–3500. [Google Scholar] [CrossRef]
  16. Xu, X.; Zhang, W.; He, P.; Xu, X. Production and pricing problems in make-to-order supply chain with cap-and-trade regulation. Omega 2017, 66, 248–257. [Google Scholar] [CrossRef]
  17. Kök, A.G.; Shang, K.; Yücel, Ş. Impact of electricity pricing policies on renewable energy investments and carbon emissions. Manag. Sci. 2018, 64, 131–148. [Google Scholar] [CrossRef]
  18. Valogianni, K.; Ketter, W.; Collins, J.; Zhdanov, D. Sustainable electric vehicle charging using adaptive pricing. Prod. Oper. Manag. 2020, 29, 1550–1572. [Google Scholar] [CrossRef]
  19. Nie, T.; Guan, S.; Du, S.; Zhu, S. Pricing strategy selection for the sharing platform with heterogeneous laborers. Comput. Ind. Eng. 2022, 169, 108241. [Google Scholar] [CrossRef]
  20. Ma, X.; Ho, W.; Ji, P.; Talluri, S. Coordinated pricing analysis with the carbon tax scheme in a supply chain. Decis. Sci. 2018, 49, 863–900. [Google Scholar] [CrossRef]
  21. Correia-da Silva, J.; Soares, I.; Fernández, R. Impact of dynamic pricing on investment in renewables. Energy 2020, 202, 117695. [Google Scholar] [CrossRef]
  22. Gao, F.; Souza, G.C. Carbon offsetting with eco-conscious consumers. Manag. Sci. 2022, 68, 7879–7897. [Google Scholar] [CrossRef]
  23. Cai, J.; Jiang, F. Decision models of pricing and carbon emission reduction for low-carbon supply chain under cap-and-trade regulation. Int. J. Prod. Econ. 2023, 264, 108964. [Google Scholar] [CrossRef]
  24. Modak, N.M.; Sinha, S.; Senapati, T.; Simic, V.; Pamucar, D. Game theoretical analysis in two-echelon sustainable supply chains to manage and coordinate strategic decisions. Comput. Ind. Eng. 2024, 192, 110204. [Google Scholar] [CrossRef]
  25. Yi, Y.; Fu, A.; Zhang, S.; Li, Y. Dynamic pricing and joint carbon reduction strategies at the production and consumption end in a dual-channel fuel vehicle supply chain. Energy Econ. 2024, 131, 107396. [Google Scholar] [CrossRef]
  26. Selcuk, C.; Gokpinar, B. Fixed vs. flexible pricing in a competitive market. Manag. Sci. 2018, 64, 5584–5598. [Google Scholar] [CrossRef]
  27. Anand, K.S.; Giraud-Carrier, F.C. Pollution regulation of competitive markets. Manag. Sci. 2020, 66, 4193–4206. [Google Scholar] [CrossRef]
  28. Du, S.; Qian, J.; Liu, T.; Hu, L. Emission allowance allocation mechanism design: A low-carbon operations perspective. Ann. Oper. Res. 2020, 291, 247–280. [Google Scholar] [CrossRef]
  29. Pérez, J.; López-Ospina, H. Competitive Pricing for Multiple Market Segments Considering Consumers’ Willingness to Pay. Mathematics 2022, 10, 3600. [Google Scholar] [CrossRef]
  30. Ji, J.; Li, T.; Yang, L. Pricing and carbon reduction strategies for vertically differentiated firms under Cap-and-Trade regulation. Transp. Res. Part E Logist. Transp. Rev. 2023, 171, 103064. [Google Scholar] [CrossRef]
  31. Chen, X.; Luo, Z.; Wang, X. Compete or cooperate: Intensity, dynamics, and optimal strategies. Omega 2019, 86, 76–86. [Google Scholar] [CrossRef]
  32. Wang, X.; Cho, S.H.; Scheller-Wolf, A. Green technology development and adoption: Competition, regulation, and uncertainty—A global game approach. Manag. Sci. 2021, 67, 201–219. [Google Scholar] [CrossRef]
  33. Du, S.; Huang, C.; Yan, X.; Tang, W. Voluntary green technology adoption: The effects of regulatory uncertainty and competition. Eur. J. Oper. Res. 2024, 315, 528–540. [Google Scholar] [CrossRef]
  34. Zhu, W.; He, Y. Green product design in supply chains under competition. Eur. J. Oper. Res. 2017, 258, 165–180. [Google Scholar] [CrossRef]
  35. El Ouardighi, F.; Sim, J.; Kim, B. Pollution accumulation and abatement policies in two supply chains under vertical and horizontal competition and strategy types. Omega 2021, 98, 102108. [Google Scholar] [CrossRef]
  36. Yu, M.; Cruz, J.M.; Li, D.; Masoumi, A.H. A multiperiod competitive supply chain framework with environmental policies and investments in sustainable operations. Eur. J. Oper. Res. 2022, 300, 112–123. [Google Scholar] [CrossRef]
  37. Luo, Z.; Chen, X.; Wang, X. The role of co-opetition in low carbon manufacturing. Eur. J. Oper. Res. 2016, 253, 392–403. [Google Scholar] [CrossRef]
  38. Murali, K.; Lim, M.K.; Petruzzi, N.C. The effects of ecolabels and environmental regulation on green product development. Manuf. Serv. Oper. Manag. 2019, 21, 519–535. [Google Scholar] [CrossRef]
  39. Asgari, E.; Hammami, R.; Frein, Y.; Nouira, I. The effect of greenness-and price-based competition on a product’s environmental performance. Int. J. Prod. Econ. 2021, 234, 108062. [Google Scholar] [CrossRef]
  40. Lin, X.; Chen, D.; Zhou, Y.W.; Lin, Q. Horizontal mergers in low carbon manufacturing. Eur. J. Oper. Res. 2022, 297, 359–368. [Google Scholar] [CrossRef]
  41. Nematollahi, M.; Tajbakhsh, A.; Sedghy, B.M. The reflection of competition and coordination on organic agribusiness supply chains. Transp. Res. Part E Logist. Transp. Rev. 2021, 154, 102462. [Google Scholar] [CrossRef]
  42. Xu, X.; He, P.; Xu, H.; Zhang, Q. Supply chain coordination with green technology under cap-and-trade regulation. Int. J. Prod. Econ. 2017, 183, 433–442. [Google Scholar] [CrossRef]
  43. Du, S.; Tang, W.; Song, M. Low-carbon production with low-carbon premium in cap-and-trade regulation. J. Clean. Prod. 2016, 134, 652–662. [Google Scholar] [CrossRef]
  44. Golob, U.; Kronegger, L. Environmental consciousness of European consumers: A segmentation-based study. J. Clean. Prod. 2019, 221, 1–9. [Google Scholar] [CrossRef]
  45. Cheng, P.; Ji, G.; Zhang, G.; Shi, Y. A closed-loop supply chain network considering consumer’s low carbon preference and carbon tax under the cap-and-trade regulation. Sustain. Prod. Consum. 2022, 29, 614–635. [Google Scholar] [CrossRef]
  46. Zhang, M.; Wang, N.; Liu, H.; Zhang, Z. Cap allocation rules for an online platform supply chain under cap-and-trade regulation. Int. Trans. Oper. Res. 2023, 31, 2559–2590. [Google Scholar] [CrossRef]
  47. Li, W.; Zhang, X. Can the Exemption of the New Energy Vehicle Purchase Tax Policy Induce Technological Innovation of Automobile Companies? Environ. Sci. Pollut. Res. 2023, 30, 101669–101680. [Google Scholar] [CrossRef]
  48. Meng, X.; Yao, Z.; Nie, J.; Zhao, Y.; Li, Z. Low-carbon product selection with carbon tax and competition: Effects of the power structure. Int. J. Prod. Econ. 2018, 200, 224–230. [Google Scholar] [CrossRef]
  49. Zheng, P.; Pei, W.; Pan, W. Impact of different carbon tax conditions on the behavioral strategies of new energy vehicle manufacturers and governments-A dynamic analysis and simulation based on prospect theory. J. Clean. Prod. 2023, 407, 137132. [Google Scholar] [CrossRef]
  50. Zheng, X.; Govindan, K.; Deng, Q.; Feng, L. Effects of design for the environment on firms’ production and remanufacturing strategies. Int. J. Prod. Econ. 2019, 213, 217–228. [Google Scholar] [CrossRef]
Figure 1. Impacts of γ and δ on the equilibrium results in scenario (U, U). (a) Impact of γ on the equilibrium results. (b) Impact of δ on the equilibrium results.
Figure 1. Impacts of γ and δ on the equilibrium results in scenario (U, U). (a) Impact of γ on the equilibrium results. (b) Impact of δ on the equilibrium results.
Mathematics 12 02082 g001
Figure 2. Firm’s pricing strategy when one adopts uniform pricing strategy. (a) Firm A’s pricing strategy when firm B adopts uniform pricing strategy. (b) Firm B’s pricing strategy when firm A adopts uniform pricing strategy.
Figure 2. Firm’s pricing strategy when one adopts uniform pricing strategy. (a) Firm A’s pricing strategy when firm B adopts uniform pricing strategy. (b) Firm B’s pricing strategy when firm A adopts uniform pricing strategy.
Mathematics 12 02082 g002
Figure 3. Firm’s Pricing strategy when one adopts tiered pricing strategy. (a) Firm A’s pricing strategy when firm B adopts tiered pricing strategy. (b) Firm B’s pricing strategy when firm A adopts tiered pricing strategy.
Figure 3. Firm’s Pricing strategy when one adopts tiered pricing strategy. (a) Firm A’s pricing strategy when firm B adopts tiered pricing strategy. (b) Firm B’s pricing strategy when firm A adopts tiered pricing strategy.
Mathematics 12 02082 g003
Table 1. Notation in the model.
Table 1. Notation in the model.
NotationDefinition
Parameters
γ Low-carbon advantage, where γ > 0
δ Tax rate, where δ [ 0 , 1 ]
vBase value from purchasing units of the product, where v > 0
tDegree of firm differentiation, where t [ 0 , 1 ]
xConsumer location
u i ( j ) Consumer utility of purchasing from firm i in period j, where i A , B , j 1 , 2
c A Production cost for the low-carbon firm in the first period
λ c A Production cost for low-carbon firm in the second period, where 0 < λ < 1
c B Production cost for the traditional firm in period j
D i ( j ) Demand of firm i in period j
π i ( j ) Profit of firm i in period j
Decision variables
p i ( j ) Price of firm i in period j under tiered pricing
p i Price of firm i under uniform pricing
Table 2. Equilibrium results in scenario (U, U).
Table 2. Equilibrium results in scenario (U, U).
ResultLow-Carbon Firm ATraditional Firm B
price              p A U U = 2 ( 3 t + γ + c B ( 1 + δ ) + c A ( 1 + ( 1 + λ + δ λ ) ) 3 ( 2 + δ )              p B U U = 2 ( 3 t γ ) + 4 c B ( 1 + δ ) + c A ( 1 + λ + δ λ ) 6 ( 1 + δ )             
First-period demand D A U U 1 = 4 ( 1 + δ ) ( 3 t + γ + c B ( 1 + δ ) ) + c A ( δ 2 ) ( 1 + λ + δ λ ) 12 t ( 2 + δ ) D B U U 1 = 4 ( 3 t γ ( 1 + δ ) c B ( 1 + δ ) 2 ) + c A ( δ 2 ) ( 1 + λ + δ λ ) 12 t ( 2 + δ )
Second-period demand D A U U 2 = 4 ( 3 t + γ + c B ( 1 + δ ) ) c A ( 2 + 3 δ ) ( 1 + λ + δ λ ) 12 t ( 2 + δ ) D B U U 2 = 4 ( 3 t ( 1 + δ ) γ c B ( 1 + δ ) ) + c A ( 2 + 3 δ ) ( 1 + λ + δ λ ) 12 t ( 2 + δ )
Profit π A U U = ( p A U U c A ) D A U U 1 + ( p A U U λ c A ) D A U U 2 π B U U = ( p B U U c B ) D B U U 1 + ( p B U U c B ) D B U U 2
Note: Superscript U U represents the equilibrium results in scenario (U, U). The profit functions π A U U and π B U U are in the Appendix A.
Table 3. Equilibrium results in scenario (U, T).
Table 3. Equilibrium results in scenario (U, T).
ResultLow-Carbon Firm ATraditional Firm B
First-period price              p A U T = 2 ( 3 t + γ + c B ( 1 + δ ) ) + c A ( 1 + δ ) λ 5 + 2 δ              p B U T 1 = 11 t 3 γ + 2 ( t γ ) δ + c B ( 1 + δ ) ( 7 + 2 δ ) + c A ( 2 + λ + δ λ ) 2 ( 1 + δ ) ( 5 + 2 δ )             
Second-period price p A U T = 2 ( 3 t + γ + c B ( 1 + δ ) ) + c A ( 1 + δ ) λ 5 + 2 δ p B U T 2 = 11 t 3 γ + 8 t δ + c B ( 1 + δ ) ( 7 + 4 δ ) + c A ( 1 + δ ) ( 2 + ( 1 + λ + δ λ ) 2 ( 1 + δ ) ( 5 + 2 δ )
First-period demand D A U T 1 = ( 3 + 2 δ ) ( 3 t + γ + c B ( 1 + δ ) ) c A ( 2 + λ + δ λ ) 4 t ( 5 + 2 δ ) D B U T 1 = 11 t 3 γ + 2 ( t γ ) δ c B ( 1 + δ ) ( 3 + 2 δ ) + c A ( 2 + λ + δ λ ) 4 t ( 5 + 2 δ )
Second-period demand D A U T 2 = 3 ( 3 t + γ + c B ( 1 + δ ) ) c A ( 1 + δ ) ( 2 + λ + δ λ ) 4 t ( 5 + 2 δ ) D B U T 2 = 11 t 3 γ + 8 t δ 3 c B ( 1 + δ ) + c A ( 1 + δ ) ( 2 + λ + δ λ ) 4 t ( 5 + 2 δ )
Profit π A U T = ( p A U T c A ) D A U T 1 + ( p A U T λ c A ) D A U T 2 π B U T = ( p B U T 1 c B ) D B U T 1 + ( p B U T 2 c B ) D B U T 2
Note: Superscript U T represents the equilibrium results in scenario (U, T). The profit functions π A U T and π B U T are in the Appendix A.
Table 4. Equilibrium results in scenario (T, U).
Table 4. Equilibrium results in scenario (T, U).
ResultLow-Carbon Firm ATraditional Firm B
First-period price              p A T U 1 = 11 t + 3 γ + 3 c B ( 1 + δ ) + c A ( 6 + ( 1 + δ ) λ ) 10              p B T U = 6 t 2 γ + 3 c B ( 1 + δ ) + c A ( 1 + ( 1 + δ ) λ ) 5 ( 1 + δ )             
Second-period price p A T U 2 = 11 t + 3 γ + 3 c B ( 1 + δ ) + c A ( 1 + 6 ( 1 + δ ) λ ) 10 ( 1 + δ ) p B T U = 6 t 2 γ + 3 c B ( 1 + δ ) + c A ( 1 + ( 1 + δ ) λ ) 5 ( 1 + δ )
First-period demand D A T U 1 = 11 t + 3 γ + 3 c B ( 1 + δ ) + c A ( 4 + ( 1 + δ ) λ ) 20 t D B T U 1 = 3 ( 3 t γ c B ( 1 + δ ) ) + c A ( 4 ( 1 + δ ) λ ) 20 t
Second-period demand D A T U 2 = 11 t + 3 γ + 3 c B ( 1 + δ ) + c A ( 1 4 ( 1 + δ ) λ ) 20 t D B T U 2 = 3 ( 3 t γ c B ( 1 + δ ) ) + c A ( 1 + 4 ( 1 + δ ) λ ) 20 t
Profit π A T U = ( p A T U 1 c A ) D A T U 1 + ( p A T U 2 λ c A ) D A T U 2 π B T U = ( p B T U c B ) D B T U 1 + ( p B T U c B ) D B T U 2
Note: Superscript T U represents the equilibrium results in scenario (T, U). The profit functions π A T U and π B T U are in Appendix A.
Table 5. Equilibrium results in scenario (T, T).
Table 5. Equilibrium results in scenario (T, T).
ResultLow-Carbon Firm ATraditional Firm B
First-period price              p A T T 1 = 3 t + γ + c B ( 1 + δ ) + 2 c A 3              p B T T 1 = 3 t γ + 2 c B ( 1 + δ ) + c A 3 ( 1 + δ )             
Second-period price p A T T 2 = 3 t + γ + c B ( 1 + δ ) + 2 c A ( 1 + δ ) λ 3 ( 1 + δ ) p B T T 2 = 3 t γ + 2 c B ( 1 + δ ) + c A ( 1 + δ ) λ 3 ( 1 + δ )
First-period demand D A T T 1 = 3 t + γ + c B ( 1 + δ ) c A 6 t D B T T 1 = 3 t γ c B ( 1 + δ ) + c A 6 t
Second-period demand D A T T 2 = 3 t + γ + c B ( 1 + δ ) c A ( 1 + δ ) λ 6 t D B T T 2 = 3 t γ c B ( 1 + δ ) + c A ( 1 + δ ) λ 6 t
Profit π A T T = ( p A T T 1 c A ) D A T T 1 + ( p A T T 2 λ c A ) D A T T 2 π B T T = ( p B T T 1 c B ) D B T T 1 + ( p B T T 2 c B ) D B T T 2
Note: Superscript T T represents the equilibrium results in scenario (T, T). The profit functions π A T T and π B T T are in Appendix A.
Disclaimer/Publisher’s Note: The statements, opinions and data contained in all publications are solely those of the individual author(s) and contributor(s) and not of MDPI and/or the editor(s). MDPI and/or the editor(s) disclaim responsibility for any injury to people or property resulting from any ideas, methods, instructions or products referred to in the content.

Share and Cite

MDPI and ACS Style

Yang, X.; Yang, H.; Huang, H.; Song, K. Evolution of Tax Exemption Policy and Pricing Strategy Selection in a Competitive Market. Mathematics 2024, 12, 2082. https://doi.org/10.3390/math12132082

AMA Style

Yang X, Yang H, Huang H, Song K. Evolution of Tax Exemption Policy and Pricing Strategy Selection in a Competitive Market. Mathematics. 2024; 12(13):2082. https://doi.org/10.3390/math12132082

Chicago/Turabian Style

Yang, Xia, Hui Yang, Hongfu Huang, and Kui Song. 2024. "Evolution of Tax Exemption Policy and Pricing Strategy Selection in a Competitive Market" Mathematics 12, no. 13: 2082. https://doi.org/10.3390/math12132082

APA Style

Yang, X., Yang, H., Huang, H., & Song, K. (2024). Evolution of Tax Exemption Policy and Pricing Strategy Selection in a Competitive Market. Mathematics, 12(13), 2082. https://doi.org/10.3390/math12132082

Note that from the first issue of 2016, this journal uses article numbers instead of page numbers. See further details here.

Article Metrics

Back to TopTop