Fractional Adaptive Resonance Theory (FRA-ART): An Extension for a Stream Clustering Method with Enhanced Data Representation
Abstract
1. Introduction
- (1)
- Presenting a novel ART-based data stream clustering method in which we introduce the fractional order information into ART to make it more flexible and further promote the ability of data representation.
- (2)
- Extending a Fuzzy ART utilizing novel method for creating flexible decision boundaries through the use of fractionally self-interactive or cross-interactive basis functions (SIBFs or CIBFs). Note our work is the first attempt to employ the interactive basis function for the data stream clustering problem. Furthermore, non-linear partitions can also be achieved based on the selected basis functions.
- (3)
- Proposed SIBFs and CIBFs can be precomputed once independently and then used as an input to any variants of the ART with additional low complexity. As only the inputs to the algorithm vary, this suggests that basis functions can be utilized in numerous existing implementations of ART.
2. Related Works
2.1. Elementary Frameworks of ART Models
- Input filed : this is the input layer. The output of this layer propagates the input samples to the layer through the bottom-up long-term memory units (LTMs) . The comparison layer compares the input sample x with the ’s expectation and then sends the outcome to the orienting subsystem.
- Category field : this is the competitive layer. The network output (short-term memory units) is yielded in this layer. The LTM related to category j is , , where indicates the LTM of a given category.
- Orienting subsystem: this subsystem controls the learning and search mechanisms by inhibiting and permitting categories to resonate.
2.2. Fuzzy ART
3. The Fractional ART Model for Data Stream Clustering
3.1. Self-Interactive and Cross-Interactive Basis Functions (SIBFs and CIBFs)
3.1.1. Self-Interactive Basis Functions (SIBFs)
3.1.2. Cross-Interactive Basis Functions (CIBFs)
3.2. The FRA-ART Algorithm
| Algorithm 1 FRA-ART |
|
3.3. Complexity Analysis
4. Experiments
4.1. Datasets and Parameters Setting
- letter4: letter4 is an artificial dataset. It is generated by a Java Code (https://github.com/feldob/Token-Cluster-Generator, accessed on 1 September 2023). It contains 7 classes and 9344 samples with 2 dimensions.
- Kddcup99 (http://archive.ics.uci.edu/ml/datasets/KDD+Cup+1999+Data, accessed on 1 September 2023): Kddcup99 stream is the dataset used in the KDD CUP challenge held in 1999. It consists of 23 classes and 494,021 samples with 41 dimensions.
- CoverType (https://archive.ics.uci.edu/ml/datasets/Covertype, accessed on 1 September 2023): The vegetation coverage type dataset includes four wilderness areas in northern Colorado, USA, located in the Roosevelt National Forest. The total number of samples is 581,012, each with 54 features and 7 types.
- Powersupply (http://www.cse.fau.edu/~xqzhu/stream.html, accessed on 1 September 2023): Powersupply stream contains hourly power supply data of an Italian electricity company which records the power from two sources: power supply from the main grid and power transformed from other grids. This stream contains three-year power supply records from 1995 to 1998. The concept drift in this stream mainly comes from season, weather, hours of a day (e.g., morning and evening), and the differences between working days and weekends. It consists of 29,928 samples, 2 attributes, and 24 classes.
- Sensor (http://www.cse.fau.edu/~xqzhu/stream.html, accessed on 1 September 2023): Sensor stream contains information (temperature, humidity, light, and sensor voltage) collected from 54 sensors deployed in the Intel Berkeley Research Lab. The whole stream contains consecutive information recorded over a 2-month period (1 reading per 1–3 min). It consists of 2,219,803 samples, 5 attributes, and 54 classes.
4.2. Evaluation Criteria
- Accuracy is calculated by:where K denotes the number of clusters. denotes the number of points with the dominant class label in cluster i. denotes the number of points in cluster i. Acc measures the purity of the clusters in terms of the true cluster (class) labels that are known for our datasets, and the value of it is in the range [0, 1].
- Normalized Mutual Information evaluates the similarity of two clustering results from an information theoretic point of view. The value is in the range [0,1]. A higher value means that more information is shared with the true results, and the clustering performance is better. Unlike Acc, NMI is independent of the absolute values of the labels, a permutation of the class or cluster label values will not change the score value in any way. Considering the two clustering labels, and , associated with the groups of and , respectively. We can denote the number of objects in cluster corresponding to as , and the number of objects in cluster corresponding to as . Furthermore, let us denote the number of objects that fall into both clusters and as . Next, the NMI is denoted as:
- The Rand index is defined as:where is the number of pairs of points that exist in the same cluster in both given correct labels and the clustering result, is the number of pairs of points that exist in different subsets for both given correct labels and the clustering result. The value of RI is also in the range [0, 1].
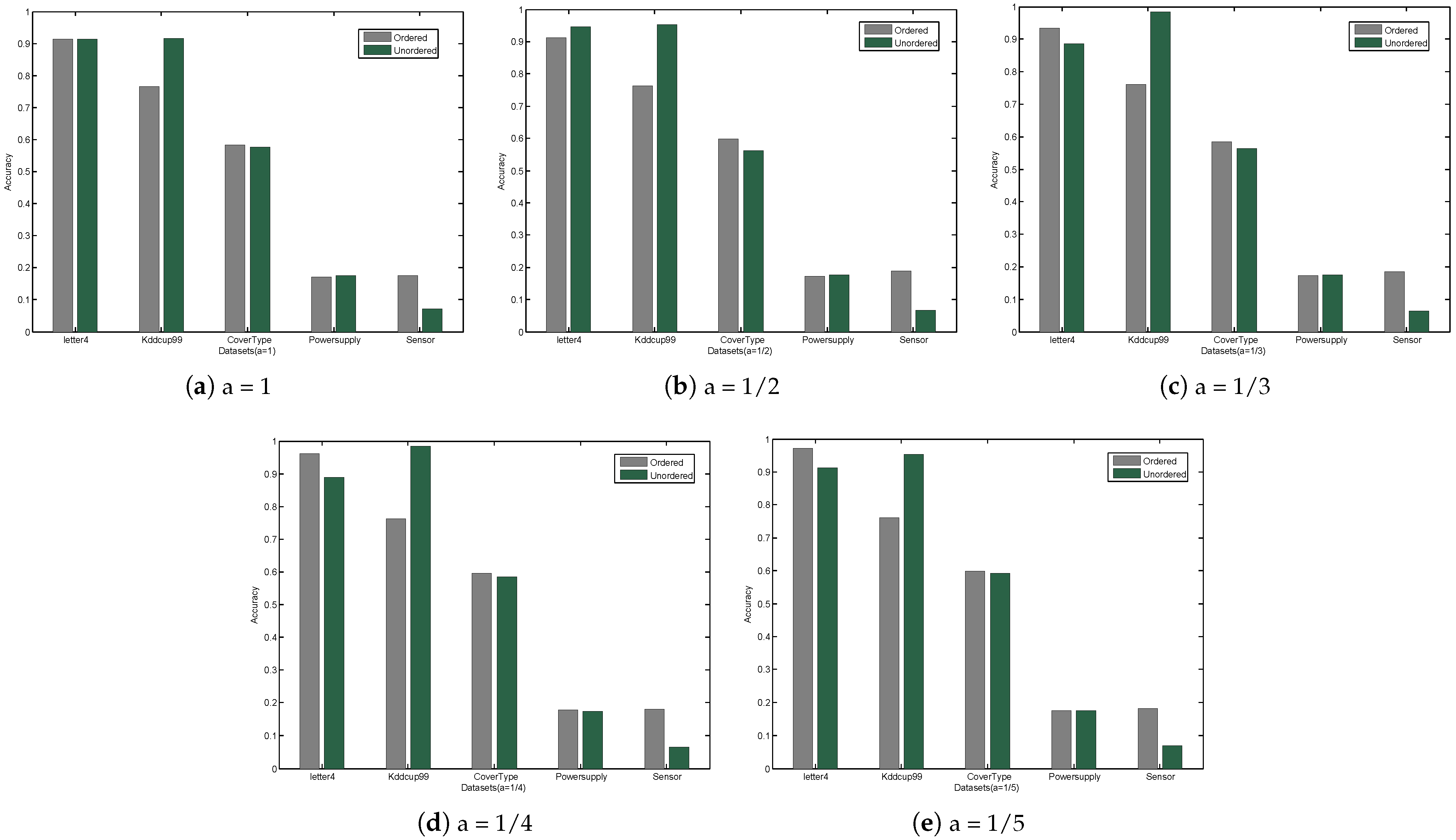
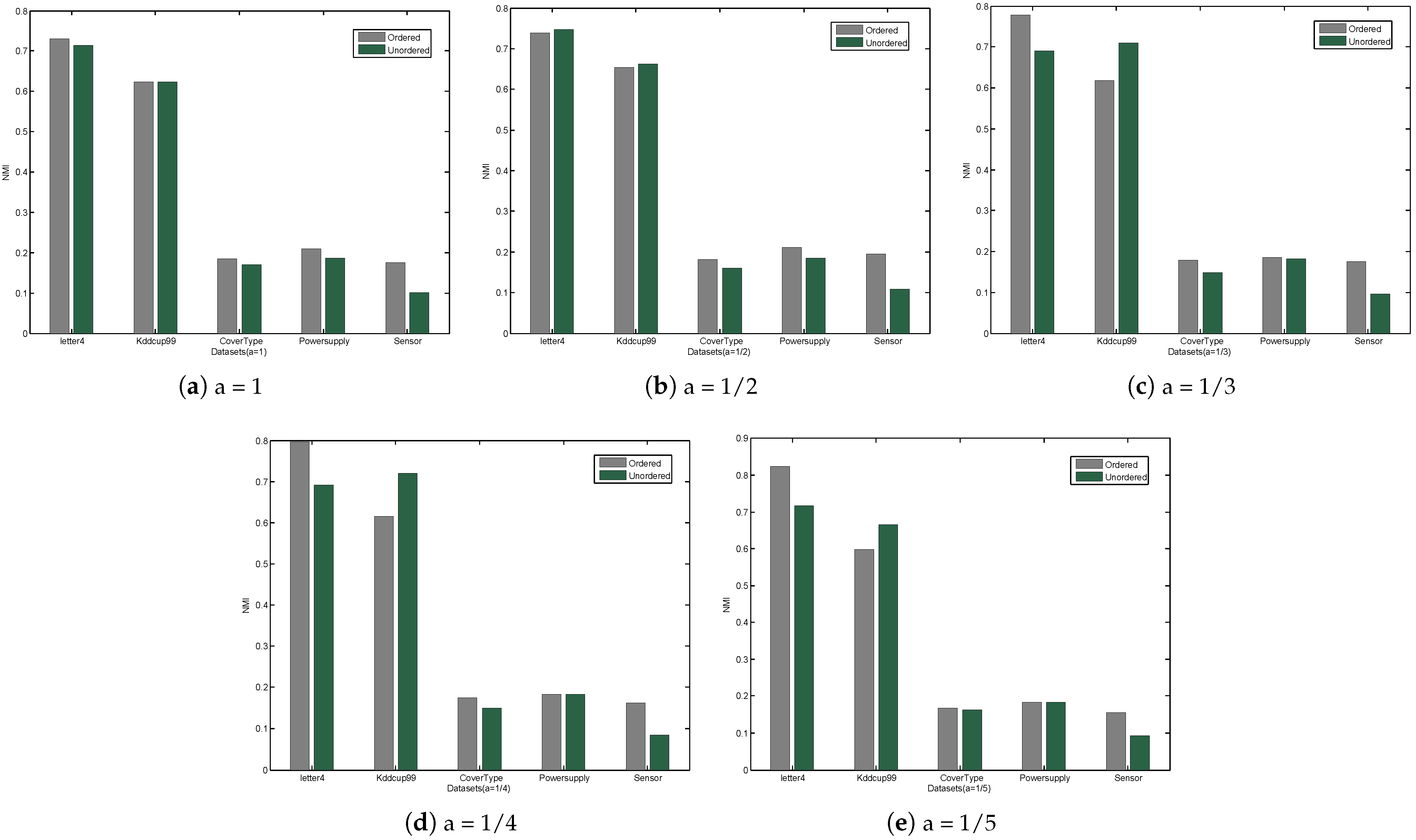
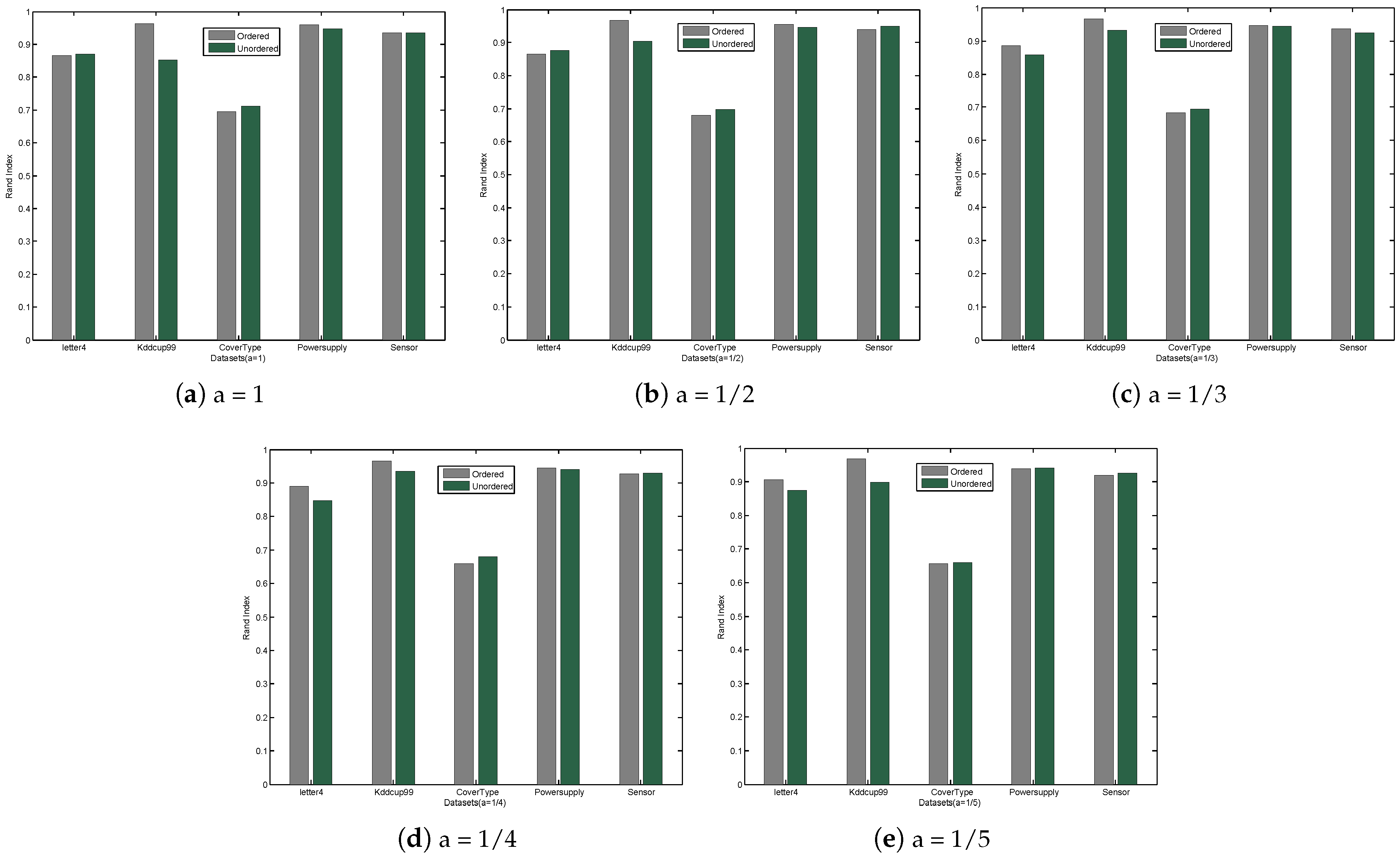
4.3. Comparison on Clustering Performance
- (1)
- The Accuracy values, NMI values and RI values of Fuzzy ART are all higher than those of the G-Stream algorithm except for the Powersupply dataset. However, FRA-ART using fractional order has a different degree of improvement compared with Fuzzy ART on five datasets. Interestingly, FRA-ART with CIBFs achieves much better performance than the counterpart with SIBFs. The reason may be that after the process of normalization and fractionally cross-interactive basis functions, the value of each feature is magnified while also falling between 0 and 1, which combines many individual features and provides information useful for clustering, thus making the FRA-ART more flexible.
- (2)
- As shown in Table 4, the proposed FRA-ART using Equation (28) obtains better performance than Fuzzy ART across letter4, Kddcup99, Powersupply datasets in terms of Accuracy. Surprisingly, on letter4, it achieves the best result with , on Kddcup99, it achieves the best result with , on Powersupply, it achieves the best result with . Meanwhile, the proposed FRA-ART using Equation (31) performs significantly better than Fuzzy ART on CoverType and Sensor. On CoverType, it obtains the best result with when using Equation (13), on Sensor, it obtains the best result with when using Equation (30). The most striking implication of the results in the table is that when using an exponential function, the results are significantly better.
- (3)
- (4)
- (5)
4.4. Effect of Non-Stationarity
4.4.1. Concept Drift
4.4.2. Visualization
4.5. Effect of Vigilance Parameter
5. Discussion
6. Conclusions
Author Contributions
Funding
Data Availability Statement
Conflicts of Interest
References
- Zhang, Q.; Zhu, Y.; Yang, M.; Jin, G.; Zhu, Y.; Chen, Q. Cross-to-merge training with class balance strategy for learning with noisy labels. Expert Syst. Appl. 2024, 249, 123846. [Google Scholar] [CrossRef]
- Jin, G.; Liu, C.; Chen, X. An efficient deep neural network framework for COVID-19 lung infection segmentation. Inf. Sci. 2022, 612, 745–758. [Google Scholar] [CrossRef] [PubMed]
- Silva, J.A.; Faria, E.R.; Barros, R.C.; Hruschka, E.R.; de Carvalho, A.C.; Gama, J. Data stream clustering: A survey. ACM Comput. Surv. 2013, 46, 1–13. [Google Scholar] [CrossRef]
- Li, Y.; Yang, G.; He, H.; Jiao, L.; Shang, R. A study of large-scale data clustering based on fuzzy clustering. Soft Comput. 2016, 20, 3231–3242. [Google Scholar] [CrossRef]
- Zhang, P.; Shen, Q. Fuzzy c-means based coincidental link filtering in support of inferring social networks from spatiotemporal data streams. Soft Comput. 2018, 22, 7015–7025. [Google Scholar] [CrossRef]
- Stratos, M.; Eirini, N.; Nikos, P.; Yannis, T. An evaluation of data stream clustering algorithms. Stat. Anal. Data Min. 2018, 11, 167–187. [Google Scholar]
- Laurinec, P.; Lucká, M. Interpretable multiple data streams clustering with clipped streams representation for the improvement of electricity consumption forecasting. Data Min. Knowl. Discov. 2019, 33, 413–445. [Google Scholar] [CrossRef]
- Forestiero, A.; Pizzuti, C.; Spezzano, G. A single pass algorithm for clustering evolving data streams based on swarm intelligence. Data Min. Knowl. Discov. 2013, 26, 1–26. [Google Scholar] [CrossRef]
- Appice, A.; Ciampi, A.; Malerba, D. Summarizing numeric spatial data streams by trend cluster discovery. Data Min. Knowl. Discov. 2015, 29, 84–136. [Google Scholar] [CrossRef]
- Wang, H.B.; Hui, X.B.; Lin, J.F. The research of data stream mining and application in fault diagnosis of equipment. In Mechanical Engineering and Control Systems: Proceedings of the 2016 International Conference on Mechanical Engineering and Control System (MECS2016), Wuhan, China, 27–29 October 2016; World Scientific: Singapore, 2017; pp. 101–107. [Google Scholar]
- Souza, V.M.; dos Reis, D.M.; Maletzke, A.G.; Batista, G.E. Challenges in benchmarking stream learning algorithms with real-world data. Data Min. Knowl. Discov. 2020, 34, 1805–1858. [Google Scholar] [CrossRef]
- Huang, L.; Wang, C.D.; Chao, H.Y.; Yu, P.S. MVStream: Multiview Data Stream Clustering. IEEE Trans. Neural Netw. Learn. Syst. 2019, 31, 3482–3496. [Google Scholar] [CrossRef] [PubMed]
- Zubaroğlu, A.; Atalay, V. Data stream clustering: A review. Artif. Intell. Rev. 2021, 54, 1201–1236. [Google Scholar] [CrossRef]
- Zhou, Z.H. Stream efficient learning. arXiv 2023, arXiv:2305.02217. [Google Scholar]
- O’callaghan, L.; Mishra, N.; Meyerson, A.; Guha, S.; Motwani, R. Streaming-data algorithms for high-quality clustering. In Proceedings of the International Conference on Data Engineering, San Jose, CA, USA, 26 February–1 March 2002; IEEE: Piscataway, NJ, USA, 2002; pp. 685–694. [Google Scholar]
- Ackermann, M.R.; Märtens, M.; Raupach, C.; Swierkot, K.; Lammersen, C.; Sohler, C. Streamkm++ a clustering algorithm for data streams. J. Exp. Algorithm. 2012, 17, 2.1–2.3. [Google Scholar]
- Puschmann, D.; Barnaghi, P.; Tafazolli, R. Adaptive Clustering for Dynamic IoT Data Streams. IEEE Internet Things J. 2016, 4, 64–74. [Google Scholar] [CrossRef]
- de Andrade Silva, J.; Hruschka, E.R.; Gama, J. An evolutionary algorithm for clustering data streams with a variable number of clusters. Expert Syst. Appl. 2017, 67, 228–238. [Google Scholar] [CrossRef]
- Udommanetanakit, K.; Rakthanmanon, T.; Waiyamai, K. E-stream: Evolution-based technique for stream clustering. In Proceedings of the International Conference on Advanced Data Mining and Applications, Harbin, China, 6–8 August 2007; Springer: Berlin/Heidelberg, Germany, 2007; pp. 605–615. [Google Scholar]
- Zhou, A.; Cao, F.; Qian, W.; Jin, C. Tracking clusters in evolving data streams over sliding windows. Knowl. Inf. Syst. 2008, 15, 181–214. [Google Scholar] [CrossRef]
- Kranen, P.; Assent, I.; Baldauf, C.; Seidl, T. The clustree: Indexing micro-clusters for anytime stream mining. Knowl. Inf. Syst. 2011, 29, 249–272. [Google Scholar] [CrossRef]
- Kriegel, H.P.; Kröger, P.; Ntoutsi, I.; Zimek, A. Density based subspace clustering over dynamic data. In Proceedings of the International Conference on Scientific and Statistical Database Management, Portland, OR, USA, 20–22 July 2011; Springer: Berlin/Heidelberg, Germany, 2011; pp. 387–404. [Google Scholar]
- Tasoulis, D.K.; Ross, G.; Adams, N.M. Visualising the cluster structure of data streams. In Proceedings of the International Symposium on Intelligent Data Analysis, Ljubljana, Slovenia, 6–8 September 2007; Springer: Berlin/Heidelberg, Germany, 2007; pp. 81–92. [Google Scholar]
- Cao, F.; Estert, M.; Qian, W.; Zhou, A. Density-based clustering over an evolving data stream with noise. In Proceedings of the 2006 SIAM International Conference on Data Mining, Bethesda, MD, USA, 20–22 April 2006; SIAM: Philadelphia, PA, USA, 2006; pp. 328–339. [Google Scholar]
- Hyde, R.; Angelov, P.; Mackenzie, A.R. Fully online clustering of evolving data streams into arbitrarily shaped clusters. Inf. Sci. 2016, 382–383, 96–114. [Google Scholar] [CrossRef]
- Hahsler, M.; Bolaños, M. Clustering data streams based on shared density between micro-clusters. IEEE Trans. Knowl. Data Eng. 2016, 28, 1449–1461. [Google Scholar] [CrossRef]
- Yin, C.; Xia, L.; Zhang, S.; Sun, R.; Wang, J. Improved clustering algorithm based on high-speed network data stream. Soft Comput. 2018, 22, 4185–4195. [Google Scholar] [CrossRef]
- Fahy, C.; Yang, S.; Gongora, M. Ant colony stream clustering: A fast density clustering algorithm for dynamic data streams. IEEE Trans. Cybern. 2018, 49, 2215–2228. [Google Scholar] [CrossRef] [PubMed]
- Wan, L.; Ng, W.K.; Dang, X.H.; Yu, P.S.; Zhang, K. Density-based clustering of data streams at multiple resolutions. ACM Trans. Knowl. Discov. Data 2009, 3, 14. [Google Scholar] [CrossRef]
- Chen, Y.; Tu, L. Density-based clustering for real-time stream data. In Proceedings of the 13th ACM SIGKDD International Conference on Knowledge Discovery and Data Mining, San Jose, CA, USA, 12–15 August 2007; ACM: New York, NY, USA, 2007; pp. 133–142. [Google Scholar]
- Amini, A.; Saboohi, H.; Herawan, T.; Wah, T.Y. MuDi-Stream: A multi density clustering algorithm for evolving data stream. J. Netw. Comput. Appl. 2016, 59, 370–385. [Google Scholar] [CrossRef]
- Smith, T.; Alahakoon, D. Growing self-organizing map for online continuous clustering. In Foundations of Computational Intelligence; Springer: Berlin/Heidelberg, Germany, 2009; Volume 4, pp. 49–83. [Google Scholar]
- Ghesmoune, M.; Lebbah, M.; Azzag, H. A new growing neural gas for clustering data streams. Neural Netw. 2016, 78, 36–50. [Google Scholar] [CrossRef] [PubMed]
- Dang, X.H.; Lee, V.; Ng, W.K.; Ciptadi, A.; Ong, K.L. An EM-based algorithm for clustering data streams in sliding windows. In Proceedings of the International Conference on Database Systems for Advanced Applications, Brisbane, Australia, 21–23 April 2009; Springer: Berlin/Heidelberg, Germany, 2009; pp. 230–235. [Google Scholar]
- Zhu, Y.; Chen, S. Growing neural gas with random projection method for high-dimensional data stream clustering. Soft Comput. 2020, 24, 9789–9807. [Google Scholar] [CrossRef]
- Wunsch, D.C. Admiring the Great Mountain: A Celebration Special Issue in Honor of Stephen Grossberg’s 80th Birthday. Neural Netw. 2019, 120, 1–4. [Google Scholar] [CrossRef] [PubMed]
- Carpenter, G.A.; Grossberg, S. A massively parallel architecture for a self-organizing neural pattern recognition machine. Comput. Vision Graph. Image Process. 1987, 37, 54–115. [Google Scholar] [CrossRef]
- Carpenter, G.A.; Grossberg, S. ART 2: Self-organization of stable category recognition codes for analog input patterns. Appl. Opt. 1987, 26, 4919–4930. [Google Scholar] [CrossRef]
- Carpenter, G.A.; Grossberg, S.; Rosen, D.B. Art 2-A: An adaptive resonance algorithm for rapid category learning and recognition. Neural Netw. 1991, 4, 493–504. [Google Scholar] [CrossRef]
- Carpenter, G.A.; Grossberg, S. ART 3: Hierarchical search using chemical transmitters in self-organizing pattern recognition architectures. Neural Netw. 1990, 3, 129–152. [Google Scholar] [CrossRef]
- Carpenter, G.A.; Grossberg, S.; Rosen, D.B. Fuzzy ART: Fast stable learning and categorization of analog patterns by an adaptive resonance system. Neural Netw. 1991, 4, 759–771. [Google Scholar] [CrossRef]
- Williamson, J.R. Gaussian ARTMAP: A neural network for fast incremental learning of noisy multidimensional maps. Neural Netw. 1996, 9, 881–897. [Google Scholar] [CrossRef] [PubMed]
- Anagnostopoulos, G.C.; Georgiopulos, M. Hypersphere ART and ARTMAP for unsupervised and supervised, incremental learning. In Proceedings of the IEEE-INNS-ENNS International Joint Conference on Neural Networks. IJCNN 2000. Neural Computing: New Challenges and Perspectives for the New Millennium, Como, Italy, 24–27 July 2000; Volume 6, pp. 59–64. [Google Scholar]
- Tscherepanow, M. TopoART: A topology learning hierarchical ART network. In Proceedings of the International Conference on Artificial Neural Networks, Thessaloniki, Greece, 15–18 September 2010; pp. 157–167. [Google Scholar]
- Silva, L.E.B.D.; Elnabarawy, I.; Wunsch, I.D.C. Distributed dual vigilance fuzzy adaptive resonance theory learns online, retrieves arbitrarily-shaped clusters, and mitigates order dependence. Neural Netw. 2020, 121, 208–228. [Google Scholar] [CrossRef]
- Silva, L.E.B.D.; Elnabarawy, I.; Wunsch, D.C. Dual vigilance fuzzy adaptive resonance theory. Neural Netw. 2019, 109, 1–5. [Google Scholar] [CrossRef] [PubMed]
- Meng, L.; Tan, A.; Wunsch, D.C. Adaptive Scaling of Cluster Boundaries for Large-Scale Social Media Data Clustering. IEEE Trans. Neural Netw. 2016, 27, 2656–2669. [Google Scholar] [CrossRef] [PubMed]
- Meng, L.; Tan, A.; Miao, C. Salience-aware adaptive resonance theory for large-scale sparse data clustering. Neural Netw. 2019, 120, 143–157. [Google Scholar] [CrossRef]
- Paez, A.; Lopez, F.A.; Ruiz, M.; Camacho, M. Inducing non-orthogonal and non-linear decision boundaries in decision trees via interactive basis functions. Expert Syst. Appl. 2019, 122, 183–206. [Google Scholar] [CrossRef]
- Da Silva, L.E.B.; Elnabarawy, I.; Wunsch Ii, D.C. A survey of adaptive resonance theory neural network models for engineering applications. Neural Netw. 2019, 120, 167–203. [Google Scholar] [CrossRef]
- Granger, E.; Savaria, Y.; Lavoie, P.; Cantin, M.A. A comparison of self-organizing Neural Netw. for fast clustering of radar pulses. Signal Process. 1998, 64, 249–269. [Google Scholar] [CrossRef]
- Webb, G.I.; Hyde, R.; Cao, H.; Nguyen, H.L.; Petitjean, F. Characterizing concept drift. Data Min. Knowl. Discov. 2016, 30, 964–994. [Google Scholar] [CrossRef]







| Algorithms | Category | Online | Adaptivity | Topology | Detectability | High-Dimensional |
|---|---|---|---|---|---|---|
| STREAM | partitioning | ✓ | ✕ | ✕ | ✕ | ✕ |
| streamKM++ | partitioning | ✕ | ✕ | ✕ | ✕ | ✕ |
| streamingKMeans | partitioning | ✓ | ✓ | ✕ | ✓ | ✓ |
| Adaptive Streaming k-Means | partitioning | ✓ | ✓ | ✕ | ✓ | ✓ |
| FEAC-Stream | partitioning | ✓ | ✓ | ✕ | ✓ | ✓ |
| E-Stream | hierarchical | ✕ | ✓ | ✕ | ✓ | ✕ |
| SWClustering | hierarchical | ✕ | ✓ | ✕ | ✓ | ✕ |
| ClusTree | hierarchical | ✕ | ✓ | ✕ | ✓ | ✕ |
| OPTICS-Stream | density | ✕ | ✓ | ✕ | ✓ | ✕ |
| DenStream | density | ✕ | ✓ | ✕ | ✓ | ✕ |
| incPreDecon | density | ✓ | ✓ | ✕ | ✕ | ✓ |
| CEDAS | density | ✓ | ✓ | ✕ | ✓ | ✓ |
| DBStream | density | ✕ | ✓ | ✕ | ✓ | ✓ |
| IDS | density | ✕ | ✓ | ✕ | ✓ | ✓ |
| ACSC | density | ✓ | ✓ | ✕ | ✓ | ✕ |
| MR-Stream | grid | ✕ | ✓ | ✕ | ✓ | ✕ |
| D-Stream | grid | ✕ | ✓ | ✕ | ✓ | ✕ |
| MuDi-Stream | grid | ✕ | ✓ | ✕ | ✓ | ✕ |
| G-Stream | model | ✓ | ✓ | ✓ | ✓ | ✕ |
| GCPSOM | model | ✓ | ✓ | ✓ | ✓ | ✕ |
| SWEM | model | ✓ | ✓ | ✕ | ✓ | ✕ |
| RPGStream | model | ✓ | ✓ | ✓ | ✓ | ✓ |
| Dataset | Letter4 | Kddcup99 | CoverType | Powersupply | Sensor |
|---|---|---|---|---|---|
| #samples | 9344 | 494,021 | 581,012 | 29,928 | 2,219,803 |
| #features | 2 | 41 | 54 | 2 | 5 |
| #classes | 7 | 23 | 7 | 24 | 54 |
| Dataset | Letter4 | Kddcup99 | CoverType | Powersupply | Sensor | |
|---|---|---|---|---|---|---|
| FRA-ART | 0.8 | 0.8 | 0.8 | 0.95 | 0.8 | |
| Fuzzy ART | 0.8 | 0.8 | 0.8 | 0.95 | 0.8 | |
| G-Stream | , , , , , | |||||
| , , and | ||||||
| Algorithm | Datasets | Letter4 | Kddcup99 | CoverType | Powersupply | Sensor |
|---|---|---|---|---|---|---|
| G-Stream | - | 0.9515 | 0.9814 | 0.5201 | 0.1752 | 0.0551 |
| Fuzzy ART | - | 0.96 | 0.9827 | 0.5935 | 0.1748 | 0.0676 |
| FRA-ART (SIBFs using Equation (13)) | a = 1/2 | 0.9891 | 0.9009 | 0.6014 | 0.1748 | 0.0616 |
| a = 1/3 | 0.996 | 0.985 | 0.573 | 0.174 | 0.067 | |
| a = 1/4 | 0.972 | 0.901 | 0.569 | 0.173 | 0.0608 | |
| a = 1/5 | 0.9403 | 0.9862 | 0.6008 | 0.17 | 0.0606 | |
| FRA-ART (SIBFs using Equation (14)) | a = 1/2 | 0.983 | 0.9855 | 0.5908 | 0.1774 | 0.0583 |
| a = 1/3 | 0.9967 | 0.9868 | 0.5841 | 0.174 | 0.0597 | |
| a = 1/4 | 0.9832 | 0.9858 | 0.5876 | 0.1748 | 0.0584 | |
| a = 1/5 | 0.9608 | 0.9874 | 0.5914 | 0.1715 | 0.0575 | |
| FRA-ART (SIBFs using Equation (15)) | a = 1/2 | 0.9599 | 0.9802 | 0.5963 | 0.1735 | 0.0658 |
| a = 1/3 | 0.9599 | 0.9838 | 0.596 | 0.1755 | 0.0665 | |
| a = 1/4 | 0.9635 | 0.9849 | 0.5962 | 0.1761 | 0.0635 | |
| a = 1/5 | 0.9633 | 0.9852 | 0.5883 | 0.1757 | 0.0626 | |
| FRA-ART (CIBFs using Equation (27)) | a = 1 | 0.9142 | 0.984 | 0.5935 | 0.1746 | 0.064 |
| a = 1/2 | 0.9129 | 0.9835 | 0.6014 | 0.1758 | 0.0626 | |
| a = 1/3 | 0.9585 | 0.9818 | 0.5734 | 0.1757 | 0.0652 | |
| a = 1/4 | 0.961 | 0.9833 | 0.5689 | 0.173 | 0.0659 | |
| a = 1/5 | 0.973 | 0.9822 | 0.6008 | 0.175 | 0.0626 | |
| FRA-ART (CIBFs using Equation (28)) | a = 1 | 0.9889 | 0.9827 | 0.5935 | 0.1749 | 0.0677 |
| a = 1/2 | 0.9605 | 0.9855 | 0.5908 | 0.1777 | 0.0627 | |
| a = 1/3 | 0.9991 | 0.9868 | 0.5841 | 0.1757 | 0.061 | |
| a = 1/4 | 0.9998 | 0.9858 | 0.5876 | 0.1786 | 0.0657 | |
| a = 1/5 | 0.9891 | 0.9874 | 0.5914 | 0.1766 | 0.055 | |
| FRA-ART (CIBFs using Equation (29)) | a = 1 | 0.9401 | 0.8981 | 0.5726 | 0.1734 | 0.0639 |
| a = 1/2 | 0.9224 | 0.9805 | 0.5963 | 0.1735 | 0.0663 | |
| a = 1/3 | 0.9258 | 0.9838 | 0.596 | 0.1742 | 0.0668 | |
| a = 1/4 | 0.9318 | 0.9838 | 0.5962 | 0.1731 | 0.0649 | |
| a = 1/5 | 0.9185 | 0.9664 | 0.5883 | 0.173 | 0.0679 | |
| FRA-ART (CIBFs using Equation (30)) | a = 1 | 0.9458 | 0.9799 | 0.576 | 0.1739 | 0.0663 |
| a = 1/2 | 0.9045 | 0.9854 | 0.5601 | 0.1762 | 0.0687 | |
| a = 1/3 | 0.9343 | 0.9843 | 0.5918 | 0.1733 | 0.0704 | |
| a = 1/4 | 0.9652 | 0.9168 | 0.577 | 0.173 | 0.0635 | |
| a = 1/5 | 0.9891 | 0.9874 | 0.5997 | 0.1756 | 0.062 | |
| FRA-ART (CIBFs using Equation (31)) | a = 1 | 0.9142 | 0.9164 | 0.5833 | 0.1746 | 0.0704 |
| a = 1/2 | 0.9129 | 0.9533 | 0.5978 | 0.1758 | 0.0674 | |
| a = 1/3 | 0.935 | 0.9842 | 0.5838 | 0.1757 | 0.0636 | |
| a = 1/4 | 0.961 | 0.9849 | 0.5959 | 0.173 | 0.0658 | |
| a = 1/5 | 0.973 | 0.9536 | 0.5973 | 0.175 | 0.0691 |
| Algorithm | Datasets | Letter4 | Kddcup99 | CoverType | Powersupply | Sensor |
|---|---|---|---|---|---|---|
| G-Stream | - | 0.5991 | 0.6449 | 0.0919 | 0.1732 | 0.0679 |
| Fuzzy ART | - | 0.7368 | 0.7347 | 0.1732 | 0.186 | 0.0879 |
| FRA-ART (SIBFs using Equation (13)) | a = 1/2 | 0.842 | 0.6316 | 0.1709 | 0.1833 | 0.078 |
| a = 1/3 | 0.8545 | 0.7365 | 0.1477 | 0.1844 | 0.0816 | |
| a = 1/4 | 0.8162 | 0.617 | 0.1548 | 0.1854 | 0.0762 | |
| a = 1/5 | 0.8106 | 0.7454 | 0.1583 | 0.1865 | 0.0686 | |
| FRA-ART (SIBFs using Equation (14)) | a = 1/2 | 0.8135 | 0.7835 | 0.1558 | 0.1865 | 0.0704 |
| a = 1/3 | 0.8372 | 0.7756 | 0.1465 | 0.185 | 0.0733 | |
| a = 1/4 | 0.8152 | 0.7294 | 0.1494 | 0.1863 | 0.0782 | |
| a = 1/5 | 0.8457 | 0.7613 | 0.1496 | 0.1859 | 0.0705 | |
| FRA-ART (SIBFs using Equation (15)) | a = 1/2 | 0.7387 | 0.7086 | 0.1593 | 0.1856 | 0.0816 |
| a = 1/3 | 0.7381 | 0.748 | 0.1676 | 0.1878 | 0.0835 | |
| a = 1/4 | 0.7351 | 0.7287 | 0.165 | 0.186 | 0.0813 | |
| a = 1/5 | 0.74 | 0.7568 | 0.1678 | 0.1851 | 0.0767 | |
| FRA-ART (CIBFs using Equation (27)) | a = 1 | 0.7308 | 0.7194 | 0.1732 | 0.186 | 0.0791 |
| a = 1/2 | 0.7392 | 0.7292 | 0.1709 | 0.1845 | 0.0749 | |
| a = 1/3 | 0.7641 | 0.7301 | 0.1477 | 0.1829 | 0.0803 | |
| a = 1/4 | 0.796 | 0.7397 | 0.1548 | 0.1834 | 0.078 | |
| a = 1/5 | 0.8235 | 0.7209 | 0.1583 | 0.1824 | 0.0753 | |
| FRA-ART (CIBFs using Equation (28)) | a = 1 | 0.7897 | 0.7347 | 0.1732 | 0.184 | 0.0866 |
| a = 1/2 | 0.7398 | 0.7835 | 0.1558 | 0.186 | 0.0795 | |
| a = 1/3 | 0.8078 | 0.7756 | 0.1465 | 0.1844 | 0.0803 | |
| a = 1/4 | 0.8558 | 0.7294 | 0.1494 | 0.1834 | 0.0838 | |
| a = 1/5 | 0.842 | 0.7613 | 0.1496 | 0.1819 | 0.0693 | |
| FRA-ART (CIBFs using Equation (29)) | a = 1 | 0.7403 | 0.6063 | 0.1624 | 0.1849 | 0.0746 |
| a = 1/2 | 0.7364 | 0.7275 | 0.1593 | 0.1843 | 0.0808 | |
| a = 1/3 | 0.7328 | 0.7658 | 0.1676 | 0.1833 | 0.0798 | |
| a = 1/4 | 0.7558 | 0.7468 | 0.165 | 0.1851 | 0.0769 | |
| a = 1/5 | 0.7446 | 0.6952 | 0.1678 | 0.1857 | 0.0848 | |
| FRA-ART (CIBFs using Equation (30)) | a = 1 | 0.7738 | 0.7165 | 0.1725 | 0.1878 | 0.0939 |
| a = 1/2 | 0.7205 | 0.7317 | 0.1746 | 0.185 | 0.0971 | |
| a = 1/3 | 0.7222 | 0.7029 | 0.1834 | 0.1847 | 0.0941 | |
| a = 1/4 | 0.7793 | 0.6214 | 0.1718 | 0.184 | 0.0928 | |
| a = 1/5 | 0.842 | 0.7613 | 0.1771 | 0.1833 | 0.0755 | |
| FRA-ART (CIBFs using Equation (31)) | a = 1 | 0.7308 | 0.6226 | 0.1849 | 0.186 | 0.1014 |
| a = 1/2 | 0.7392 | 0.6625 | 0.1812 | 0.1845 | 0.1078 | |
| a = 1/3 | 0.7781 | 0.7106 | 0.1787 | 0.1829 | 0.0971 | |
| a = 1/4 | 0.796 | 0.7206 | 0.1747 | 0.1834 | 0.0852 | |
| a = 1/5 | 0.8235 | 0.6655 | 0.1684 | 0.1824 | 0.0932 |
| Algorithm | Datasets | Letter4 | Kddcup99 | CoverType | Powersupply | Sensor |
|---|---|---|---|---|---|---|
| G-Stream | - | 0.8095 | 0.817 | 0.6158 | 0.9464 | 0.8703 |
| Fuzzy ART | - | 0.8588 | 0.9363 | 0.6492 | 0.9412 | 0.9122 |
| FRA-ART (SIBFs using Equation (13)) | a = 1/2 | 0.9089 | 0.8599 | 0.6482 | 0.9387 | 0.9208 |
| a = 1/3 | 0.9133 | 0.9455 | 0.6394 | 0.9361 | 0.921 | |
| a = 1/4 | 0.9028 | 0.856 | 0.6383 | 0.9324 | 0.9119 | |
| a = 1/5 | 0.9032 | 0.9494 | 0.6371 | 0.9277 | 0.8789 | |
| FRA-ART (SIBFs using Equation (14)) | a = 1/2 | 0.8957 | 0.9546 | 0.6449 | 0.933 | 0.8885 |
| a = 1/3 | 0.8956 | 0.954 | 0.6302 | 0.9314 | 0.9208 | |
| a = 1/4 | 0.8901 | 0.9352 | 0.6386 | 0.9303 | 0.893 | |
| a = 1/5 | 0.9116 | 0.9497 | 0.6302 | 0.927 | 0.8664 | |
| FRA-ART (SIBFs using Equation (15)) | a = 1/2 | 0.8568 | 0.9253 | 0.6493 | 0.9422 | 0.9166 |
| a = 1/3 | 0.8561 | 0.946 | 0.6525 | 0.9411 | 0.9244 | |
| a = 1/4 | 0.8524 | 0.9422 | 0.6441 | 0.9376 | 0.9201 | |
| a = 1/5 | 0.854 | 0.9504 | 0.6618 | 0.9426 | 0.9145 | |
| FRA-ART (CIBFs using Equation (27)) | a = 1 | 0.8588 | 0.9294 | 0.6492 | 0.9476 | 0.9359 |
| a = 1/2 | 0.8642 | 0.9363 | 0.6482 | 0.9457 | 0.8966 | |
| a = 1/3 | 0.8781 | 0.9411 | 0.6394 | 0.9447 | 0.9233 | |
| a = 1/4 | 0.8893 | 0.9432 | 0.6383 | 0.9405 | 0.9004 | |
| a = 1/5 | 0.9063 | 0.9425 | 0.6371 | 0.9406 | 0.9039 | |
| FRA-ART (CIBFs using Equation (28)) | a = 1 | 0.8842 | 0.9363 | 0.6492 | 0.948 | 0.9137 |
| a = 1/2 | 0.8619 | 0.9546 | 0.6449 | 0.9438 | 0.9082 | |
| a = 1/3 | 0.8809 | 0.954 | 0.6302 | 0.9434 | 0.8868 | |
| a = 1/4 | 0.9111 | 0.9352 | 0.6386 | 0.9364 | 0.9053 | |
| a = 1/5 | 0.9089 | 0.9497 | 0.6302 | 0.9372 | 0.8523 | |
| FRA-ART (CIBFs using Equation (29)) | a = 1 | 0.8626 | 0.8418 | 0.6542 | 0.9458 | 0.9275 |
| a = 1/2 | 0.8654 | 0.9341 | 0.6493 | 0.948 | 0.9331 | |
| a = 1/3 | 0.8638 | 0.9519 | 0.6525 | 0.9476 | 0.9214 | |
| a = 1/4 | 0.8731 | 0.9426 | 0.6441 | 0.9506 | 0.9388 | |
| a = 1/5 | 0.8706 | 0.9201 | 0.6618 | 0.9487 | 0.935 | |
| FRA-ART (CIBFs using Equation (30)) | a = 1 | 0.8814 | 0.9358 | 0.6837 | 0.9487 | 0.9395 |
| a = 1/2 | 0.8523 | 0.9345 | 0.6897 | 0.9503 | 0.9176 | |
| a = 1/3 | 0.862 | 0.9296 | 0.6802 | 0.9486 | 0.9438 | |
| a = 1/4 | 0.8814 | 0.8572 | 0.6773 | 0.9481 | 0.9343 | |
| a = 1/5 | 0.9089 | 0.9497 | 0.6732 | 0.9454 | 0.9291 | |
| FRA-ART (CIBFs using Equation (31)) | a = 1 | 0.8653 | 0.8527 | 0.6955 | 0.9476 | 0.9365 |
| a = 1/2 | 0.8642 | 0.9034 | 0.6801 | 0.9457 | 0.9492 | |
| a = 1/3 | 0.8847 | 0.9321 | 0.6838 | 0.9447 | 0.9245 | |
| a = 1/4 | 0.8893 | 0.9343 | 0.6579 | 0.9405 | 0.9299 | |
| a = 1/5 | 0.9063 | 0.8973 | 0.6566 | 0.9406 | 0.9249 |
Disclaimer/Publisher’s Note: The statements, opinions and data contained in all publications are solely those of the individual author(s) and contributor(s) and not of MDPI and/or the editor(s). MDPI and/or the editor(s) disclaim responsibility for any injury to people or property resulting from any ideas, methods, instructions or products referred to in the content. |
© 2024 by the authors. Licensee MDPI, Basel, Switzerland. This article is an open access article distributed under the terms and conditions of the Creative Commons Attribution (CC BY) license (https://creativecommons.org/licenses/by/4.0/).
Share and Cite
Zhu, Y.; Li, P.; Zhang, Q.; Zhu, Y.; Yang, J. Fractional Adaptive Resonance Theory (FRA-ART): An Extension for a Stream Clustering Method with Enhanced Data Representation. Mathematics 2024, 12, 2049. https://doi.org/10.3390/math12132049
Zhu Y, Li P, Zhang Q, Zhu Y, Yang J. Fractional Adaptive Resonance Theory (FRA-ART): An Extension for a Stream Clustering Method with Enhanced Data Representation. Mathematics. 2024; 12(13):2049. https://doi.org/10.3390/math12132049
Chicago/Turabian StyleZhu, Yingwen, Ping Li, Qian Zhang, Yi Zhu, and Jun Yang. 2024. "Fractional Adaptive Resonance Theory (FRA-ART): An Extension for a Stream Clustering Method with Enhanced Data Representation" Mathematics 12, no. 13: 2049. https://doi.org/10.3390/math12132049
APA StyleZhu, Y., Li, P., Zhang, Q., Zhu, Y., & Yang, J. (2024). Fractional Adaptive Resonance Theory (FRA-ART): An Extension for a Stream Clustering Method with Enhanced Data Representation. Mathematics, 12(13), 2049. https://doi.org/10.3390/math12132049

