Abstract
Diphtheria, a potentially life-threatening infectious disease, is primarily caused by the bacterium Corynebacterium diphtheriae. This pathogen induces a range of severe symptoms, including respiratory distress, cardiac arrhythmias, and, in extreme cases, fatal outcomes. This paper aim to unravel the transmission dynamics of diphtheria infection within the Caputo fractional derivatives framework, establishing the solutions’ existence and uniqueness. Through forward normalized sensitivity analysis, we scrutinize the key parameters influencing the basic reproduction number, a pivotal metric in understanding and controlling the spread of the disease. The results indicate that reducing the values of the interaction rate, transmission rate, and birth rate plays a key role in curtailing diphtheria transmission. Furthermore, employing an effective numerical tool, we present graphical representations that delineate the influence of various crucial model parameters on infection dynamics.
Keywords:
diphtheria; mathematical model; existence results; sensitivity analysis; numerical results MSC:
26A33; 37N25; 39A70; 47H09; 47H10; 65L03
1. Introduction
Diphtheria is a term used to define an infectious disease of acute bacterial infection, primarily caused by Corynebacterium diphtheriae, that is popularly known for its production of a bacterial toxin that is cytotoxic to the human body [1,2]. It was one of the deadliest diseases, especially in children, before the development of its vaccine in 1923 [3], which subsequently served as a landmark towards a drastic decline in cases of diphtheria globally, as well as one of the significant success stories of the impact of science on the health of humanity [4]. The vaccine is part of the routine infancy immunization administered three times before the first birthday [5]. The booster dose of the vaccine is also available at a later stage of life when the immunity acquired from the vaccine in infancy against the bacteria diminishes [6].
Diphtheria infection symptoms typically appear 2–5 days after infection. Mild symptoms include a sore throat and fever, while severe symptoms include difficulty breathing, swallowing, and a barking cough [7]. A severe case of the disease is usually associated with life-threatening complications when the infection spreads to the vital organs of the body. These complications range from respiratory distress to cardiac arrhythmias and, in extreme cases, fatal outcomes [8].
Transmission from the infected to the non-infected person can be direct through contact with respiratory droplets, typically when the infected person coughs, sneezes, or even talks. Indirect transmission occurs through contact with contaminated objects, such as when sharing cloth, food, or kitchen utensils with the infected ones. Clinically, the diagnosis is confirmed through a throat swab specimen from the throat or nose to test for the positivity of the bacteria, and the treatment includes diphtheria antitoxin to halt the bacterial toxin cytotoxicity and antibiotics to eliminate the bacterial pathogen [9].
Despite the century-long existence of the diphtheria vaccine, which rendered the disease highly vaccine-preventable and should have supposedly gone into extinction, it remains an important threat to public health, particularly in countries with low or middle incomes. A few reasons account for the recurrent outbreak of diphtheria around the globe. The foremost is the certain number of cases recorded due to failure to receive the scheduled diphtheria vaccination, as well as the suboptimal immunization program in the healthcare settings of certain countries [10]. Moreover, the waning in the acquired protective antibody levels from the infancy-administered vaccine over time has been attributed to the cases of recurrent outbreaks among healthy adolescents [11,12].
Mathematical models are important for understanding the way infections spread and enable researchers and policymakers to assess the effectiveness of interventions such as vaccination campaigns, sanitation improvements, and behavior change initiatives for infectious diseases. By studying the model outputs, decision-makers can make informed choices regarding resource allocation and prioritize interventions based on their potential impact on controlling infection outbreaks, see [13,14,15,16,17]. They serve as valuable scientific tools for evaluating and comparing mitigation and prevention strategies, as well as for assessing the impacts of various biological, socio-cultural, and ecological factors of disease spread. By employing mathematical models, researchers can simulate and analyze the complex interactions involved in the transmission of infectious diseases [18,19,20,21,22]. These models consider population dynamics, disease characteristics, environmental factors, and human behavior. They allow for the exploration of different scenarios, providing valuable predictions and insights into the potential outcomes of various intervention strategies, see for example [23,24,25,26,27,28,29].
Over the years, the concepts of fractional calculus have generally been applied to various fields of study since its inception by the famous mathematicians Newton and Leibniz, see [30,31,32,33,34,35,36]. The techniques of fractional derivatives allows for an understanding of systems and phenomena that exhibit fractal, anomalous, or memory-like behavior. It provides a mathematical framework to describe processes with long-range dependence, non-locality, and fractional dynamics. Fractional calculus has proven particularly excellent in modeling complex systems and phenomena, where traditional calculus fails to capture the underlying dynamics accurately [37,38]. Recently, Mangal et al. [39], investigated the impact of booster vaccination and awareness using a fractional-order epidemic model (FOEM) for highly infectious diseases. The authors conducted stability analysis on the basic reproduction number and explored the conditions for the occurrence of Hopf bifurcation in both integer and fractional-order scenarios.
It is evident that the Caputo fractional derivative yields more biologically feasible behavior regarding the dynamics of infectious diseases and can serve as a robust tool for modeling physical phenomena, see [39,40] and the references cited therein. Investigating the dynamics of diphtheria in the framework of Caputo fractional-order derivatives has not been extensively investigated in this direction. We proposed and investigated the existence and uniqueness of the Caputo fractional-order diphtheria infection model. In addition, to assess the various contributions of some parameters associated with the model, a sensitivity analysis of the corresponding basic reproduction number was examined. Furthermore, using an effective numerical scheme, the numerical and graphical results were explored to understand the model dynamical behavior.
Here, we present a summary of the key points regarding the diphtheria model introduced in this study:
- We propose a Caputo fractional-order diphtheria model and conduct a qualitative analysis of the model.
- Sensitivity analyses were performed to understand the various effects of parameters associated with . This helps identify the key drivers of the model that should be targeted for effective control strategies.
- Numerical simulations were employed to demonstrate the theoretical findings of the diphtheria model, providing insights into the dynamics.
2. Preliminaries Concepts
Some of the foremost theoretical aspects of fractional-order derivatives, which are key to proving the theoretical analysis of the model, were reviewed in this part.
Definition 1
([41]). Suppose that for The operator
is called the Riemann–Liouville fractional integral of the function χ of order q, such that
Definition 2
([41]). Suppose that the function and The operator
is referred to as the Caputo fractional derivative of order q of the function χ. Also, if , then .
Lemma 1
([41]). Suppose is continuous and . Consider
then, is the solution of problem (3) if satisfies
3. Diphtheria Caputo Fractional-Order Epidemic Model Formulation
In real-world applications, epidemiological models using integer-order derivatives cannot investigate the dynamics between distinct points. Fractional-order derivative models are regarded as more realistic and practical [42,43,44] because they incorporate memory and hereditary properties into systems. They are useful for minimizing the relative errors caused by incorrectly treated parameters during the modeling process. Fractional modeling of biological systems offers a more profound insight into the complex behaviors of communicable diseases. Additionally, fractional-order mathematical models demonstrate superior alignment with real data compared with models employing integer-order derivatives, see [45,46,47].
In the present model, the variables for the diphtheria transmission were defined as follows, according to [48]. N represents the total population within a defined location comprising of five cluster of sub-population variables; the susceptible , the exposed , the infected , the quarantine , and the recovered . ‘Susceptible’ refers to the individuals who are not vaccinated and are thus capable of being infected by diphtheria, whereas the ‘recovered’ implies individuals that are vaccinated and, therefore, are presumed to be protected from being infected by diphtheria. The ‘infected’ are those individuals who are affected by the diphtheria disease, and their level of contact interactivity with the susceptible individuals permits the spread of the diphtheria infection.
Moreover, the ’exposed’ are those individuals who are susceptible and have interacted with an infected individual. As the exposed carries the risk, the extent to which they develop full-blown diphtheria infection depends on many factors. The most significant factor is the robust reaction of their built-in immune system, which, if adequate enough, makes them unlikely to be infected and thus they are presumed to belong to the susceptible group. If this natural immune reaction is inadequate, the exposed individuals could become infected after a certain period of time. The ’quarantined’ are those individuals who are infected by the diphtheria infection and are, therefore, sequestered to receive treatment. The quarantined individuals may either become fully recovered or become victims of mortality due to diphtheria disease. The assumptions of this model include that the quarantined individuals who becomes fully recovered cannot be re-infected anymore because of their acquired immunity against diphtheria, and that the total population is affected by the natural death rate.
The aforementioned applications of Caputo derivatives inspired our investigation into the existence and sensitivity analyses of the dynamics of the diphtheria epidemic, utilizing mathematical tools derived from fractional calculus. The proposed fractional-order model in the framework of Caputo fractional derivatives is as follows:
equipped with
The meaning of each state variables and parameters associated with the model (4) is given in Table 1.
Table 1.
The variables and parameters.
3.1. Analysis of the Caputo Diphtheria Fractional-Order Model
By employing the Banach fixed-point theorem, we investigate the existence and uniqueness results of the model (4) in this part.
Recall that denote the Banach space of all continuous real-valued function defined on with sup norm and with the norm such that , , , , .
Taking to each equation in system (4) gives
Let us setting
It is noteworthy that satisfies the Lipschitz condition if and only if have an upper bound. Indeed, let S and be two functions, then
putting where gives
For and the Lipschitz conditions is satisfied. Repeating the same strategy as above, we obtain
where .
Thus, in view of Equation (7), we rewrite system (6) as
Recursively, (10) takes the form:
associated with and
Thus, the difference between the successive terms yields
Let us consider
From the above analysis, we state and prove the following theorem:
Theorem 1.
Suppose that the function , such that for any satisfies the Lipschitz and contraction condition . Then, the diphtheria Caputo fractional-order model (4) possess a unique solution if
is true for
Remark 1.
The existence and uniqueness results hold significance in epidemiology as these results are essential while constructing mathematical models that allow for predicting how diseases are going to spread and help make decisions for public health policies and vaccination distributions, all of which are necessary for making better decisions. For example, Newton’s second law, and transmission dynamics of COVID-19, diphtheria, HIV/AIDS, and many more in applied fields, such as engineering, physics, and biology.
Proof.
As , and are bounded and satisfies the Lipschitz condition, Equation (12) gives
This implies that,
Using the same procedure recursively, we obtain:
as , , , this guarantees a solution for the proposed model (4). To show that the solution is unique, we proceed as follows. Let a system of solutions for Equation (4) exist, say and then
which gives
this implies that as . Repeating the same method as above, we can obtain for , and This completes the proof of the theorem. □
Among many other features, positivity and the boundlessness of solutions are among the integral features of epidemiological models. For this purpose, for any , we show that all the state variables are nonnegative. That is, from systems (4), we have
Theorem 2.
The region
is positively invariant for all .
Proof.
Summing up the equations in model (4), yields
and utilizing the standard comparison theorem [49], gives
Thus, it follows that . Therefore,
is the biological feasible region for the model (4). □
3.2. Disease-Free Equilibrium
Let be steady state for the proposed model (4). Setting the right hand sides of system (4) to zero yields
Hence, the DFE is given by
3.3. Basic Reproduction Number
The basic reproduction number represents the number of secondary diphtheria cases that would be produced by a typical primary case during the infectious period in a fully susceptible population. Utilizing the method by Driessche and Watmough [50], we have
and
Therefore, can be computed by , as
Now, the following result follows from [48].
Theorem 3.
The DFE of the model (4) is locally asymptotically stable if , otherwise it is unstable.
The epidemiological application of the above theorem is that a slight rise in diphtheria cases does not constitute an epidemic outbreak if
Theorem 4.
The model (4) endemic equilibrium exists if , where
and and
4. Sensitivity Index with Respect to R0
In this part, we assess the contribution of some of the biological parameters associated with the basic reproduction number for minimizing the spread of diphtheria by utilizing the techniques of forward sensitivity index analysis. The formula [51]:
is referred to as the forward sensitivity index of variable which depends on It is commonly used to determine the robustness of the model predictions for parameter values as there are usually errors in data collection and assumed parameter changes, see for example [49,52,53,54,55,56].
Table 2 presents the sensitivity parameters for The results indicate that the rate of interaction the , transmission rate birth rate , and proportion of vaccinated people within the population are more sensitive parameters to . Thus, reducing the rate of transmission among the infected and exposed individuals will play a key role in controlling the basic reproduction number. This indicates that if the value of increases by at least , the value of will also increase by . Moreover, an increase in the ratio of infected individuals receiving treatment will also help reduce the basic reproduction number. Increasing the treatment rate by will decrease the value of by . Therefore, identifying effective ways to adjust these parameters will play a vital role in minimizing the duration of infection in due course.
Table 2.
Sensitivity Analysis.
The surface plot in Figure 1 indicates that the value of increases when the values of and increases. It can be observed that increasing the values of and decreasing the values of will lead to a decrease in , as shown in Figure 2.
Figure 1.
Surface plot illustrating the impact of and on (a) (Transmission rate) versus (Interaction rate); (b) (Birth rate) versus (Interaction rate).
Figure 2.
Surface plot illustrating the impact of and p on (a) (Treatment rate) versus (Transmission rate); (b) p (Vaccination rate) versus (Treatment rate).
5. Graphical Analysis and Discussion
To understand the model dynamical behavior, we used an effective numerical scheme that is stable and convergent, see [40,57]. Table 3 shows the parameter values used in the numerical simulations of the model (4). The numerical scheme is as follows:
Table 3.
Numerical values for the parameters of model (4).
First, we numerically solved the proposed model (4) and found the numerical solutions of each compartment, as depicted in Figure 3, for the case of integer-order derivatives, (i.e., ). To visualize the complex dynamical behavior of the fractional-order model (4), and help us to obtain a deeper insight, we varied the order and obtained the numerical results shown in Figure 4. Based on the findings, we can conclude that changing the order will result in a visual representation of an increase or decrease in the number of individuals in each compartment, which is not seen in the classical version of the model. This hidden phenomenon can assist government agencies and medical practitioners in controlling the spread of infection. Additionally, our findings indicate that as the order increases, the time required for convergence decreases.
Figure 3.
Model dynamical behavior of each compartment for the classical version.
Figure 4.
Model dynamical behavior of each compartment for the Caputo fractional-order version.
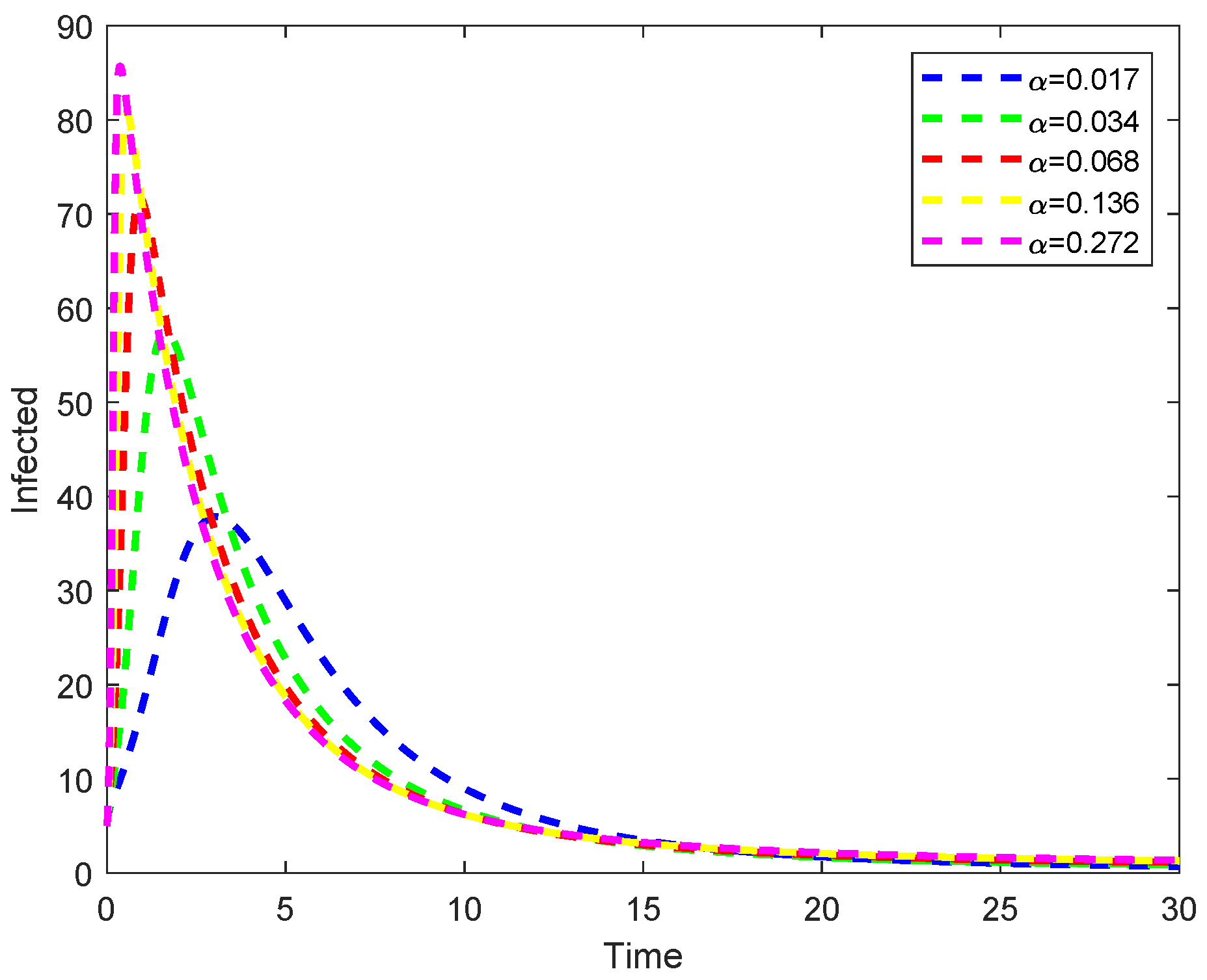
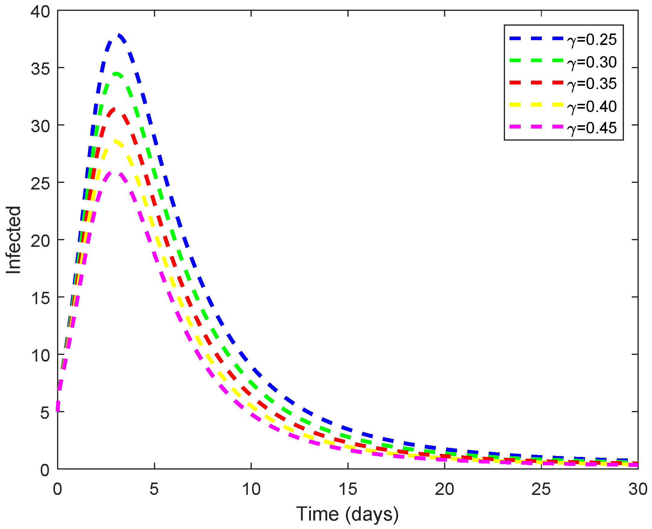
Table 2 shows that the interaction between susceptible and infected individuals has a positive impact on infection transmission, with a sensitive index of . Thus, we varied the rate of the interaction parameters, as seen in Figure 5. Figure 6 shows how changing the transmission rate affects the number of infected individuals. In response to the results, decreasing the rate of transmission will result in fewer infected individuals. Figure 7 illustrates how increasing the treatment rate reduces the number of infected individuals. In addition, increasing the treatment rate will reduce the basic reproduction number.
Figure 5.
Dynamicbehavior of the interaction rate between the susceptible and infected individuals when .
Figure 6.
Effect of the transmission rate on the infected individuals when .
Figure 7.
Effect of the treatment on the infected individuals when .
6. Conclusions
Existence and sensitivity analyses are integral parts of analyzing the dynamical behavior of the epidemic model. This paper presents the Caputo fractional-order diphtheria model (4), and investigates its existence and uniqueness via the techniques of the fixed-point theorem. To minimize the spread of infection and ascertain the various impacts of some of the parameters linked with the model (4), we conducted the forward sensitivity analysis on . The numerical solutions obtained present a diverse array of graphical results, shedding light on the dynamical and transmission mechanisms of the proposed model. Through these graphical results, we discerned the tangible impact of certain sensitive parameters on the spread of infection and identified potential strategies to mitigate diphtheria transmission. Moreover, the fractional diphtheria model based on the Caputo operator provides sufficient information to understand the epidemic transmission process and identify the crucial factors for its spread; more detailed analysis requires new tools to uncover previously unnoticed behaviors in such nonlinear epidemiological systems. Therefore, operators such as Atangana–Baleanu, Caputo–Fabrizio, and Atangana–Gomez use real data and incorporating the optimal control strategies are necessary for further exploration.
Author Contributions
Conceptualization, I.A. and J.T.; methodology, I.A. and M.M.; software, I.A. and C.K.; validation, I.A., J.T. and C.K.; formal analysis, M.M.; investigation, J.T.; resources, C.K.; data curation, I.A.; writing—original draft preparation, I.A.; writing—review and editing, J.T. and C.K.; visualization, I.A. and M.M.; supervision, J.T. and C.K.; project administration, J.T. and C.K.; funding acquisition, J.T. All authors have read and agreed to the published version of the manuscript.
Funding
The first author was supported by King Mongkut’s University of Technology North Bangkok with Contract no. KMUTNB-Post-67-08. This research was funded by the National Science, Research and Innovation Fund (NSRF), and King Mongkut’s University of Technology North Bangkok with Contract no. KMUTNB-FF-66-11.
Informed Consent Statement
Not applicable.
Data Availability Statement
All the data analyses are included in this article.
Acknowledgments
The author’s acknowledge the financial support provided by the King Mongkut’s University of Technology North Bangkok (KMUTNB) and anonymous reviewer for their comments that improved the manuscript.
Conflicts of Interest
The authors declare no conflicts of interest.
References
- Kolybo, D.V.; Labyntsev, A.A.; Korotkevich, N.V.; Komisarenko, S.V.; Romaniuk, S.I.; Oliinyk, O.M. Immunobiology of diphtheria. Recent approaches for the prevention, diagnosis, and treatment of disease. Biotechnol. Acta 2013, 6, 43–62. [Google Scholar] [CrossRef]
- Pikul, K.V.; Syzova, L.M.; Il’chenko, V.I.; Zvyagolska, I.M. Diphtheria: Current public health challenge in Ukraine and worldwide (literature review). Wiad. Lek. 2021, 74, 137–143. [Google Scholar] [CrossRef]
- Rappuoli, R.; Malito, E. History of diphtheria vaccine development. In Corynebacterium diphtheriae and Related Toxigenic Species; Springer: Dordrecht, The Netherlands, 2014; pp. 225–238. [Google Scholar] [CrossRef]
- Prygiel, M.; Mosiej, E.; Gorska, P.; Zasada, A.A. Diphtheria–tetanus—Pertussis vaccine: Past, current & future. Future Microbiol. 2022, 17, 185–197. [Google Scholar] [CrossRef] [PubMed]
- Mogensen, S.W.; Andersen, A.; Rodrigues, A.; Benn, C.S.; Aaby, P. The introduction of diphtheria-tetanus-pertussis and oral polio vaccine among young infants in an urban African community: A natural experiment. EBioMedicine 2017, 17, 192–198. [Google Scholar] [CrossRef]
- Galazka, A.; Dittmann, S. The changing epidemiology of diphtheria in the vaccine era. J. Infect. Dis. 2020, 181, S2–S9. [Google Scholar] [CrossRef]
- Adler, N.R.; Mahony, A.; Friedman, N.D. Diphtheria: Forgotten, but not gone. Intern. Med. J. 2013, 43, 206–210. [Google Scholar] [CrossRef] [PubMed]
- Meera, M.D.; Rajarao, M. Diphtheria in Andhra Pradesh—A clinical-epidemiological study. Int. J. Infect. Dis. 2014, 19, 74–78. [Google Scholar] [CrossRef]
- Jammar, S.K.; Kataria, T.; Agarwal, S.; Sharma, S.; Meena, R.; Singh, S.N.; Gupta, A. An Observational Study on Association of Clinical Diagnosis of Diphtheria with Smear and Culture Test: A Tertiary Care Hospital, Jaipur. Indian J. Otolaryngol. Head Neck Surg. 2022, 74, 5375–5380. [Google Scholar] [CrossRef]
- Clarke, K. Review of the Epidemiology of Diphtheria 2000–2016; US Centers for Disease Control and Prevention: Atlanta, GA, USA, 2018.
- Kitamura, N.; Bahkali, K.; Quilty, B.J.; Edwards, T.; Toizumi, M.; Yoshida, L. Waning rate of immunity and duration of protective immunity against diphtheria toxoid as a function of age and number of doses: Systematic review and quantitative data analysis. Hum. Vaccin. Immunother. 2022, 18, 2099700. [Google Scholar] [CrossRef]
- Vusirikala, A.; Tonge, S.; Bell, A.; Linley, E.; Borrow, R.; O’Boyle, S.; Amirthalingam, G. Reassurance of population immunity to diphtheria in England: Results from a 2021 national serosurvey. Vaccine 2023, 41, 6878–6883. [Google Scholar] [CrossRef]
- Bouba, A.; Helle, K.B.; Schneider, K.A. Predicting the combined effects of case isolation, safe funeral practices, and contact tracing during Ebola virus disease outbreaks. PLoS ONE 2023, 18, e0276351. [Google Scholar] [CrossRef]
- Brauer, F. Mathematical epidemiology: Past, present, and future. Infect. Disease Model. 2017, 2, 113–127. [Google Scholar] [CrossRef]
- Zhao, S.; Chen, H. Modeling the epidemic dynamics and control of COVID-19 outbreak in China. Quant. Biol. 2020, 8, 11–19. [Google Scholar] [CrossRef]
- Peter, O.J.; Ayoade, A.A.; Abioye, A.I.; Victor, A.A.; Akpan, C.E. Sensitivity analysis of the parameters of a cholera model. J. Appl. Sci. Environ. Manag. 2018, 22, 477–481. [Google Scholar] [CrossRef]
- Iddrisu, W.A.; Iddrisu, I.; Iddrisu, A.K. Modeling Cholera Epidemiology Using Stochastic Differential Equations. J. Appl. Math. 2023, 2023, 7232395. [Google Scholar] [CrossRef]
- Baba, I.A.; Ahmed, I.; Al-Mdallal, Q.M.; Jarad, F.; Yunusa, S. Numerical and theoretical analysis of an awareness COVID-19 epidemic model via generalized Atangana-Baleanu fractional derivative. J. Appl. Math. Comput. Mech. 2022, 21, 7–18. [Google Scholar] [CrossRef]
- Ahmed, I.; Yusuf, A.; Ibrahim, A.; Kumam, P.; Ibrahim, M.J. A mathematical model of the ongoing coronavirus disease (COVID-19) pandemic: A case study in Turkey. Sci. Technol. Asia 2022, 27, 248–258. Available online: https://ph02.tci-thaijo.org/index.php/SciTechAsia/article/view/247921 (accessed on 1 March 2024).
- Berge, T.; Lubuma, J.M.-S.; Moremedi, G.M.; Morris, N.; Kondera-Shava, R. A simple mathematical model for Ebola in Africa. J. Biol. Dyn. 2017, 11, 42–74. [Google Scholar] [CrossRef]
- Ali, M.; Lopez, A.L.; You, Y.A.; Kim, Y.E.; Sah, B.; Maskery, B.; Clemens, J. The global burden of cholera. Bull. World Health Organ. 2012, 90, 209–218. [Google Scholar] [CrossRef]
- Musa, S.S.; Abdullahi, Z.; Zhao, S.; Bello, U.M.; Hussaini, N.; Habib, A.G.; He, D. Transmission Dynamics of Monkeypox Virus in Nigeria during the Current COVID-19 Pandemic and Estimation of Effective Reproduction Number. Vaccines 2022, 10, 2153. [Google Scholar] [CrossRef]
- Althaus, C.L. Estimating the reproduction number of Ebola virus (EBOV) during the 2014 outbreak in West Africa. PLoS Curr. 2014, 6. [Google Scholar] [CrossRef] [PubMed]
- Atangana, A. Modelling the spread of COVID-19 with new fractal-fractional operators: Can the lockdown save mankind before vaccination? Chaos Soliton Fract. 2020, 136, 109860. [Google Scholar] [CrossRef] [PubMed]
- Egeonu, K.U.; Omame, A.; Inyama, S.C. A co-infection model for two-strain malaria and cholera with optimal control. Int. J. Dynam. Control 2021, 9, 1612–1632. [Google Scholar] [CrossRef]
- Goufo, E.F.D.; Khan, Y.; Chaudhry, Q.A. HIV and shifting epicenters for COVID-19, an alert for some countries. Chaos Soliton Fract. 2020, 139, 110030. [Google Scholar] [CrossRef] [PubMed]
- Zamir, M.; Shah, Z.; Nadeem, F.; Memood, A.; Alrabaiah, H.; Kumam, P. Non pharmaceutical interventions for optimal control of COVID-19. Comput. Methods Programs Biomed. 2020, 196, 105642. [Google Scholar] [CrossRef] [PubMed]
- Zamir, M.; Shah, Z.; Nadeem, F.; Memood, A.; Alrabaiah, H.; Kumam, P. Mathematical model for prevention and control of cholera transmission in a variable population. Res. Math. 2022, 9, 2018779. [Google Scholar] [CrossRef]
- Modu, G.U.; Ahmed, I.; Yunusa, A.H.; Kumam, W.; Thounthong, P. Analysis of Linear and Nonlinear Mathematical Models for Monitoring Diabetic Population with Minor and Major Complications. Thai J. Math. 2021, 19, 1004–1027. Available online: https://thaijmath2.in.cmu.ac.th/index.php/thaijmath/article/view/1213 (accessed on 1 March 2024).
- Ahmed, I.; Kumam, P.; Tariboon, J.; Yusuf, A. Theoretical analysis for a generalized fractional-order boundary value problem. In Fixed Point Theory and Fractional Calculus: Recent Advances and Applications; Springer Nature: Singapore, 2022; pp. 175–187. [Google Scholar] [CrossRef]
- Ibrahim, M.J.; Ahmed, I.; Muhammad, A.S. A Caputo Proportional Fractional Differential Equation with Multi-point Boundary Condition. Bangmod Int. J. Math. Comput. Sci. 2022, 8, 56–64. [Google Scholar] [CrossRef]
- Kilbas, A.A.; Srivastava, H.M.; Trujillo, J.J. Theory and Applications of the Fractional Differential Equations; North-Holland Mathematics Studies; Elsevier: Amsterdam, The Netherlands, 2006; Volume 204. [Google Scholar]
- Mainardi, F. Fractional Calculus and Waves in Linear Viscoelasticity: An Introduction to Mathematical Models; World Scientific: Jersey City, NJ, USA, 2010. [Google Scholar]
- Podlubny, I. Fractional Differential Equations; Academic Press: New York, NY, USA, 1999. [Google Scholar]
- Samko, S.G.; Kilbas, A.A.; Marichev, O.I. Fractional Integrals and Derivatives; Gordon and Breach Science: Yverdon, Switzerland, 1993. [Google Scholar]
- Wang, G.; Ghanmi, A.; Horrigue, S.; Madian, S. Existence Result and Uniqueness for Some Fractional Problem. Mathematics 2019, 7, 516. [Google Scholar] [CrossRef]
- Ahmed, I.; Yusuf, A.; Tariboon, J.; Muhammad, M.; Jarad, F.; Mikailu, B.B. A Dynamical and Sensitivity Analysis of the Caputo Fractional-Order Ebola Virus Model: Implications for Control Measures. Sci. Tech. Asia 2023, 28, 26–37. Available online: https://ph02.tci-thaijo.org/index.php/SciTechAsia/article/view/249596 (accessed on 1 March 2024).
- Alkahtani, B.S. Mathematical Modeling of COVID-19 Transmission Using a Fractional Order Derivative. Fractal Fract. 2022, 7, 46. [Google Scholar] [CrossRef]
- Mangal, S.; Misra, O.P.; Dhar, J. Modeling the effect of vaccination in fractional-order epidemic model for infectious disease. Int. J. Dyn. Control. 2024, 12, 303–317. [Google Scholar] [CrossRef]
- Yusuf, A.; Acay, B.; Mustapha, U.T.; Inc, M.; Baleanu, D. Mathematical modeling of pine wilt disease with Caputo fractional operator. Chaos Solitons Fractals 2021, 143, 110569. [Google Scholar] [CrossRef]
- Caputo, M. Linear models of dissipation whose Q is almost frequency independent—II. Geophys. J. Int. 1967, 13, 529–539. [Google Scholar] [CrossRef]
- Baba, I.A.; Nasidi, B.A. Fractional order epidemic model for the dynamics of novel COVID-19. Alex. Eng. J. 2021, 60, 537–548. [Google Scholar] [CrossRef]
- Ahmed, I.; Yusuf, A.; Sani, M.A.; Jarad, F.; Kumam, W.; Thounthong, P. Analysis of a Caputo HIV and Malaria co-infection epidemic model. Thai J. Math. 2021, 19, 897–912. Available online: https://thaijmath2.in.cmu.ac.th/index.php/thaijmath/article/view/1204 (accessed on 1 March 2024).
- Alkahtani, B.S.; Alzaid, S.S. Studying the Dynamics of the Rumor Spread Model with Fractional Piecewise Derivative. Symmetry 2023, 15, 1537. [Google Scholar] [CrossRef]
- Chen, Y.; Liu, F.; Yu, Q.; Li, T. Review of fractional epidemic models. App. Math. Model. 2021, 97, 281–307. [Google Scholar] [CrossRef]
- Balzotti, C.; D’Ovidio, M.; Lai, A.C.; Loreti, P. Effects of fractional derivatives with different orders in SIS epidemic models. Computation 2021, 9, 89. [Google Scholar] [CrossRef]
- Nisar, K.S.; Farman, M.; Abdel-Aty, M.; Cao, J. A review on epidemic models in sight of fractional calculus. Alex. Eng. J. 2023, 75, 81–113. [Google Scholar] [CrossRef]
- Izzati, N.; Andriani, A. Dynamical analysis of diphtheria epidemic model with natural immunity rate on exposed individuals. J. Phys. Conf. Ser. 2021, 1869, 012117. [Google Scholar] [CrossRef]
- Choi, S.K.; Kang, B.; Koo, N. Stability for Caputo fractional differential systems. Abstr. Appl. Anal. 2014, 2014. [Google Scholar] [CrossRef]
- Van den Driessche, P.; Watmough, J. Reproduction numbers and sub-threshold endemic equilibria for compartmental models of disease transmission. Math. Biosci. 2002, 180, 29–48. [Google Scholar] [CrossRef] [PubMed]
- Zi, Z. Sensitivity analysis approaches applied to systems biology models. IET Syst. Biol. 2011, 5, 336–346. [Google Scholar] [CrossRef]
- Chowell, G.; Castillo-Chavez, C.; Fenimore, P.W.; Kribs-Zaleta, C.; Arriola, L.; Hyman, J.M. Implications of an uncertainty and sensitivity analysis for SARS’basic reproductive number for general public health measures Appendix I: Local Sensitivity Analysis of the Basic Reproductive Number. Emerg. Infect. Dis. 2004, 10. Available online: https://citeseerx.ist.psu.edu/document?repid=rep1&type=pdf&doi=a727e130f305e006cb3058311d3daa9c8e28b383 (accessed on 1 March 2024).
- Chitnis, N.; Hyman, J.M.; Cushing, J.M. Determining important parameters in the spread of malaria through the sensitivity analysis of a mathematical model. Bull. Math. Biol. 2008, 70, 1272–1296. [Google Scholar] [CrossRef] [PubMed]
- Kalyan, D.; Reddy, K.G.; Lakshminarayan, K. Sensitivity and elasticity analysis of novel corona virus transmission model: A mathematical approach. Sens. Int. 2021, 2, 100088. [Google Scholar] [CrossRef]
- Victorr, Y.; Hasifa, N.; Julius, T. Analysis of the model on the effect of seasonal factors on malaria transmission dynamics. J. Appl. Math. 2020, 2020, 19. [Google Scholar] [CrossRef]
- Mhlanga, A. Dynamics of HSV-2 in the Presence of Optimal Counseling and Education among Prisoners. Discret. Dyn. Nat. Soc. 2021, 2021, 9916427. [Google Scholar] [CrossRef]
- Li, C.; Zeng, F. Numerical Methods for Fractional Calculus; Chapman and Hall/CRC: Boca Raton, FL, USA, 2015. [Google Scholar]
- Kanchanarat, S.; Chinviriyasit, S.; Chinviriyasit, W. Mathematical Assessment of the Impact of the Imperfect Vaccination on Diphtheria Transmission Dynamics. Symmetry 2022, 14, 2000. [Google Scholar] [CrossRef]
- Kanchanarat, S.; Chinviriyasit, S.; Chinviriyasit, W. Optimal control of diphtheria epidemic model with prevention and treatment. J. Phys. Conf. Ser. 2020, 1663, 012042. [Google Scholar] [CrossRef]
Disclaimer/Publisher’s Note: The statements, opinions and data contained in all publications are solely those of the individual author(s) and contributor(s) and not of MDPI and/or the editor(s). MDPI and/or the editor(s) disclaim responsibility for any injury to people or property resulting from any ideas, methods, instructions or products referred to in the content. |
© 2024 by the authors. Licensee MDPI, Basel, Switzerland. This article is an open access article distributed under the terms and conditions of the Creative Commons Attribution (CC BY) license (https://creativecommons.org/licenses/by/4.0/).






