Constructing a New Multi-Scroll Chaotic System and Its Circuit Design
Abstract
1. Introduction
2. A New Design Method for Multi-Scroll Chaotic Attractors
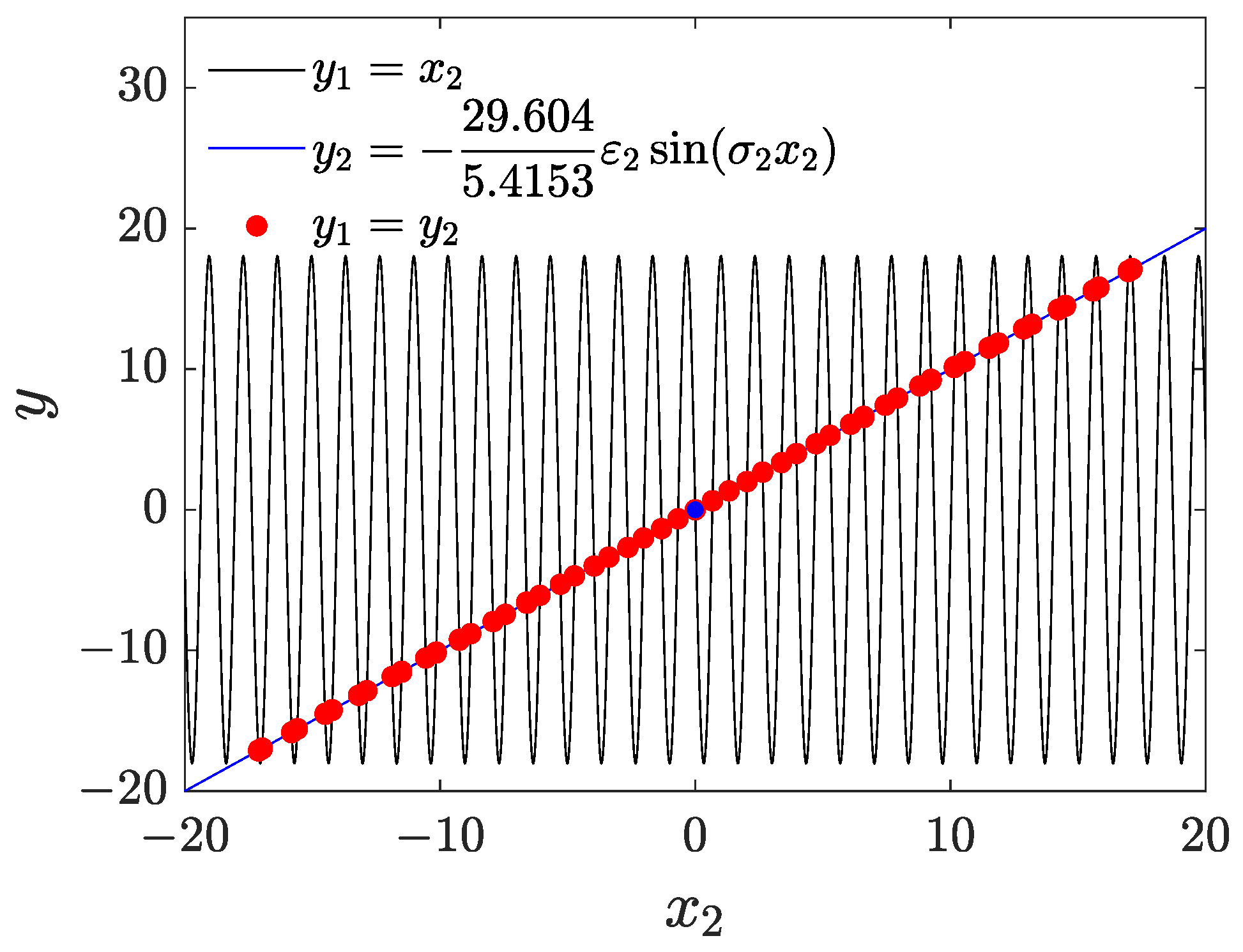
2.1. Chaos Anti-Control for Linear Dynamical Systems
2.2. Analysis of Equilibrium Point
3. Dynamic Analysis of the Controlled System
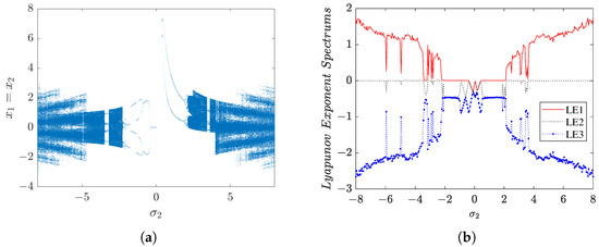
3.1. Bifurcation Analysis with Amplitude of Dynamic System
3.2. Bifurcation Analysis with Frequency of Controlled System
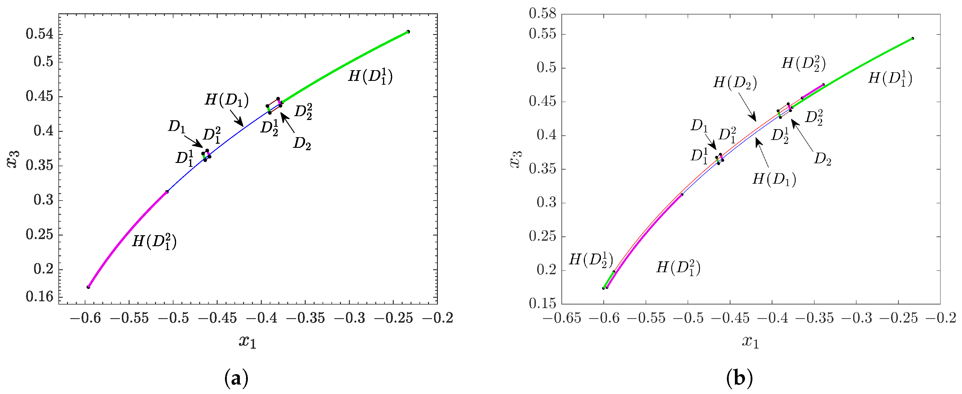
4. Topological Horseshoe of Multi-Scroll Chaotic Systems
4.1. Topological Horseshoes
- (a)
- There exists m mutually disjoint compact subsets of D, is continuous;
- (b)
- Then, the relation holds for every pair with taken from .
4.2. Topological Horseshoes in the Controlled System
5. Circuit Design
6. Conclusions
Author Contributions
Funding
Data Availability Statement
Conflicts of Interest
References
- Lü, J.; Han, F.; Yu, X.; Chen, G. Generating 3-D multi-scroll chaotic attractors: A hysteresis series switching method. Automatica 2004, 40, 1677–1687. [Google Scholar] [CrossRef]
- Li, F.; Yao, C. The infinite-scroll attractor and energy transition in chaotic circuit. Nonlinear Dyn. 2016, 84, 2305–2315. [Google Scholar] [CrossRef]
- Luo, X.; Wang, C.; Wan, Z. Grid multi-wing butterfly chaotic attractors generated from a new 3-D quadratic autonomous system. Nonlinear Anal. Model. Control 2014, 19, 272–285. [Google Scholar] [CrossRef]
- Chua, L.; Komuro, M.; Matsumoto, T. The double scroll family. IEEE Trans. Circuits Syst. 1986, 33, 1072–1118. [Google Scholar] [CrossRef]
- Suykens, J.; Vandewalle, J. Quasilinear approach to nonlinear systems and the design of n-double scroll (n = 1, 2, 3, 4, ⋯). IEE Proc. G (Circuits Devices Syst.) 1991, 138, 595–603. [Google Scholar] [CrossRef]
- Lü, J.; Zhou, T.; Chen, G.; Yang, X. Generating chaos with a switching piecewise-linear controller. Chaos Interdiscip. J. Nonlinear Sci. 2002, 12, 344–349. [Google Scholar] [CrossRef] [PubMed]
- Zhang, C.; Yu, S. Generation of grid multi-scroll chaotic attractors via switching piecewise linear controller. Phys. Lett. A 2010, 374, 3029–3037. [Google Scholar] [CrossRef]
- Lü, J.; Murali, K.; Sinha, S.; Leung, H.; Aziz-Alaoui, M. Generating multi-scroll chaotic attractors by thresholding. Phys. Lett. A 2008, 372, 3234–3239. [Google Scholar] [CrossRef]
- Wang, F.Q.; Liu, C.X. Generation of multi-scroll chaotic attractors via the saw-tooth function. Int. J. Mod. Phys. B 2008, 22, 2399–2405. [Google Scholar] [CrossRef]
- Joshi, M.; Ranjan, A. Dual feedback IRC ring for chaotic waveform generation. IET Circuits Devices Syst. 2021, 15, 595–601. [Google Scholar] [CrossRef]
- Xu, F.; Yu, P. Chaos control and chaos synchronization for multi-scroll chaotic attractors generated using hyperbolic functions. J. Math. Anal. Appl. 2010, 362, 252–274. [Google Scholar] [CrossRef][Green Version]
- Joshi, M.; Ranjan, A. An autonomous simple chaotic jerk system with stable and unstable equilibria using reverse sine hyperbolic functions. Int. J. Bifurc. Chaos 2020, 30, 2050070. [Google Scholar] [CrossRef]
- Tang, W.K.; Zhong, G.; Chen, G.; Man, K. Generation of n-scroll attractors via sine function. IEEE Trans. Circuits Syst. I Fundam. Theory Appl. 2001, 48, 1369–1372. [Google Scholar] [CrossRef]
- Yalçin, M.E. Multi-scroll and hypercube attractors from a general jerk circuit using Josephson junctions. Chaos Solitons Fractals 2007, 34, 1659–1666. [Google Scholar] [CrossRef]
- Lü, J.; Chen, G.; Yu, X.; Leung, H. Design and analysis of multiscroll chaotic attractors from saturated function series. IEEE Trans. Circuits Syst. I Regul. Pap. 2004, 51, 2476–2490. [Google Scholar] [CrossRef]
- Lü, J.; Chen, G. Generating multiscroll chaotic attractors: Theories, methods and applications. Int. J. Bifurc. Chaos 2006, 16, 775–858. [Google Scholar] [CrossRef]
- Yu, S.; Tang, W.K.; Lü, J.; Chen, G. Generation of n×m-Wing Lorenz-Like Attractors From a Modified Shimizu–Morioka Model. IEEE Trans. Circuits Syst. II Express Briefs 2008, 55, 1168–1172. [Google Scholar] [CrossRef]
- Bouallegue, K.; Chaari, A.; Toumi, A. Multi-scroll and multi-wing chaotic attractor generated with Julia process fractal. Chaos Solitons Fractals 2011, 44, 79–85. [Google Scholar] [CrossRef]
- Wang, N.; Zhang, G.; Kuznetsov, N.V.; Li, H. Generating grid chaotic sea from system without equilibrium point. Commun. Nonlinear Sci. Numer. Simul. 2022, 107, 106194. [Google Scholar] [CrossRef]
- Yang, Y.; Huang, L.; Xiang, J.; Bao, H.; Li, H. Design of multi-wing 3D chaotic systems with only stable equilibria or no equilibrium point using rotation symmetry. AEU-Int. J. Electron. Commun. 2021, 135, 153710. [Google Scholar] [CrossRef]
- Qi, G.; Wang, Z.; Guo, Y. Generation of an eight-wing chaotic attractor from Qi 3-D four-wing chaotic system. Int. J. Bifurc. Chaos 2012, 22, 1250287. [Google Scholar] [CrossRef]
- Liu, S.; Wei, Y.; Liu, J.; Chen, S.; Zhang, G. Multi-scroll chaotic system model and its cryptographic application. Int. J. Bifurc. Chaos 2020, 30, 2050186. [Google Scholar] [CrossRef]
- Wang, N.; Li, C.; Bao, H.; Chen, M.; Bao, B. Generating multi-scroll Chua’s attractors via simplified piecewise-linear Chua’s diode. IEEE Trans. Circuits Syst. I Regul. Pap. 2019, 66, 4767–4779. [Google Scholar] [CrossRef]
- Yu, S.; Tang, W.K. Generation of n× m-scroll attractors in a two-port RCL network with hysteresis circuits. Chaos Solitons Fractals 2009, 39, 821–830. [Google Scholar] [CrossRef]
- Yu, S.; Lü, J.; Yu, X.; Chen, G. Design and implementation of grid multiwing hyperchaotic Lorenz system family via switching control and constructing super-heteroclinic loops. IEEE Trans. Circuits Syst. I Regul. Pap. 2012, 59, 1015–1028. [Google Scholar] [CrossRef]
- Tlelo-Cuautle, E.; Rangel-Magdaleno, J.; Pano-Azucena, A.; Obeso-Rodelo, P.; Nunez-Perez, J. FPGA realization of multi-scroll chaotic oscillators. Commun. Nonlinear Sci. Numer. Simul. 2015, 27, 66–80. [Google Scholar] [CrossRef]
- Liu, S.; An, X.; Wang, Y.; Shi, Q. Design of a new multi-wing chaotic system and its application in color image encryption. Optik 2023, 290, 171334. [Google Scholar] [CrossRef]
- Wang, Z.; Ahmadi, A.; Tian, H.; Jafari, S.; Chen, G. Lower-dimensional simple chaotic systems with spectacular features. Chaos Solitons Fractals 2023, 169, 113299. [Google Scholar] [CrossRef]
- Peng, H.; Ji’e, M.; Du, X.; Duan, S.; Wang, L. Design of pseudorandom number generator based on a controllable multi-double-scroll chaotic system. Chaos Solitons Fractals 2023, 174, 113803. [Google Scholar] [CrossRef]
- Yan, M.; Xu, H. The multi-scroll hyper-chaotic coexistence attractors and its application. Signal Process. Image Commun. 2021, 95, 116210. [Google Scholar] [CrossRef]
- Joshi, M.; Bhatt, V.; Ranjan, A. A single parametrically controlled megastable multiscroll attractor with an unstable node. Eur. Phys. J. B 2023, 96, 62. [Google Scholar] [CrossRef]
- Qin, M.; Lai, Q. Expanded multi-scroll attractor system analysis and application for remote sensing image encryption. Appl. Math. Model. 2024, 125, 125–146. [Google Scholar] [CrossRef]
- Kim, T.R.; Joo, Y.H.; Park, J.B.; Chen, G. Anticontrol of chaos for a continuous-time Takagi–Sugeno fuzzy system via local time-delay feedback. Int. J. Bifurc. Chaos 2005, 15, 3883–3894. [Google Scholar] [CrossRef]
- Yu, S.; Chen, G. Anti-control of continuous-time dynamical systems. Commun. Nonlinear Sci. Numer. Simul. 2012, 17, 2617–2627. [Google Scholar] [CrossRef]
- Shen, C.; Yu, S.; Lu, J.; Chen, G. A Systematic Methodology for Constructing Hyperchaotic Systems With Multiple Positive Lyapunov Exponents and Circuit Implementation. IEEE Trans. Circuits Syst. I Regul. Pap. 2017, 61, 854–864. [Google Scholar] [CrossRef]
- Shen, C.; Yu, S.; Lü, J.; Chen, G. Designing hyperchaotic systems with any desired number of positive Lyapunov exponents via a simple model. IEEE Trans. Circuits Syst. I Regul. Pap. 2014, 61, 2380–2389. [Google Scholar] [CrossRef]
- Shen, C.; Yu, S.; Lü, J.; Chen, G. Constructing hyperchaotic systems at will. Int. J. Circuit Theory Appl. 2015, 43, 2039–2056. [Google Scholar] [CrossRef]
- Tian, K.; Grebogi, C.; Ren, H.P. Chaos generation with impulse control: Application to non-chaotic systems and circuit design. IEEE Trans. Circuits Syst. I Regul. Pap. 2021, 68, 3012–3022. [Google Scholar] [CrossRef]
- Herbadji, D.; Herbadji, A.; Haddad, I.; Kahia, H.; Belmeguenai, A.; Derouiche, N. An enhanced logistic chaotic map based tweakable speech encryption algorithm. Integration 2024, 97, 102192. [Google Scholar] [CrossRef]
- Flores-Vergara, A.; García-Guerrero, E.E.; Inzunza-González, E.; López-Bonilla, O.R.; Rodríguez-Orozco, E.; Cárdenas-Valdez, J.R.; Tlelo-Cuautle, E. Implementing a chaotic cryptosystem in a 64-bit embedded system by using multiple-precision arithmetic. Nonlinear Dyn. 2019, 96, 497–516. [Google Scholar] [CrossRef]
- Lambić, D.; Nikolić, M. Pseudo-random number generator based on discrete-space chaotic map. Nonlinear Dyn. 2017, 90, 223–232. [Google Scholar] [CrossRef]
- He, J.; Yu, S. Construction of Higher-Dimensional Hyperchaotic Systems with a Maximum Number of Positive Lyapunov Exponents under Average Eigenvalue Criteria. J. Circuits Syst. Comput. 2019, 28, 1950151. [Google Scholar] [CrossRef]
- Wolf, A.; Swift, J.B.; Swinney, H.L.; Vastano, J.A. Determining Lyapunov exponents from a time series. Phys. D Nonlinear Phenom. 1985, 16, 285–317. [Google Scholar] [CrossRef]
- Eckmann, J.P.; Ruelle, D. Ergodic theory of chaos and strange attractors. Rev. Mod. Phys. 1985, 57, 617. [Google Scholar] [CrossRef]
- Dieci, L.; Russell, R.D.; Van Vleck, E.S. On the compuation of Lyapunov exponents for continuous dynamical systems. SIAM J. Numer. Anal. 1997, 34, 402–423. [Google Scholar] [CrossRef]
- Yan, S.; Li, L.; Gu, B.; Cui, Y.; Wang, J.; Song, J. Design of hyperchaotic system based on multi-scroll and its encryption algorithm in color image. Integration 2023, 88, 203–221. [Google Scholar] [CrossRef]
- Arena, P.; Baglio, S.; Fortuna, L.; Manganaro, G. Generation of n-double scrolls via cellular neural networks. Int. J. Circuit Theory Appl. 1996, 24, 241–252. [Google Scholar] [CrossRef]
- Muñoz-Pacheco, J.M.; Guevara-Flores, D.K.; Félix-Beltrán, O.G.; Tlelo-Cuautle, E.; Barradas-Guevara, J.E.; Volos, C.K. Experimental verification of optimized multiscroll chaotic oscillators based on irregular saturated functions. Complexity 2018, 2018, 3151840. [Google Scholar] [CrossRef]
- Jafari, S.; Pham, V.T.; Kapitaniak, T. Multiscroll chaotic sea obtained from a simple 3D system without equilibrium. Int. J. Bifurc. Chaos 2016, 26, 1650031. [Google Scholar] [CrossRef]
- Rajagopal, K.; Çiçek, S.; Naseradinmousavi, P.; Khalaf, A.J.M.; Jafari, S.; Karthikeyan, A. A novel parametrically controlled multi-scroll chaotic attractor along with electronic circuit design. Eur. Phys. J. Plus 2018, 133, 354. [Google Scholar] [CrossRef]
- Yang, X.S. Topological horseshoes and computer assisted verification of chaotic dynamics. Int. J. Bifurc. Chaos 2009, 19, 1127–1145. [Google Scholar] [CrossRef]
- Li, Q. A topological horseshoe in the hyperchaotic Rössler attractor. Phys. Lett. A 2008, 372, 2989–2994. [Google Scholar] [CrossRef]
- Li, Q.; Yang, X.S. A simple method for finding topological horseshoes. Int. J. Bifurc. Chaos 2010, 20, 467–478. [Google Scholar] [CrossRef]










Disclaimer/Publisher’s Note: The statements, opinions and data contained in all publications are solely those of the individual author(s) and contributor(s) and not of MDPI and/or the editor(s). MDPI and/or the editor(s) disclaim responsibility for any injury to people or property resulting from any ideas, methods, instructions or products referred to in the content. |
© 2024 by the authors. Licensee MDPI, Basel, Switzerland. This article is an open access article distributed under the terms and conditions of the Creative Commons Attribution (CC BY) license (https://creativecommons.org/licenses/by/4.0/).
Share and Cite
Ye, Y.; He, J. Constructing a New Multi-Scroll Chaotic System and Its Circuit Design. Mathematics 2024, 12, 1931. https://doi.org/10.3390/math12131931
Ye Y, He J. Constructing a New Multi-Scroll Chaotic System and Its Circuit Design. Mathematics. 2024; 12(13):1931. https://doi.org/10.3390/math12131931
Chicago/Turabian StyleYe, Yinfang, and Jianbin He. 2024. "Constructing a New Multi-Scroll Chaotic System and Its Circuit Design" Mathematics 12, no. 13: 1931. https://doi.org/10.3390/math12131931
APA StyleYe, Y., & He, J. (2024). Constructing a New Multi-Scroll Chaotic System and Its Circuit Design. Mathematics, 12(13), 1931. https://doi.org/10.3390/math12131931

