Mathematical Analysis of the Wind Field Characteristics at a Towering Peak Protruding out of a Steep Mountainside
Abstract
1. Introduction
2. Wind Field Measurement
2.1. Measurement Site
2.2. Measurement System
3. Analysis of Wind Characteristics
3.1. Mean Wind Characteristics
3.1.1. Mean Wind Speed and Direction
3.1.2. Wind Angle of Attack
3.2. Wind Speed Models
3.2.1. Stationary Test
3.2.2. Time−Varying Mean Wind Speed (TVM)
3.2.3. Stationary and Nonstationary Wind Speed Models
3.3. Wind Turbulence Characteristics
3.3.1. Turbulence Intensity
3.3.2. Gust Factor
- (1)
- Variation with wind speed
- (2)
- Variation with turbulence intensity
3.3.3. Turbulence Integral Scale
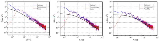
3.3.4. Turbulence PSD
4. Conclusions
- The complexity of the mountainous valley and the peculiarity of the measurement site profoundly influenced the mean wind characteristics; the blocking effect of the local topography resulted in a higher wind angle of attack and lower mean wind speed from the same direction. Furthermore, the probability distribution of the wind field characteristics agreed with the multimodal lognormal distribution;
- The implementation of the reverse arrangement test revealed that the wind speed at the measurement site exhibited strong nonstationary behavior. Additionally, the traditional SWSM overestimated the wind turbulence characteristics. Therefore, the NWSM should be employed to evaluate the wind properties at such topography;
- Due to the speed-up effect imposed on the vertical wind speed, the vertical turbulence integral scale demonstrated a higher value in comparison to the longitudinal and lateral ones. Furthermore, the longitudinal turbulence integral scale was the lowest as a result of the blocking effect that the mountain placed on the upcoming wind flow;
- The power spectrum of the wind fluctuating components complied with the recommended Kamail and Panofsky spectrums at high-frequency stages. Moreover, the wind power spectrums computed via the stationary model were greater than those based on the nonstationary model at lower frequencies.
Author Contributions
Funding
Data Availability Statement
Conflicts of Interest
References
- Cai, K.; ASCE, S.M.; Huang, M.; ASCE, A.M.; Xu, H.; Kareem, A.; ASCE, A.M. Analysis of nonstationary typhoon winds based on optimal time−varying mean wind speed. J. Struct. Eng. 2022, 148, 12. [Google Scholar] [CrossRef]
- Wang, H.; Wu, T.; Tao, T.; Li, A.; Kareem, A. Measurements and analysis of non−stationary wind characteristics at Sutong Bridge in Typhoon Damrey. J. Wind Eng. Ind. Aerodyn. 2016, 151, 166–182. [Google Scholar] [CrossRef]
- Ren, H.; Laima, S.; Chen, W.L.; Zhang, B.; Guo, A.; Li, H. Numerical simulation and prediction of spatial wind field under complex terrain. J. Wind Eng. Ind. Aerodyn. 2018, 180, 49–65. [Google Scholar] [CrossRef]
- Hu, P.; Han, Y.; Xu, G.; ASCE, A.M.; Li, Y.; Xue, F. Numerical Simulation of Wind Fields at the Bridge Site in Mountain−Gorge Terrain Considering an Updated Curved Boundary Transition Section. J. Aerosp. Eng. 2018, 31, 04018008. [Google Scholar] [CrossRef]
- Li, Y.; Hu, P.; Xu, X.; Qiu, J. Wind characteristics at bridge site in a deep−cutting gorge by wind tunnel test. J. Wind Eng. Ind. Aerodyn. 2017, 160, 30–46. [Google Scholar] [CrossRef]
- Song, J.L.; Li, J.W.; Flay, R.G.J.; Pirooz, A.A.S.; Fu, J.Y. Validation and application of pressure–driven RANS approach for wind parameter predictions in mountainous terrain. J. Wind Eng. Ind. Aerodyn. 2023, 240, 105483. [Google Scholar] [CrossRef]
- Jing, H.; Liao, H.; Ma, C.; Tao, Q.; Jiang, J. Field measurement study of wind characteristics at different measuring positions in a mountainous valley. Exp. Therm. Fluid Sci. 2020, 112, 109991. [Google Scholar] [CrossRef]
- Huang, G.; Jiang, Y.; Peng, L.; Solari, G.; Liao, H.; Li, M. Characteristics of intense winds in mountain area based on field measurement: Focusing on thunderstorm winds. J. Wind Eng. Ind. Aerodyn. 2019, 190, 166–182. [Google Scholar] [CrossRef]
- Jiang, F.; Zhang, M.; Li, Y.; Zhang, J.; Qin, J.; Wu, L. Field measurement study of wind characteristics in mountain terrain: Focusing on sudden intense winds. J. Wind Eng. Ind. Aerodyn. 2021, 218, 104781. [Google Scholar] [CrossRef]
- Bastos, F.; Caetano, E.; Cunha, A.; Cespedes, X.; Flamand, O. Characterisation of the wind properties in the Grande Ravine viaduct. J. Wind Eng. Ind. Aerodyn. 2018, 173, 112–131. [Google Scholar] [CrossRef]
- Liao, H.; Jing, H.; Ma, C.; Tao, Q.; Li, Z. Field measurement study on turbulence field by wind tower and Windcube Lidar in mountain valley. J. Wind Eng. Ind. Aerodyn. 2020, 197, 104090. [Google Scholar] [CrossRef]
- Zhang, J.; Zhang, M.; Li, Y.; Qin, J.; Wei, K.; Song, L. Analysis of wind charactenstics and wind energy potential in complex mountainous region in southwest China. J. Clean. Prod. 2020, 274, 123036. [Google Scholar] [CrossRef]
- Zhou, W.; Lou, W.; Huang, M.; Liu, J.; Liang, M. Two−year wind field measurements near the ground at a site of the Tibetan Plateau. J. Wind Eng. Ind. Aerodyn. 2024, 245, 105636. [Google Scholar] [CrossRef]
- Song, J.L.; Li, J.W.; Flay, R.G.J. Field measurements and wind tunnel investigation of wind characteristics at a bridge site in a Y−shaped valley. J. Wind Eng. Ind. Aerodyn. 2020, 202, 104199. [Google Scholar] [CrossRef]
- Zhang, J.; Zhang, M.; Li, Y.; Jiang, F.; Wu, L.; Guo, D. Comparison of wind characteristics in different directions of deep−cut gorges based on field measurements. J. Wind Eng. Ind. Aerodyn. 2021, 212, 104595. [Google Scholar] [CrossRef]
- Yang, W.; Liu, Y.; Deng, E.; Wang, Y.; He, X.; Lei, M. Characteristics of wind field at tunnel−bridge area in steep valley: Field measurement and LES study. Measurement 2022, 202, 111806. [Google Scholar] [CrossRef]
- Lystad, T.M.; Fenerci, A.; Øiseth, O. Evaluation of mast measurements and wind tunnel terrain models to describe spatially variable wind field characteristics for long−span bridge design. J. Wind Eng. Ind. Aerodyn. 2018, 179, 558–573. [Google Scholar] [CrossRef]
- Yan, B.W.; Li, Q.S.; He, Y.C.; Chan, P.W. RANS simulation of neutral atmospheric boundary layer flows over complex terrain by proper imposition of boundary conditions and modification on the k−ε model. Environ. Fluid Mech. 2016, 16, 1–23. [Google Scholar] [CrossRef]
- Abedi, H. Assessment of flow characteristics over complex terrain covered by the heterogeneous forest at slightly varying mean flow directions: (A case study of a Swedish wind farm). Renew. Energy. 2023, 202, 537–553. [Google Scholar] [CrossRef]
- Li, Y.; Jiang, F.; Zhang, M.; Dai, Y.; Qin, J.; Zhang, J. Observations of periodic thermally−developed winds beside a bridge region in mountain terrain based on field measurement. J. Wind Eng. Ind. Aerodyn. 2022, 225, 104996. [Google Scholar] [CrossRef]
- Huang, P.; Xie, W.; Gu, M. A comparative study of the wind characteristics of three typhoons based on stationary and nonstationary models. Nat. Hazards. 2020, 101, 785–815. [Google Scholar] [CrossRef]
- Yu, C.; Li, Y.; Zhang, M.; Zhang, Y.; Zhai, G. Wind characteristics along a bridge catwalk in (99) a deep−cutting gorge from field measurements. J. Wind Eng. Ind. Aerodyn. 2019, 186, 94–104. [Google Scholar] [CrossRef]
- Ministry of Communications of PRC. Wind−Resistant Design Specification for Highway Bridges, 4th ed.; Tongji University: Shanghai, China, 2018. [Google Scholar]
- Tao, T.; ASCE, S.M.; Wang, H.; ASCE, M.; Wu, T.; ASCE, A.M. Comparative study of the wind characteristics of a strong wind event based on stationary and nonstationary models. J. Struct. Eng. 2022, 143, 5. [Google Scholar] [CrossRef]
- Yan, B.; Chan, P.W.; Li, Q.S.; He, Y.C.; Shu, Z.R. Characterising the fractal dimension of wind speed time series under different terrain conditions. J. Wind Eng. Ind. Aerodyn. 2020, 201, 104165. [Google Scholar] [CrossRef]
- Cheynet, E.; Jakobsen, J.B.; Snæbjörnsson, J.; Mikkelsen, T.; Sjöholm, M.; Mann, J.; Hansen, P.; Angelou, N.; Svardal, B. Application of short−range dual−Doppler lidars to evaluate the coherence of turbulence. Exp. Fluids. 2016, 57, 184. [Google Scholar] [CrossRef]
- Beck, T.W.; Housh, T.J.; Weir, J.P.; Cramer, J.T.; Vardaxis, V.; Johnson, G.O.; Coburn, J.W.; Malek, M.H.; Mielke, M. An examination of the Runs Test, Reverse Arrangements Test, and modified Reverse Arrangements Test for assessing surface EMG signal stationarity. J. Neurosci. Methods. 2006, 156, 242–248. [Google Scholar] [CrossRef]
- Xu, Y.L.; ASCE, M.; Chen, J. Characterizing Nonstationary Wind Speed Using Empirical Mode Decomposition. J. Struct. Eng. 2004, 130, 912–920. [Google Scholar] [CrossRef]
- Yang, H. Experimental Study on Nonstationary Characteristics of Urban Boundary Layer Wind Field. Master’s Thesis, Hefei University of Technology, Hefei, China, 2021. [Google Scholar]
- Jun, F. Non−Stationarity Research on the Measured Signal of Wind−Rain Vibration of Stay Cables Based on Wavelet Analysis. Master’s Thesis, Central South University, Changsha, China, 2010. [Google Scholar]
- Simiu, E.; Yeo, D. Wind Effects on Structures: Modern Structural Design for Wind, 4th ed.; Wiley, National Institute of Standards and Technology: Gaithersburg, MD, USA, 2019. [Google Scholar]
















| Turbulence Intensity | Stationary | Nonstationary |
|---|---|---|
| Iu | 0.562 | 0.455 |
| Iv | 0.479 | 0.438 |
| Iw | 0.337 | 0.302 |
| Turbulence Intensity | Stationary | Nonstationary |
|---|---|---|
| Lu | 94.940 | 42.723 |
| Lv | 105.296 | 45.215 |
| Lw | 122.742 | 57.109 |
Disclaimer/Publisher’s Note: The statements, opinions and data contained in all publications are solely those of the individual author(s) and contributor(s) and not of MDPI and/or the editor(s). MDPI and/or the editor(s) disclaim responsibility for any injury to people or property resulting from any ideas, methods, instructions or products referred to in the content. |
© 2024 by the authors. Licensee MDPI, Basel, Switzerland. This article is an open access article distributed under the terms and conditions of the Creative Commons Attribution (CC BY) license (https://creativecommons.org/licenses/by/4.0/).
Share and Cite
Nabil, M.; Guo, F.; Li, H.; Long, Q. Mathematical Analysis of the Wind Field Characteristics at a Towering Peak Protruding out of a Steep Mountainside. Mathematics 2024, 12, 1535. https://doi.org/10.3390/math12101535
Nabil M, Guo F, Li H, Long Q. Mathematical Analysis of the Wind Field Characteristics at a Towering Peak Protruding out of a Steep Mountainside. Mathematics. 2024; 12(10):1535. https://doi.org/10.3390/math12101535
Chicago/Turabian StyleNabil, Mohammed, Fengqi Guo, Huan Li, and Qiuliang Long. 2024. "Mathematical Analysis of the Wind Field Characteristics at a Towering Peak Protruding out of a Steep Mountainside" Mathematics 12, no. 10: 1535. https://doi.org/10.3390/math12101535
APA StyleNabil, M., Guo, F., Li, H., & Long, Q. (2024). Mathematical Analysis of the Wind Field Characteristics at a Towering Peak Protruding out of a Steep Mountainside. Mathematics, 12(10), 1535. https://doi.org/10.3390/math12101535

