You are currently viewing a new version of our website. To view the old version click .
Mathematics
  • Article
  • Open Access

10 May 2024

Investigating the Dynamics of Bayoud Disease in Date Palm Trees and Optimal Control Analysis

,
and
1
Department of Mathematics, College of Sciences, King Faisal University, P.O. Box 400, Al-Ahsa 31982, Saudi Arabia
2
Department of Mathematics, Government College University, Lahore 54000, Pakistan
*
Authors to whom correspondence should be addressed.

Abstract

The fungus Fusarium oxysporum (f.sp. albedinis) causes Bayoud disease. It is one of the epiphytotic diseases that affects a wide range of palm species and has no known cure at present. However, preventive measures can be taken to reduce the effects of the disease. Bayoud disease has caused enormous economic losses due to decreased crop yield and quality. Therefore, it is essential to develop a mathematical model for the dynamics of the disease to propose some affordable methods for disease management. In this study, we propose a novel mathematical model that describes the transmission dynamics of the disease in date palm trees. The model incorporates various factors such as the contact rate of the fungi with date palm trees, the utilization of fungicides, and the introduction of a quarantine compartment to prevent disease dissemination. We first prove a few key properties of the proposed model to ensure that the model is well-posed and suitable for numerical investigations. We establish that the model has a unique positive solution that is bounded and stable over time. We use sensitivity analysis to identify the parameters that have the greatest effect on the reproduction number R 0 and illustrate this effect graphically. We then formulate an optimal control problem to identify the most suitable and cost-effective disease control approaches. As a first approach, we solely focus on the application of fungicide to susceptible trees and determine the best spray rates for a greater decrease in exposed and infected trees. Secondly, we emphasize quarantining exposed and infected trees at optimal quarantine rates. Finally, we explore the combined effect of fungicide spraying and isolating infected trees on disease control. The findings of the last approach turn out to be the most rewarding and cost-effective for minimizing infections in date palm trees.

1. Introduction

The fungus Fusarium oxysporum (f.sp. albedinis) causes Fusarium wilt: a devastating disease that affects a wide range of palm species, including date palm trees. The disease particularly infects the vascular system of palm trees and is known as Bayoud [1,2]. Since the disease’s discovery in the early 20th century, it has caused a decline in crop yield and quality, resulting in huge economic losses. The fungus spreads through soil-borne spores and can survive in the soil for extended periods, making it difficult to control. Over the years, Fusarium wilt has become a significant threat to palm trees worldwide, causing extensive damage and tree mortality. Different strains of Fusarium wilt exist and may target different palm species. Effective management strategies for Fusarium wilt include sanitation practices, such as removing and destroying infected palms, as well as implementing preventive measures to reduce the risk of disease transmission.
It is important for palm tree owners and agricultural professionals to be aware of Bayoud disease and its symptoms so they can detect and manage the disease promptly. The disease typically starts with the yellowing and wilting of the older leaves, usually beginning from the lowest fronds and progressing upwards. Infected palms may exhibit slower growth, reduced overall vigor, and a decline in health. As the disease progresses, more fronds turn brown or dry out, starting from the oldest leaves and moving towards the top of the tree. In severe cases, the crown of the palm tree may collapse or droop due to the damage caused by the fungus to the vascular system. Cutting a cross-section of an affected trunk may reveal darkened and discolored vascular tissues, indicating the presence of a fungal infection. Affected trees ultimately dry out and die in a few weeks to several months [3]. These symptoms may vary slightly depending on the palm species and the specific strain of Fusarium wilt involved. Early detection and proper management are crucial for minimizing the spread and impact of the disease. Without treatment, Bayoud disease can lead to the eventual death of the palm tree within several months to a year from when initial symptoms appear. In the dead tissues of the diseased trees, Fusarium oxysprum f.sp. continues to exist as Chlamydospores. The Chlamydospores can be released into the soil, where they remain dormant and can survive in soil for longer than eight years. The long-term existence of Chlamydospores contributes to the ongoing threat to palm tree health. Under suitable conditions, Chlamydospores develop and enter the vascular tissues of roots, from which the mycelium propagate to the stem.
Date palm trees are susceptible to many diseases that result in substantial financial losses. The majority of these diseases are linked to fungus-related pathogens [4]. Fusarium is a type of soil fungus that has spindle-shaped spores and grows on soil and organic matter. Due to its ability to change its form and function, Fasarium can adapt to a wide range of environments occurring in all parts of the globe [5]. Most of the Fusarium oxysporum strains are not harmful to plants, and some are even beneficial [6,7]. However, some strains can cause dieback in date palms and a sharp reduction in the infected plant’s yield [8]. One of the early signs of the disease is the drying and whitening of one or more palms (leaflets or rachis), usually in the middle crown of the palm [9]. The disease is named after this symptom. The attack then spreads to the surrounding palm trees, resulting in similar symptoms. There have been cases where these symptoms are confused with drying out brought on by excessive water stress. Thus, to identify the parasite, a detailed inspection of sick trees is required [10].
There is currently no known cure for Bayoud fungal disease; the preventive measures can only protect healthy date plantations from this disease [11]. The recommended disease preventive measures include chemical control (fumigation and fungicide use), prophylactic measures, eradication, burning, and isolation of infected trees [12,13]. Unfortunately, chemical control impacts the helpful soil microbiota and can build up in the food chain [12]. Regular use of fungicides harms human health and the environment and can encourage the growth of new resistant fungal strains [13]. However, the chemical control strategy is feasible when the primary sources of infection are discovered in a healthy area and an optimal level of fungicide application may help to reduce the fungi. Prophylactic measures include preventing the transfer of diseased plant material from an infected palm orchard to a healthy one [9]. Numerous studies have shown that early recognition can have a major impact on managing and preventing the spread of infectious diseases [14,15,16]. Research by Mbasa et al. [17] has demonstrated that awareness campaigns can help with the early detection of Fusarium wilt and the appropriate selection of control measures. Anggriani [18] described the relationship between fungal infection and susceptible plants and proposed a mathematical model of the dynamics of plant–fungal disease transmission. The findings show how much fungicide is suitable for treating and protecting trees from fungi. Fungicides improve plant protection, but care is essential for minimizing environmental risks and protecting health [19].
Many researchers have employed optimal control theory to decrease the infection caused by different epidemiological diseases and the associated cost of implementing control approaches [20,21,22,23,24]. In [25], the authors introduced a new mathematical model for pine wilt disease caused by a vector (beetle) and presented different optimal control strategies to reduce the infection in palm trees. According to that study, controls in the form of deforestation, tree injection, and insecticide spraying are the best strategies to control the pine wilt disease. To investigate disease control and the effect of time delay on its efficacy, a two-dimensional delay differential equation model was developed in [26]. Based on the outcome of this model, some recommendations for preventing and controlling pine wilt disease were proposed. In [27], a mathematical representation of farming awareness of the best crop pest control interventions was introduced. The results suggest that the best options are advertisements and pesticides. A model for managing pests with biological insecticides was developed in [28]. The optimal control theory was used in [29] to study the means of eliminating parasites from agroecosystems. However, to the best of our knowledge, there has not been enough research done on a mathematical model of Bayoud disease to determine the best management and control approaches.
The objective of this study is to develop a novel mathematical model of the dynamics of Bayoud disease in date palm trees and to offer recommendations for effective disease control. The model will include an isolation compartment under the assumption that the trees in this compartment have no root contact with other trees and that the trees have a separate irrigation system. Further, we assume that the soil around the roots of quarantined trees has been replaced by fungus-free soil. First, we establish various fundamental properties of the proposed model analytically and demonstrate the model’s stability at equilibrium points. Then, based on sensitivity analysis, we include some suitable control parameters in the model and formulate an optimal control problem to investigate the best control strategies for restricting the spread of the disease to healthy palm plantations.
The rest of the paper consists of the following sections. In Section 2, we describe the development of a mathematical model depicting the dynamics of Bayoud disease in date palm trees. A theoretical analysis of the disease dynamics is presented in Section 3, where the existence of a unique solution is proved, boundedness and positivity of solutions are examined, the equilibrium states of the model are identified, the reproduction number is found using the next-generation approach, and the local and global stabilities of the model at equilibrium points are explored. Sensitivity analysis is done in Section 4 to determine the parameters of the model that have the most influence on the reproduction number. The relationship between parameters and the reproduction number is also illustrated graphically. Section 5 explains the formulation of an optimal control problem to examine the best disease control strategies. We analyze three different solution approaches and recommend the best one. Section 6 presents the numerical results along with graphical illustrations and related discussions. The findings of the research are summarized in Section 7.

2. Mathematical Model

Mathematical modeling of contagious diseases is an effective tool used by researchers and policymakers to understand and forecast the dynamics of diseases within populations. These models are used to support well-informed decisions about disease prevention, control, and the distribution of healthcare resources. This involves developing mathematical equations to model the relationships between various populations, including those at risk, those with infections, and those with impaired immunity. Factors such as population size, birth and death rates, and rates of disease transmission are used to build such mathematical equations.
Compartmental modeling is one of the most commonly used techniques for modeling infectious diseases. In this paper, we develop a new SEIQRC compartmental model that describes the transmission dynamics of Bayoud disease in date palm trees. This model is an extension of the SEIR framework that can be used for the analysis of other transmissible diseases that require isolation. The total tree population N ( t ) is divided into five compartments: susceptible S ( t ) , exposed E ( t ) , infected I ( t ) , quarantined Q ( t ) , and recovered R ( t ) . Thus, the tree population at any time t can be described by the following equation:
N ( t ) = S ( t ) + E ( t ) + I ( t ) + Q ( t ) + R ( t ) .
The flow model shown in Figure 1 illustrates how Bayoud disease propagates among the date palm population.
Figure 1. A graphical illustration of the dynamics of Bayoud disease in date palm trees.
Susceptible trees are recruited at the rate Π and move to exposed compartment E after getting infected due to their contact with either infectious plants or fungi. The infectious trees are transferred to the infected class I at the rate α 1 . We include an isolation compartment Q in the model to restrict the spread of disease. The trees in this compartment do not have root contact with other trees. Additionally, we assume that quarantined trees have separate irrigation systems and the infested soil around their roots has been replaced with fresh fungi-free soil. The exposed and infectious trees move to the quarantine compartment respectively at rates q 1 and q 2 . Trees that have become immune or have received a curative treatment such as the application of insecticide spray move at rates γ 1 and γ 2 from classes I and Q to recovered class R. In the dead tissues of diseased trees of classes I and Q, Fusarium oxysprum f.sp. albedinis (Foa) continues to exist as Chlamydospores. When these tissues eventually disintegrate, the Chlamydospores can be released into the soil, where they stay dormant. We assume that the dead trees of infected and quarantined classes disintegrate at rates μ 1 and μ 2 , respectively, to move into class C, which is the compartment containing the Chlamydospores population. The Chlamydospores population is recruited logistically to class C with a growth rate r and carrying capacity K. It is assumed that the tree population dies naturally at the rate d 1 . With these assumptions, we get the following system of ordinary differential equations.
d S d t = Π ( β 1 I + β 2 C ) S d 1 S ,
d E d t = ( β 1 I + β 2 C ) S ( d 1 + α 1 + q 1 ) E ,
d I d t = α 1 E ( d 1 + q 2 + γ 1 + μ 1 ) I ,
d Q d t = q 1 E + q 2 I ( d 1 + γ 2 + μ 2 ) Q ,
d R d t = γ 1 I + γ 2 Q d 1 R ,
d C d t = r 1 C K C + μ 1 I + μ 2 Q d 2 C ,
along with conditions:
S ( 0 ) = S 0 > 0 , E ( 0 ) = E 0 0 , I ( 0 ) = I 0 0 , Q ( 0 ) = Q 0 0 , R ( 0 ) = R 0 0 , C ( 0 ) = C 0 0 ,
where the state variables S ( t ) , E ( t ) , I ( t ) , Q ( t ) , R ( t ) , C ( t ) are assumed to be real-valued continuously differential functions on [ 0 , ) , and the explanation of the model parameters is given as follows:
  • Π : Rate of tree recruitment to susceptible;
  • d 1 : Rate at which trees die naturally;
  • β 1 : Contact rate of susceptible trees with infectious trees;
  • β 2 : Contact rate of susceptible trees with vectors;
  • α 1 : Rate at which exposed trees become infectious;
  • q 1 : Rate at which exposed trees are quarantined;
  • q 2 : Rate at which infectious trees are quarantined;
  • γ 1 : Rate at which quarantined trees recover;
  • γ 2 : Rate at which infected trees recover;
  • μ 1 : Rate at which infectious trees die due to disease;
  • μ 2 : Rate at which quarantined trees die due to disease;
  • d 2 : Rate at which vector (fungi) dies naturally;
  • r: Growth rate of the vector (fungi).
We put the model (2)–(8) into the compact form as follows:
d z d t = H ( z ( t ) ) , z ( 0 ) = z 0 , 0 < t < T f < ,
where z ( t ) : [ 0 , T f ] R + 6 and H : R + 6 R + 6 are functions defined by:
z ( t ) = S ( t ) , E ( t ) , I ( t ) , Q ( t ) , R ( t ) , C ( t ) T ,
with
z 0 = S ( 0 ) , E ( 0 ) , I ( 0 ) , Q ( 0 ) , R ( 0 ) , C ( 0 ) T ,
and
H ( z ( t ) ) = H 1 H 2 H 3 H 4 H 5 H 6 = Π ( β 1 I + β 2 C ) S d 1 S ( β 1 I + β 2 C ) S ( d 1 + α 1 + q 1 ) E α 1 E ( d 1 + q 2 + γ 1 + μ 1 ) I , q 1 E + q 2 I ( d 1 + γ 2 + μ 2 ) Q γ 1 I + γ 2 Q d 1 R r 1 C K C + μ 1 I + μ 2 Q d 2 C .

3. Theoretical Analysis of the Model

This section studies the mathematical properties of the Bayoud disease model. This analysis consists of exploring key features of the model, such as the boundedness and positivity of solutions, the existence of unique solution, the determination of equilibrium points, the calculation of the reproduction parameter, and an analysis of local and global stabilities. Each of these features is thoroughly investigated in the following subsections.

3.1. Positivity and Boundedness of Solutions

In the following, we show that the state variables of model (2)–(8) are bounded and positive in the feasible region.
Theorem 1.
The solution z ( t ) = ( S ( t ) , E ( t ) , I ( t ) , Q ( t ) , R ( t ) , C ( t ) ) T of the Bayoud disease model (2)–(8) is bounded.
Proof. 
After differentiating Equation (1) for time t and utilizing model Equations (2)–(6), we obtain an equation for the tree population as follows:
d N d t = Π N d 1 μ 1 I μ 2 Q ,
with
N ( 0 ) = S ( 0 ) + E ( 0 ) + I ( 0 ) + Q ( 0 ) + R ( 0 ) .
Consider
N ( 0 ) = N 0 Π d 1 .
Since μ 1 I + μ 2 Q 0 , Equation (10) can be re-written as follows:
d N d t Π d 1 N .
Application of Laplace transforms to both sides of Equation (11) yields us the following.
s N ( s ) N 0 Π s d 1 N ( s ) .
Simplification gives us the following expression for N ( s ) .
N ( s ) Π d 1 s Π d 1 ( s + d 1 ) + N 0 ( s + d 1 ) .
Next, the application of the inverse Laplace transform gives us the following expression for N ( t ) , i.e.,
N ( t ) Π d 1 e d 1 t Π d 1 N 0 ,
which leads us to boundedness of the tree population, i.e.,
lim t N ( t ) Π d 1 .
Since Equation (7) follows the logistic population model, the solution of the equation remains bounded. Thus, the solution z ( t ) of (2)–(8) is bounded t 0 .    □
Theorem 2.
The solution z ( t ) = ( S ( t ) , E ( t ) , I ( t ) , Q ( t ) , R ( t ) , C ( t ) ) T of the proposed Bayoud disease model (2)–(8) is positive t 0 .
Proof. 
Let z ( 0 ) 0 . Since the state variables of model (2)–(8) are bounded, Equation (2) can be put in the following form.
d S d t Π ξ S ( t ) ,
where
ξ = sup β 1 I + β 2 C + d 1 .
Application of the Laplace transform to Equation (12) gives us the following inequality:
S ( s ) Π s ( s + ξ ) + S 0 ( s + ξ ) .
Next, we apply the inverse Laplace transform to both sides of (13) to obtain the following:
S ( t ) Π ξ Π ξ e ξ t + S 0 e ξ t .
Since 0 e ξ t 1 and S 0 e ξ t 0 , it follows that S(t) ≥ 0 t 0 . We can also demonstrate this positivity for other state variables of the model Equations (3)–(7).    □
Thus, the feasible region for the proposed Bayoud disease model (2)–(8) is defined as follows:
Γ = z ( t ) R + 6 : 0 N Π d 1 , 0 C K , 0 t T f < .
A graphical illustration of Theorems 3 and 4 is shown in Figure 2.
Figure 2. Numerical evidence of positivity and boundedness of solutions.

3.2. Existence and Uniqueness

We state the following fundamental results from [30,31] to prove the existence and uniqueness of the solution of the disease model (2)–(8).
Theorem 3.
Assume that D = { ( t , w 1 , , w m ) | a t b and < w k < , for   each k = 1 , 2 , , m } , and let G k ( t , w 1 , , w m ) for each k = 1 , , m be continuous and satisfy Lipschitz condition on D . Then, the system:
d w d t = G ( t , w ) , w ( a ) = α ,
where w = ( w 1 , , w m ) T , α = ( α 1 , , α m ) T , G = ( G 1 , , G m ) T has a unique solution w for t [ a , b ] .
Theorem 4.
If G ( t , w ) and G w k are in C ( D ) and if
| G w k | < M ,
for each k = 1 , , m in D , then G satisfies the Lipschitz condition on D , where M is Lipschtiz constant.
Now, we present the theorem that gives the existence of a unique solution to the IVP (9).
Theorem 5.
Let Γ D be the domain for the problem (9). If H satisfies the Lipschitz condition on Γ , then system (9) has a unique solution bounded in Γ .
Proof. 
Since the state variable z ( t ) is continuously differentiable for 0 t T f < , the function H ( z ( t ) ) and its first partial derivative are also continuous there. Moreover, the boundedness of H ( z ( t ) ) is given by Theorems 1 and 2. Now, to prove Lipschitz’s condition on Γ , we only need to show that the derivatives H i z k , i , k = 1 , , 6 are bounded.
| H 1 S | = | ( β 1 I + β 2 C + d 1 ) | M < , | H 1 I | = | β 1 S | M < , | H 1 C | = | β 2 S | M < , | H 2 S | = | ( β 1 I + β 2 C + d 1 ) | M < , | H 2 E | = | ( d 1 + α 1 + q 1 ) | M < , | H 2 I | = | β 1 S | M < , | H 2 C | = | β 2 S | M < , | H 3 E | = | α 1 | M < , | H 3 I | = | ( d 1 + q 2 + γ 1 + μ 1 ) | M < , | H 4 E | = | q 1 | M < , | H 4 I | = | q 2 | M < , | H 4 I | = | ( d 1 + γ 2 + μ 2 ) | M < , | H 5 I | = | γ 1 | M < , | H 5 Q | = | γ 2 | M < , | H 5 R | = | d 1 | M < , | H 6 I | = | μ 1 | M < , | H 6 Q | = | μ 2 | M < , | H 6 I | = | r 1 2 C K d 2 | M < ,
and the rest of the first-order derivatives are zero, i.e.,
| H i z k | = 0 M < ,
where
M = s u p z Γ | H i z k | , i , k = 1 , , 6 .
Thus,
| H i z k | M , i , k = 1 , , 6 .
This completes the proof. □

3.3. Equilibrium Points and Reproduction Number

The equilibrium points, namely the disease-free equilibrium (DFE) and the endemic equilibrium (EE), are determined by considering the steady-state equations of model (2)–(8). Since infection does not stay in the trees at the DFE point, we take I = 0 in the steady-state equations of the sub-model. This is because we assume the fungus does not exist in the tree population. Assuming this, the DFE point is calculated to give the following.
P 0 = ( S 0 , E 0 , I 0 , Q 0 , R 0 , C 0 ) = Π d 1 , 0 , 0 , 0 , 0 , 0
In the case of the endemic equilibrium (EE) point, or when I 0 , the fungi stay in the tree population. The EE point is determined by solving the steady-state equations of model (2)–(8) under the assumption that I 0 . The EE point is then given as follows:
(17) P * = ( S * , E * , I * , Q * , R * , C * ) (18) = Π α 1 k 1 k 2 I * α 1 d 1 , k 2 I * α 1 , I * , ( q 1 k 2 + α 1 q 2 ) I * k 3 α 1 , ( γ 1 k 3 α 1 + γ 2 ( q 1 k 2 + α 1 q 2 ) ) I * k 3 α 1 d 1 , K 1 d 2 r ,
where I * is determined by solving the following equation:
β 1 k 1 k 2 I * 2 + ( β 2 k 1 k 2 C * + d 1 k 1 k 2 β 1 α 1 Π ) I * α 1 β 2 Π C * = 0
Next, we compute the reproduction number R 0 for the epidemic model (2)–(8). It is a critical number that establishes whether an outbreak will spread throughout a population or eventually die out. The number R 0 is calculated using the next-generation matrix approach [21]. This is equal to the spectrum radius of the matrix F V 1 , where F represents the Jacobian of new infections and V represents the Jacobian of other transitional terms of Equations (3)–(5). The matrices of new infections and other transitional terms are respectively given as follows:
F = β 1 S I + β 2 S C 0 0 and V = k 1 E α 1 E + k 2 I q 1 E q 2 I + k 3 Q ,
where k 1 = q 1 + α 1 + d 1 , k 2 = q 2 + γ 1 + d 1 + μ 1 , and k 3 = γ 2 + d 1 + μ 2 . The Jacobian matrices of F and V evaluated at DFE point P 0 are respectively given as follows:
F = 0 β 1 Π d 1 0 0 0 0 0 0 0 , V = k 1 0 0 α 1 k 2 0 q 1 q 2 k 3 .
The spectrum radius of the product matrix F V 1 is then computed to get the reproduction number R 0 , which is given as follows:
R 0 = α 1 β 1 Π d 1 ( q 1 + α 1 + d 1 ) ( q 2 + γ 1 + d 1 + μ 1 ) .
If R 0 > 1 , the disease is considered an epidemic, and appropriate strategies are required to control the spread of the disease.

3.4. Stability Analysis

This section examines the local and global stabilities of model (2)–(8) at equilibrium points P 0 and P * . The Jacobian matrix is determined for local stability, and the signs of eigenvalues are checked. For global stability, we use Lyapunov theory with the LaSalle invariance principle [22] and the Castillo–Chavez theory [32]. Long-term disease control strategies are required if the equilibrium point is unstable on a global scale.

3.4.1. Local Stability at DFE and EE

Local stability is an essential concept for comprehending the dynamics of infectious diseases and their transmission throughout a population. In the following, we determine the local stability at both equilibrium points.
Theorem 6.
The Bayoud model (2)–(8) is locally asymptotically stable at DFE point P 0 when R 0 < 1 and is unstable if R 0 > 1 .
Proof. 
To determine the local stability at P 0 , we compute the Jacobian of model (2)–(8) at this point. The Jacobian matrix is given as follows:
J P 0 = d 1 0 β 1 Π d 1 0 0 0 k 1 β 1 Π d 1 0 0 0 α 1 k 2 0 0 0 q 1 q 2 k 3 0 0 0 γ 1 γ 2 d 1 .
We find out the subsequent eigenvalues of the Jacobian matrix.
λ 1 0 = d 1
λ 2 0 = d 1
λ 3 0 = k 1
λ 4 0 = k 2 ( 1 R 0 )
λ 5 0 = k 3
All the eigenvalues are less than zero if R 0 < 1 . Thus, system (2)–(8) is locally asymptotically stable at P 0 when R 0 < 1 . The eigenvalue λ 4 becomes positive when R 0 > 1 , and hence system of Equations (2)–(8) becomes unstable.    □
Theorem 7.
The Bayoud system (2)–(8) is locally asymptotically stable at EE point P * when R 0 > 1 .
Proof. 
The Jacobian matrix evaluated at P * for model (2)–(8) is given as follows:
J P * = ( β 1 I * + β 2 C * + d 1 ) 0 β 1 S * 0 0 ( β 1 I * + β 2 C * ) k 1 β 1 S * 0 0 0 α 1 k 2 0 0 0 q 1 q 2 k 3 0 0 0 γ 1 γ 2 d 1
Eigenvalues of the matrix J P * are given as follows:
λ 1 * = d 1 , λ 2 * = k 1 , λ 3 * = ( I * β 1 + β 2 C * + d 1 ) , λ 4 * = k 3 , λ 5 * = k 2 1 + α 1 β 1 d 1 S * I * k 1 k 2 ( β 1 β 2 I * C * d 1 I * ) .
Here, λ 5 < 0 if 1 + α 1 β 1 d 1 S * I * k 1 k 2 ( β 1 β 2 I * C * d 1 I * ) > 0 . Thus, it is clear from (28) that the proposed model is LAS at the EE point.    □

3.4.2. Global Stability at DFE and EE

The Castillo–Chavez approach helps us prove global stability at DFE. The use of this strategy necessitates that we write our proposed model (2)–(8) in the format shown below.
d U d t = K ( U , V ) ,
d V d t = M ( U , V ) , M ( U , V ) = 0 .
In the preceding format, U = S depicts the susceptible trees that have not been infected. On the other hand, V = ( E , I , Q ) represents the trees that got infected. If the following two conditions hold, the DFE point P 0 is globally asymptotically stable.
C 1 : d U d t = K ( U , 0 ) = 0 , U 0 is globally asymptotically stable ,
C 2 : d V d t = M ( U , V ) = B V M ¯ ( U , V ) , M ¯ ( U , V ) 0 , ( U , V ) Γ ,
where B = D V M ( U 0 , 0 ) is a matrix that has the non-diagonal elements as non-negative, and Γ is the feasible region.
Theorem 8.
If C 1 , C 2 are satisfied, the DFE point P 0 of the model (2)–(8) is globally asymptotically stable when R 0 < 1 .
Proof. 
Let U = S be uninfected trees. Similarly, suppose that V = ( E , I , Q ) are the infected trees. Then, we have
d U d t = K ( U , V ) = Π β 1 S I β 2 S C d 1 S .
At P 0 = ( U 0 , 0 , 0 , 0 , 0 , 0 ) = ( Π d 1 , 0 , 0 , 0 , 0 , 0 ) , K ( U ¯ , 0 ) = Π d 1 S 0 . Thus, the condition C 1 is satisfied. Hence, U 0 is globally asymptotically stable. Next, we consider
d d t E I Q = k 1 β 1 S 0 0 α 1 k 2 0 q 1 q 2 k 3 E I Q β 1 I ( S 0 S ) 0 0 ,
which can be put in the following form:
d V d t = B V M ¯ ( U , V ) ,
where
B = k 1 β 1 S 0 0 α 1 k 2 0 q 1 q 2 k 3 , V = E I Q , M ¯ ( U , V ) = β 1 I ( S 0 S ) 0 0 ,
where k 1 = q 1 + α 1 + d 1 , k 2 = q 2 + γ 1 + d 1 + μ 1 , and k 3 = γ 2 + d 1 + μ 2 .
Since S + E + I + Q S 0 , we have M ¯ ( U , V ) 0 . Moreover, matrix B is an M-matrix since it contains non-diagonal components as non-negative elements. Thus, the condition C 2 is also satisfied. Hence, the point P 0 is globally asymptotically stable.    □
Global stability at DFE demonstrates that the disease will not survive in the population despite the introduction of any kind of disturbance.
Theorem 9.
The endemic equilibrium point P * of model (2)–(8) is globally asymptotically stable when R 0 > 1 .
Proof. 
We consider a Voltera-type Lyapunov function L defined as follows:
L ( S , E , I , Q , R ) = ( S S * S * log S S * ) + ( E E * E * log E E * ) + ( I I * I * log I I * ) + ( Q Q * Q * log Q Q * ) + ( R R * R * log R R * ) ,
The function L ( S , E , I , Q , R ) is differentiated with respect to time t to get:
d L d t = S S * S d S d t + E E * E d E d t + I I * I d I d t + Q Q * Q d Q d t + R R * R d R d t .
Replacing the derivatives with the corresponding right-hand side expressions from model (2)–(7), we obtain:
d L d t = S S * S Π β 1 S I β 2 S C d 1 S + E E * E β 1 S I + β 2 S C ( q 1 + α 1 + d 1 ) E + I I * I α 1 E ( d 1 + μ 1 + γ 1 + q 2 ) I + Q Q * Q q 1 I ( d 1 + μ 2 + γ 2 ) Q + R R * R γ 1 I + γ 2 Q d 1 R .
The preceding expression has an equivalent form:
d L d t = S S * S ( Π ( S S * ) ( β 1 I + β 2 C + d 1 ) S * ( β 1 I + β 2 C + d 1 ) ) + E E * E ( β 1 S I + β 2 S C ( E E * ) ( q 1 + α 1 + d 1 ) E * ( q 1 + α 1 + d 1 ) ) + I I * I ( ( α 1 E ( I I * ) ( γ 1 + d 1 + μ 1 + q 2 ) I * ( γ 1 + d 1 + μ I + q 2 ) ) + Q Q * Q ( q 1 E + q 2 I ( Q Q * ) ( d 1 + μ 2 + γ 2 ) Q * ( d 1 + μ 2 + γ 2 ) ) + R R * R ( γ 1 I + γ 2 Q ( R R * ) d 1 d 1 R * ) .
The terms in the above equation can be arranged to write it as follows:
d L d t = Υ 1 Υ 2 ,
where
Υ 1 = Π + ( S * ) 2 S ( β 1 I + β 2 C + d 1 ) + β 1 S I + β 2 S C + ( E * ) 2 E ( q 1 + α 1 + d 1 ) + α 1 E + q 1 E + γ 1 I + γ 2 Q + ( I * ) 2 I ( γ 1 + d 1 + μ I + q 2 ) + q 2 I + ( Q * ) 2 Q ( d 1 + μ 2 + γ 2 ) + ( R * ) 2 R d 1 ,
and
Υ 2 = Π S * S + ( S S * ) 2 S ( β 1 S I + β 2 S C + d 1 ) + S * ( β 1 S I + β 2 S C + d 1 ) + ( β 1 S I + β 2 S C ) E * E + ( E E * ) 2 E ( α 1 + q 1 + d 1 ) + E * ( α 1 + q 1 + d 1 ) + α 1 E I * I + ( I I * ) 2 I ( γ 1 + d 1 + μ 1 + q 2 ) + I * ( γ 1 + d 1 + μ 1 + q 2 ) + ( q 1 E + q 2 I ) Q * Q + ( Q Q * ) ( d 1 + μ 2 + γ 2 ) Q + Q * ( d 1 + μ 2 + γ 2 ) + γ 1 I R * R + γ 2 Q R * R + ( R R * ) 2 R d 1 + d 1 R * .
Given that every parameter in the suggested model is non-negative, d L d t 0 provided Υ 1 Υ 2 . Moreover,
d L d t = 0 Υ 1 = Υ 2 .
Equivalently,
d L d t = 0 S = S * , E = E * , I = I * , Q = Q * , R = R * .
The endemic equilibrium point P * is therefore implied to be globally asymptotically stable by the LaSalle invariance principle. Thus, the solution trajectory that begins with any initial condition in a feasible region Γ converges to the point P * as t . □
The global stability of the EE point suggests that the disease may persist in the population indefinitely. To support the theoretical results, a graphic illustration of the global asymptomatic stability at the endemic equilibrium point is provided in Figure 3, where we observe that the state variables with different set of initial values converge to the endemic equilibrium point. For simulations, we have implemented the RK-4 method and have considered days as the time unit. The appropriate numerical values assigned to the model parameters are as follows: Π = 100 , β 1 = 1.3 × 10 4 , β 2 = 5.2 × 10 5 , d 1 = 0.015 , μ 1 = 0.0169 , μ 2 = 0.0012 , α 1 = 0.031 , γ 1 = 0.1 , γ 2 = 0.016 , q 1 = 0.0091 , q 2 = 0.041 , r = 0.13 , K = 500 . From expression (20), the value of R 0 is then computed to give 2.8201. Thus, the Bayoud disease is epidemic.
Figure 3. Numerical evidence of global stability analysis at an endemic equilibrium point. The state variables with different set of initial conditions merge into an endemic point. Initial data set { S ( 0 ) , E ( 0 ) , I ( 0 ) , Q ( 0 ) , R ( 0 ) , C ( 0 ) } for each colored line is taken as: for red line { 400 , 120 , 50 , 30 , 20 , 150 } ; for blue line: { 1000 , 300 , 100 , 80 , 100 , 130 } ; for green line: { 2000 , 500 , 150 , 120 , 200 , 170 } ; for black line: { 1500 , 700 , 170 , 200 , 500 , 190 } .

4. Sensitivity Analysis

Sensitivity analysis provides an effective way to evaluate the influence of different model parameters on the spread of disease. In this study, we identify those parameters for model (2)–(8) that have a significant impact on the reproduction number R 0 . Parameters with high sensitivity indices are highly sensitive to R 0 and may be adjusted to control the disease. The approach outlined in [33] is used to calculate the sensitivity index of a parameter p, which is involved in R 0 , using the following relation.
( I n d e x ) p R 0 = R 0 p p R 0 .
The computed sensitivity indices of parameters are given in Table 1. The results of Table 1 indicate that the parameters Π , β 1 , α 1 have a direct impact on the reproduction number R 0 , while the parameters d 1 , μ 1 , q 1 , q 2 , γ 1 have an indirect relationship to R 0 . The direct and indirect relationships of parameters to reproduction number R 0 are depicted in Figure 4.
Table 1. Sensitivity index for R 0 .
Figure 4. Sensitivity relationship of parameters to R 0 .
The sensitivity analysis reveals that the parameter β 1 , the interaction rate of infected plants with susceptible, is the most sensitive parameter for R 0 . Thus, the parameter β 1 may play an important role in determining the spread and control of the disease. The best way to control interaction rate β 1 is to quarantine the infected plants optimally. This analysis suggests that we consider quarantine rates q 1 and q 2 as control parameters and show the importance of this selection with details in the next section. However, the highly sensitive parameter Π , the recruitment rate of susceptible plants, and the natural death rate d 1 cannot be logically considered as controllable variables.

5. Optimal Control Analysis

In this section, our objective is to define an optimal control problem to determine the best approaches for disease control. For this, we first update the disease model (2)–(8) to include the most suitable time-dependent controls. Then, we establish the objective functional to set up an optimal control problem.

5.1. Disease Model Adjusted with Controls

We adjust three time-dependent controls in the proposed model (2)–(8) to define an optimal control problem. As a first strategy, we apply a reasonable amount of fungicide to susceptible trees as a preventive measure. We suppose that after the application of fungicide, the susceptible trees move to the recovered class at the rate u 1 ( t ) . Secondly, the model assumes that the quarantine rates q 1 and q 2 are time-dependent: denoted by u 2 ( t ) and u 3 ( t ) , respectively. The purpose of these considerations is to determine an optimal application of fungicide to susceptible trees as well as to determine the best quarantine rates for exposed and infected trees for disease control. A graphical illustration of the disease model with adjusted controls is shown in Figure 5.
Figure 5. A graphical representation of the dynamics of Bayoud disease in date palm trees.
The updated disease model with the new considerations is given as follows:
d S d t = Π ( β 1 I + β 2 C ) S d 1 S u 1 S , d E d t = ( β 1 I + β 2 C ) S ( d 1 + α 1 + u 2 ) E , d I d t = α 1 E ( d 1 + u 3 + γ 1 + μ 1 ) I , d Q d t = u 2 E + u 3 I ( d 1 + γ 2 + μ 2 ) Q , d R d t = γ 1 I + γ 2 Q d 1 R + u 1 S , d C d t = r 1 C K C + μ 1 I + μ 2 Q d 2 C ,
along with conditions:
S ( 0 ) = S 0 > 0 , E ( 0 ) = E 0 0 , I ( 0 ) = I 0 0 , Q ( 0 ) = Q 0 0 , R ( 0 ) = R 0 0 , C ( 0 ) = C 0 0 .
The updated model (36) will be considered as constraints for the control problem.

5.2. Objective Functional and Control Problem

We define the following cost functional for the control problem:
J ( E , I , u ) = 0 T f a 1 E ( t ) + a 2 I ( t ) + 1 2 a 3 u 1 ( t ) 2 + 1 2 a 4 u 2 ( t ) 2 + 1 2 a 5 u 3 ( t ) 2 d t .
Here, T f is the terminal time, E ( t ) and I ( t ) are the state variables representing exposed and infected trees, respectively, u ( t ) = ( u 1 ( t ) , u 2 ( t ) , u 3 ( t ) ) T represents the control variable, constants a i , i = 1 , , 5 are the weights associated with states E ( t ) , I ( t ) and control variables u 1 ( t ) , u 2 ( t ) , u 3 ( t ) .
The objective is to determine an optimal control u * ( t ) U such that the functional (37) is moved to a minimum, i.e.,
Find u * U that minimizes J ( E , I , u ) s u b j e c t t o c o n s t r a i n t s y s t e m ( 36 ) .
Here, U represents the control set defined as follows:
U = u ( t ) | 0 u ( t ) u m a x , 0 t T f .

5.3. Necessary Optimality Conditions

In the following, we introduce the Hamiltonian function to deduce the necessary optimality conditions for the control problem (38). The Hamiltonian function is defined as follows: H ( t , z , u , ψ j ) = a 1 E ( t ) + a 2 I ( t ) + 1 2 a 3 u 1 ( t ) 2 + 1 2 a 4 u 2 ( t ) 2 + 1 2 a 5 u 3 ( t ) 2 + j = 1 6 ψ j g j ( t , z , u ) , where the model variables are represented by z = ( S , E , I , Q , R , C ) , the adjoint variables are specified by ψ j , j = 1 , , 5 , and g j ( t , z , u ) , j = 1 , , 5 represent right parts of the state Equation (36). The Hamiltonian in the expanded form is given as follows:
H ( t , z , u , ψ i ) = a 1 E ( t ) + a 2 I ( t ) + 1 2 a 3 u 1 ( t ) 2 + 1 2 a 4 u 2 ( t ) 2 + 1 2 a 5 u 3 ( t ) 2 + ψ 1 Π ( β 1 I + β 2 C ) S d 1 S u 1 S + ψ 2 ( β 1 I + β 2 C ) S ( d 1 + α 1 + u 2 ) E + ψ 3 ( α 1 E ( d 1 + u 3 + γ 1 + μ 1 ) I ) + ψ 4 ( u 2 E + u 3 I ( d 1 + γ 2 + μ 2 ) Q ) + ψ 5 ( γ 1 I + γ 2 Q d 1 R + u 1 S ) + ψ 6 r 1 C K C + μ 1 I + μ 2 Q d 2 C .
Theorem 10.
Let S ¯ , E ¯ , I ¯ , Q ¯ , R ¯ , C ¯ be optimal solutions of model (36) associated with optimal controls u 1 * , u 2 * , u 3 * for control problem (38) that minimizes J ( E , I , u 1 , u 2 , u 3 ) over U. Then, an adjoint system consisting of the following equations exists:
d ψ 1 d t = H S , d ψ 2 d t = H E , d ψ 3 d t = H I , d ψ 4 d t = H Q , d ψ 5 d t = H R , d ψ 6 d t = H C ,
along with the terminal conditions:
ψ i ( T f ) = 0 , i = 1 , , 6 .
and we obtain the control set { u 1 * , u 2 * , u 3 * } characterized by
u 1 * ( t ) = min u m a x , max ψ 1 ( t ) ψ 5 ( t ) a 3 S ( t ) , 0 , u 2 * ( t ) = min u m a x , max ψ 2 ( t ) ψ 4 ( t ) a 4 E ( t ) , 0 , u 3 * ( t ) = min u m a x , max ψ 3 ( t ) ψ 4 ( t ) a 5 I ( t ) , 0 .
The Hamiltonian (39) and Equation (40) together lead us to the following system of linear adjoint differential equations.
d ψ 1 d t = β 1 I + β 2 C ψ 1 ψ 2 + d 1 ψ 1 + ( ψ 1 ψ 5 ) u 1 , d ψ 2 d t = a 1 + ( d 1 + α 1 + u 2 ) ψ 2 α 1 ψ 3 u 2 ψ 4 , d ψ 3 d t = a 2 + β 1 S ( ψ 1 ψ 2 ) + ( d 1 + u 3 + γ 1 + μ 1 ) ψ 3 u 3 ψ 4 γ 1 ψ 5 μ 1 ψ 6 , d ψ 4 d t = ( d 1 + γ 2 + μ 2 ) ψ 4 γ 2 ψ 5 μ 2 ψ 6 , d ψ 5 d t = d 1 ψ 5 , d ψ 6 d t = β 2 ( ψ 1 ψ 2 ) S + r 2 C K 1 ψ 6 + d 2 ψ 6 ,
supported with terminal conditions:
ψ j ( T f ) = 0 , j = 1 , , 6 .
Equations for the controls u 1 ( t ) , u 2 ( t ) , and u 3 ( t ) are obtained by applying the first condition of Pontryagin’s principle, i.e.,
H u 1 = 0 u 1 ( t ) = ψ 1 ( t ) ψ 5 ( t ) a 3 S , H u 2 = 0 u 2 ( t ) = ψ 2 ( t ) ψ 4 ( t ) a 4 E ( t ) , H u 3 = 0 u 3 ( t ) = ψ 3 ( t ) ψ 4 ( t ) a 5 I ( t ) .
Thus, the optimal control characterization for u 1 * ( t ) , u 2 * ( t ) and u 3 * ( t ) with bounds is given as:
u 1 * ( t ) = min u m a x , max ψ 1 ( t ) ψ 5 ( t ) a 3 S ( t ) , 0 , u 2 * ( t ) = min u m a x , max ψ 2 ( t ) ψ 4 ( t ) a 4 E ( t ) , 0 , u 3 * ( t ) = min u m a x , max ψ 3 ( t ) ψ 4 ( t ) a 5 I ( t ) , 0 .
The condition
d z j d t = H ψ j
gives us the state equations of model (36).
Equations (41)–(43) constitute the required optimality conditions for optimal control problem (38). In the subsequent subsection, we outline the algorithm designed to address and solve these optimality conditions for obtaining the optimal solution.

5.4. Solution Algorithm

We determine minimizer u * ( t ) for the control problem (38) by executing the steps outlined in the following Algorithm 1. The necessary optimality conditions are approximated using the RK4 method implemented through MATLAB code (MATLAB R2023b, MathWorks Inc., Natick, MA, USA).
Algorithm 1 Steps to search for minimizer of the control problem (38)
  • Set l = 0 and choose u l = ( ( u 1 ) l , ( u 2 ) l , ( u 3 ) l ) T U .
  • Solve the state and adjoint systems (36) and (41) using the control u l .
  • Approximate u = ( u 1 , u 2 , u 3 ) T using characterizations (42).
  • Update the control u l using u l = ( u + u l ) / 2 .
  • If | | Θ l Θ l 1 | | | | Θ l | | < t o l , for l > 0 , then EXIT the iterative process; otherwise l l + 1 and move back to step 2.
Here, Θ represents each of the model states z j , j = 1 , , 6 , adjoint variables ψ j , j = 1 , , 5 , and the control variable u = ( u 1 , u 2 , u 3 ) T .

6. Numerical Simulations and Discussions

Here, we present and discuss the results obtained by solving the necessary optimality conditions by following the steps described in the aforementioned algorithm. For numerical simulation of state and adjoint equations, we subdivide the time domain [ 0 , T f ] into n intervals, each of size h = T f / n , and discretize the equations at the points t i = i h , i = 0 , 1 , , n using the RK4 method. The integral for the cost functional (37) is approximated by using Simpson’s 1 / 3 rule.
This study aims to determine the best rate of fungicide spray for susceptible trees as well as to find the optimal quarantine rates for exposed and infected trees to minimize the cost functional, thus optimally restricting the spread of Bayoud infection in date palm trees. In the following, we analyze three cases with different combinations of control variables to determine the most logical solutions for the control problem (38).
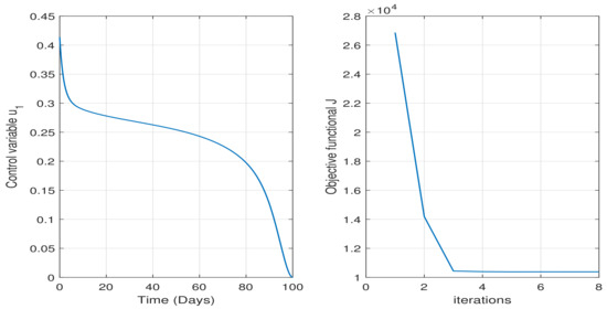
Case 1: Firstly, we want to observe the effect of fungicide spray on susceptible trees for disease control. For this, we consider a 4 = 0 , a 5 = 0 and take quarantine rates u 2 , u 3 as constants initialized to q 1 and q 2 , respectively. However, the rate of fungicide spray, u 1 ( t ) , is considered to be the only time-dependent control. Under these considerations, the optimal solutions for problem (38) are shown in Figure 6 and Figure 7.
Figure 6. Optimal control variables and the corresponding cost functional.
Figure 7. State variables before and after optimization.
Figure 6 shows a plot of control variable u 1 ( t ) representing an optimal amount of fungicide spray to susceptible trees that minimizes the cost functional (37). The cost functional reaches its minimum in eight iterations, as shown in Figure 6. The curves for the state variables before and after optimization are shown in Figure 7. A significant decrease in exposed and infected trees is observed in this case. We also observe a decrease in the susceptible trees that rises gradually. However, the recovered trees rise after optimization, i.e., after application of an optimal amount of fungicide spray to susceptible trees. Additionally, we also see a decline in the vector population with this strategy. The decline in vector population C ( t ) is also helpful for restricting the spread of disease. These observations support our strategy to control the disease.
Case 2: In this case, our focus is to quarantine the optimal number of exposed and infected trees to minimize the infection. To implement this strategy, we take a 3 = 0 and consider the rate of fungicide spray, u 1 , as a constant initialized to the value 0.03. However, the other control variables are considered time-dependent functions. Figure 8 and Figure 9 display the best solutions to problem (38) under these circumstances.
Figure 8. Optimal control variables and the corresponding cost functional.
Figure 9. State variables before and after optimization.
Figure 8 shows the curves for optimal quarantine rates u 2 ( t ) and u 3 ( t ) along with the associated cost functional. As shown in the figure, the objective has been achieved in nine iterations. The associated curves for state variables are presented in Figure 9. We notice a substantial decrease in the exposed and infected trees after optimization. This decrease is better than the decrease achieved in Case 1. In addition, we observed a rise in the susceptible, quarantined, and recovered trees. The rise in the recovered trees is negligibly small. The vector population C ( t ) is also in decline after optimization. The results for this case suggest quarantining more exposed trees as compared to infected trees.
Case 3: Lastly, we implement all three controls u 1 ( t ) , u 2 ( t ) , u 3 ( t ) together to see their impact on disease control. The optimal solutions to problem (38) with this consideration are illustrated through Figure 10 and Figure 11. Figure 10 displays the curves for optimal control variables and the corresponding cost functional (37). In this case, the objective of minimizing the cost functional is achieved in 35 iterations. Figure 11 displays the optimal curves of the state variables. A remarkable reduction in the exposed and infected trees is observed with this strategy. The reduction in infection in this case is higher than the reduction in the previous two cases. The optimal curve for quarantined trees increases in the beginning and afterward does not change with time. However, the reduction in the vector population is almost similar to the reduction attained for Case 1.
Figure 10. Optimal control variables and the corresponding cost functional.
Figure 11. State variables before and after optimization.
After analyzing the three aforementioned strategies, it is evident that the strategy presented in Case 3 is the most successful and cost-effective for reducing infections in date palm trees. However, it is necessary to note that this approach is more expensive in terms of computational costs. Although this approach performs better for the problem at hand, prospective stakeholders should carefully evaluate the associated computational and financial costs before choosing this strategy.

7. Conclusions

In this research work, we have developed a new Bayoud disease model to study the dynamical behavior of the disease and to minimize the disease infection in trees. We have used this model to explore significant features of Bayoud disease for disease control. We have determined the equilibrium points in the endemic and disease-free states and have derived an expression for the threshold parameter R 0 that evaluates the disease’s dynamic behavior. It is shown that both equilibrium points have global and local stability. Global stability at the endemic point has also been verified graphically. Additionally, we have conducted a sensitivity analysis to find which model parameters have a significant impact on reproduction number R 0 . The analysis revealed that the most sensitive parameter to R 0 is the contact rate of infected trees with susceptible trees through roots, i.e., β 1 . This suggests that the disease can be effectively controlled if precautions are taken to keep susceptible trees isolated from infected trees. Therefore, the best course of action for controlling the disease may be to quarantine the infected trees.
To determine the best possible quarantining rates of infected trees and to determine an optimal amount of fungicide spray for susceptible trees, we extended the proposed Bayoud disease model to include time-dependent controls representing these parameters. Next, we formulated an optimal control problem to reduce the number of exposed and infected trees. We derived the optimality conditions to simulate the results of the control problem numerically. In this research, we have explored three different cases to determine the best approach to restrict the spread of Bayoud disease in date palm trees.
In the first case, we solely focused on fungicide spray for susceptible trees. We noticed a significant decrease in exposed and infected trees, demonstrating the efficacy of this strategy for minimizing the disease’s impact on date palm trees. However, the fungus would eventually become immune to the fungicides if it was used consistently at the same dosage. In the second case, we emphasized quarantining exposed and infected trees and obtained better disease control results than Case 1. However, the findings of Case 2 require the quarantining of more exposed trees compared to infected ones. Lastly, we incorporated all three controls together and studied their combined impact on disease control. The findings of this approach turned out to be the most successful and cost-effective for minimizing infections. However, the computational costs associated with this approach are higher than for the first two approaches. In conclusion, the research provides a valuable perspective on disease control approaches for Bayoud infection in date palm trees.

Author Contributions

Conceptualization, A.I.K.B. and M.A.N.; methodology, A.A.A. and M.A.N.; software, A.A.A. and A.I.K.B.; formal analysis, A.I.K.B. and M.A.N.; investigation, A.A.A. and A.I.K.B.; resources, A.A.A. and A.I.K.B.; writing—original draft, A.A.A.; writing—review & editing, A.I.K.B. and M.A.N.; visualization, A.I.K.B.; supervision, A.I.K.B.; project administration, M.A.N.; funding acquisition, A.A.A. All authors have read and agreed to the published version of the manuscript.

Funding

This work was supported by the Deanship of Scientific Research, Vice Presidency for Graduate Studies and Scientific Research, King Faisal University, Saudi Arabia [Grant No. GRANT6006].

Data Availability Statement

All relevant data are within the manuscript.

Conflicts of Interest

The authors state no conflicts of interest.

References

  1. Gordon, W. Pathogenic strains of Fusarium oxysporum. Can. J. Bot. 1965, 43, 1309–1318. [Google Scholar] [CrossRef]
  2. Boulahouat, S.; Cherif-Silini, H.; Silini, A.; Chenari Bouket, A.; Luptakova, L.; Saadaoui, N.; Alenezi, F.N.; Belbahri, L. Critical Evaluation of Biocontrol Ability of Bayoud Infected Date Palm Phyllospheric Bacillus spp. Suggests That In Vitro Selection Does Not Guarantee Success in Planta. Agronomy 2022, 12, 2403. [Google Scholar] [CrossRef]
  3. Ahmed, Y.; Hussien, A.; El-badry, N.; Soliman, M.S. Validation of a Diagnostic Protocol for the Detection of Fusarium oxysporum f.sp. albedinis, the Causal Agent of Bayoud Disease of Date Palm. Egypt. J. Phytopathol. 2019, 47, 297–312. [Google Scholar] [CrossRef]
  4. Chao, C.T.; Krueger, R.R. The date palm (Phoenix dactylifera L.): Overview of biology, uses, and cultivation. HortScience 2007, 42, 1077–1082. [Google Scholar] [CrossRef]
  5. Li, J.; Fokkens, L.; van Dam, P.; Rep, M. Related mobile pathogenicity chromosomes in Fusarium oxysporum determine host range on cucurbits. Mol. Plant Pathol. 2020, 21, 761–776. [Google Scholar] [CrossRef]
  6. Di Pietro, A.; Madrid, M.P.; Caracuel, Z.; Delgado-Jarana, J.; Roncero, M.I.G. Fusarium oxysporum: Exploring the molecular arsenal of a vascular wilt fungus: The molecular arsenal of F. oxysporum. Mol. Plant Pathol. 2003, 4, 315–325. [Google Scholar] [CrossRef]
  7. Bubici, G.; Kaushal, M.; Prigigallo, M.I.; Gomez-Lama Caban, C.; Mercado-Blanco, J. Biological Control Agents Against Fusarium Wilt of Banana. Front. Microbiol. 2019, 10, 616. [Google Scholar] [CrossRef]
  8. Cannesan, M.A.; Lecomte, C.; Edel-Hermann, V.; Langlois, A.; Alabouvette, C.; Robert, F.; Steinberg, C. Outil de detection de Fusarium oxysporum f. sp. cyclaminis et biocontrole de la Fusariose du cyclamen. Innov. Agronom. 2018, 63, 373–383. [Google Scholar] [CrossRef]
  9. Benzohra, I.E.; Megateli, M.; Berdja, R. Bayoud disease of date palm in Algeria: History, epidemiology and integrated disease management. Afr. J. Biotechnol. 2015, 14, 542–550. [Google Scholar] [CrossRef]
  10. Fernández, D.S.; Lourd, M.; Ouinten, M.; Geiger, J.P. Le Bayoud du palmier dattier: Une maladie qui menace la phoeniciculture. Biology 1995. Available online: https://api.semanticscholar.org/CorpusID:86272570 (accessed on 15 April 2024).
  11. Kaddouri, Y.; Abrigach, F.; Ouahhoud, S.; Benabbes, R.; El Kodadi, M.; Alsalme, A.; Al-Zaqri, N.; Warad, I.; Touzani, R. Mono-Alkylated Ligands Based on Pyrazole and Triazole Derivatives Tested against Fusarium oxysporum f.sp. albedinis: Synthesis, Characterization, DFT, and Phytase Binding Site Identification Using Blind Docking/Virtual Screening for Potent Fophy Inhibitors. Front. Chem. 2020, 8, 559262. [Google Scholar] [CrossRef]
  12. De Lamo, F.J.; Takken, F.L. Biocontrol by Fusarium oxysporum using endophyte-mediated resistance. Front. Plant Sci. 2020, 11, 37. [Google Scholar] [CrossRef]
  13. Khan, N.; Martínez-Hidalgo, P.; Ice, T.A.; Maymon, M.; Humm, E.A.; Nejat, N.; Sanders, E.R.; Kaplan, D.; Hirsch, A.M. Antifungal activity of Bacillus species against Fusarium and analysis of the potential mechanisms used in biocontrol. Front. Microbiol. 2018, 9, 2363. [Google Scholar] [CrossRef]
  14. Abraha, T.; Al Basir, F.; Obsu, L.L.; Torres, D.F. Pest control using farming awareness: Impact of time delays and optimal use of biopesticides. Chaos Solitons Fractals 2021, 146, 110869. [Google Scholar] [CrossRef]
  15. Gao, D.; Ruan, S. An SIS patch model with variable transmission coefficients. Math. Biosci. 2011, 232, 110–115. [Google Scholar] [CrossRef]
  16. Cui, J.A.; Tao, X.; Zhu, H. An SIS infection model incorporating media coverage. Rocky Mt. J. Math. 2008, 38, 1323–1334. [Google Scholar] [CrossRef]
  17. Mbasa, W.V.; Nene, W.A.; Kapinga, F.A.; Lilai, S.A.; Tibuhwa, D.D. Characterization and chemical management of Cashew Fusarium Wilt Disease caused by Fusarium oxysporum in Tanzania. Crop Protect. 2020, 139, 105379. [Google Scholar] [CrossRef]
  18. Anggriani, N.; Putri, L.N.; Supriatna, A.K. Stability analysis and optimal control of plant fungal epidemic: An explicit model with curative factor. AIP Conf. Proc. 2015, 1651, 40. [Google Scholar] [CrossRef]
  19. Yang, X.; Wang, F.; Meng, L.; Zhang, W.; Fan, L.; Geissen, V.; Ritsema, C.J. Farmer and retailer knowledge and awareness of the risks from pesticide use: A case study in the Wei River catchment, China. Sci. Total Environ. 2014, 497–498, 172–179. [Google Scholar] [CrossRef] [PubMed]
  20. Lenhart, S.; Workman, J.T. Optimal Control Applied to Biological Models; Chapman and Hall/CRC: Boca Raton, FL, USA, 2007. [Google Scholar]
  21. Hanif, A.; Butt, A.I.K.; Ismaeel, T. Fractional optimal control analysis of COVID-19 and dengue fever co-infection model with Atangana-Baleanu derivative. AIMS Math. 2024, 9, 1571–5203. [Google Scholar] [CrossRef]
  22. Ahmad, W.; Butt, A.I.K.; Akhtar, N.; Rafiq, M.; Gohar, M.; Idrees, Z.; Ahmad, N. Developing computationally efficient optimal control strategies to eradicate Rubella disease. Phys. Scr. 2024, 99, 035202. [Google Scholar] [CrossRef]
  23. Butt, A.I.K.; Aftab, H.; Imran, M.; Ismaeel, T.; Arab, M.; Gohar, M.; Afzal, M. Dynamical study of lumpy skin disease model with optimal control analysis through pharmaceutical and non-pharmaceutical controls. Eur. Phys. J. Plus 2023, 138, 1048. [Google Scholar] [CrossRef]
  24. Butt, A.I.K. Atangana-Baleanu Fractional Dynamics of Predictive Whooping Cough Model with Optimal Control Analysis. Symmetry 2023, 15, 1773. [Google Scholar] [CrossRef]
  25. Khan, M.A.; Khan, R.; Khan, Y.; Islam, S. A mathematical analysis of Pine Wilt disease with variable population size and optimal control strategies. Chaos Solitons Fractals 2018, 108, 205–217. [Google Scholar] [CrossRef]
  26. Dong, R.; Sui, H.; Ding, Y. Mathematical Modeling and Stability Analysis of the Delayed Pine Wilt Disease Model Related to Prevention and Control. Mathematics 2023, 11, 3705. [Google Scholar] [CrossRef]
  27. Abraha, T.; Basir, F.A.; Obsu, L.L.; Torres, D.F. Farming awareness based optimum interventions for crop pest control. Math. Biosci. Eng. 2021, 18, 5364–5391. [Google Scholar] [CrossRef]
  28. Chowdhury, J.; Al Basir, F.; Takeuchi, Y.; Ghosh, M.; Roy, P.K. A mathematical model for pest management in Jatropha curcas with integrated pesticides—An optimal control approach. Ecol. Complex. 2019, 37, 24–31. [Google Scholar] [CrossRef]
  29. Silva, C.J.; Torres, D.F.M.; Venturino, E. Optimal spraying in biological control of pests. Math. Model. Nat. Phenom. 2017, 12, 51–64. [Google Scholar] [CrossRef][Green Version]
  30. Burden, R.L.; Faires, J.D.; Burden, A.M. Numerical Analysis, 10th ed.; Cengage Learning, Inc.: Boston, MA, USA, 2014. [Google Scholar]
  31. Birkhoff, G.; Rota, G. Ordinary Differential Equations, 4th ed.; JohnWiley & Sons: New York, NY, USA, 1989; Volume 399. [Google Scholar]
  32. Castillo-Chavez, C.; Feng, Z.; Huanz, W.; Driessche, P.V.D.; Kirschner, D.E. On the computation of R0 and its role in global stability. In Mathematical Approaches for Emerging and Reemerging Infectious Diseases: An introduction; Springer: Berlin/Heidelberg, Germany, 2002. [Google Scholar]
  33. Kumara, R.P.; Santrac, P.K.; Mahapatraa, G.S. Global stability and analysing the sensitivity of parameters of a multiple-susceptible population model of SARS-CoV-2 emphasising vaccination drive Math. Comput. Simul. 2023, 203, 741–766. [Google Scholar] [CrossRef]
Disclaimer/Publisher’s Note: The statements, opinions and data contained in all publications are solely those of the individual author(s) and contributor(s) and not of MDPI and/or the editor(s). MDPI and/or the editor(s) disclaim responsibility for any injury to people or property resulting from any ideas, methods, instructions or products referred to in the content.

Article Metrics

Citations

Article Access Statistics

Multiple requests from the same IP address are counted as one view.