Reliable Genetic Correlation Estimation via Multiple Sample Splitting and Smoothing
Abstract
1. Introduction
2. Model
2.1. Genetic Correlation
2.2. Plug-In Lasso Type Estimation
3. Method
3.1. Estimating via Multiple Sample Splitting and Aggregation
| Algorithm 1 B.CORE Algorithm |
|
3.2. A 95% Reliable Interval
3.3. Extension with Traits on Different Samples
4. Numerical Studies
4.1. Simulation Studies
Experimental Designs
- (a).
- y and z are polygenic and and have 1000 non-zero components.
- (b).
- y and z are sparse and and have 50 non-zero components.
- (c).
- y is polygenic and has 1000 non-zero components, while z is sparse and has 50 non-zero components.
- (a).
- y and z are polygenic and and have 1000 non-zero components.
- (b).
- y and z are sparse and and have 50 non-zero components.
- (c).
- y is polygenic and has 1000 non-zero components, while z is sparse and has 50 non-zero components.
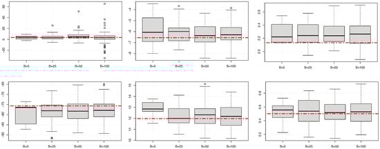
4.2. Simulation Results
5. Real Data Application
6. Conclusions
Funding
Data Availability Statement
Acknowledgments
Conflicts of Interest
References
- Giambartolomei, C.; Vukcevic, D.; Schadt, E.E.; Franke, L.; Hingorani, A.D.; Wallace, C.; Plagnol, V. Bayesian test for colocalisation between pairs of genetic association studies using summary statistics. PLoS Genet. 2014, 10, e1004383. [Google Scholar] [CrossRef] [PubMed]
- Pickrell, J.K.; Berisa, T.; Liu, J.Z.; Ségurel, L.; Tung, J.Y.; Hinds, D.A. Detection and interpretation of shared genetic influences on 42 human traits. Nat. Genet. 2016, 48, 709. [Google Scholar] [CrossRef]
- Mancuso, N.; Shi, H.; Goddard, P.; Kichaev, G.; Gusev, A.; Pasaniuc, B. Integrating gene expression with summary association statistics to identify genes associated with 30 complex traits. Am. J. Hum. Genet. 2017, 100, 473–487. [Google Scholar] [CrossRef] [PubMed]
- Bulik-Sullivan, B.; Finucane, H.K.; Anttila, V.; Gusev, A.; Day, F.R.; Loh, P.R.; Duncan, L.; Perry, J.R.; Patterson, N.; Robinson, E.B.; et al. An atlas of genetic correlations across human diseases and traits. Nat. Genet. 2015, 47, 1236. [Google Scholar] [CrossRef] [PubMed]
- Furlotte, N.A.; Eskin, E. Efficient multiple-trait association and estimation of genetic correlation using the matrix-variate linear mixed model. Genetics 2015, 200, 59–68. [Google Scholar] [CrossRef]
- Shi, H.; Mancuso, N.; Spendlove, S.; Pasaniuc, B. Local genetic correlation gives insights into the shared genetic architecture of complex traits. Am. J. Hum. Genet. 2017, 101, 737–751. [Google Scholar] [CrossRef]
- Lu, Q.; Li, B.; Ou, D.; Erlendsdottir, M.; Powles, R.L.; Jiang, T.; Hu, Y.; Chang, D.; Jin, C.; Dai, W.; et al. A powerful approach to estimating annotation-stratified genetic covariance via GWAS summary statistics. Am. J. Hum. Genet. 2017, 101, 939–964. [Google Scholar] [CrossRef]
- Guo, Z.; Wang, W.; Cai, T.T.; Li, H. Optimal estimation of genetic relatedness in high-dimensional linear models. J. Am. Stat. Assoc. 2019, 114, 358–369. [Google Scholar] [CrossRef]
- Davey Smith, G.; Ebrahim, S. ‘Mendelian randomization’: Can genetic epidemiology contribute to understanding environmental determinants of disease? Int. J. Epidemiol. 2003, 32, 1–22. [Google Scholar] [CrossRef]
- Davey Smith, G.; Hemani, G. Mendelian randomization: Genetic anchors for causal inference in epidemiological studies. Hum. Mol. Genet. 2014, 23, R89–R98. [Google Scholar] [CrossRef]
- Purcell, S.M.; Wray, N.R.; Stone, J.L.; Visscher, P.M.; O’donovan, M.C.; Sullivan, P.F.; Sklar, P. Common polygenic variation contributes to risk of schizophrenia and bipolar disorder. Nature 2009, 460, 748–752. [Google Scholar] [PubMed]
- Maier, R.; Moser, G.; Chen, G.B.; Ripke, S.; Absher, D.; Agartz, I.; Akil, H.; Amin, F.; Andreassen, O.A.; Anjorin, A.; et al. Joint analysis of psychiatric disorders increases accuracy of risk prediction for schizophrenia, bipolar disorder, and major depressive disorder. Am. J. Hum. Genet. 2015, 96, 283–294. [Google Scholar] [CrossRef] [PubMed]
- Lynch, M.; Walsh, B. Genetics and Analysis of Quantitative Traits; Sinauer: Sunderland, MA, USA, 1998; Volume 1. [Google Scholar]
- Bürger, R. The Mathematical Theory of Selection, Recombination, and Mutation; John Wiley & Sons: Hoboken, NJ, USA, 2000. [Google Scholar]
- Van Rheenen, W.; Peyrot, W.J.; Schork, A.J.; Lee, S.H.; Wray, N.R. Genetic correlations of polygenic disease traits: From theory to practice. Nat. Rev. Genet. 2019, 20, 567–581. [Google Scholar] [CrossRef]
- Solovieff, N.; Cotsapas, C.; Lee, P.H.; Purcell, S.M.; Smoller, J.W. Pleiotropy in complex traits: Challenges and strategies. Nat. Rev. Genet. 2013, 14, 483–495. [Google Scholar] [CrossRef]
- Falconer, D.S. Introduction to Quantitative Genetics; Oliver and Boyd: Edinburgh, UK; London, UK, 1960. [Google Scholar]
- Lee, J.J.; McGue, M.; Iacono, W.G.; Chow, C.C. The accuracy of LD Score regression as an estimator of confounding and genetic correlations in genome-wide association studies. Genet. Epidemiol. 2018, 42, 783–795. [Google Scholar] [CrossRef]
- Gorfine, M.; Berndt, S.I.; Chang-Claude, J.; Hoffmeister, M.; Le Marchand, L.; Potter, J.; Slattery, M.L.; Keret, N.; Peters, U.; Hsu, L. Heritability Estimation using a Regularized Regression Approach (HERRA): Applicable to continuous, dichotomous or age-at-onset outcome. PLoS ONE 2017, 12, e0181269. [Google Scholar] [CrossRef]
- Janson, L.; Barber, R.F.; Candes, E. EigenPrism: Inference for high dimensional signal-to-noise ratios. J. R. Stat. Soc. Ser. B Stat. Methodol. 2017, 79, 1037–1065. [Google Scholar] [CrossRef]
- Golan, D.; Rosset, S. Mixed models for case-control genome-wide association studies: Major challenges and partial solutions. In Handbook of Statistical Methods for Case-Control Studies, 1st ed.; Chapman and Hall/CRC: Boca Raton, FL, USA, 2018; pp. 495–514. [Google Scholar]
- Loh, P.R.; Bhatia, G.; Gusev, A.; Finucane, H.K.; Bulik-Sullivan, B.K.; Pollack, S.J.; de Candia, T.R.; Lee, S.H.; Wray, N.R.; Kendler, K.S.; et al. Contrasting genetic architectures of schizophrenia and other complex diseases using fast variance-components analysis. Nat. Genet. 2015, 47, 1385. [Google Scholar] [CrossRef]
- Lee, S.H.; Yang, J.; Goddard, M.E.; Visscher, P.M.; Wray, N.R. Estimation of pleiotropy between complex diseases using single-nucleotide polymorphism-derived genomic relationships and restricted maximum likelihood. Bioinformatics 2012, 28, 2540–2542. [Google Scholar] [CrossRef] [PubMed]
- Lee, S.H.; Ripke, S.; Neale, B.M.; Faraone, S.V.; Purcell, S.M.; Perlis, R.H.; Mowry, B.J.; Thapar, A.; Goddard, M.E.; Witte, J.S.; et al. Genetic relationship between five psychiatric disorders estimated from genome-wide SNPs. Nat. Genet. 2013, 45, 984. [Google Scholar]
- Golan, D.; Lander, E.S.; Rosset, S. Measuring missing heritability: Inferring the contribution of common variants. Proc. Natl. Acad. Sci. USA 2014, 111, E5272–E5281. [Google Scholar] [CrossRef]
- Speed, D.; Balding, D.J. SumHer better estimates the SNP heritability of complex traits from summary statistics. Nat. Genet. 2019, 51, 277. [Google Scholar] [CrossRef] [PubMed]
- Zhang, Y.; Cheng, Y.; Jiang, W.; Ye, Y.; Lu, Q.; Zhao, H. Comparison of methods for estimating genetic correlation between complex traits using GWAS summary statistics. Briefings Bioinform. 2021, 22, bbaa442. [Google Scholar] [CrossRef] [PubMed]
- Wu, T.T.; Chen, Y.F.; Hastie, T.; Sobel, E.; Lange, K. Genome-wide association analysis by lasso penalized logistic regression. Bioinformatics 2009, 25, 714–721. [Google Scholar] [CrossRef]
- Brzyski, D.; Peterson, C.B.; Sobczyk, P.; Candès, E.J.; Bogdan, M.; Sabatti, C. Controlling the rate of GWAS false discoveries. Genetics 2017, 205, 61–75. [Google Scholar] [CrossRef] [PubMed]
- Lees, J.A.; Mai, T.T.; Galardini, M.; Wheeler, N.E.; Horsfield, S.T.; Parkhill, J.; Corander, J. Improved Prediction of Bacterial Genotype-Phenotype Associations Using Interpretable Pangenome-Spanning Regressions. MBio 2020, 11, e01344-20. [Google Scholar] [CrossRef]
- Dai, C.; Lin, B.; Xing, X.; Liu, J.S. False discovery rate control via data splitting. J. Am. Stat. Assoc. 2022, 1–38. [Google Scholar] [CrossRef]
- Fei, Z.; Zhu, J.; Banerjee, M.; Li, Y. Drawing inferences for high-dimensional linear models: A selection-assisted partial regression and smoothing approach. Biometrics 2019, 75, 551–561. [Google Scholar] [CrossRef]
- Fei, Z.; Li, Y. Estimation and Inference for High Dimensional Generalized Linear Models: A Splitting and Smoothing Approach. J. Mach. Learn. Res. 2021, 22, 2681–2712. [Google Scholar]
- Tian, X. Prediction error after model search. Ann. Stat. 2020, 48, 763–784. [Google Scholar] [CrossRef]
- Tian, X.; Taylor, J. Selective inference with a randomized response. Ann. Stat. 2018, 46, 679–710. [Google Scholar] [CrossRef]
- Fan, J.; Guo, S.; Hao, N. Variance estimation using refitted cross-validation in ultrahigh dimensional regression. J. R. Stat. Soc. Ser. B Stat. Methodol. 2012, 74, 37–65. [Google Scholar] [CrossRef] [PubMed]
- Lee, J.D.; Sun, D.L.; Sun, Y.; Taylor, J.E. Exact post-selection inference, with application to the lasso. Ann. Stat. 2016, 44, 907–927. [Google Scholar] [CrossRef]
- Tibshirani, R.J.; Taylor, J.; Lockhart, R.; Tibshirani, R. Exact post-selection inference for sequential regression procedures. J. Am. Stat. Assoc. 2016, 111, 600–620. [Google Scholar] [CrossRef]
- Freund, Y.; Schapire, R.E. Experiments with a New Boosting Algorithm. In Proceedings of the 13th International Conference on Machine Learning, 1996, ICML’96, Bari, Italy, 3–6 July 1996; pp. 148–156. [Google Scholar]
- Bühlmann, P.; Yu, B. Analyzing bagging. Ann. Stat. 2002, 30, 927–961. [Google Scholar] [CrossRef]
- Meinshausen, N.; Meier, L.; Bühlmann, P. P-values for high-dimensional regression. J. Am. Stat. Assoc. 2009, 104, 1671–1681. [Google Scholar] [CrossRef]
- Renaux, C.; Buzdugan, L.; Kalisch, M.; Bühlmann, P. Hierarchical inference for genome-wide association studies: A view on methodology with software. Comput. Stat. 2020, 35, 1–40. [Google Scholar] [CrossRef]
- Buzdugan, L.; Kalisch, M.; Navarro, A.; Schunk, D.; Fehr, E.; Bühlmann, P. Assessing statistical significance in multivariable genome wide association analysis. Bioinformatics 2016, 32, 1990–2000. [Google Scholar] [CrossRef]
- Mai, T.T.; Turner, P.; Corander, J. Boosting heritability: Estimating the genetic component of phenotypic variation with multiple sample splitting. BMC Bioinform. 2021, 22, 1–16. [Google Scholar] [CrossRef]
- Friedman, J.; Hastie, T.; Tibshirani, R. Regularization Paths for Generalized Linear Models via Coordinate Descent. J. Stat. Softw. 2010, 33, 1–22. [Google Scholar] [CrossRef]
- Li, X.; Wu, D.; Cui, Y.; Liu, B.; Walter, H.; Schumann, G.; Li, C.; Jiang, T. Reliable heritability estimation using sparse regularization in ultrahigh dimensional genome-wide association studies. BMC Bioinform. 2019, 20, 219. [Google Scholar] [CrossRef] [PubMed]
- Fan, J.; Lv, J. Sure independence screening for ultrahigh dimensional feature space. J. R. Stat. Soc. Ser. B Stat. Methodol. 2008, 70, 849–911. [Google Scholar] [CrossRef]
- Lugosi, G.; Mendelson, S. Mean estimation and regression under heavy-tailed distributions: A survey. Found. Comput. Math. 2019, 19, 1145–1190. [Google Scholar] [CrossRef]
- Qian, J.; Tanigawa, Y.; Du, W.; Aguirre, M.; Chang, C.; Tibshirani, R.; Rivas, M.A.; Hastie, T. A fast and scalable framework for large-scale and ultrahigh-dimensional sparse regression with application to the UK Biobank. PLoS Genet. 2020, 16, e1009141. [Google Scholar] [CrossRef]
- Chewapreecha, C.; Marttinen, P.; Croucher, N.J.; Salter, S.J.; Harris, S.R.; Mather, A.E.; Hanage, W.P.; Goldblatt, D.; Nosten, F.H.; Turner, C.; et al. Comprehensive Identification of Single Nucleotide Polymorphisms Associated with Beta-lactam Resistance within Pneumococcal Mosaic Genes. PLoS Genet. 2014, 10, e1004547. [Google Scholar] [CrossRef] [PubMed]
- Lees, J.A.; Vehkala, M.; Välimäki, N.; Harris, S.R.; Chewapreecha, C.; Croucher, N.J.; Marttinen, P.; Davies, M.R.; Steer, A.C.; Tong, S.Y.; et al. Sequence element enrichment analysis to determine the genetic basis of bacterial phenotypes. Nat. Commun. 2016, 7, 12797. [Google Scholar] [CrossRef] [PubMed]








Disclaimer/Publisher’s Note: The statements, opinions and data contained in all publications are solely those of the individual author(s) and contributor(s) and not of MDPI and/or the editor(s). MDPI and/or the editor(s) disclaim responsibility for any injury to people or property resulting from any ideas, methods, instructions or products referred to in the content. |
© 2023 by the author. Licensee MDPI, Basel, Switzerland. This article is an open access article distributed under the terms and conditions of the Creative Commons Attribution (CC BY) license (https://creativecommons.org/licenses/by/4.0/).
Share and Cite
Mai, T.T. Reliable Genetic Correlation Estimation via Multiple Sample Splitting and Smoothing. Mathematics 2023, 11, 2163. https://doi.org/10.3390/math11092163
Mai TT. Reliable Genetic Correlation Estimation via Multiple Sample Splitting and Smoothing. Mathematics. 2023; 11(9):2163. https://doi.org/10.3390/math11092163
Chicago/Turabian StyleMai, The Tien. 2023. "Reliable Genetic Correlation Estimation via Multiple Sample Splitting and Smoothing" Mathematics 11, no. 9: 2163. https://doi.org/10.3390/math11092163
APA StyleMai, T. T. (2023). Reliable Genetic Correlation Estimation via Multiple Sample Splitting and Smoothing. Mathematics, 11(9), 2163. https://doi.org/10.3390/math11092163

