Do Innovation Metrics Reflect Sustainable Policy Making in Europe? A Comparative Study Case on the Carpathian and Alpine Mountain Regions
Abstract
1. Introduction
2. Literature Review
3. Materials and Methods
- Categorical variables such as (in parentheses is mentioned the codification number received by each category for the analysis by the statistical software SPSS 23.0 licensed):
- ○
- Country: Czech Republic (code 1), Hungary (code 2), Poland (code 3), Romania (code 4), Slovakia (code 5), Serbia (code 6), Italy (code 7), Austria (code 8), Slovenia (code 9), Switzerland (code 10), Germany (code 11), and France (code 12) (the mountain regions from each country included in the research are presented in Table 1 according to the NUTS2 codes and names);
- ○
- The mountain regions: the Alps (1), the Carpathians (2);
- ○
- Regions NUTS 2 with EUROSTAT codes and names;
- ○
- Quality of the country to be (or not) member/of the European Union (EU), such as code 1 for EU members and code 2 for non-EU members;
- ○
- Performance group: innovation leader (code 5), strong innovator (code 4), moderate innovator (code 3), modest innovator (code 2), and emerging innovator (code 1);
- ○
- Mountain area: partly/total (no codes, string variables).
- Continuous variables as selected from the Eurostat database as normalized scores by indicator for 2019 and 2021 are represented by the majority common innovation indicators from the Regional Innovation Scoreboard [21] for 2019 and 2021 as follows:
- ○
- Population with tertiary education
- ○
- Lifelong learning
- ○
- Scientific co-publications
- ○
- Most-cited publications
- ○
- Research and Development expenditure public sector
- ○
- Research and Development expenditure business sector
- ○
- Non-Research and Development innovation expenditures
- ○
- Product or process innovators
- ○
- Marketing or organizational innovators (2019)/Business process innovators (2021)
- ○
- Innovative SMEs collaborating with others
- ○
- Public–private co-publications
- ○
- Patent Cooperation Treaty (PCT) patent applications
- ○
- Trademark applications
- ○
- Design applications
- ○
- Employment MHT manufacturing and knowledge-intensive services
- ○
- Sales of new-to-market and new-to-firm innovations.
- ntij are the theoretical values (except those values that will be satisfied in the independent condition),
- p = number of lines, and
- q = number of columns.
- Comparing with CHAID (Chi-Square Automatic Interaction Detector) are the normalized importance of the independent variables;
- Allows the prediction of individuals to distinct categories based on their measures according to one or more predictor variables;
- Allows utilization of both categorial and continuous type of data by using different algorithms (CHAID, CRT); groups/classifies the individuals in homogenous groups by independent variables.
4. Results
- For the Alps, an important polarization can be observed for Switzerland that differs from the rest of the Alpine countries regarding the majority of the best predictors except for scientific co-publications. For Germany, the indicator “employment MHT manufacturing and knowledge-intensive services” differs statistically significantly from Italy, Austria, and France;
- For the Carpathians, the Czech Republic differs from all the rest of the countries for different indicators (from Romania for all the best predictors except employment MHT manufacturing and knowledge-intensive services but from Serbia for this indicator). Romania is another country that differs from Hungary for PCT patent application, from Czech republic for R&D expenditure public sector, from Hungary and Poland for population with tertiary education, and from the Czech Republic, Hungary, and Poland for R&D expenditure business sector.
5. Discussion
- There are both Carpathians and Alps regions in the performance group “moderate,” but there is obviously a polarization of these regions, respectively, the Alps into strong and leader innovation of performance groups and the Carpathians regions in the emerging and modest performance groups; there are statistically significant differences between the mountain regions referring to the performance group based on the results of the chi-square bivariate test;
- There are no statistically significant differences between two mountain regions for some innovation indicators such as (based on the Student’s t test) population with tertiary education, scientific co-publications, R&D expenditure business sector, non-R&D innovation expenditure, marketing or organizational innovators, design applications, and innovation index (base year 2014);
- There are common best predictors for the Alps and the Carpathians as follows (based on the regression analysis): R&D expenditures public sector, the PCT patent applications (with an opposite sign in the regression equations with negative contribution for the Alps and a positive one for the Carpathians), the Employment MHT manufacturing and knowledge-intensive services;
- The best predictors for performance groups from the Alps are (based on the regression analysis): (1) R&D expenditure public sector, (2) Sales of new-to-market and new-to-firm innovations, (3) Non-R&D innovation expenditures, (4) PCT patent applications, (5) Scientific co-publications, (6) Most-cited publications, (7) Employment MHT manufacturing and knowledge-intensive services;
- The best predictors for performance groups from the Carpathians are (based on the regression analysis): (1) PCT patent applications, (2) R&D expenditure public sector, (3) R&D expenditure business sector, (4) Population with tertiary education, (5) Employment MHT manufacturing and knowledge-intensive services;
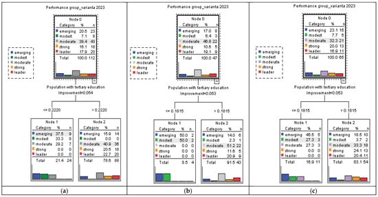
- The innovator indicator that separates better the mountain regions inside each performance group is the population with tertiary education, based on the decision tree with the CRT growing method; none of the final nodes from the decision tree are “pure” (all the individuals belong to the same group), which means the resulting groups are still heterogeneous, and this reveals that there are more causal/association relationships or other influences/good predictors that dichotomize these mountains areas;
- There are also some differences between the Alps and the Carpathians, based on the normalized importance of independent variables from the decision tree analysis, respectively: for the Alps, the population with tertiary education, R&D expenditure public sector, PCT patent applications, and business process innovators are in the first place of importance, whereas for the Carpathians, PCT patent applications, non-R&D innovation expenditure, and R&D expenditure business sector are the variables that grouped the Carpathians regions in performance groups;
- The one-way ANOVA with Bonferroni post hoc multiple comparisons helped to emphasize inside each mountain regions the polarized countries for each best predictor.
- The research hypothesis H1: There are significant differences between performance groups of the Alps and the Carpathians directly linked to policy and public spendings is confirmed accordingly with the chi-square bivariate test and descriptive statistics.
- The research hypothesis H2: There are significant differences among RIS indicators for the Alps and the Carpathians mountains regions is partially confirmed for a part of the innovation indicators except population with tertiary education, scientific co-publications, R&D expenditure business sector, non-R&D innovation expenditure, marketing or organizational innovators, design applications, and innovation index (base year 2014).
- The research hypothesis H3: The Alps and the Carpathians have different predictors for performance group of innovation is partially confirmed due to the multilinear regression results we found out and also the common best and statistically significant predictors for the Alps and the Carpathians, as follows: R&D expenditures public sector the PCT patent applications (with an opposite sign in the regression equations with negative contribution for the Alps and a positive one for the Carpathians), the Employment MHT manufacturing and knowledge-intensive services;
- The research hypothesis H4: There are significant differences inside each mountain area (the Alps, the Carpathians) based on the geographical position of NUTS2 regions (West-East) is confirmed based on our results of the one-way ANOVA with Bonferroni post hoc multiple comparisons and in line with the results from the international literature [22,33,34,37,38,40,41,45].
- the independent Student’s t test for the advantages of comparing the mean values for the continuous variables with normal distribution and the advantage to use this test due to the possibility to be applied under the non-normal distribution circumstances if there are over 30 statistical observations [64];
- The one-way ANOVA with Bonferroni post hoc test multiple comparisons for the possibility to compare the variations between and within groups of mountain regions (Alps/Carpathians) to find what regions and/or countries have the best positive mean difference for each variable from the study;
- The one-way ANOVA with Bonferroni post hoc test multiple comparisons helped to examine both the difference between means of dependent variables under the effect of controlled independent variables and the influence of uncontrolled independent variables [65];
- Comparatively with other explicative methods (regression analysis, for example) ANOVA used as independent variable the categorial variables treated as continuous ones [66] and showed exactly the source of significant differences at the combined groupings based on two or more characteristics (Colibabă, 2000: 6) [67];
- ANOVA used simultaneously metric and non-metric variables [68].
- Show the intensity of the link between variables by the percent of variance of dependent variables explained by all the independent variables introduced in the model, and for our research this aspect is important to highlight those waste management indicators that are dependent on other latent, unquantifiable variables;
- Show the statistical significance of the model by ANOVA test and therefore if there is an important link between variables (p-value of the model);
- Help to quantify the contribution of each independent variable to variance of dependent variable in terms of direction (positive/negative) and quantity (the value of regression coefficient);
- Based on standardized beta coefficients, the regression model helps to hierarchize the importance of each independent variable in the regression model;
- By using the collinearity diagnosis, the researcher has the possibility to eliminate those independent variables perfectly correlated with other independent variables.
6. Conclusions
Author Contributions
Funding
Acknowledgments
Conflicts of Interest
References
- Solow, R.M. A contribution to the theory of economic growt. Q. J. Econ. 1956, 70, 65–94. [Google Scholar] [CrossRef]
- Solow, R.M. Technical Change and the Aggregate Production Function. Rev. Econ. 1957, 39, 312–320. [Google Scholar] [CrossRef]
- Janger, J.; Schubert, T.; Andries, P.; Rammer, C.; Hoskens, M. The EU 2020 Innovation Indicator: A step forward in measuring innovation outputs and outcomes? Res. Policy 2017, 46, 30–42. [Google Scholar] [CrossRef]
- Grupp, F.; Schubert, T. Review and new evidence on composite innovation indicators for evaluating national performance. Res. Policy 2010, 39, 67–78. [Google Scholar] [CrossRef]
- Dziallas, M.; Blind, K. Innovation indicators throughout the innovation process: An extensive literature analysis. Technovation 2019, 80–81, 3–29. [Google Scholar] [CrossRef]
- Coca, A.; Blaga, P. Gaps and Preliminary Perspectives Concerning Innovation Infrastructure in the Carpathian Countries. Acta Amrisiensis Ser. Oeconomica 2020, 3, 21–30. [Google Scholar]
- Cornell University; INSEAD; WIPO. The Global Innovation Index 2020: Who Will Finance Innovation? Cornell University: Ithaca, NY, USA, 2020. [Google Scholar]
- Food and Agriculture Organization of the United Nations (FAO) Concept Paper: International Year of Mountains, Rome. 2020. Available online: http://www.fao.org/iym/en/aboutiym/iym2002.pdf (accessed on 20 October 2022).
- Nordic Centre for Spatial Development. Mountain Areas in Europe: Analysis of Mountain Areas in EU Member States, Acceding and Other European Countries; Nordic Centre for Spatial Development: Perisher Valley, Australia, 2004; pp. 3–4. [Google Scholar]
- The Framework Convention on the Protection and Sustainable Development of the Carpathians (Carpathian Convention). Available online: http://www.carpathianconvention.org/the-convention-17.html (accessed on 20 October 2022).
- United Nations Division for Sustainable Development, United Nations Conference on Environment & Development Agenda 21, Rio de Janerio. 1992, p. 120. Available online: https://sustainabledevelopment.un.org/content/documents/Agenda21.pdf (accessed on 20 October 2022).
- Porter, M.; Sachs, J.; McArthur, J. Executive summary: Competitiveness and stages of economic development. In The Global Competitiveness Report 2001–2002; Porter, M., Sachs, J., Cornelius, P.K., McArthur, J.W., Schwab, K., Eds.; Oxford University Press: New York, NY, USA, 2002; pp. 16–25. [Google Scholar]
- Dzidrov, M.; Ceravolo, L.S.; Simeonov, S. From Efficiencyto Innovation-Driven Economy with Stimulation of Innovation. Int. J. Sci. Eng. Res. 2016, 7, 1144–1147. [Google Scholar]
- Coca, A.; Gabor, M.R. Optional Quality Term ‘Mountain Product’ among Geographical Indications. How do we Stand in the Carpathian Countries. In Proceedings of the International Conference “Risk in Contemporary Economy”, Galati, Romania, 31 March–1 April 2022; pp. 450–460. [Google Scholar]
- Tomislav, K. The concept of sustainable development: From its beginning to the contemporary issues. Zagreb Int. Rev. Econ. Bus. 2018, 21, 67–94. [Google Scholar] [CrossRef]
- Manioudis, M.; Meramveliotakis, G.; Meramveliotakis, G. Broad strokes towards a grand theory in the analysis of sustainable development: A return to the classical political economy. New Political Econ. 2022, 25, 866–878. [Google Scholar] [CrossRef]
- EUROSTAT. Regional Innovation Scoreboard 2019. Available online: https://research-and-innovation.ec.europa.eu/statistics/performance-indicators/european-innovation-scoreboard_en (accessed on 10 October 2022).
- EUROSTAT. Regional Innovation Scoreboard 2021. Available online: https://ec.europa.eu/research-and-innovation/en/statistics/performance-indicators/european-innovation-scoreboard/eis (accessed on 10 October 2022).
- Arundel, A. Innovation Survey Indicators: What impact on Innovation Policy? Sci. Technol. 2007, 2007, 49–64. [Google Scholar]
- Hasink, R. Regional innovation policies compared, hassink, r conf on european cities: Growth and decline. Urban Stud. 1993, 30, 1009–1024. [Google Scholar] [CrossRef]
- Lopes, J.M.; Silveira, P.; Oliveira, J. Analyzing the root of regional innovation performance in the European territory. Int. J. Innov. Sci. 2021, 13, 565–582. [Google Scholar] [CrossRef]
- Radosevic, S. (Mis)match between Demand and Supply for Technology: Innovation, R & D and Growth Issues in Countries of Central and Eastern Europe; University College London: London, UK, 2004; Volume 42, pp. 71–81. [Google Scholar]
- Borras, S. Policy learning and organizational capacities in innovation policies. Sci. Public Policy 2021, 38, 725–734. [Google Scholar] [CrossRef]
- Sandu, S. Convergence of the romanian research, development and innovation within innovation union. Int. Natl. Eur. Values Public Adm. Balk. 2021, 4, 60–67. [Google Scholar]
- Gajewski, M. Policies Supporting Innovation in the European Union in The Context of the Lisbon Strategy and the Europe 2020 Strategy. Comp. Econ. Res.-Cent. East. Eur. 2017, 20, 109–127. [Google Scholar] [CrossRef]
- Gajdosikova, Z.; Marakova, V. Inovations as a factor of sustainable tourism development in mountain destinations. Int. Colloq. Reg. Sci. 2016, 2016, 1055–1063. [Google Scholar]
- Bacoș, I.B.; Gabor, M.R. Consumers’ Preferences of Winter Tourist Packages in Romania: A Quantitative Case Study. Ann. Dunarea De Jos Univ. Galati Fascicle I. Econ. Appl. Inform. 2020, 26, 157–164. [Google Scholar] [CrossRef]
- Bacoș, I.B.; Gabor, M.R. Tourism economy. Mountain tourism: Quantitative analysis of winter destinations in Romania. Economics 2021, 9, 55–70. [Google Scholar] [CrossRef]
- Perlik, M. Impacts of Social Innovation on Spatiality in Mountain–Lowland Relationships—Trajectories of Two Swiss Regional Initiatives in the Context of New Policy Regimes. Sustainability 2021, 13, 3823. [Google Scholar] [CrossRef]
- Liu, Z. The Impact of Government Policy on Macro Dynamic Innovation of the Creative Industries: Studies of the UK’s and China’s Animation Sectors. J. Open Innov. Technol. Mark. Complex. 2021, 7, 168. [Google Scholar] [CrossRef]
- Costa, J.; Matias, J.C. Open Innovation 4.0 as an Enhancer of Sustainable Innovation Ecosystems. Sustainability 2020, 12, 8112. [Google Scholar] [CrossRef]
- Zarębski, P.; Krupin, V.; Zwęglińska-Gałecka, D. Renewable Energy Generation Gaps in Poland: The Role of Regional Innovation Systems and Knowledge Transfer. Energies 2021, 14, 2935. [Google Scholar] [CrossRef]
- Pohulak-Zoledowska, E. Clusters-supporting policies in chosen central and eastern europe countries. Hradecke Ekon. Dny 2009, 12, 163–169. [Google Scholar]
- Suurna, M.; Kattel, R. Europeanization of innovation policy in Central and Eastern Europe. Sci. Public Policy 2010, 37, 646–664. [Google Scholar] [CrossRef]
- Favre-Bonte, V.; Gardet, E.; Thevenard-Puthod, C. The influence of territory on innovation networks characteristics. An application to mountain tourism. Rev. D Econ. Reg. Et Urbaine 2020, 2, 227–260. [Google Scholar]
- Filippini, R.; Marescotti, M.E.; Gaviglio, A. Social Networks as Drivers for Technology Adoption: A Study from a Rural Mountain Area in Italy. Sustainability 2020, 12, 9392. [Google Scholar] [CrossRef]
- Acha, V.; Balazs, K. Transitions in thinking: Changing the mindsets of policy makers about innovation. Technovation 1999, 19, 345–353. [Google Scholar] [CrossRef]
- Szymanska, E. Pro-innovation policy in the countries of central & eastern europe. In Proceedings of the 10th International Scientific Conference on Economic Policy in the European Union Member Countries, Economic Policy in the European Union Member Countries, Vendryně, Czech Republic, 19–21 September 2012; pp. 291–304. [Google Scholar]
- Laznjak, J.; Svarc, J. Policy-making on science in society between Europeanization and core-periphery divide. Innov. Eur. J. Soc. Sci. Res. 2016, 29, 98–112. [Google Scholar] [CrossRef]
- Paliokaite, A. An innovation policy framework for upgrading firm absorptive capacities in the context of catching-up economies. J. Entrep. Manag. Innov. 2019, 15, 103–129. [Google Scholar] [CrossRef]
- Tonurist, P.; Kattel, R. Can Research, Development, and Innovation Policies Cross Borders? The Case of Nordic-Baltic Region. Sci. Public Policy 2017, 44, 328–340. [Google Scholar]
- Roman, M.; Varga, H.; Cvijanovic, V.; Reid, A. Quadruple Helix Models for Sustainable Regional Innovation: Engaging and Facilitating Civil Society Participation. Economies 2020, 8, 48. [Google Scholar] [CrossRef]
- Zhang, Y.H.; Chen, S.L.; Wang, S.Y. Technology Innovation and Environmental Mountains: An Empirical Study in China’s Inland River Regions. J. Costal Res. 2020, 2020, 171–176. [Google Scholar] [CrossRef]
- Huber, R.; Bugmann, H.; Rigling, A. Sustainable Land-use Practices in European Mountain Regions under Global Change: An Integrated Research Approach. Ecol. Soc. 2013, 18, 3. [Google Scholar] [CrossRef]
- Kuscer, K.; Mihalic, T.; Pechlaner, H. Innovation, sustainable tourism and environments in mountain destination development: A comparative analysis of Austria, Slovenia and Switzerland. J. Sustain. Tour. 2017, 25, 489–504. [Google Scholar] [CrossRef]
- Zanon, B. Territorial Innovation in the Alps. Heterodox Reterritorialization Processes in Trentino, Italy. Ital. J. Plan. Pract. 2018, 8, 1–37. [Google Scholar]
- Gajdosikova, Z.; Gajdosik, T.; Marakova, V. Innovation Process in Mountain Destinations: Does Sustainability Matter? The High Tatras Case Study. Model. Innov. Sustain. Technol. Econ. Policy Perspect. 2018, 2018, 159–175. [Google Scholar]
- Gaf-Deac, J.I.; Ciutacu, O.T. Agglomeration Economies in Mountain Areas: Multi-Storeyed Montain Concentration in North-Eastern Romania. In Proceedings of the 4th International Conference on Economic Scientific Research—Theoretical, Empirical and Practical Approaches (ESPERA), Bucharest, Romania, 13–14 November 2014; pp. 413–427. [Google Scholar]
- Hipp, C.; Gallego, J.; Rubalcaba, L. ; Rubalcaba, L. Shaping innovation in European knowledge-intensive business services. Serv. Bus. 2015, 9, 41–55. [Google Scholar] [CrossRef]
- Deserti, A.; Rizzo, F.; Smallman, M. Experimenting with co-design in STI policy making. Policy Des. Pract. 2020, 3, 135–149. [Google Scholar] [CrossRef]
- Heritier, A. Policy-making by subterfuge: Interest accommodation, innovation and substitute democratic legitimation in Europe—Perspectives from distinctive policy areas. J. Public Policy 1997, 4, 171–189. [Google Scholar] [CrossRef]
- Koschatzky, K.; Stahlecker, T. A new Challenge for Regional Policy-Making in Europe? Chances and Risks of the Merger Between Cohesion and Innovation Policy. Eur. Plan. Stud. 2010, 18, 7–25. [Google Scholar] [CrossRef]
- Achen, C.H. Interpreting and Using Regression; Sage Publications: Newbury Park, CA, 1982. [Google Scholar]
- Aguinis, H. Regression Analysis for Categorical Moderators; Guilford Press: New York, NY, USA, 2004. [Google Scholar]
- Allison, P.D. Multiple Regression; Pine Forge Press: Thousand Oaks, CA, USA, 1999. [Google Scholar]
- Gabor, M.R. Analysis and Inference of Marketing Data; C. H. Beck: Bucharest, Romania, 2016. [Google Scholar]
- Petcu, N. Tehnici de Data Mining Rezolvate in SPSPS Clementine; Albastra: Cluj-Napoca, Romania, 2010; p. 81. [Google Scholar]
- Gorunescu, F. Data Mining—Concepte, Modele și Tehnici; Albastra: Cluj Napoca, Romania, 2006; p. 142. [Google Scholar]
- Rakotomalala, R. Les Methodes d’Induction d’Arbres; Laboratoire ERIC: Lyon, France, 2005. [Google Scholar]
- McCormik, K.; Salcedo, J. SPSS Statistics for Data Analysis and Visualization; John Wiley & Sons: Hoboken, NJ, USA, 2017; pp. 355–392. [Google Scholar]
- Fernandez, S.G.; Kubus, R.; Perez-Inigo, J.M. Innovation Ecosystems in the EU: Policy Evolution and Horizon Europe Proposal Case Study (the Actors’ Perspective). Sustainability 2019, 11, 4735. [Google Scholar] [CrossRef]
- De Araújo Costa, I.P.; Moreira, M.A.L.; de Araújo Costa, A.P.; de Souza de Barros Teixeira, L.F.H.; Gomes, C.F.S.; Dos Santos, M. Strategic Study for Managing the Portfolio of IT Courses Offered by a Corporate Training Company: An Approach in the Light of the ELECTRE-MOr Multicriteria Hybrid Method. Int. J. Inf. Technol. Decis. Mak. 2022, 21, 351–379. [Google Scholar] [CrossRef]
- Ley, C.; Martin, R.K.; Pareek, A.; Groll, A.; Seil, R.; Tischer, T. Machine learning and conventional statistics: Making sense of the differences. Knee Surg. Sport Traumatol Arthrosc. 2022, 30, 753–757. [Google Scholar] [CrossRef]
- Giannelloni, J.L.; Vernette, E. Etudes de Marche, 2nd ed.; Vuibert: Paris, France, 2003. [Google Scholar]
- Malhorta, N. Etudes Marketing avec SPSS, 4th ed.; Pearson Education France: Paris, France, 2004. [Google Scholar]
- Lebart, L.; Morineau, A.; Piron, M. Statistique Exploratoire Multidimensionnelle, 2nd ed.; Dunod: Paris, France, 1997. [Google Scholar]
- Colibabă, D. Advances Statistical Methods for Market Research; ASE Publishing House: Bucharest, Romania, 2020. [Google Scholar]
- d’Astous, A. Le Projet de Recherche en Marketing; Chenelièr Éducation: Montréal, QC, Canada, 2005. [Google Scholar]
- Porter, M.; Stern, S. National Innovative Capacity. Available online: https://www.hbs.edu/ris/Publication%20Files/Innov_9211_610334c1-4b37-497d-a51a-ce18bbcfd435.pdf (accessed on 12 November 2020).
- Furman, J.L.; Michael, E.; Porter, M.E.; Stern, S. The determinants of national innovative capacity. Res. Policy 2002, 31, 899–933. [Google Scholar] [CrossRef]
- Fragkandreas, T. When Innovation Does Not Pay Off: Introducing the “European Regional Paradox”. Eur. Plan. Stud. 2013, 21, 2078–2086. [Google Scholar] [CrossRef]
- Ludvig, A.; Sarkki, S.; Zivojinovic, I. Policy impacts on social innovation in forestry and back: Institutional change as a driver and outcome. For. Policy Econ. 2021, 122, 102335. [Google Scholar] [CrossRef]
- Bogers, M.; Chesbrough, H.; Moedas, C. Open Innovation: Research, Practices, and Policies. Calif. Manag. Rev. 2018, 60, 5–16. [Google Scholar] [CrossRef]
- Mann, C.; Loft, L.; Hernandez-Morcillo, M. Assessing forest governance innovations in Europe: Needs, challenges and ways forward for sustainable forest ecosystem service provision. Ecosyst. Serv. 2021, 52, 101384. [Google Scholar] [CrossRef]
- Kafouros, M.I.; Wang, C. The Role of Time in Assessing the Economic Effects of R&D. Innov. Ind. 2008, 15, 233–251. [Google Scholar]
- Edquist, C.; Zabala-Iturriagagoitia, J.M.; Barbero, J.; Zofio, J.L. On the meaning of innovation performance: Is the synthetic indicator of the Innovation Union Scoreboard flawled? Res. Eval. 2018, 27, 196–211. [Google Scholar] [CrossRef]
- Todtling, F.; Trippl, M.M. One size fits all? Towards a differentiated regional innovation policy approach. Res. Policy 2005, 34, 1203–1219. [Google Scholar]
- Mejlgaard, N.; Woolley, R.; Wuketich, M. A key moment for European science policy. JCOM-J. Sci. Commun. 2018, 17, 70539. [Google Scholar] [CrossRef]
- Remotti, L.A. IoT innovation clusters in Europe and the case for public policy. Data Policy 2021, 3, e25. [Google Scholar] [CrossRef]











| Alps Mountain Area | |||||
|---|---|---|---|---|---|
| Italy | Austria | Slovenia | Switzerland | Germany | France |
| ITC1 Piemonte, ITC2 Valle d’Aosta/Vallée d’Aoste, ITC3 Liguria, ITC4 Lombardia, ITH1 Provincia Autonom Bolzano/Bozen, ITH2 Provincia Autonoma Trento, ITH3 Veneto ITH4 Friuli-Venezia Giulia | AT1 Ostösterreich, AT2 Südösterreich, AT3 Westösterreich | SI03 Vzhodna Slovenija SI04 Zahodna Slovenija | CH01 Région lémanique, CH02 Espace Mittelland CH03Nordwestschweiz CH04 Zürich CH05 Ostschweiz CH06 Zentralschweiz CH07 Ticino | DE13 Freiburg DE14 Tübingen DE21 Oberbayern DE27 Schwaben | FRC Bourgogne—Franche-Comté FRK Auvergne—Rhône-Alpes FRL Provence-Alpes-Côte d’Azur |
| Carpathian’s Mountain area | |||||
| Czech Republic | Hungary | Poland | Romania | Slovakia | Serbia |
| CZ06 Jihovýchod CZ07 Strední Morava CZ08 Moravskoslezsko | HU11 Budapest, HU12 Pest, HU21 Közép-Dunántúl, HU22 Nyugat-Dunántúl, HU31 CÉszak-Magyarország, HU32 Észak-Alföld, HU33 Dél-Alföld | PL21 Malopolskie PL22 Slaskie PL82 Podkarpackie | RO11 Nord-Vest, RO12 Centru, RO21 Nord-Est RO22 Sud-Est, RO31 Sud—Muntenia, RO32 Bucuresti—Ilfov, RO41 Sud-Vest Oltenia, RO42 Vest | SK01 Bratislavský kraj, SK02 Západné Slovensko, SK03 Stredné Slovensko, SK04Východné Slovensko | RS11 Belgrade RS12 Vojvodina RS21 Šumadija and Western Serbia RS22 Southern and Eastern Serbia |
| Research Hypothesis | Theoretical Background | Statistical Methods Applied |
|---|---|---|
| H1: There are significant differences between performance groups of the Alps and Carpathians directly linked to policy and public spending. | [22,30,38,40] |
|
| H2: There are significant differences among RIS indicators for the Alps and Carpathians mountains regions. | [6,24,39] |
|
| H3: The Alps and Carpathians have different predictors for performance groups of innovation. | [23,25,33,45] |
|
| H4: There are significant differences inside each mountain area (Alps, Carpathians) based on the geographical position of NUTS2 regions (West-East). | [22,33,34,37,38,40,41,45] |
|
| Innovation Indicator | Alps Mountain Area | Carpathians Mountain Area | ||
|---|---|---|---|---|
| 2019 | 2021 | 2019 | 2021 | |
| Population with tertiary education | 0.459 ± 0.193 (0.169–0.903) | 0.598 ± 0.229 (0.232–1.000) | 0.313 ± 0.205 (0.027–0.842) | 0.391 ± 0.271 (0.044–1.000) |
| Lifelong learning | 0.487 ± 0.279 (0.176–1.000) | 0.579 ± 0.281 (0.216–1.000) | 0.114 ± 0.092 (0.000–0.321) | 0.158 ± 0.099 (0.022–0.376) |
| Scientific co-publications | 0.631 ± 0.215 (0.266–1.000) | 0.710 ± 0.208 (0.312–1.000) | 0.325 ± 0.167 (0.062–0.827) | 0.384 ± 0.194 (0.090–0.911) |
| Most-cited publications | 0.563 ± 0.117 (0.340–0.842) | 0.613 ± 0.138 (0.395–0.968) | 0.242 ± 0.072 (0.146–0.467) | 0.242 ± 0.067 (0.032–0.356) |
| R&D expenditure public sector | 0.553 ± 0.189 (0.156–0.788) | 0.479 ± 0.232 (0.055–0.801) | 0.319 ± 0.153 (0.078–0.648) | 0.211 ± 0.178 (0.007–0.643) |
| R&D expenditure business sector | 0.671 ± 0.190 (0.316–1.000) | 0.609 ± 0.257 (0.118–1.000) | 0.321 ± 0.184 (0.009–0.665) | 0.207 ± 0.171 (0.000–0.721) |
| Non-R&D innovation expenditures | 0.570 ± 0.122 (0.374–0.764) | 0.313 ± 0.225 (0.000–0.757) | 0.518 ± 0.250 (0.064–0.954) | 0.403 ± 0.292 (0.000–1.000) |
| Product or process innovators | 0.590 ± 0.119 (0.340–0.880) | 0.740 ± 0.119 (0.564–0.998) | 0.256 ± 0.168 (0.022–0.543) | 0.367 ± 0.249 (0.025–1.000) |
| Marketing or organizational innovators (2019)/Business process innovators (2021) | 0.616 ± 0.158 (0.296–0.971) | 0.847 ± 0.165 (0.492–1.000) | 0.225 ± 0.139 (0.000–0.494) | 0.246 ± 0.248 (0.000–0.755) |
| Innovative SMEs collaborating with others | 0.330 ± 0.198 (0.099–0.856) | 0.571 ± 0.177 (0.163–0.846) | 0.192 ± 0.128 (0.012–0.459) | 0.297 ± 0.184 (0.019–0.762) |
| Public–private co-publications | 0.505 ± 0.252 (0.000–1.000) | 0.704 ± 0.207 (0.372–1.000) | 0.170 ± 0.148 (0.000–0.525) | 0.327 ± 0.164 (0.108–0.801) |
| PCT patent applications | 0.505 ± 0.182 (0.195–0.821) | 0.698 ± 0.202 (0.354–1.000) | 0.125 ± 0.069 (0.044–0.288) | 0.243 ± 0.091 (0.094–0.415) |
| Trademark applications | 0.534 ± 0.222 (0.156–1.000) | 0.570 ± 0.219 (0.174–1.000) | 0.172 ± 0.105 (0.043–0.445) | 0.177 ± 0.105 (0.047–0.416) |
| Design applications | 0.524 ± 0.190 (0.171–1.000) | 0.641 ± 0.225 (0.268–1.000) | 0.265 ± 0.194 (0.024–0.635) | 0.312 ± 0.183 (0.000–0.817) |
| Employment MHT manufacturing and knowledge-intensive services | 0.576 ± 0.152 (0.231–0.902) | 0.677 ± 0.217 (0.093–1.000) | 0.495 ± 0.240 (0.064–0.938) | 0.595 ± 0.267 (0.032–1.000) |
| Sales of new-to-market and new-to-firm innovations | 0.591 ± 0.130 (0.303–0.913) | 0.517 ± 0.334 (0.000–0.925) | 0.350 ± 0.174 (0.082–0.771) | 0.468 ± 0.144 (0.242–0.782) |
| Value | df | Asymptotic Significance (2-Sided) | |
|---|---|---|---|
| Pearson Chi-Square | 76.930 | 18 | 0.000 |
| Likelihood Ratio | 102.026 | 18 | 0.000 |
| N of Valid Cases | 112 |
| Levene’s Test for Equality of Variances | t-Test for Equality of Means | |||||||||
|---|---|---|---|---|---|---|---|---|---|---|
| F | Sig. | t | df | Sig. (2-tailed) | Mean Difference | Std. Error Difference | 95% Confidence Interval of the Difference | |||
| Lower | Upper | |||||||||
| Population with tertiary education | EVA | 0.178 | 0.674 | 4.021 | 110 | 0.000 | 0.176330 | 0.043854 | 0.089422 | 0.263238 |
| EVNA | 4.033 | 109.980 | 0.000 | 0.176330 | 0.043719 | 0.089689 | 0.262971 | |||
| Lifelong learning | EVA | 72.365 | 0.000 | 10.093 | 110 | 0.000 | 0.396368 | 0.039272 | 0.318542 | 0.474195 |
| EVNA | 9.811 | 64.758 | 0.000 | 0.396368 | 0.040400 | 0.315679 | 0.477058 | |||
| Scientific co-publications | EVA | 3.286 | 0.073 | 8.462 | 110 | 0.000 | 0.315941 | 0.037337 | 0.241948 | 0.389935 |
| EVNA | 8.414 | 104.519 | 0.000 | 0.315941 | 0.037550 | 0.241482 | 0.390400 | |||
| Most-cited publications | EVA | 15.735 | 0.000 | 17.907 | 110 | 0.000 | 0.346231 | 0.019335 | 0.307914 | 0.384547 |
| EVNA | 17.553 | 79.754 | 0.000 | 0.346231 | 0.019725 | 0.306974 | 0.385487 | |||
| R&D expenditure public sector | EVA | 4.468 | 0.037 | 6.846 | 110 | 0.000 | 0.250805 | 0.036637 | 0.178200 | 0.323411 |
| EVNA | 6.796 | 102.316 | 0.000 | 0.250805 | 0.036907 | 0.177604 | 0.324007 | |||
| R&D expenditure business sector | EVA | 2.828 | 0.095 | 9.658 | 110 | 0.000 | 0.375439 | 0.038873 | 0.298402 | 0.452476 |
| EVNA | 9.590 | 102.659 | 0.000 | 0.375439 | 0.039150 | 0.297792 | 0.453087 | |||
| Non-R&D innovation expenditures | EVA | 2.809 | 0.097 | −0.764 | 103 | 0.446 | −0.038255 | 0.050041 | −0.137499 | 0.060989 |
| EVNA | −0.780 | 102.975 | 0.437 | −0.038255 | 0.049023 | −0.135481 | 0.058971 | |||
| Product or process innovators | EVA | 6.252 | 0.014 | 10.142 | 110 | 0.000 | 0.353784 | 0.034882 | 0.284656 | 0.422912 |
| EVNA | 10.295 | 98.063 | 0.000 | 0.353784 | 0.034364 | 0.285590 | 0.421978 | |||
| Marketing or organizational innovators | EVA | 0.456 | 0.501 | 13.190 | 110 | 0.000 | 0.496352 | 0.037631 | 0.421776 | 0.570929 |
| EVNA | 13.193 | 109.536 | 0.000 | 0.496352 | 0.037622 | 0.421792 | 0.570913 | |||
| Innovative SMEs collaborating with others | EVA | 8.468 | 0.004 | 5.588 | 110 | 0.000 | 0.206001 | 0.036866 | 0.132942 | 0.279060 |
| EVNA | 5.531 | 97.752 | 0.000 | 0.206001 | 0.037246 | 0.132085 | 0.279917 | |||
| Public–private co-publications | EVA | 7.339 | 0.008 | 8.813 | 110 | 0.000 | 0.356210 | 0.040419 | 0.276110 | 0.436310 |
| EVNA | 8.704 | 93.929 | 0.000 | 0.356210 | 0.040926 | 0.274950 | 0.437470 | |||
| PCT patent applications | EVA | 29.407 | 0.000 | 12.857 | 106 | 0.000 | 0.413556 | 0.032166 | 0.349783 | 0.477329 |
| EVNA | 12.857 | 75.225 | 0.000 | 0.413556 | 0.032166 | 0.349480 | 0.477631 | |||
| Trademark applications | EVA | 23.274 | 0.000 | 11.772 | 110 | 0.000 | 0.377680 | 0.032082 | 0.314101 | 0.441259 |
| EVNA | 11.506 | 74.393 | 0.000 | 0.377680 | 0.032824 | 0.312283 | 0.443077 | |||
| Design applications | EVA | 1.215 | 0.273 | 7.719 | 110 | 0.000 | 0.294202 | 0.038112 | 0.218673 | 0.369732 |
| EVNA | 7.683 | 105.744 | 0.000 | 0.294202 | 0.038290 | 0.218286 | 0.370119 | |||
| Employment MHT manufacturing and knowledge-intensive services | EVA | 7.363 | 0.008 | 1.891 | 109 | 0.061 | 0.082165 | 0.043454 | −0.003959 | 0.168289 |
| EVNA | 1.915 | 105.200 | 0.058 | 0.082165 | 0.042908 | −0.002912 | 0.167242 | |||
| Sales of new-to-market and new-to-firm innovations | EVA | 3.772 | 0.055 | 3.586 | 110 | 0.001 | 0.145243 | 0.040500 | 0.064982 | 0.225504 |
| EVNA | 3.537 | 91.422 | 0.001 | 0.145243 | 0.041064 | 0.063679 | 0.226808 | |||
| Innovation index (base year 2014)-% | EVA | 2.659 | 0.106 | 14.544 | 110 | 0.000 | 69.639 | 4.788 | 60.150 | 79.128 |
| EVNA | 14.488 | 106.554 | 0.000 | 69.639 | 4.807 | 60.109 | 79.168 | |||
| Models | Model | R | R Square | Adjusted R Square | Std. Error of the Estimate |
|---|---|---|---|---|---|
| Alps | 1 | 0.956 b | 0.913 | 0.878 | 0.311 |
| Carpathians | 2 | 0.893 b | 0.798 | 0.739 | 0.480 |
| Models | Sum of Squares | df | Mean Square | F | Sig. | ||
|---|---|---|---|---|---|---|---|
| Alps | 1 | Regression | 32.551 | 13 | 2.504 | 25.836 | 0.000 b |
| Residual | 3.101 | 32 | 0.097 | ||||
| Total | 35.652 | 45 | |||||
| Carpathians | 2 | Regression | 37.379 | 12 | 3.115 | 13.508 | 0.000 b |
| Residual | 9.454 | 41 | 0.231 | ||||
| Total | 46.833 | 53 | |||||
| The Independent Variables for Model 1—Alps b | Unstandardized Coefficients | Standardized Coefficients | t | Sig. | 95.0% Confidence Interval for B | Collinearity Statistics | |||
|---|---|---|---|---|---|---|---|---|---|
| B (βi) | Std. Error | Beta | Lower Bound | Upper Bound | Tolerance | VIF | |||
| β0-(Constant) β0 | 0.589 | 0.405 | 1.453 | 0.156 | −0.237 | 1.414 | |||
| x1 Scientific co-publications | −1.078 | 0.475 | −0.242 | −2.269 | 0.030 | −2.045 | −0.110 | 0.238 | 4.200 |
| x2 Most-cited publications | 1.659 | 0.651 | 0.234 | 2.550 | 0.016 | 0.334 | 2.985 | 0.322 | 3.101 |
| x3 R&D expenditure public sector | 2.079 | 0.428 | 0.506 | 4.861 | 0.000 | 1.208 | 2.951 | 0.251 | 3.979 |
| x4 R&D expenditure business sector | −0.432 | 0.423 | −0.112 | −1.022 | 0.315 | −1.294 | 0.429 | 0.227 | 4.399 |
| x5 Non-R&D innovation expenditures | 1.701 | 0.375 | 0.437 | 4.532 | 0.000 | 0.936 | 2.465 | 0.292 | 3.426 |
| x6 Product or process innovators | 0.382 | 0.594 | 0.058 | 0.642 | 0.525 | −0.828 | 1.591 | 0.329 | 3.041 |
| x7 Marketing or organizational innovators (2019)/Business process innovators (2021) | 0.442 | 0.447 | 0.098 | 0.987 | 0.331 | −0.470 | 1.353 | 0.277 | 3.611 |
| x8 Innovative SMEs collaborating with others | 0.111 | 0.287 | 0.028 | 0.388 | 0.700 | −0.473 | 0.696 | 0.519 | 1.927 |
| x9 PCT patent applications | 1.577 | 0.409 | 0.396 | 3.859 | 0.001 | 0.745 | 2.410 | 0.258 | 3.882 |
| x10 Trademark applications | 0.580 | 0.383 | 0.134 | 1.515 | 0.140 | −0.200 | 1.360 | 0.346 | 2.893 |
| x11 Design applications | −0.015 | 0.388 | −0.004 | −0.038 | 0.970 | −0.805 | 0.776 | 0.310 | 3.228 |
| x12 Employment MHT manufacturing and knowledge-intensive services | 0.879 | 0.348 | 0.203 | 2.527 | 0.017 | 0.170 | 1.588 | 0.423 | 2.366 |
| x13 Sales of new-to-market and new-to-firm innovations | −1.560 | 0.330 | −0.460 | −4.725 | 0.000 | −2.232 | −0.887 | 0.286 | 3.493 |
| The Independent Variables for Model 2—Carpathians b | Unstandardized Coefficients | Standardized Coefficients | t | Sig. | 95.0% Confidence Interval for B | Collinearity Statistics | |||
|---|---|---|---|---|---|---|---|---|---|
| B | Std. Error | Beta | Lower Bound | Upper Bound | Tolerance | VIF | |||
| β0 (Constant) | 1.368 | 0.317 | 4.315 | 0.000 | 0.727 | 2.008 | |||
| x1 Most-cited publications | −1.299 | 1.167 | −0.097 | −1.113 | 0.272 | −3.656 | 1.058 | 0.651 | 1.537 |
| x2 R&D expenditure public sector | 2.331 | 0.741 | 0.419 | 3.143 | 0.003 | 0.833 | 3.828 | 0.277 | 3.611 |
| x3 R&D expenditure business sector | 2.002 | 0.666 | 0.399 | 3.004 | 0.005 | 0.656 | 3.348 | 0.279 | 3.586 |
| x4 Non-R&D innovation expenditures | 0.622 | 0.382 | 0.183 | 1.628 | 0.111 | −0.149 | 1.393 | 0.391 | 2.557 |
| x5 Marketing or organizational innovators (2019)/Business process innovators (2021) | 0.650 | 0.713 | 0.137 | 0.912 | 0.367 | −0.789 | 2.089 | 0.218 | 4.581 |
| x6 PCT patent applications | −4.471 | 1.122 | −0.477 | −3.985 | 0.000 | −6.737 | −2.205 | 0.343 | 2.912 |
| x7 Trademark applications | 2.115 | 1.458 | 0.231 | 1.451 | 0.155 | −0.830 | 5.060 | 0.194 | 5.151 |
| x8 Design applications | 0.191 | 0.565 | 0.037 | 0.338 | 0.737 | −0.950 | 1.332 | 0.406 | 2.461 |
| x9 Employment MHT manufacturing and knowledge-intensive services | 0.620 | 0.364 | 0.167 | 1.705 | 0.096 | −0.114 | 1.355 | 0.516 | 1.937 |
| x10 Sales of new-to-market and new-to-firm innovations | −0.563 | 0.586 | −0.103 | −0.962 | 0.342 | −1.745 | 0.619 | 0.430 | 2.328 |
| x11 Population with tertiary education | −1.177 | 0.556 | −0.308 | −2.116 | 0.040 | −2.300 | −0.053 | 0.232 | 4.306 |
| x12 Lifelong learning | 1.054 | 1.384 | 0.113 | 0.761 | 0.451 | −1.742 | 3.849 | 0.225 | 4.441 |
| Innovation Indicator | Alps Regions | Carpathians Regions | |
|---|---|---|---|
| 1-M1A/2-M2C | R&D expenditure public sector | Italy—Austria, Italy—Switzerland, Italy—Germany, Slovenia—Switzerland | Czech Republic—Romania |
| 2-M1A | Sales of new-to-market and new-to-firm innovations | Italy—Switzerland, Austria—Switzerland, Germany—Switzerland | |
| 3-M1A | Non-R&D innovation expenditures | Switzerland differs from all the countries (Austria, Italy, Germany, Slovenia, and France) | |
| 4-M1A/1-M2C | PCT patent applications | Switzerland differs from all the countries (Austria, Italy, Germany, Slovenia, and France) | Czech Republic—Romania, Hungary—Romania |
| 5-M1A | Scientific co-publications | No differences between countries | |
| 6-M1A | Most-cited publications | Switzerland differs from all the countries (Austria, Italy, Germany, Slovenia, and France) | |
| 7-M1A/5-M2C | Employment MHT manufacturing and knowledge-intensive services | Italy—Germany, Austria—Germany, France—Germany, Switzerland—France | Czech Republic—Serbia (0.063), Hungary—Serbia (0.073), Slovakia—Serbia (0.054) |
| 3—M2C | R&D expenditure business sector | Czech Republic—Romania, Czech Republic—Slovakia, Czech Republic- Serbia, Hungary—Romania, Hungary—Serbia, Poland—Romania, Poland—Serbia | |
| 4-M2C | Population with tertiary education | Hungary—Poland, Romania—Poland, Romania—Slovakia |
Disclaimer/Publisher’s Note: The statements, opinions and data contained in all publications are solely those of the individual author(s) and contributor(s) and not of MDPI and/or the editor(s). MDPI and/or the editor(s) disclaim responsibility for any injury to people or property resulting from any ideas, methods, instructions or products referred to in the content. |
© 2023 by the authors. Licensee MDPI, Basel, Switzerland. This article is an open access article distributed under the terms and conditions of the Creative Commons Attribution (CC BY) license (https://creativecommons.org/licenses/by/4.0/).
Share and Cite
Coca, A.; Gabor, M.R.; Susanu, I.O. Do Innovation Metrics Reflect Sustainable Policy Making in Europe? A Comparative Study Case on the Carpathian and Alpine Mountain Regions. Mathematics 2023, 11, 1558. https://doi.org/10.3390/math11061558
Coca A, Gabor MR, Susanu IO. Do Innovation Metrics Reflect Sustainable Policy Making in Europe? A Comparative Study Case on the Carpathian and Alpine Mountain Regions. Mathematics. 2023; 11(6):1558. https://doi.org/10.3390/math11061558
Chicago/Turabian StyleCoca, Andrei, Manuela Rozalia Gabor, and Irina Olimpia Susanu. 2023. "Do Innovation Metrics Reflect Sustainable Policy Making in Europe? A Comparative Study Case on the Carpathian and Alpine Mountain Regions" Mathematics 11, no. 6: 1558. https://doi.org/10.3390/math11061558
APA StyleCoca, A., Gabor, M. R., & Susanu, I. O. (2023). Do Innovation Metrics Reflect Sustainable Policy Making in Europe? A Comparative Study Case on the Carpathian and Alpine Mountain Regions. Mathematics, 11(6), 1558. https://doi.org/10.3390/math11061558

