Performance of Heat Transfer in Micropolar Fluid with Isothermal and Isoflux Boundary Conditions Using Supervised Neural Networks
Abstract
1. Introduction
- In the designed scheme, a novel machine learning process is conducted by a computer that is not subject to or affected by the continuity and singularity of the differential equations.
- The machine learning techniques are applicable to multidimensional data. They can supervise the given data in an efficient manner by employing the Levenberg–Marquardt algorithm for local search optimization.
- The smooth convergence of the optimization of an objective function in terms of mean square error highlights the stability and efficiency of the designed technique.
2. Governing Model of the Problem
3. Method of Solution
3.1. Artificial Neural Networks
3.2. Dataset
3.3. ANN with Levenberg–Marquardt Algorithm
- The initial dataset is generated by a numerical solver such as the Runge–Kutta method for the supervised procedure of the machine learning algorithm. This step is used to determine how well the model performs on real-world datasets.
- Further, the neural network model is constructed using the NFTOOL in MATLAB to contrive the feed-forward architecture of an artificial neural network (FFNN) with 60 neurons in the hidden layer, as shown in Figure 4. The dataset of 1001 points obtained in the first step is provided to the FFNN as targeted data. In the FFNN model, the dataset is partitioned into training, testing, and validation with respective weightings of and .
- The mean squared error (MSE) is often used as the objective function in feed-forward neural network (FFNN) models. The MSE measures the average difference between the predicted output and the actual output. The objective is to minimize this error during the training process to improve the model’s accuracy. Mathematically, the fitness function can be written aswhere refers to the predicted value of the target variable based on the input variables for the sample in a dataset.
- The Levenberg–Marquardt algorithm is an optimization method used to minimize a non-linear least-squares function. It is a combination of the gradient descent and the Gauss–Newton method, and uses a damping parameter to control the trade-off between exploration and exploitation. It is widely used in applications such as curve fitting, training artificial neural networks, and solving nonlinear systems of equations. It is an efficient method for finding the optimal weights associated with the predicted solution in Equation (18). This algorithm adjusts the weights until the error between the predicted and actual solution is minimized. The detailed mathematical operational work of LM algorithm can be found in [46].
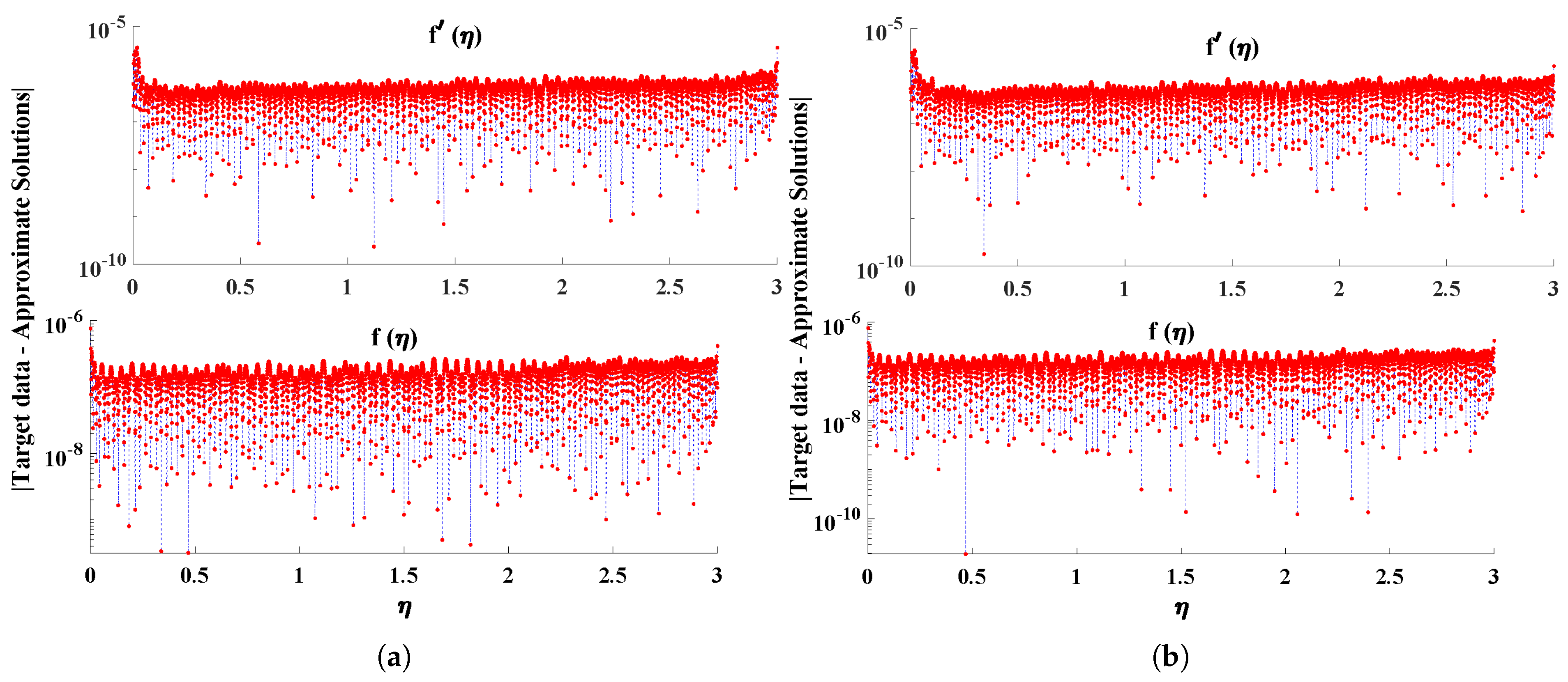
4. Results and Discussion
5. Performance Indices and Statistical Evaluation
6. Conclusions
Author Contributions
Funding
Data Availability Statement
Conflicts of Interest
Nomenclature
| Vector of micro-rotation | Velocity vector | ||
| Force of body | Fluid density | ||
| P | Pressure | Body couple per unit of mass | |
| j | Micro-inertia | Dynamic viscosity | |
| Stokes viscosity | Spin gradient viscosity | ||
| Vortex viscosity | , | Material constants | |
| K | Permeability | L | Length of Sheet |
| Linear velocity profile | u | Vertical component of velocity | |
| v | Orthogonal component of velocity | Micro-rotation perpendicular to -plane | |
| T | Fluid temperature | Effectiveness of thermal diffusivity | |
| Rate of mass transfer at the edge | Coefficient of wall velocity | ||
| x | Non-dimensional x coordinate | Coefficient of wall temperature | |
| Temperature far away from sheet | Coefficient of heat flux | ||
| Thermal conductivity of medium | s | Index of power law | |
| Prandtl number | Reynolds number | ||
| Non-dimensionless material constants | Stream function |
References
- Anantha Kumar, K.; Sugunamma, V.; Sandeep, N. Influence of viscous dissipation on MHD flow of micropolar fluid over a slendering stretching surface with modified heat flux model. J. Therm. Anal. Calorim. 2020, 139, 3661–3674. [Google Scholar] [CrossRef]
- Eringen, A.C. Theory of micropolar fluids. J. Math. Mech. 1966, 16, 1–18. [Google Scholar] [CrossRef]
- Rafiq, S.; Abbas, Z.; Nawaz, M.; Alharbi, S.O. Computational study on the effects of variable viscosity of micropolar liquids on heat transfer in a channel. J. Therm. Anal. Calorim. 2021, 145, 3269–3279. [Google Scholar] [CrossRef]
- Benoit, H.; Spreafico, L.; Gauthier, D.; Flamant, G. Review of heat transfer fluids in tube-receivers used in concentrating solar thermal systems: Properties and heat transfer coefficients. Renew. Sustain. Energy Rev. 2016, 55, 298–315. [Google Scholar] [CrossRef]
- Lohrasbi, J.; Sahai, V. Magnetohydrodynamic heat transfer in two-phase flow between parallel plates. Appl. Sci. Res. 1988, 45, 53–66. [Google Scholar] [CrossRef]
- Malashetty, M.; Leela, V. Magnetohydrodynamic heat transfer in two phase flow. Int. J. Eng. Sci. 1992, 30, 371–377. [Google Scholar] [CrossRef]
- Siddiqui, A.M.; Zeb, M.; Haroon, T.; Azim, Q.u.A. Exact solution for the heat transfer of two immiscible PTT fluids flowing in concentric layers through a pipe. Mathematics 2019, 7, 81. [Google Scholar] [CrossRef]
- Modak, M.; Sharma, A.K.; Sahu, S.K. An experimental investigation on heat transfer enhancement in circular jet impingement on hot surfaces by using Al2O3/water nano-fluids and aqueous high-alcohol surfactant solution. Exp. Heat Transf. 2018, 31, 275–296. [Google Scholar] [CrossRef]
- Ahmed, M.E.S. Numerical solution of power law fluids flow and heat transfer with a magnetic field in a rectangular duct. Int. Commun. Heat Mass Transf. 2006, 33, 1165–1176. [Google Scholar] [CrossRef]
- Chiba, R.; Izumi, M.; Sugano, Y. An analytical solution to non-axisymmetric heat transfer with viscous dissipation for non-Newtonian fluids in laminar forced flow. Arch. Appl. Mech. 2008, 78, 61–74. [Google Scholar] [CrossRef]
- Hassani, A.; Khataee, A.; Fathinia, M.; Karaca, S. Photocatalytic ozonation of ciprofloxacin from aqueous solution using TiO2/MMT nanocomposite: Nonlinear modeling and optimization of the process via artificial neural network integrated genetic algorithm. Process Saf. Environ. Prot. 2018, 116, 365–376. [Google Scholar] [CrossRef]
- Duan, Z.; Song, P.; Yang, C.; Deng, L.; Jiang, Y.; Deng, F.; Jiang, X.; Chen, Y.; Yang, G.; Ma, Y.; et al. The impact of hyperglycaemic crisis episodes on long-term outcomes for inpatients presenting with acute organ injury: A prospective, multicentre follow-up study. Front. Endocrinol. 2022, 13, 1057089. [Google Scholar] [CrossRef]
- Chen, Y.; Xiao, W.; Guan, Z.; Zhang, B.; Qiu, D.; Wu, M. Nonlinear modeling and harmonic analysis of magnetic resonant WPT system based on equivalent small parameter method. IEEE Trans. Ind. Electron. 2019, 66, 6604–6612. [Google Scholar] [CrossRef]
- El-dabe, N.T.; Abou-zeid, M.Y.; Ahmed, O.S. Motion of a thin film of a fourth grade nanofluid with heat transfer down a vertical cylinder: Homotopy perturbation method application. J. Adv. Res. Fluid Mech. Therm. Sci. 2020, 66, 101–113. [Google Scholar]
- Tyurenkova, V.; Smirnova, M. Material combustion in oxidant flows: Self-similar solutions. Acta Astronaut. 2016, 120, 129–137. [Google Scholar] [CrossRef]
- Smirnov, N.; Betelin, V.; Shagaliev, R.; Nikitin, V.; Belyakov, I.; Deryuguin, Y.N.; Aksenov, S.; Korchazhkin, D. Hydrogen fuel rocket engines simulation using LOGOS code. Int. J. Hydrogen Energy 2014, 39, 10748–10756. [Google Scholar] [CrossRef]
- Smirnov, N.; Betelin, V.; Nikitin, V.; Stamov, L.; Altoukhov, D. Accumulation of errors in numerical simulations of chemically reacting gas dynamics. Acta Astronaut. 2015, 117, 338–355. [Google Scholar] [CrossRef]
- Smirnov, N. Heat and mass transfer in a multi-component chemically reactive gas above a liquid fuel layer. Int. J. Heat Mass Transf. 1985, 28, 929–938. [Google Scholar] [CrossRef]
- Liu, I.; Megahed, A.M. Homotopy perturbation method for thin film flow and heat transfer over an unsteady stretching sheet with internal heating and variable heat flux. J. Appl. Math. 2012, 2012, 418527. [Google Scholar] [CrossRef]
- El-Sayed, T.; El-Mongy, H. Free vibration and stability analysis of a multi-span pipe conveying fluid using exact and variational iteration methods combined with transfer matrix method. Appl. Math. Model. 2019, 71, 173–193. [Google Scholar] [CrossRef]
- Grabski, J.K. Numerical solution of non-Newtonian fluid flow and heat transfer problems in ducts with sharp corners by the modified method of fundamental solutions and radial basis function collocation. Eng. Anal. Bound. Elem. 2019, 109, 143–152. [Google Scholar] [CrossRef]
- Raghunatha, K.; Kumbinarasaiah, S. Laguerre wavelet numerical solution of micropolar fluid flow in a porous channel with high mass transfer. J. Interdiscip. Math. 2021, 24, 2269–2282. [Google Scholar] [CrossRef]
- Mehryan, S.; Izadi, M.; Sheremet, M.A. Analysis of conjugate natural convection within a porous square enclosure occupied with micropolar nanofluid using local thermal non-equilibrium model. J. Mol. Liq. 2018, 250, 353–368. [Google Scholar] [CrossRef]
- Aghakhani, S.; Pordanjani, A.H.; Karimipour, A.; Abdollahi, A.; Afrand, M. Numerical investigation of heat transfer in a power-law non-Newtonian fluid in a C-Shaped cavity with magnetic field effect using finite difference lattice Boltzmann method. Comput. Fluids 2018, 176, 51–67. [Google Scholar] [CrossRef]
- Huang, J.; Liao, W.; Li, Z. A multi-block finite difference method for seismic wave equation in auxiliary coordinate system with irregular fluid–solid interface. Eng. Comput. 2018, 35, 334–362. [Google Scholar] [CrossRef]
- Shiea, M.; Buffo, A.; Vanni, M.; Marchisio, D. Numerical methods for the solution of population balance equations coupled with computational fluid dynamics. Annu. Rev. Chem. Biomol. Eng. 2020, 11, 339–366. [Google Scholar] [CrossRef] [PubMed]
- Arqub, O.A. Numerical solutions for the Robin time-fractional partial differential equations of heat and fluid flows based on the reproducing kernel algorithm. Int. J. Numer. Methods Heat Fluid Flow 2018, 28, 828–856. [Google Scholar] [CrossRef]
- Alonso, G.; Del Del Valle, E.; Ramirez, J.R. Desalination in Nuclear Power Plants; Woodhead Publishing: Sawston, UK, 2020. [Google Scholar]
- Yu, Y.; Hao, Z.; Li, G.; Liu, Y.; Yang, R.; Liu, H. Optimal search mapping among sensors in heterogeneous smart homes. Math. Biosci. Eng 2023, 20, 1960–1980. [Google Scholar] [CrossRef]
- Li, R.; Yu, N.; Wang, X.; Liu, Y.; Cai, Z.; Wang, E. Model-based synthetic geoelectric sampling for magnetotelluric inversion with deep neural networks. IEEE Trans. Geosci. Remote Sens. 2020, 60, 1–14. [Google Scholar] [CrossRef]
- Fath, B.D. Encyclopedia of Ecology; Elsevier: Amsterdam, The Netherlands, 2018. [Google Scholar]
- Xiong, S.; Li, B.; Zhu, S. DCGNN: A single-stage 3D object detection network based on density clustering and graph neural network. Complex Intell. Syst. 2022, 1–10. [Google Scholar] [CrossRef]
- Ahmad Khan, N.; Sulaiman, M. Heat transfer and thermal conductivity of magneto micropolar fluid with thermal non-equilibrium condition passing through the vertical porous medium. Waves Random Complex Media 2022, 1–25. [Google Scholar] [CrossRef]
- Liu, K.; Yang, Z.; Wei, W.; Gao, B.; Xin, D.; Sun, C.; Gao, G.; Wu, G. Novel detection approach for thermal defects: Study on its feasibility and application to vehicle cables. High Volt. 2022. [Google Scholar] [CrossRef]
- Khan, N.A.; Sulaiman, M.; Kumam, P.; Alarfaj, F.K. Application of Legendre polynomials based neural networks for the analysis of heat and mass transfer of a non-Newtonian fluid in a porous channel. Adv. Contin. Discret. Model. 2022, 2022, 1–32. [Google Scholar] [CrossRef]
- Li, Z.; Wang, K.; Li, W.; Yan, S.; Chen, F.; Peng, S. Analysis of surface pressure pulsation characteristics of centrifugal pump magnetic liquid sealing film. Intern. Flow Mech. Mod. Hydraul. Mach. 2023, 16648714, 124. [Google Scholar] [CrossRef]
- Khan, N.A.; Sulaiman, M.; Bonyah, E.; Seidu, J.; Alshammari, F.S. Investigation of Three-Dimensional Condensation Film Problem over an Inclined Rotating Disk Using a Nonlinear Autoregressive Exogenous Model. Comput. Intell. Neurosci. 2022, 2022, 2930920. [Google Scholar] [CrossRef]
- Xu, J.; Zhao, Y.; Chen, H.; Deng, W. ABC-GSPBFT: PBFT with grouping score mechanism and optimized consensus process for flight operation data-sharing. Inf. Sci. 2023, 624, 110–127. [Google Scholar] [CrossRef]
- Nonlaopon, K.; Khan, N.A.; Sulaiman, M.; Alshammari, F.S.; Laouini, G. Heat transfer analysis of nanofluid flow in a rotating system with magnetic field using an intelligent strength stochastic-driven approach. Nanomaterials 2022, 12, 2273. [Google Scholar] [CrossRef]
- Yuan, Q.; Kato, B.; Fan, K.; Wang, Y. Phased array guided wave propagation in curved plates. Mech. Syst. Signal Process. 2023, 185, 109821. [Google Scholar] [CrossRef]
- Pathak, M.; Joshi, P.; Nisar, K.S. Numerical investigation of fluid flow and heat transfer in micropolar fluids over a stretching domain. J. Therm. Anal. Calorim. 2022, 147, 10637–10646. [Google Scholar] [CrossRef]
- Guram, G.; Smith, A. Stagnation flows of micropolar fluids with strong and weak interactions. Comput. Math. Appl. 1980, 6, 213–233. [Google Scholar] [CrossRef]
- Jena, S.K.; Mathur, M. Similarity solutions for laminar free convection flow of a thermomicropolar fluid past a non-isothermal vertical flat plate. Int. J. Eng. Sci. 1981, 19, 1431–1439. [Google Scholar] [CrossRef]
- Peddieson, J., Jr. An application of the micropolar fluid model to the calculation of a turbulent shear flow. Int. J. Eng. Sci. 1972, 10, 23–32. [Google Scholar] [CrossRef]
- Alhakami, H.; Khan, N.A.; Sulaiman, M.; Alhakami, W.; Baz, A. On the Computational Study of a Fully Wetted Longitudinal Porous Heat Exchanger Using a Machine Learning Approach. Entropy 2022, 24, 1280. [Google Scholar] [CrossRef] [PubMed]
- Yu, H.; Wilamowski, B.M. Levenberg–marquardt training. In Intelligent Systems; CRC Press: Boca Raton, FL, USA, 2018; pp. 12-1–12-16. [Google Scholar]
- Waseem, W.; Sulaiman, M.; Alhindi, A.; Alhakami, H. A soft computing approach based on fractional order DPSO algorithm designed to solve the corneal model for eye surgery. IEEE Access 2020, 8, 61576–61592. [Google Scholar] [CrossRef]













| Fixed Parameters | Variations | |||||||||
|---|---|---|---|---|---|---|---|---|---|---|
| 0.5 | 0.1 | 0.5 | 0.0 | 1.0 | 1.0 | 0.5 | −0.2 | 0.5 | 0.0 | 0.0 |
| 1.0 | −0.1 | 1.0 | 1.0 | 1.0 | ||||||
| 1.5 | 0.0 | 5.0 | 2.0 | 2.0 | ||||||
| 2.0 | 0.1 | 10.0 | 3.0 | 3.0 | ||||||
| 2.5 | 0.2 | 15.0 | 4.0 | 4.0 | ||||||
| RKM | NSFDA | FFDNN-BLMA | NSFDA | FFDNN-BLMA | |
|---|---|---|---|---|---|
| 0.00 | 0.0000000 | 0.0000000 | 0.0000008 | 0.0000000 | |
| 0.50 | 0.3803383 | 0.3803700 | 0.3803385 | ||
| 1.00 | 0.5943089 | 0.5943500 | 0.5943088 | ||
| 1.50 | 0.7144438 | 0.7145000 | 0.7144438 | ||
| 2.00 | 0.7816255 | 0.7816900 | 0.7816256 | ||
| 2.50 | 0.8189137 | 0.8189800 | 0.8189139 | ||
| 3.00 | 0.8393279 | 0.8393900 | 0.8393275 |
| RKM | NSFDA | FFDNN-BLMA | NSFDA | FFDNN-BLMA | |
|---|---|---|---|---|---|
| 0.0 | 1.0000000 | 1.0000000 | 0.9999994 | 0.0000000 | |
| 0.5 | 0.5628819 | 0.5628700 | 0.5628819 | ||
| 1.0 | 0.3163963 | 0.3163900 | 0.3163969 | ||
| 1.5 | 0.1773311 | 0.1773200 | 0.1773308 | ||
| 2.0 | 0.0988346 | 0.0988300 | 0.0988342 | ||
| 2.5 | 0.0545187 | 0.0545100 | 0.0545193 | ||
| 3.0 | 0.0295128 | 0.0295000 | 0.0295164 |
| RKM | NSFDA | FFDNN-BLMA | NSFDA | FFDNN-BLMA | |
|---|---|---|---|---|---|
| 0.0 | 0.0000000 | 0.0000000 | 0.0000008 | 0.00000000 | |
| 0.5 | 0.3802468 | 0.3802400 | 0.3802469 | ||
| 1.0 | 0.5940108 | 0.5939800 | 0.5940107 | ||
| 1.5 | 0.7139011 | 0.7138400 | 0.7139011 | ||
| 2.0 | 0.7808526 | 0.7807800 | 0.7808527 | ||
| 2.5 | 0.8179594 | 0.8178900 | 0.8179596 | ||
| 3.0 | 0.8382604 | 0.8382200 | 0.8382600 |
| RKM | NSFDA | FFDNN-BLMA | NSFDA | FFDNN-BLMA | |
|---|---|---|---|---|---|
| 0.0 | 1.0000000 | 1.0000000 | 0.9999995 | 0.00000000 | |
| 0.5 | 0.5625532 | 0.5625100 | 0.5625531 | ||
| 1.0 | 0.3159240 | 0.3158700 | 0.3159246 | ||
| 1.5 | 0.1768421 | 0.1767900 | 0.1768416 | ||
| 2.0 | 0.0984144 | 0.0983900 | 0.0984139 | ||
| 2.5 | 0.0542198 | 0.0542200 | 0.0542204 | ||
| 3.0 | 0.0293613 | 0.0294000 | 0.0293629 |
| Training | Validation | Testing | MAD | TIC | RMSE | RE | ENSE | |
|---|---|---|---|---|---|---|---|---|
| Minimum | ||||||||
| Mean | ||||||||
| Stand. Dev. | ||||||||
| Minimum | ||||||||
| Mean | ||||||||
| Stand. Dev. |
| Training | Validation | Testing | MAD | TIC | RMSE | RE | ENSE | |
|---|---|---|---|---|---|---|---|---|
| Minimum | ||||||||
| Mean | ||||||||
| Stand. Dev. | ||||||||
| Minimum | ||||||||
| Mean | ||||||||
| Stand. Dev. |
Disclaimer/Publisher’s Note: The statements, opinions and data contained in all publications are solely those of the individual author(s) and contributor(s) and not of MDPI and/or the editor(s). MDPI and/or the editor(s) disclaim responsibility for any injury to people or property resulting from any ideas, methods, instructions or products referred to in the content. |
© 2023 by the authors. Licensee MDPI, Basel, Switzerland. This article is an open access article distributed under the terms and conditions of the Creative Commons Attribution (CC BY) license (https://creativecommons.org/licenses/by/4.0/).
Share and Cite
Sulaiman, M.; Khan, N.A.; Alshammari, F.S.; Laouini, G. Performance of Heat Transfer in Micropolar Fluid with Isothermal and Isoflux Boundary Conditions Using Supervised Neural Networks. Mathematics 2023, 11, 1173. https://doi.org/10.3390/math11051173
Sulaiman M, Khan NA, Alshammari FS, Laouini G. Performance of Heat Transfer in Micropolar Fluid with Isothermal and Isoflux Boundary Conditions Using Supervised Neural Networks. Mathematics. 2023; 11(5):1173. https://doi.org/10.3390/math11051173
Chicago/Turabian StyleSulaiman, Muhammad, Naveed Ahmad Khan, Fahad Sameer Alshammari, and Ghaylen Laouini. 2023. "Performance of Heat Transfer in Micropolar Fluid with Isothermal and Isoflux Boundary Conditions Using Supervised Neural Networks" Mathematics 11, no. 5: 1173. https://doi.org/10.3390/math11051173
APA StyleSulaiman, M., Khan, N. A., Alshammari, F. S., & Laouini, G. (2023). Performance of Heat Transfer in Micropolar Fluid with Isothermal and Isoflux Boundary Conditions Using Supervised Neural Networks. Mathematics, 11(5), 1173. https://doi.org/10.3390/math11051173

