Pattern Formation in a Predator–Prey Model with Allee Effect and Hyperbolic Mortality on Multiplex Networks
Abstract
1. Introduction
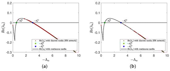
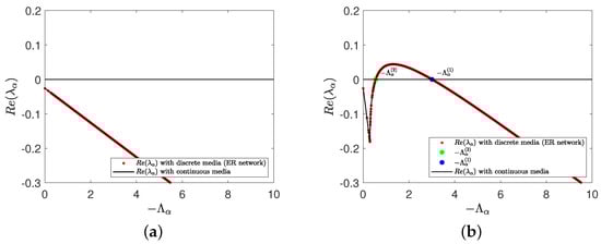
2. Turing Instability on Multiplex Networks
- The positive equilibrium is always unstable, which is a saddle.
- Let , which can be obtained . So, we have the following conclusion: if , then is stable. If , then is unstable. Particularly, when Hopf bifurcation occurs since and
3. Turing Pattern on Networks
3.1. Diffusion Rate Induces Turing Pattern on Single-Layer Network
3.2. Network Average Degree Induces Turing Pattern on Single-Layer Network
3.3. Ratio of Network Average Degree Induces Turing Pattern on Multiplex Networks
4. Spatiotemporal Pattern on Networks
4.1. Parameter Induces Spatiotemporal Pattern on Single-Layer Network
4.2. Network Average Degree Induces Spatiotemporal Pattern on Single-Layer Network and Multiplex Networks
5. Conclusions
Author Contributions
Funding
Data Availability Statement
Acknowledgments
Conflicts of Interest
References
- Murray, J.D. Mathematical Biology: I. An Introduction; Springer: Berlin/Heidelberg, Germany, 2002. [Google Scholar] [CrossRef]
- Nakao, H.; Mikhailov, A.S. Turing patterns in network-organized activator–inhibitor systems. Nat. Phys. 2010, 6, 544–550. [Google Scholar] [CrossRef]
- Nagano, S.; Maeda, Y. Phase transitions in predator–prey systems. Phys. Rev. E 2012, 85, 011915. [Google Scholar] [CrossRef]
- Zhang, T.; Xing, Y.; Zang, H.; Han, M. Spatio-temporal dynamics of a reaction-diffusion system for a predator–prey model with hyperbolic mortality. Nonlinear Dyn. 2014, 78, 265–277. [Google Scholar] [CrossRef]
- Shi, L.; Liu, H.; Wei, Y.; Ma, M.; Ye, J. The permanence and periodic solution of a competitive system with infinite delay, feedback control, and Allee effect. Adv. Differ. Equ. 2018, 2018, 400. [Google Scholar] [CrossRef]
- Ye, Y.; Liu, H.; Wei, Y.; Zhang, K.; Ma, M.; Ye, J. Dynamic study of a predator–prey model with Allee effect and Holling type-I functional response. Adv. Differ. Equ. 2019, 2019, 369. [Google Scholar] [CrossRef]
- Liu, H.; Ye, Y.; Wei, Y.; Ma, W.; Ma, M.; Zhang, K. Pattern formation in a reaction-diffusion predator–prey model with weak Allee effect and delay. Complexity 2019, 2019, 6282958. [Google Scholar] [CrossRef]
- Ye, Y.; Liu, H.; Wei, Y.M.; Ma, M.; Zhang, K. Dynamic study of a predator–prey model with weak Allee effect and delay. Adv. Math. Phys. 2019, 2019, 7296461. [Google Scholar] [CrossRef]
- Ye, Y.; Zhao, Y. Bifurcation analysis of a delay-induced predator–prey model with Allee effect and prey group defense. Int. J. Bifurc. Chaos 2021, 31, 2150158. [Google Scholar] [CrossRef]
- Ye, Y.; Zhao, Y.; Zhou, J. Promotion of cooperation mechanism on the stability of delay-induced host-generalist parasitoid model. Chaos Solitons Fractals 2022, 165, 112882. [Google Scholar] [CrossRef]
- Li, D.; Liu, H.; Han, X.; Lin, X.; Wei, Y. Stability and Bifurcation Analysis of Bazykin’s Model with Holling I Functional Response and Allee Effect. Int. J. Bifurc. Chaos 2022, 32, 2250248. [Google Scholar] [CrossRef]
- Li, D.; Liu, H.; Zhang, H.; Ma, M.; Ye, Y.; Wei, Y. Bifurcation Analysis in a predator–prey Model with an Allee Effect and a Delayed Mechanism. Acta Math. Sci. 2023, 43, 1415–1438. [Google Scholar] [CrossRef]
- Turing, A. The Chemical Basis of Morphogenesis. Philos. Trans. R. Soc. Lond. Ser. B 1952, 237, 37–72. [Google Scholar] [CrossRef]
- Rosenzweig, M.L.; MacArthur, R.H. Graphical representation and stability conditions of predator–prey interactions. Am. Nat. 1963, 97, 209–223. [Google Scholar] [CrossRef]
- Zhang, T.; Zang, H. Delay-induced Turing instability in reaction-diffusion equations. Phys. Rev. E 2014, 90, 052908. [Google Scholar] [CrossRef]
- Asllani, M.; Challenger, J.D.; Pavone, F.S.; Sacconi, L.; Fanelli, D. The theory of pattern formation on directed networks. Nat. Commun. 2014, 5, 4517. [Google Scholar] [CrossRef]
- Asllani, M.; Busiello, D.M.; Carletti, T.; Fanelli, D.; Planchon, G. Turing patterns in multiplex networks. Phys. Rev. E 2014, 90, 042814. [Google Scholar] [CrossRef]
- Kouvaris, N.E.; Hata, S.; Guilera, A.D. Pattern formation in multiplex networks. Sci. Rep. 2015, 5, 10840. [Google Scholar] [CrossRef]
- Petit, J.; Asllani, M.; Fanelli, D.; Lauwens, B.; Carletti, T. Pattern formation in a two-component reaction–diffusion system with delayed processes on a network. Phys. A Stat. Mech. Its Appl. 2016, 462, 230–249. [Google Scholar] [CrossRef]
- Petit, J.; Lauwens, B.; Fanelli, D.; Carletti, T. Theory of Turing patterns on time varying networks. Phys. Rev. Lett. 2017, 119, 148301. [Google Scholar] [CrossRef]
- Tian, C.; Ruan, S. Pattern formation and synchronism in an allelopathic plankton model with delay in a network. SIAM J. Appl. Dyn. Syst. 2019, 18, 531–557. [Google Scholar] [CrossRef]
- Muolo, R.; Asllani, M.; Fanelli, D.; Maini, P.K.; Carletti, T. Patterns of non-normality in networked systems. J. Theor. Biol. 2019, 480, 81–91. [Google Scholar] [CrossRef] [PubMed]
- Liu, Z.; Tian, C. A weighted networked SIRS epidemic model. J. Differ. Equ. 2020, 269, 10995–11019. [Google Scholar] [CrossRef]
- Liu, Z.; Tian, C.; Ruan, S. On a network model of two competitors with applications to the invasion and competition of Aedes albopictus and Aedes aegypti mosquitoes in the United States. SIAM J. Appl. Math. 2020, 80, 929–950. [Google Scholar] [CrossRef]
- Tian, C.; Liu, Z.; Ruan, S. Asymptotic and transient dynamics of SEIR epidemic models on weighted networks. Eur. J. Appl. Math. 2022, 34, 238–261. [Google Scholar] [CrossRef]
- Muolo, R.; Gallo, L.; Latora, V.; Frasca, M.; Carletti, T. Turing patterns in systems with high-order interactions. Chaos Solitons Fractals 2023, 166, 112912. [Google Scholar] [CrossRef]
- Fernandes, L.D.; De Aguiar, M. Turing patterns and apparent competition in predator–prey food webs on networks. Phys. Rev. E 2012, 86, 056203. [Google Scholar] [CrossRef]
- Chang, L.; Liu, C.; Sun, G.; Wang, Z.; Jin, Z. Delay-induced patterns in a predator–prey model on complex networks with diffusion. New J. Phys. 2019, 21, 073035. [Google Scholar] [CrossRef]
- Gao, S.; Chang, L.; Wang, X.; Liu, C.; Li, X.; Wang, Z. Cross-diffusion on multiplex networks. New J. Phys. 2020, 22, 053047. [Google Scholar] [CrossRef]
- Gan, W.; Zhu, P.; Liu, Z.; Tian, C. Delay-driven instability and ecological control in a food-limited population networked system. Nonlinear Dyn. 2020, 100, 4031–4044. [Google Scholar] [CrossRef]
- Chang, L.; Duan, M.; Sun, G.; Jin, Z. Cross-diffusion-induced patterns in an SIR epidemic model on complex networks. Chaos Interdiscip. J. Nonlinear Sci. 2020, 30, 013147. [Google Scholar] [CrossRef]
- Liu, C.; Chang, L.; Huang, Y.; Wang, Z. Turing patterns in a predator–prey model on complex networks. Nonlinear Dyn. 2020, 99, 3313–3322. [Google Scholar] [CrossRef]
- Wang, X.; Song, Z.; Li, Z.; Chang, L.; Wang, Z. Delay-induced patterns in a reaction–diffusion system on complex networks. New J. Phys. 2021, 23, 073022. [Google Scholar] [CrossRef]
- Chang, L.; Gao, S.; Wang, Z. Optimal control of pattern formations for an SIR reaction–diffusion epidemic model. J. Theor. Biol. 2022, 536, 111003. [Google Scholar] [CrossRef]
- Liu, C.; Gao, S.; Song, M.; Bai, Y.; Chang, L.; Wang, Z. Optimal control of the reaction–diffusion process on directed networks. Chaos Interdiscip. J. Nonlinear Sci. 2022, 32, 063115. [Google Scholar] [CrossRef] [PubMed]
- Gao, S.; Chang, L.; Romić, I.; Wang, Z.; Jusup, M.; Holme, P. Optimal control of networked reaction–diffusion systems. J. R. Soc. Interface 2022, 19, 20210739. [Google Scholar] [CrossRef]
- Hu, J.; Zhu, L. Turing pattern analysis of a reaction-diffusion rumor propagation system with time delay in both network and non-network environments. Chaos Solitons Fractals 2021, 153, 111542. [Google Scholar] [CrossRef]
- Zhou, J.; Zhao, Y.; Ye, Y.; Bao, Y. Bifurcation Analysis of a Fractional-Order Simplicial SIRS System Induced by Double Delays. Int. J. Bifurc. Chaos 2022, 32, 2250068. [Google Scholar] [CrossRef]
- Zhou, J.; Zhao, Y.; Ye, Y. Complex dynamics and control strategies of SEIR heterogeneous network model with saturated treatment. Phys. A Stat. Mech. Its Appl. 2022, 608, 128287. [Google Scholar] [CrossRef]
- Zhu, L.; He, L. Pattern dynamics analysis and parameter identification of time delay-driven rumor propagation model based on complex networks. Nonlinear Dyn. 2022, 110, 1935–1957. [Google Scholar] [CrossRef]
- Zheng, Q.; Shen, J.; Xu, Y. Turing instability in the reaction-diffusion network. Phys. Rev. E 2020, 102, 062215. [Google Scholar] [CrossRef] [PubMed]
- Zheng, Q.; Shen, J.; Zhao, Y.; Zhou, L.; Guan, L. Turing instability in the fractional-order system with random network. Int. J. Mod. Phys. B 2022, 36, 2250234. [Google Scholar] [CrossRef]
- Zheng, Q.; Shen, J.; Zhang, R.; Guan, L.; Xu, Y. Spatiotemporal Patterns in a General Networked Hindmarsh-Rose Model. Front. Physiol. 2022, 13, 936982. [Google Scholar] [CrossRef]
- Ma, X.; Shen, S.; Zhu, L. Complex dynamic analysis of a reaction-diffusion network information propagation model with non-smooth control. Inf. Sci. 2023, 622, 1141–1161. [Google Scholar] [CrossRef]
- Xie, Y.; Wang, Z. Transmission dynamics, global stability and control strategies of a modified SIS epidemic model on complex networks with an infective medium. Math. Comput. Simul. 2021, 188, 23–34. [Google Scholar] [CrossRef]
- Wang, X.; Wang, Z. Bifurcation and propagation dynamics of a discrete pair SIS epidemic model on networks with correlation coefficient. Appl. Math. Comput. 2022, 435, 127477. [Google Scholar] [CrossRef]
- Li, D.; Song, W.; Liu, J. Complex Network Evolution Model Based on Turing Pattern Dynamics. IEEE Trans. Pattern Anal. Mach. Intell. 2023, 45, 4229–4244. [Google Scholar] [CrossRef]
- Gao, S.; Chang, L.; Perc, M.; Wang, Z. Turing patterns in simplicial complexes. Phys. Rev. E 2023, 107, 014216. [Google Scholar] [CrossRef]
- Song, M.; Gao, S.; Liu, C.; Bai, Y.; Zhang, L.; Xie, B.; Chang, L. Cross-diffusion induced Turing patterns on multiplex networks of a predator–prey model. Chaos Solitons Fractals 2023, 168, 113131. [Google Scholar] [CrossRef]
- Xue, L.; Zhang, K.; Wang, H. Long-Term Forecast of HIV/AIDS Epidemic in China with Fear Effect and 90–90-90 Strategies. Bull. Math. Biol. 2022, 84, 132. [Google Scholar] [CrossRef]
- Zhou, J.; Ye, Y.; Arenas, A.; Gómez, S.; Zhao, Y. Pattern formation and bifurcation analysis of delay induced fractional-order epidemic spreading on networks. Chaos Solitons Fractals 2023, 174, 113805. [Google Scholar] [CrossRef]
- Erdos, P.; Rényi, A. On the evolution of random graphs. Publ. Math. Inst. Hung. Acad. Sci 1960, 5, 17–60. [Google Scholar]
- Barabási, A.L.; Albert, R. Emergence of scaling in random networks. Science 1999, 286, 509–512. [Google Scholar] [CrossRef] [PubMed]
- Ye, Y.; Zhou, J. Pattern formation in a predator–prey model with Allee effect and hyperbolic mortality on networked and non-networked environments. arXiv 2023, arXiv:2306.11818. [Google Scholar]
- Othmer, H.G.; Scriven, L. Instability and dynamic pattern in cellular networks. J. Theor. Biol. 1971, 32, 507–537. [Google Scholar] [CrossRef] [PubMed]
- Ye, Y.; Zhou, J.; Zhao, Y. Pattern Formation in Reaction-Diffusion Information Propagation Model on Multiplex Simplicial Complexes; Springer: Berlin/Heidelberg, Germany, 2023. [Google Scholar] [CrossRef]












| Parameter | Description |
|---|---|
| The prey population occupies every node index i in the network | |
| The predator population occupies every node index i in the network | |
| The self-diffusion rate of prey population | |
| The self-diffusion rate of predator population | |
| The ratio of intrinsic growth rate to predator birth rate | |
| A | The weak Allee effect constant |
| The ratio of environmental capacity to half-saturation prey density | |
| e | The coefficients of light attenuation by water |
| The coefficients of light attenuation by self-shading | |
| The death rate of the predator population | |
| The elements in the network Laplacian matrix |
Disclaimer/Publisher’s Note: The statements, opinions and data contained in all publications are solely those of the individual author(s) and contributor(s) and not of MDPI and/or the editor(s). MDPI and/or the editor(s) disclaim responsibility for any injury to people or property resulting from any ideas, methods, instructions or products referred to in the content. |
© 2023 by the authors. Licensee MDPI, Basel, Switzerland. This article is an open access article distributed under the terms and conditions of the Creative Commons Attribution (CC BY) license (https://creativecommons.org/licenses/by/4.0/).
Share and Cite
Shi, L.; Zhou, J.; Ye, Y. Pattern Formation in a Predator–Prey Model with Allee Effect and Hyperbolic Mortality on Multiplex Networks. Mathematics 2023, 11, 3339. https://doi.org/10.3390/math11153339
Shi L, Zhou J, Ye Y. Pattern Formation in a Predator–Prey Model with Allee Effect and Hyperbolic Mortality on Multiplex Networks. Mathematics. 2023; 11(15):3339. https://doi.org/10.3390/math11153339
Chicago/Turabian StyleShi, Lei, Jiaying Zhou, and Yong Ye. 2023. "Pattern Formation in a Predator–Prey Model with Allee Effect and Hyperbolic Mortality on Multiplex Networks" Mathematics 11, no. 15: 3339. https://doi.org/10.3390/math11153339
APA StyleShi, L., Zhou, J., & Ye, Y. (2023). Pattern Formation in a Predator–Prey Model with Allee Effect and Hyperbolic Mortality on Multiplex Networks. Mathematics, 11(15), 3339. https://doi.org/10.3390/math11153339

