Abstract
At complex industrial sites, the high number of large consumers that make the technological process chain requires direct supply from the main high-voltage grid. Often, for operational flexibility and redundancy, the main external supply is complemented with small local generation units. When a contingency occurs in the grid and the main supply is cut off, the local generators are used to keep in operation the critical consumers until the safe shutdown of the entire process can be achieved. In these scenarios, in order to keep the balance between local generation and consumption, the classic approach is to use under-frequency load-shedding schemes. This paper proposes a new load-shedding algorithm that uses particle swarm optimization and forecasted load data to provide a low-cost alternative to under-frequency methods. The algorithm is built using the requirements and input data provided by a real industrial site from Romania. The results show that local generation and critical consumption can be kept in stable operation for the time interval required for the safe shutdown of the running processes.
    Keywords:
                                                                    load shedding;                    industrial critical loads;                    particle swarm optimization;                    multistage algorithm        MSC:
                37M05
            1. Introduction
The continuity of supply is a main requirement at large industrial sites. Complex industrial processes service a high number of electrical consumers with different power ratings. A critical requirement for preserving the stability of the electricity supply network that ensures the operation of the technological process is to keep the balance between the external supply and local generation on one side and the aggregated local consumption on the other. When a contingency or blackout occurs in the external network that provides the main supply, the technological process must be switched to operate in islanded configuration, with the fast restoration of equilibrium between supply and demand. The failure to achieve this operating state can result in severe unwanted consequences such as loss of system stability, costly equipment damage in the production line, loss of productivity, and, in extreme cases, danger to human life [].
To achieve stable operation in islanded mode, load-shedding procedures are implemented at the site []. The most common approach is to use the under-frequency load-shedding (UFLS) scheme []. When the main supply is cut off, the difference between the high consumption and small local generation leads to a significant frequency drop. The frequency variation is detected using the load-shedding system that sends commands to relays installed at each consumer, and sequential disconnection is performed. The selectivity of the protection is time-based, with priorities determined by the process manager.
In the literature, the load-shedding problem for the islanded operation of electricity supply is amply studied. Consequently, several classifications of the existing approaches were considered.
Based on the way the load is shed, there are []: static methods, which curtail fixed amounts of load at each stage, and dynamic methods, in which the amount of load disconnected at each stage is computed based on the magnitude of the disturbance and can vary. Static methods are simpler to apply and require a higher number of smaller steps, while dynamic methods allow taking into consideration the amplitude of the disturbance (higher amounts of loads disconnected when the imbalance is high, which reduce progressively when the imbalance is reduced). Dynamic (adaptive) methods are further divided by [] into semi-adaptive and adaptive methods [].
The load variation influences both frequency and voltage in an electrical system, and static and dynamic methods can differ based on the electrical parameter monitored for LS. From this perspective, LS methods can be classified into under-frequency load shedding (UFLS) [] and under-voltage load shedding (UVLS) []. The recent literature shows possibilities of combining these two methods for achieving improved results [,].
The method used for solving the problem further differentiates existing LS methods into three categories: classic, optimization, and miscellaneous []. Chronologically, the first methods used classic algorithms based on the mathematical modeling of system components and optimization algorithms. Examples are the system frequency response (SFR) model [], which replaces the synchronous machines from a large system with one equivalent machine. In [], consecutive inflection points on the frequency curve are used to estimate the rate of change of frequency (RoCoF) and provide an accurate ULFS. Paper [] uses a polynomial function and real measurements to predict frequency evolution for ULFS. A mixed-integer linear programming (MILP) optimization algorithm is used in [] to minimize the load shed. Reactive power margins of the buses are computed in [] to determine reactive margin factors used to set up ULFS. In [], load flow calculations and Monte Carlo simulations are used to preserve the high-priority loads in islanded microgrids.
Optimization techniques based on intelligent computation algorithms are more recently preferred for load-shedding applications. Metaheuristic algorithms are used frequently for this purpose, often in hybridized approaches. In recent work, [] uses the Kruskal and Genetic algorithms for achieving coordination between the optimal reconfiguration and load shedding coordination in radial electricity distribution systems. Paper [] solve the problem regarding the optimal operation of UFLS relays with particle swarm optimization (PSO) and bacterial foraging (BF) as a constrained optimization problem. The authors of [] use the PSO algorithm to minimize the shed load and frequency drop in contingency scenarios occurring in an offshore islanded power system. Shed load minimization and improved voltage profile in distribution networks with integrated distributed generation (DG) are obtained in [] using the PSO and firefly optimization algorithms and in [], with the chaotic slime algorithm. Security operation margins for both loading and voltage are considered in [], and the optimization problem of optimal LS is solved with the PSO algorithm. The SFR model is used in [] to design a multi-stage UFLS scheme, optimized with the imperialist competitive algorithm. Paper [] proposes a fuzzy logic-based algorithm for increasing the performance of UFLS by reducing the number of load-shedding actions and the number of parameters that require settings.
A third category of LS approaches uses various software and hardware tools to improve the classic UVLS and UFLS. In [], the authors create a local auction-based market for load shedding in microgrids with IoT capabilities. The Modelica programming language was used in [] to build a detailed model of a lignite power plant for simulating various operating scenarios and finding the optimal LS solutions. A voluntary load-shedding scheme for an IoT-enabled campus site with PV and fossil generation was proposed in []. An adaptive UFLS scheme that uses real-time PMU measurements from a wide area monitoring system and SCADA/EMS data is developed in [].
A synthetic representation of the LS methods classification detailed above is presented in Figure 1.
 
      
    
    Figure 1.
      Overview of load shedding approaches from the literature.
  
The algorithm proposed in this paper draws from the experience of a large industrial site in Romania and aims to respond to its current safety necessities, which require an upgrade to its LS system. Currently, the system comprises a number of consumers supplied mainly from the national grid, complemented with a small amount of local generation installed for improving the energy efficiency of the site. The site uses a classic UFLS, in which each essential piece of equipment from the running technological process must be equipped with its own individual under-frequency relay, whose time setting must be set manually by the site operator. Furthermore, the UFLS has no automation to detect the actual state of the circuit breaker for the consumers that need to be disconnected in case of an external supply blackout. The relays were installed in the 1970s, and the system uses technology from the respective era, which was only partially upgraded with newer numerical relays. The islanding system used for the entire site was sized for a larger technological process and a higher electricity demand existing at the time of its commissioning, which no longer meets the operational fingerprint of the site.
On the other hand, the electricity supply network for the site was upgraded in the last 10 years with a measurement and monitoring system based on the Ignition SCADA solution [], which is capable of providing measurement data with sampling intervals of 1 s.
This paper proposes a new LS algorithm aimed at a critical section of the entire supply system at the site, which would replace the old UFLS and allow for fast and accurate islanding when a blackout in the main grid supply occurs. The algorithm is built upon the specifications required by the technological process at the large industrial site and uses as input data the measurements obtained with its existing SCADA system. In order to comply with its desired functions and upgrade the old existing LS system, the new algorithm is designed to provide a fast-islanding solution, in which the local consumption must be balanced with the existing local generation in order to avoid generator loss of synchronism in blackout conditions until the technological process is shut down securely. For this, the system, according to the requirements of the industrial site, must provide the following functions:
- Manage a variable number of local generation units, including critical and non-critical consumers, with measurements stored using the SCADA system.
- Ensure the supply for critical consumers during a given time window by balancing local generation and critical consumption using a set of non-critical consumers until balance with the local generators is achieved.
- Provide a multistage non-critical consumption and local generation shutdown if a feasible solution cannot be found for a single shutdown sequence.
- The balance between the local generation and remaining consumers will be achieved with a maximum preset percent deviation until the safe shutdown of the technological process is achieved, preventing at the same time the loss of synchronism in the islanded system.
- The LS algorithm must be able to provide a continuous sequence of feasible shutdown scenarios (islanding solutions) that comply with the constraints listed above, adapted to the variable daily load profile of the technological process.
Each islanding solution identified with the algorithm uses a set of non-critical consumers that will be kept in operation so that, together with the critical consumers for which a safe shutdown must be ensured, they best match the profile of the existing local generation in the absence of the main supply source (the external system). The non-critical consumers are chosen from a larger pool of available loads that comprise the industrial process in operation at the time of the blackout.
For solving this type of problem, a metaheuristic approach was preferred by the authors, namely the particle swarm optimization (PSO) algorithm. The PSO was chosen because it allows for a simple numerical implementation of the problem and solution, which is accessible with minimal training of the personnel operating the technical process. The algorithm does not require the tuning of input parameters and can be implemented in the control system currently available at the site using the existing computing hardware.
The algorithm presented in this work takes into account practices from the recent literature summarized above and combines them with the requirements of the industrial site operator and the specifics of the technological process on which it is intended to be built. Table 1 presents a comparison between the features of the proposed approach and the main findings from the latest research available in the field.
 
       
    
    Table 1.
    The differences in and advantages and limitations of the proposed methodology vs. the literature.
  
2. Materials and Methods
A simplified supply and demand diagram showing the industrial site for which the AILS algorithm was developed is presented in Figure 2. The electricity supply for the technological process has two components: the main connection(s) to the grid or regional power system, used as the default source, (Gs, s = 1…S) and a number of small local generators (Gloc, loc = 1…NG), which are operated continuously in parallel with the main infeed, when they account for less than 20% of the required consumption, and are switched to main source when islanding is necessary.
 
      
    
    Figure 2.
      A supply and demand diagram showing the industrial site considered in this study, where Pn, n = 1…NCC are non-critical consumers that can be disconnected in islanded operation; Pc, c = 1…CC are critical consumers that must be kept in operation until the system shutdown; Pl, l = 1…LC are large consumers, automatically disconnected when the external supply sources Gs, s = 1…S are in a blackout; and Gloc, loc = 1…NG are the local generators used to supply critical consumption.
  
The local consumers (pieces of equipment that are running as part of the technological process) can be divided into three categories:
	  
- Non-critical consumers (Pn, n = 1…NCC), which can be switched off or used as a balancing load for the local generation in the case of main feed blackout/islanding.
- Critical consumers (Pc, c = 1…CC), which need to be kept in operation during islanded operating conditions, to allow for the safe shutdown of the entire technological process.
- Large consumers (Pl, l = 1…LC), which will be disconnected automatically when blackout/islanding occurs.
In Table 1, the definitions for the acronyms are MIP—mixed integer programming; MSLD—multi-step load shedding; CSMA—chaotic slime mold algorithm; ICA—imperialist competitive algorithm; FL—fuzzy logic; ALSL—adaptive load-shedding logic; LP—load profile; GOA—grasshopper optimization algorithm; CSMA—chaotic slime mold algorithm; ABC—artificial bee colony; DE—differential evolution.
For the category of non-critical consumers, any load Pn from the local site can be placed that complies with the constraint:
      
        
      
      
      
      
    
      i.e., its demand does not exceed the local generation in operation, which is not needed to supply critical loads. A supplementary condition is that the respective load is not critical.
If this constraint is fulfilled, the consumer n can serve as a candidate for pairing with the critical consumption to balance the output of any local generator.
A large consumer was defined in this study as any local equipment that has a measured demand larger than the sum of local generation, as in Equation (2). Such a consumer cannot be used in any scenario to balance the local generation. These consumers are detected and removed automatically from the list of non-critical consumers to minimize the running time of the algorithm.
      
      
        
      
      
      
      
    
2.1. Input Data for the Problem
For the industrial site that was used in this study, the measurement profiles of the generation and load components described above are plotted in Figure 3 for a period of 24 h and a sampling rate of 1 s. The data in this figure show that the supply is provided mainly using the external grid. The aggregated demand from Figure 3 can be further differentiated into large, critical, and non-critical components, as seen in Figure 4. As this figure shows, the aggregated non-critical demand is significantly larger than the aggregated critical load and local generation combined. The individual non-critical consumers, Pn from (1), have various demand patterns, depicted in Figure 5, that allow the choice of multiple combinations to match the local generation and critical consumers as closely as possible. In Figure 4 and Figure 5, it can be seen that any non-critical consumer used to balance the local generation has a demand that is lower than the aggregated local generation (16 MW demand and 20 MW generation). Most non-critical consumers have, however, a much lower demand of under 2 MW during the time window considered.
 
      
    
    Figure 3.
      The supply and demand profiles at the industrial site for a period of a day. The active power profiles are measured in MW, with a time sampling of 1 s.
  
 
      
    
    Figure 4.
      Critical, non-critical, and large consumption at the industrial site. The active power profiles are measured in MW, with a time sampling of 1 s.
  
 
      
    
    Figure 5.
      Non-critical loads used to balance the local system in islanded operation. The active power profiles are measured in MW, with a time sampling of 1 s.
  
2.2. The Mathematical Representation of the Problem
During normal operation, the external and local supply is matched continuously to the sum of individual consumptions that constitute the operating technological process. This state can be written as:
      
        
      
      
      
      
    
The fluctuation in the local consumption is balanced in this case with the appropriate variation in the grid infeed, represented with pale green in Figure 3. In Equation (3) and Figure 3, Figure 4 and Figure 5, the power losses in the local system are omitted, as they do not exceed 1% of the external supply.
If the external supply is interrupted due to a contingency or blackout in the grid, the site must switch to islanded operation mode until the technological process can be shut down in safe conditions. If the external infeed is cut, the only source of power is provided by the local generation. To avoid the loss of stability in the local system due to the frequency drop caused by the mismatch between large consumption and limited generation, the first step is to automatically disconnect the large consumption () from (3), represented with black in Figure 4, then to achieve a balance between the local generation () (green in Figure 3 and Figure 4) and non-interruptible consumption ( (red in Figure 4) and a number of interruptible consumers () (blue in Figure 4), where usually NC < NCC.
In this case, Equation (3) will be rewritten as:
      
        
      
      
      
      
    
Equation (4) allows the computation of the fitness function in the algorithm, FF, as:
      
        
      
      
      
      
    
        where mse is the half mean-squared error.
The objective function computed using the AILS algorithm is computed following several goals, which can be modeled as constraints:
- Maximize the time interval (top) in which the islanded network operates with the same number of local generators (and the same non-critical consumers kept in operation).
- For each time interval top, ensure a balance between the consumption (critical and non-critical loads) remaining in the islanded network and the available generation during the entire time interval required to stop the technological process (tstop), avoiding the loss of synchronism at the local generators.
- Find the optimal multistage disconnection for the non-critical consumers if a loss of synchronism is unavoidable during the necessary time of shutdown of the technical process with the initial state of the local generators (top < tstop). In this case, during each top interval, the local generation is reduced sequentially until tstop is reached.
A flowchart showing the proposed AILS algorithm is presented in Figure 6. The resulting operational stages of the islanding are illustrated in Figure 7 for the diagram exemplified in Figure 2. A number of non-critical consumers are disconnected at each stage to achieve a consumption–local generation balance according to Equation (4).
 
      
    
    Figure 6.
      A flowchart showing the AILS algorithm.
  
 
      
    
    Figure 7.
      The disconnection sequence for non-critical consumers and local generation in islanded operation.
  
The constraints for avoiding the loss of synchronism at the local generators are determined using the physical characteristics of the generators. If diff denotes the difference between the left and right sides of Equation (4), then the conditions imposed by the site operator are as follows:
      
        
      
      
      
      
    
        where Δt1 is a continuous time interval checked for the entire islanded mode operation interval.
The data presented in Figure 3, Figure 4 and Figure 5 and used as inputs in the algorithm have two important characteristics specific to the operation of the industrial site:
- Each profile can represent a single piece of equipment or an aggregated measurement of several receptors supplied from the same connection point (motors used for water pumping, transformers supplying internal services, exhausting motors). In this case, the number of receptors and their power demand can change in time, according to the output required from the technological process. Thus, the algorithm uses real measurements for representing loads instead of typical load profiles, which is an approach often used in the literature [].
- Only active power profiles are used in this study. This approach is preferred because the reactive power output is changed in the local system in real time by modifying the excitation current in the local generators, and this task can be completed independently of the active power control, which requires a lengthier time interval.
2.3. The Implementation of the Problem Using the PSO Algorithm
The particle swarm optimization (PSO) algorithm is a well-known population-based metaheuristic, first proposed in []. If a solution to an optimization problem is described using an alphanumeric vector, here called a ‘particle’, then PSO is capable of searching for the optimal result in each dimension of the solution (element of the vector) based on the principle of shifting its position in the search space with a variable velocity. The velocity of a particle is updated using its personal experience and the global experience of the swarm, represented using the past best position of the particle and the position of the ‘leader’ particle. The process is iterative. In each iteration it, a particle i from the population first changes its velocity according to []:
      
        
      
      
      
      
    
In (7), w is an inertia factor that decreases during the iterative process from a higher value (near unit) to progressively smaller values, to gradually change the character of the search from exploration at the beginning (big steps in the search space) to exploitation (thorough search of the space near the best-found solution) near the end of the search. PC and GC are the personal experience component and global experience component, which have similar expressions:
      
        
      
      
      
      
    
In (8),  is the position of the current particle before it is changed in the current iteration;  is the best-known position of particle i, up to iteration it;  is the best position identified up to iteration it for the entire population (swarm); c1 and c2 are numerical constants equal to 2; and random is a randomly generated sub-unit vector, with the same number of dimensions as any particle .
The new velocity is used to update the position of the particle:
      
        
      
      
      
      
    
For each dimension in a particle, the position update mechanism can be described graphically as in Figure 8 [].
 
      
    
    Figure 8.
      The particle movement in PSO.
  
In the AILS algorithm, this optimization mechanism is applied to particles that denote the non-critical consumers that will remain connected at the islanded site to balance the local generation. Each particle has a number of dimensions equal to the number of non-critical consumers available for disconnection. On each dimension, the value can be 0 (the consumer will be disconnected at the blackout time), 1, 2, or 3 (the consumer is kept connected and in operation when three, two, or one local generators are in operation, respectively, as described by Figure 7). A typical example is shown in Figure 9.
 
      
    
    Figure 9.
      A solution used by the AILS algorithm.
  
The disconnection of each local generator is triggered by the value of top, which is determined dynamically based on the load pattern in the technological process at the time of the blackout and must ensure the safe islanded operation of the technological process until complete shutdown.
The fitness function for each solution is computed by aggregating a load of each consumer with a corresponding value of 1, 2, or 3 in the particle, which will determine the factor  from (4). Then, (4) and (5) are computed, determining the difference between the total generation and consumption in the islanded network and the fitness function. A valid solution must comply with the constraint given by Equation (6). The optimal solution is associated with the lowest value of the fitness function.
When computing the velocity change from Equations (7) and (8), the presence of the random vectors will generate velocity increments or decrements that are non-integer numbers. Thus, each solution must undergo a validation procedure to obtain proper integer values in the range of 0, 1, 2, and 3. After applying the position change as in Equation (9), the resulting particle is rounded element-by-element to the closest integer.
3. Results
3.1. Input Data for the Algorithm
The AILS algorithm was applied to a real industrial site in Romania. Its simplified one-line diagram is presented in Figure 6, and its main input data are given in Table 2. 
 
       
    
    Table 2.
    The basic information on the industrial site used in this case study.
  
The detailed secondary substation uses three 40 MVA HV/MV transformers that are used to supply the local consumption (critical and non-critical) at the voltage of 6 kV. They also host two local generators (TG1 and TG2) used in normal operation conditions for increasing the supply efficiency of the technological process. A third generator (TG3) is connected to SCB2 through a secondary substation. When a blackout occurs in the external supply, the generators are essential for keeping the critical consumers online until a safe shutdown is possible. In Figure 10, they are represented with green, and the step-up transformer used at SCB2 to connect generator 3 in the system was omitted. The same coloring scheme was used to represent the load and generation profile of the site, depicted in Figure 3, Figure 4 and Figure 5, and used in this study.
 
      
    
    Figure 10.
      A one-line diagram showing the industrial site used in this study.
  
3.2. The Determination of top
When a blackout occurs in the external grid and the main supply source for the industrial site is cut off, the balance between local consumption and generation must be achieved to avoid the loss of synchronization and system stability until the technological process and, especially, the critical consumers can be shut down safely. The first step is to disconnect the large consumers, a step which is ensured using site automation. As Figure 4 shows, the aggregated local generation (18–20 MW) is much higher than the total critical consumption (2–3 MW). To achieve balance in islanded operation, as written in Equation (4), without losing synchronism, according to constraint (6), a number of non-critical consumers must be kept in operation while shutting down all the others. The ideal scenario for the energy manager of the site is to keep on a fixed number of non-critical consumers until the shutdown is complete (top ≥ tstop). However, the simulations performed for the site using several blackout inception times showed that this condition is rarely achievable, and usually, an operational islanded load configuration is viable for a time top shorter than the system shutdown time tstop. Thus, multistage load-generation configurations are required for the various operating conditions that can occur daily in the local system. The solution chosen by the site operator was to gradually allow the disconnection of local generators and an appropriate adjustment of remaining consumption, under constraint (6).
Using the load and generation patterns depicted in Figure 3, Figure 4 and Figure 5 as a reference, a study was performed in [] to determine the maximum top achievable for the site. The value of tstop was set by the site operator at 30 min. Using random solutions generated with a Monte Carlo method, the time top was set from 2 to 30 min, with a number of tries NT of 200 and a maximum running time for finding a viable solution of 20 s. The objective was to find a solution in under 4 s to avoid the loss of synchronism. For a given top, if a solution was found for each of the 200 tries in under 4 s, then it was considered that the respective time interval top had 100% confidence. For this study, the site operator chose a degree of confidence of 95%. The results for the blackout inception time of 8:00 AM are presented in Table 3.
 
       
    
    Table 3.
    Determining the actual top for the industrial site.
  
Table 3 uses the following notations:
- —the number of tries executed for each top;
- —the minimum time required to obtain the first valid LS solution over 200 tries;
- —the average time required to obtain the first valid LS solution over 200 tries;
- —the number of tries in which at least one solution was found in under 4 s;
- —the highest number of LS solutions found in under 4 s in one try;
- —the average number of LS solutions found in under 4 s in one try;
- —the number of tries in which at least one LS solution was identified in the reference interval tstop;
- —the maximum number of LS solutions found in the reference interval tstop in one try;
- —the average number of LS solutions found in the reference interval tstop in one try;
- —the coefficient of confidence to find an LS solution in .
The data from Table 3 show that it is possible to find a valid solution for any top considered in this study. The highest and average number of solutions found for top = 30 min, which is equal to tstop, were 3 and 2.660, respectively. As the variable  shows, for each of the 200 tries, at least one solution was found in the running interval of 20 s. However, if the 4 s running interval was enforced for the algorithm to guarantee the synchronism, finding a solution with a 95% degree of confidence was possible only for a maximum value of top = 12 min. This means that a unique islanding solution, with three local generators in operation for 30 min until the safe shutdown, while it exists, it is unlikely to be found in under 4 s, to avoid the loss of synchronism. The solution for two generators (corresponding to top = 15 min) also had an unacceptable degree of confidence. Thus, the results presented in this paper used a value of top=10 min, which splits the time tstop = 30 min into three equal subintervals. However, the algorithm offers the possibility to allow for unequal time intervals for operation with three, two, and one generator(s).
3.3. Algorithm Application
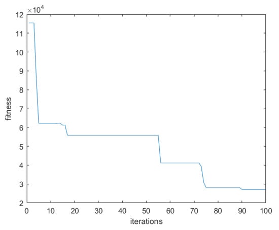
The algorithm was coded in MATLAB and was run using a Windows 11 PC workstation with 16 GB RAM and an Intel Core i7-9700 processor. The PSO algorithm was run for the blackout occurring at 8.00 AM, as used in Table 3, with a population of 30 individuals and 100 iterations. Figure 11 shows the evolution of the fitness function in the algorithm on a typical run, and Figure 12 depicts the result as the local load and generation profiles for the three stages of the islanded operation, as obtained from the optimal solution in Table 4.
 
      
    
    Figure 11.
      The evolution of the fitness function during a typical run of the algorithm.
  
 
      
    
    Figure 12.
      The local load and generation profiles during the three-stage islanded operation of the industrial site.
  
 
       
    
    Table 4.
    The optimal solution corresponding to the load/generation pattern from Figure 12.
  
The evolution of the fitness function from Figure 11 shows that there are multiple multistage islanding solutions possible for the same configuration of the technical process, and the optimization process is able to discover solutions that are significantly improved, as the fitness observed a 75% improvement over the iterative process. The optimal solution from Figure 12 shows a good match between the local generation and the aggregate load served at each stage of operation until shutdown.
In the optimal solution from Table 4, seven consumers (denoted with values of 0) are disconnected when the blackout occurs together with the large consumers. A second batch of consumers (four consumers denoted with a value of 3) will be disconnected after 10 min to allow the islanded operation with two generators, and the process is repeated with the consumers denoted with a value of 2 (eight consumers), to keep only one generator in operation. At tstop = 30 min, the remaining four consumers, denoted with a value of 1, are disconnected together with the last local generator and the critical loads, and the shutdown of the industrial process is completed. 
For the hardware configuration and algorithm setup stated above, the optimal solution was obtained in 26.5 s if an initial population of solutions existed.
4. Discussion
The results presented in Section 3 show one run of the algorithm for a specific blackout inception moment. The new AILS algorithm is intended to be used for a predictive approach that would ensure the safety of the technological process in a continuous manner. The algorithm needs to be run repeatedly in a 24 h period to provide viable islanding solutions at any moment of the day to prevent the loss of local generation synchronism and equipment damage. As Figure 12 shows, if a solution is found for a given interval of 30 min, it is valid for the next 10 min until a local generator must be shut down. Thus, the algorithm must be run sequentially with a sampling of 10 min to provide solutions that will cover all 24 hours in a day. 
The testing phase of the algorithm showed that the phase of generating the initial population for the PSO algorithm is time-consuming, averaging 170 s for a 30-sized population. However, coupled with the running time of 16–28 s for the algorithm itself, the total time needed for a complete run is well below the required 10 min interval. Thus, the algorithm can be run sequentially to cover the entire day, as shown in Figure 13.
 
      
    
    Figure 13.
      The proposed deployment sequence for the AILS algorithm.
  
One limitation of this study in its current stage of development is constraint (6), which considers allowing solutions if a maximum difference of 10% exists in any 10 s interval between the average of local generation and consumption. However, a supplemental condition must be enforced to prevent the local loss of synchronism so that in any interval of 4 s, the difference between the local generation and consumption does not exceed 5%. As Figure 12 shows, the existing constraints are sufficient to provide valid islanding solutions for most operating scenarios. This is a task for future research and is planned to be solved with one of the two following approaches, that, after the insight provided by the results obtained in this paper, need further investigation in collaboration with the energy manager of an industrial website.
First, the technological process is composed of equipment with known load patterns, and its operation is programmed in advance. Thus, knowing the timetable for the technological process, the input data needed for the algorithm, presented in Figure 4 and Figure 5, can be aggregated using the historical measurements stored using the SCADA system, and the valid particles needed for the AILS algorithm can be generated in advance.
Alternatively, to compensate for the difference between generation and consumption, the automated regulation of the local generators can be used to dynamically adjust the generation to match the demand and fulfill the constraint. This step requires the inclusion of additional constraints in the mathematical model for the optimization problem and is considered as a future development.
5. Conclusions
In this paper, a new algorithm was proposed for the problem of load shedding in industrial processes, which uses the particle swarm optimization metaheuristic to achieve a multi-stage process shutdown in islanded operation when the main supply for an industrial site is interrupted, and the local system relies on local generation to keep the critical process running until a safe shutdown is achieved. The specific feature of the algorithm is that it was developed for a specific practical case at a large industrial site, taking into account the existing infrastructure and latest monitoring and control upgrades made to the technological process. The algorithm divides the consumers into three categories: large, critical, and non-critical. The non-critical consumers are used to balance the local generation and the critical consumption with the main aims to:
- Maintain system synchronism until the shutdown (the critical and remaining non-critical load should continuously match the local generation).
- If a solution cannot be found for the entire time frame required for shutdown, then provide a multistage local generator shutdown and non-critical consumer shutdown.
- Provide a continuous sequence of islanded operation configuration for the entire period of a day to ensure system safety in each moment.
- Use a minimal amount of data and measurements existing in the SCADA system.
The performance of the algorithm, as shown using the results presented in the case study, shows promising capabilities for providing continuous islanded operating load configurations for the conditions in which the tests were run. However, there are some limitations that were revealed, which are the object of future research. One lies in the running time of the algorithm, which can generate a valid solution in approximately 3 min. Furthermore, the algorithm was tested only using MATLAB simulations, and the next step will be the creation of a laboratory prototype to test the actual implementation on a small scale. Following the results of this testing, solutions will be sought for achieving a full operational configuration. 
Author Contributions
Conceptualization, F.-C.B., O.I. and C.-M.N.; methodology, O.I. and R.-C.B.; software, O.I., F.-C.B. and B.-C.N.; validation, R.-C.B.; formal analysis, C.-M.N.; investigation, B.-C.N. and R.-C.B.; data curation, F.-C.B.; writing—original draft preparation, O.I. and F.-C.B.; writing—review and editing, C.-M.N.; project administration, F.-C.B.; funding acquisition, F.-C.B. and B.-C.N. All authors have read and agreed to the published version of the manuscript.
Funding
This research was funded by the national grant PN III PFE, project no. 27PFE/2021, COMPETE 2.0 (Gheorghe Asachi Technical University of Iasi), financed by the Romanian Government.
Data Availability Statement
The data presented in this study are available on request from the corresponding author. The data are not publicly available due to the privacy requirement of a third party industrial partner.
Acknowledgments
This paper was supported by Technical University “Gheorghe Asachi” from Iaşi (TUIASI), through the Project “Performance and excellence in postdoctoral research—2022”.
Conflicts of Interest
The authors declare no conflict of interest.
References
- Kirar, M.K. System Frequency Response Based Optimum Load Shedding for Industrial Power System. In Proceedings of the 2021 IEEE 2nd International Conference on Electrical Power and Energy Systems (ICEPES), Bhopal, India, 10–11 December 2021. [Google Scholar]
- Kim, M.-S.; Haider, R.; Cho, G.-J.; Kim, C.-H.; Won, C.-Y.; Chai, J.-S. Comprehensive Review of Islanding Detection Methods for Distributed Generation Systems. Energies 2019, 12, 837. [Google Scholar] [CrossRef]
- Rajamani, K.; Hambarde, U.K. Islanding and load shedding schemes for captive power plants. IEEE Trans. Power Deliv. 1999, 14, 805–809. [Google Scholar] [CrossRef]
- Zin, A.A.M.; Hafiz, H.M.; Wong, W. Static and dynamic under-frequency load shedding: A comparison. In Proceedings of the International Conference on Power System Technology, Singapore, 21–24 November 2004; Volume 1, pp. 941–945. [Google Scholar]
- Madiba, T.; Bansal, R.C.; Mbungu, N.T.; Bettayeb, M.; Naidoo, R.M.; Siti, M.W. Under-frequency load shedding of microgrid systems: A review. Int. J. Model. Simul. 2022, 42, 653–679. [Google Scholar] [CrossRef]
- Larik, R.M.; Mustafa, M.W.; Aman, M.N. A critical review of the state-of-art schemes for under voltage load shedding. Int. Trans. Electr. Energy Syst. 2019, 29, e2828. [Google Scholar] [CrossRef]
- Zhao, Y.; Yang, S.; Zhang, B.; Li, Y. Undervoltage and Underfrequency Combined Load Shedding Method. In Proceedings of the 2019 IEEE 8th International Conference on Advanced Power System Automation and Protection (APAP), Xi’an, China, 21–24 October 2019. [Google Scholar]
- De Nascimento, B.N.; de Souza, A.C.Z.; de Carvalho Costa, J.G.; Castilla, M. Load shedding scheme with under-frequency and under voltage corrective actions to supply high priority loads in islanded microgrids. IET Renew. Power Gener 2019, 13, 1981–1989. [Google Scholar] [CrossRef]
- Raghu, C.N.; Manjunatha, A. Assessing Effectiveness of Research for Load Shedding in Power System. Int. J. Electr. Comput. Eng. (IJECE) 2017, 7, 3235–3245. [Google Scholar]
- Anderson, P.M.; Mirheydar, M. A low-order system frequency response model. IEEE Trans. Power Syst. 1990, 5, 720–729. [Google Scholar] [CrossRef]
- Sun, M.; Liu, G.; Popov, M.; Terzija, V.; Azizi, S. Underfrequency Load Shedding Using Locally Estimated RoCoF of the Center of Inertia. IEEE Trans. Power Syst. 2021, 36, 4212–4222. [Google Scholar] [CrossRef]
- Potel, B.; Debusschere, V.; Cadoux, F.; Rudez, U. A Real-Time Adjustment of Conventional Under-Frequency Load Shedding Thresholds. IEEE Trans. Power Deliv. 2019, 34, 2272–2274. [Google Scholar] [CrossRef]
- Elyasichamazkoti, F.; Teimourzadeh, S. Secure Under Frequency Load Shedding Scheme with Consideration of Rate of Change of Frequency. In Proceedings of the 2021 IEEE Green Technologies Conference (GreenTech), Denver, CO, USA, 7–9 April 2021. [Google Scholar]
- Nahid-Al-Masood; Shazon, M.N.H.; Deeba, S.R.; Modak, S.R. A Frequency and Voltage Stability-Based Load Shedding Technique for Low Inertia Power Systems. IEEE Access 2021, 9, 78947–78961. [Google Scholar] [CrossRef]
- Wang, K.; Kang, L.; Yang, S. A Coordination Optimization Method for Load Shedding Considering Distribution Network Reconfiguration. Energies 2022, 15, 8178. [Google Scholar] [CrossRef]
- Awad, H.; Hafez, A. Optimal operation of under-frequency load shedding relays by hybrid optimization of particle swarm and bacterial foraging algorithms. Alex. Eng. J. 2022, 61, 763–774. [Google Scholar] [CrossRef]
- Hong, Y.-Y.; Hsiao, C.-Y. Event-Based Under-Frequency Load Shedding Scheme in a Standalone Power System. Energies 2021, 14, 5659. [Google Scholar] [CrossRef]
- Jallad, J.; Mekhilef, S.; Mokhlis, H.; Laghari, J.; Badran, O. Application of Hybrid Meta-Heuristic Techniques for Optimal Load Shedding Planning and Operation in an Islanded Distribution Network Integrated with Distributed Generation. Energies 2018, 11, 1134. [Google Scholar] [CrossRef]
- Abid, M.S.; Apon, H.J.; Ahmed, A.; Morshed, K.A. Chaotic slime mould optimization algorithm for optimal load-shedding in distribution system. Ain Shams Eng. J. 2022, 13, 101659. [Google Scholar] [CrossRef]
- Cruz, L.M.; Alvarez, D.L.; Al-Sumaiti, A.S.; Rivera, S. Load Curtailment Optimization Using the PSO Algorithm for Enhancing the Reliability of Distribution Networks. Energies 2020, 13, 3236. [Google Scholar] [CrossRef]
- Haes Alhelou, H.; Hamedani-Golshan, M.E.; Njenda, T.C.; Siano, P. Wide-Area Measurement System-Based Optimal Multi-Stage Under-Frequency Load-Shedding in Interconnected Smart Power Systems Using Evolutionary Computing Techniques. Appl. Sci. 2019, 9, 508. [Google Scholar] [CrossRef]
- Małkowski, R.; Nieznański, J. Underfrequency Load Shedding: An Innovative Algorithm Based on Fuzzy Logic. Energies 2020, 13, 1456. [Google Scholar] [CrossRef]
- Zaidi, B.H.; Ullah, I.; Alam, M.; Adebisi, B.; Azad, A.; Ansari, A.R.; Nawaz, R. Incentive Based Load Shedding Management in a Microgrid Using Combinatorial Auction with IoT Infrastructure. Sensors 2021, 21, 1935. [Google Scholar] [CrossRef]
- Prause, J.H.; Koltermann, J.; Meinke, S.; Holtz, D.; Hassel, E. Evaluation of the effects of a load shedding at a lignite power plant. Energy Sci. Eng. 2021, 9, 1263–1273. [Google Scholar] [CrossRef]
- Maritz, J. Optimized Energy Management Strategies for Campus Hybrid PV–Diesel Systems during Utility Load Shedding Events. Processes 2019, 7, 430. [Google Scholar] [CrossRef]
- Boussadia, F.; Belkhiat, S. A new adaptive underfrequency load shedding scheme to improve frequency stability in electric power system. J. Eur. Syst. Autom. 2021, 54, 263–271. [Google Scholar] [CrossRef]
- Nițulescu, I.-V.; Korodi, A. Supervisory Control and Data Acquisition Approach in Node-RED: Application and Discussions. IoT 2020, 1, 76–91. [Google Scholar] [CrossRef]
- Amusan, O.T.; Nwulu, N.I.; Gbadamosi, S.L. Identification of Weak Buses for Optimal Load Shedding Using Differential Evolution. Sustainability 2022, 14, 3146. [Google Scholar] [CrossRef]
- Elyasichamazkoti, F.; Teimourzadeh, S.; Aminifar, F. Optimal distribution of power grid under-frequency load shedding with security considerations. IEEE Trans. Power Syst. 2022, 37, 4110–4112. [Google Scholar] [CrossRef]
- Ahmadipour, M.; Othman, M.M.; Salam, Z.; Alrifaey, M.; Ridha, H.M.; Veerasamy, V. Optimal load shedding scheme using grasshopper optimization algorithm for islanded power system with distributed energy resources. Ain. Shams Eng. J. 2023, 14, 101835. [Google Scholar] [CrossRef]
- Mogaka, L.O.; Nyakoe, G.N.; Saulo, M.J. Power prioritization and load shedding in an island with RESs using ABC algorithm. J. Eng. 2020, 2020, 8131952. [Google Scholar] [CrossRef]
- Giannelos, S.; Jain, A.; Borozan, S.; Falugi, P.; Moreira, A.; Bhakar, R.; Mathur, J.; Strbac, G. Long-Term Expansion Planning of the Transmission Network in India under Multi-Dimensional Uncertainty. Energies 2021, 14, 7813. [Google Scholar] [CrossRef]
- Kennedy, J.; Eberhart, R. Particle swarm optimization. In Proceedings of the ICNN’95—International Conference on Neural Networks, Perth, WA, Australia, 27 November–1 December 1995; Institute of Electrical and Electronics Engineers (IEEE): Piscataway, NJ, USA, 2002. [Google Scholar]
- Miranda, V.; Fonseca, N. EPSO—Best-of-two-worlds meta-heuristic applied to power system problems. In Proceedings of the Congress on Evolutionary Computation (CEC), Honolulu, HI, USA, 12–17 May 2002; Volume 2, pp. 1080–1085. [Google Scholar] [CrossRef]
- Baiceanu, F.C.; Acsinte, C.F.; Ivanov, O.; Nemes, C.M.; Neagu, B.C. A Load Shedding Approach for Islanded Operation in Industrial Electrical Systems. In Proceedings of the 2022 14th International Conference on Electronics, Computers and Artificial Intelligence (ECAI), Pitesti, Romania, 30 June–1 July 2022. [Google Scholar]
| Disclaimer/Publisher’s Note: The statements, opinions and data contained in all publications are solely those of the individual author(s) and contributor(s) and not of MDPI and/or the editor(s). MDPI and/or the editor(s) disclaim responsibility for any injury to people or property resulting from any ideas, methods, instructions or products referred to in the content. | 
© 2023 by the authors. Licensee MDPI, Basel, Switzerland. This article is an open access article distributed under the terms and conditions of the Creative Commons Attribution (CC BY) license (https://creativecommons.org/licenses/by/4.0/).
