Next Article in Journal
An End-to-End Framework Based on Vision-Language Fusion for Remote Sensing Cross-Modal Text-Image Retrieval
Next Article in Special Issue
Equivalent-Input-Disturbance Based Robust Control Design for Fuzzy Semi-Markovian Jump Systems via the Proportional-Integral Observer Approach
Previous Article in Journal
On Queues with Working Vacation and Interdependence in Arrival and Service Processes
Previous Article in Special Issue
Finite-Time Synchronization of Quantized Markovian-Jump Time-Varying Delayed Neural Networks via an Event-Triggered Control Scheme under Actuator Saturation
 
 
Font Type:
Arial Georgia Verdana
Font Size:
Aa Aa Aa
Line Spacing:
Column Width:
Background:
Article

A Novel Fault-Tolerant Super-Twisting Control Technique for Chaos Stabilization in Fractional-Order Arch MEMS Resonators

by
Fawaz W. Alsaade
1 and
Mohammed S. Al-zahrani
2,*
1
Department of Computer Science, College of Computer Sciences and Information Technology, King Faisal University, Al-Ahsa 31982, Saudi Arabia
2
Department of Computer Networks and Communications, College of Computer Sciences and Information Technology, King Faisal University, Al-Ahsa 31982, Saudi Arabia
*
Author to whom correspondence should be addressed.
Mathematics 2023, 11(10), 2276; https://doi.org/10.3390/math11102276
Submission received: 13 April 2023 / Revised: 6 May 2023 / Accepted: 10 May 2023 / Published: 13 May 2023
(This article belongs to the Special Issue Advances in Nonlinear Dynamical Systems and Control)

Abstract

With the increasing demand for high-performance controllers in micro- and nano-systems, it is crucial to account for the effects of unexpected faults in control inputs during the design process. To tackle this challenge, we present a new approach that leverages an estimator-based super-twisting control technique that is capable of regulating chaos in fractional-order arch micro-electro-mechanical system (MEMS) resonators. We begin by studying the governing equation of a fractional-order arch MEMS resonator, followed by a thorough exploration of its chaotic properties. We then outline the design process for our novel control technique. The proposed technique takes into consideration the effects of uncertainty and faults in the control input by utilizing a finite time estimator and a super-twisting algorithm. The proposed technique addresses important challenges in the control of MEMS in real-world applications by providing fault tolerance, which enables the controller to withstand unexpected faults in the control input. We apply our controller to the fractional-order arch MEMS resonator, conducting numerical simulations. The numerical findings reveal that our proposed control technique is capable of stabilizing the system’s dynamics, even in the presence of a time-evolving fault in the control actuator. These results provide compelling evidence of the efficacy of our approach to control, despite the presence of an evolving fault.

1. Introduction

MEMS have emerged as important components in various technological fields, such as automotive, aerospace, and medical devices. Among the various types of MEMS devices, arch resonators have gained considerable attention due to their high-frequency resonant behavior, which makes them suitable for applications such as signal processing, sensing, and actuation [1,2]. However, the inherent nonlinearity and complex dynamics of arch resonators can lead to chaotic behavior, making it difficult to achieve stable and precise control of their oscillations [3,4].
The use of fractional calculus has gained widespread recognition for its ability to model and analyze the dynamic behavior of MEMS devices [5,6]. The fractional derivative operator, which extends beyond the traditional integer-order derivative operator, offers a powerful tool to capture and analyze complex phenomena that are not captured by traditional integer-order calculus [7]. The successful implementation of fractional calculus in micro-devices, such as gyroscopes, accelerometers, switches, and resonators, has enhanced the precision and robustness of their modeling and control, showcasing the versatility and value of this mathematical tool in the field of MEMS technology [8,9,10,11].
In MEMS applications, faults in the control input can have significant and undesirable consequences [12,13]. These faults may arise due to a variety of reasons, including hardware malfunctions, environmental changes, or human errors [14]. The effects of such faults can manifest as oscillations, overshoots, or even instability in the system, leading to degraded performance or complete system failure. Therefore, it is essential to design control techniques that can handle control input faults and provide fault tolerance. However, in the literature, there is no fault-tolerant study for fractional-order MEMS resonators. Therefore, it is crucial to address this research gap by developing new control strategies that can ensure the reliable operation of fractional-order MEMS resonators despite the presence of faults in the control input, thereby increasing their robustness and reliability.
Various control techniques, including optimal control [15,16,17], adaptive control [18,19,20], fuzzy control [21,22,23], robust control [24,25,26], and sliding mode control [27,28,29], have been developed for nonlinear systems. Sliding mode control (SMC) is a popular nonlinear control technique used in various fields, including robotics, aerospace, and automotive engineering. Its primary advantage is its robustness against uncertainties, disturbances, and nonlinearities, which makes it well-suited for systems with unknown or changing dynamics [30,31]. Moreover, SMC is easy to implement and provides fast and accurate control performance.
However, SMC has some disadvantages, such as the chattering phenomenon, which can cause high-frequency oscillations in the control signal, leading to increased wear and tear on the system components [32,33]. Additionally, SMC may require high control efforts and can be sensitive to parameter variations, which can affect the stability and performance of the control system [34]. Despite its drawbacks, SMC remains a valuable tool for controlling complex systems and has been successfully applied in various industrial and academic applications. For instance, recently, several advanced methods, including neural networks [35] and robust recursive sliding [36] have been integrated with sliding mode control to achieve improved performance. These techniques have shown promising results in a range of applications, demonstrating the potential of combining different control strategies to enhance system performance.
Although current control techniques for fractional-order MEMS resonators have shown promising results, they are typically designed based on idealistic assumptions where the control input is assumed to be fault-free. This approach oversimplifies the system and can lead to significant discrepancies between the theoretical model and the practical implementation of the system. As a result, it is essential to investigate the effects of control input faults and their impact on the performance and stability of fractional-order MEMS resonators. Control input faults can arise due to various reasons, such as sensor noise, actuator nonlinearity, and external disturbances. These faults can affect the performance of the system and lead to instability. For instance, if the control input is noisy, the resonator’s oscillation may deviate from the desired trajectory, leading to poor performance. Similarly, if the actuator’s nonlinearity is not accounted for, it can lead to the resonator’s instability. Thus, it is critical to consider control input faults when designing control strategies for fractional-order MEMS resonators. This will help to bridge the gap between theoretical models and practical implementation and ensure the stability and optimal performance of these complex systems. In conclusion, researchers must investigate the effects of control input faults on fractional-order MEMS resonators to improve their control and advance their applications in various fields.
As a means to enhance the control performance of nonlinear MEMS systems, there is a pressing need for further research on control methods [37,38,39]. In response to this issue, the present study aims to address this concern by proposing a novel approach that combines a finite time estimator with fault-tolerant control. Our proposed technique has several advantages, with its primary strength being its robustness against control actuator faults. Additionally, the controller is specifically designed to ensure finite-time convergence of the closed-loop system while avoiding chattering in the results. Consequently, our approach aims to address the technical obstacles arising from the uncertain nature of the MEMS resonator by integrating super-twisting control with a fault-tolerant technique, resulting in a robust control solution that can achieve finite-time convergence while effectively handling system uncertainties. As such, our proposed control technique represents an important step towards achieving better control performance and reliability in practical MEMS applications.
The current study is structured as follows: Section 2 outlines the model of an arch MEMS resonator and illustrates its chaotic behavior. Section 3 details the design of our proposed control technique. Section 4 offers simulation and numerical findings that support the efficacy of our approach. Lastly, Section 5 concludes the paper and suggests possible avenues for future research.

2. Arc MEMS Resonators

An arc MEMS resonator is a type of MEMS resonator that is characterized by its unique arc-shaped geometry [40,41]. The resonator is typically fabricated from thin films of piezoelectric material that are deposited onto a substrate using advanced microfabrication techniques [42,43]. The arc-shaped design of the resonator provides several advantages over traditional MEMS resonators, such as a higher quality factor, lower motional resistance, and reduced coupling to the substrate. These features make arc MEMS resonators particularly well-suited for use in high-frequency applications, such as wireless communication systems and precision sensing devices. As a result, arc MEMS resonators have attracted significant interest from researchers and engineers in recent years, and are expected to play an increasingly important role in the development of advanced microsystems.
This article focuses on the stabilization of a nano-beam with a curved shape that is doubly clamped. The dimensions of the beam are a length of L , width of b , and thickness of d , as illustrated in Figure 1. Additionally, Figure 1 displays the assumed initial deflection of the arch, denoted by w 0 ( x ) , as well as the transverse deflection of the arch in the positive z direction, represented by w ( x ,   t ) . The latter pertains to the arch’s deviation from its resting position. An electrostatic transverse load is used to activate the arch, achieved by applying a voltage V to the beam along its length.
Based on the Euler–Bernoulli beam theory, the non-dimensional equation that governs the behavior of the arch is provided as follows [44,45]:
x ¨ + μ x ˙ + ( 1 + 2 h 2 α m ) x + α m x 3 3 α m h x = β ( 1 + 2 R c o s ( ω 0 t ) ) 2 b 11 ( 1 + h x ) 3 + u
where
α m = b d g 0 2 2 I y 0 1 ( d 2 ϕ d x ^ 2 ) 2 d x ^ ( 0 1 ( d ϕ d x ^ ) 2 d x ^ ) 2 ,   β = ε a 0 b L 4 V D C 2   2 g 0 3 E ˜ I y , R = V A C   V D C ,   h = h 0   g 0 , t ^ = E ˜ I y ρ A L 4 ,   ω o = Ω 0 t t ^ 0 1 ( d ϕ d x ^ ) 2 d x ^ 0 1 ϕ 2 d x ^ ,   b 11 = 0 1 ( d ϕ d x ^ ) 2 d x ^ ,   μ = C v L 2 E ˜ I y b d ρ   0 1 ( d ϕ d x ^ ) 2 d x ^ 0 1 ( d 2 ϕ d x ^ 2 ) 2 d x ^
Assuming that x 1 = x ,   x 2 = x ˙ , the state space equation for the MEMS resonator arch can be expressed as:
x ˙ 1 = x 2 x ˙ 2 = β ( 1 + 2 R c o s ( ω 0 t ) )   2 b 11 ( 1 + h x 1 ) 3 ( 1 + 2 h 2 α m ) x 1 μ x 2 α m x 1 3 + 3 α m h x 1 2 + u
The system’s parameters are listed in Table 1.
Herein, we study the fractional order model of the system, given by:
D α 1 ( t ) x 1 = x 2 D α 2 ( t ) x 2 = β ( 1 + 2 R c o s ( ω 0 t ) )   2 b 11 ( 1 + h x 1 ) 3 ( 1 + 2 h 2 α m ) x 1 μ x 2 α m x 1 3 + 3 α m h x 1 2 + u
The Caputo method is used for numerical calculations. The Caputo fractional derivative is a popular choice to effectively model and analyze the dynamic behavior of various systems [47,48]. One advantage of the Caputo fractional derivative is that it provides a physically meaningful representation of the system dynamics by capturing the memory effect of the system [49]. It is also a non-local operator that enables the modeling of non-local interactions within the system, making it a powerful tool for analyzing complex systems. Additionally, the Caputo fractional derivative can handle non-integer order derivatives, which are commonly encountered in real-world systems and cannot be modeled using traditional integer-order derivatives. Employing Caputo fractional derivatives can result in more precise and resilient models, in addition to more efficient control strategies for a diverse range of applications.
By setting α m = 7.993 ,   β = 119.9883 ,   h = 0.3 ,   μ = 0.1 ,   u = 0 ,   b 11 = 198.462, R = 0.02 , and ω 0 = 0.4706 [44,45,50], Figure 2 illustrates the phase portraits of the systems with varying fractional derivative values. The results indicate that a system with a fractional order of 0.91 exhibits periodic behavior, whereas a system with a fractional order of 0.98 displays chaotic dynamics. This suggests that changes in the fractional order of a system can significantly impact its behavior and dynamics.
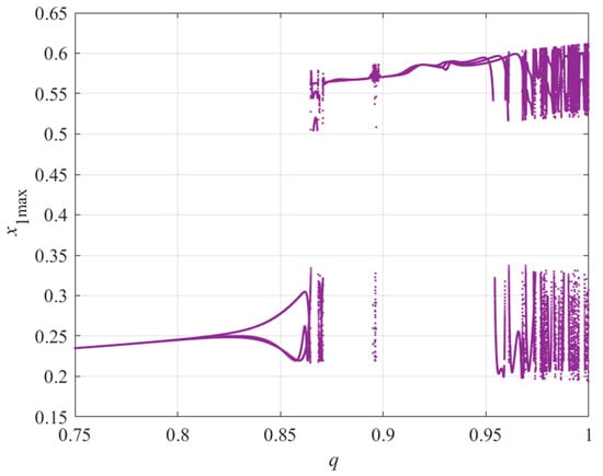
The dynamic behavior of chaotic systems has garnered significant attention in recent years, with many unclear mechanisms still being actively investigated [51,52]. Researchers have devoted considerable effort to studying chaos in nonlinear systems through both theoretical analysis and numerical simulations [53,54]. Here, to be more precise about the chaotic behavior of the MEMS resonator, we conducted a bifurcation investigation to determine how changes in the fractional order of a MEMS resonator affect its behavior. In Figure 3, we present the bifurcation diagram that illustrates the response of the arc MEMS resonator to changes in its fractional order derivative. This diagram is significant because it clearly demonstrates the substantial impact that the fractional order derivative has on the behavior of the system. Specifically, we observe a transition from periodic to chaotic dynamics as the fractional order changes, indicating that accurate control of this parameter is critical for achieving the desired system behavior. These results emphasize the importance of understanding the role of the fractional order derivative in MEMS resonator dynamics and provide valuable insights that can inform the design of effective structures for these systems.

3. Control Design

This section commences by providing preliminaries. Following this, we present our proposed control approach and establish its finite-time stability. The state-space equation of the system is then outlined below. The governing equation of the system is presented as follows:
D α 1 ( t ) x 1 = x 2     D α 2 ( t ) x 2 = f ( x , t ) + g ( x , t ) u ( t )
Lemma 1
([19]). Assume that V(t) is a continuous function that is positive and definite and satisfies the following inequality.
V ˙ ( t ) + ϑ V ( t ) + ξ V χ 0 , t > t 0
Thus, it can be concluded that V ( t ) reaches its equilibrium point within a finite time. For further information on the convergence time, we direct the reader to reference [55].
As per the definitions of faults and failures provided in various studies, such as [26,27,28], faults and/or failures are typically represented in the following manner:
u = u c + b ( t ) ( ( e i 1 ) u c + u ¯ )
b ( t ) = { 0 ,   t < t 0 1 e i a i ( t t 0 )   t t 0
u represents the actual control input; u c represents the desired control input; and u ¯ represents the uncertain constant fault input. Additionally, the parameter 0   e i   1 is used to indicate the actuator control effectiveness. The time-varying function b i   ( t ) represents the time profile of a fault affecting the actuator, where the parameter a i > 0 denotes the unknown rate of the fault evolution, while t 0 corresponds to the time at which the fault manifests. An incipient (minor) fault is identified by a small value of a i , whereas an abrupt (substantial) fault is indicated by a large value of a i .
The system’s behavior is affected by the presence of such faults and/or failures, which can result in a degradation of the system’s performance or even its complete failure. Therefore, it is important to develop fault-tolerant control techniques that can detect and mitigate the effects of such faults and/or failures. The system’s state space equation is provided considering the occurrence of actuator faults and/or failures.
{ x ˙ i = x i + 1   i = 1 , 2 , , n 1 x ˙ n = f ( x ) + g ( x ) u c + N f ( t ) y = x 1 N f ( t ) = g ( x ) b ( t ) ( ( e i 1 ) u c + u ¯ ) + d ( t )
Assumption 1.
The magnitudes of uncertainties are limited, indicating that there exists a fixed constant N f 0 , such that the norm of d is bounded by N f 0 ( N f N f 0 ).
Assumption 2.
The physical limits on the actuators impose constraints on the control actions, meaning that |   u c   |   u m a x . Additionally, the fault term u ¯ is bounded, with | u ¯ | u 0 .

3.1. Fault Detector

Fast estimators have been proposed as a promising technique for controlling MEMS due to its ability to compensate for various disturbances such as non-linearities, external forces, and sensor noise [56]. One of the key advantages of these estimators is their fast response time, which allows for real-time compensation of uncertainties, resulting in improved system stability and accuracy. However, the application of the fast estimator for the fractional order model of MEMS is limited in a few studies in the literature and still requires further study due to the challenges of dealing with fractional calculus. Hence, we apply the following fast estimator along with our proposed control scheme. First, the following auxiliary variable is defined:
σ i = D α 1 z i D α 1 x n
and z i is given by
D α z i = k σ i β s i g n ( σ i ) ε σ i p 0 / q 0 | f ( x ) | s i g n ( σ i ) + g ( x ) u
where p 0 and q 0 are two positive odd integers, in which p 0 is smaller than q 0 . Additionally, β is a positive constant that is greater than the absolute value of uncertainties ( β > | N f | .), while k   and   ε are also positive constants. The estimator fault and uncertainty ( N f ^ ) can be expressed as follows:
N f ^ = k σ i β s i g n ( σ i ) ε σ i p 0 / q 0 | f ( x ) | s i g n ( σ i ) f ( x )
By taking into account Equations (4) and (9), it is possible to derive Equation (10) in the following manner:
σ ˙ i = D α z i D α x n = k σ i β s i g n ( σ i ) ε σ i p 0 / q 0 | f ( x ) | s i g n ( σ i ) f ( x ) N f
By utilizing the mathematical expressions presented in Equations (9) and (12), we can deduce the ensuing equation:
N f ˜ = N f ^ N f = k σ i β sign ( σ i ) ε σ i p 0 q 0 | f ( x ) | sign ( σ i ) f ( x ) N f = k σ i β sign ( σ i ) ε σ i p 0 q 0 | f ( x ) | sign ( σ i ) f ( x ) D α x i + f ( x ) + g ( x ) u = k σ i β sign ( σ i ) ε s d p 0 q 0 | f ( x ) | sign ( σ i ) + g ( x ) u D α x i = D α z i D α x i = σ ˙ i
Theorem 1.
Upon application of Equations (11)–(13) to the uncertain system presented in Equation (9), the estimation error (14) will eventually reach zero within a finite time period.
Proof. 
Let us consider the Lyapunov function candidate to be:
V 0 = σ i 2
Taking the time derivative of V 0 and using Equation (14) results in
V ˙ 0 = σ i σ i ˙ = σ i ( k σ i β s i g n ( σ i ) ε σ i p 0 / q 0 | f ( x ) | s i g n ( σ i ) f ( x ) N f ) k σ i 2 β σ i sign ( σ i ) ε σ i p 0 + q 0 q 0 | f ( x ) | σ i s g n ( σ i ) σ i f ( x ) σ i N f k σ i 2 β | σ i | ε σ i p 0 + q 0 q 0 | f ( x ) | | σ i | σ i f ( x ) | σ i | | N f | k σ i 2 ε σ i p 0 + q 0 q 0 = k V 0 ε V 0 ( p 0 + q 0 ) / 2 q 0
By utilizing Lemma 1, as well as taking Equation (17) into account, we can deduce that the auxiliary variable σ will ultimately approach zero within a finite duration, leading to the convergence of the estimation error ( N f ˜ ) to zero within a finite time. □
Remark 1.
It is important to note that, under the assumption that all disturbances and faults are bounded with  β > | N f | , the fault estimator can detect and estimate any faults or disturbances that may occur in the system and are not part of the known dynamics of the system.

3.2. Super-Twisting Controller

The super-twisting algorithm, which was initially proposed in [57], has emerged as a popular sliding mode control and observation technique due to its numerous advantages, such as high accuracy in regulating dynamic systems, robustness against uncertainties, ease of implementation, and finite-time stability properties. In this study, we propose a dependable controller for the fractional-order arch MEMS by leveraging the finite-time fault estimator along with the robustness of fault-tolerant super-twisting sliding mode controllers. The tracking error, which represents the deviation between the actual response and the desired response of the system, is given as follows:
e ( t ) = x 1 ( t ) x d ( t )
Here, x d   ( t ) denotes the desired state value at time t . The sliding surface is defined as follows:
s t ( t ) = τ 1 D α 1 e ( t ) + τ 2 e ( t ) + e ˙ ( t ) + σ i ,
The positive constant τ is user-defined and appears in the following equation. Our suggested approach for the system (9) is a fault-tolerant finite-time super-twisting controller, which is expressed as:
u c = g 1 ( x ) ( + f ( x ) x ˙ 1 d + u s t 1 + N f ^ + τ 1 D α e ( t ) + τ 2 e ( t ) ) , u s t 1 = k 1 | s t | 1 2 s i g n ( s t ) + u s t 2 u ˙ s t 2 = k 2 s i g n ( s t )
The parameters k 1 and k 2 are both positive values that are defined by the user in this equation.
Theorem 2.
The proposed control rule (19) guarantees that the closed-loop system’s conditions (9) reach the intended target within the finite time period.
Proof. 
Equation (20) denotes the rate of change over time of the sliding surface.
s ˙ t = ( τ e ˙ ( t ) + f ( x ) + g ( x ) u c + N f x 1 d ˙ + σ ˙ i ) = ( τ e ˙ ( t ) + f ( x ) ( f ( x ) x ˙ 1 d + u s t 1 + N f ^ + τ e ˙ ( t ) ) x 1 d ˙ ) = ( u s t 1 + N f N f ^ )
Per Equation (14), we know that N f N f ^ =   σ ˙ i , leading to the following outcome:
s ˙ t = u s t 1
Therefore, by replacing the suggested u s t 1 , one can obtain the following equations:
s ˙ t = k 1 | s t | 1 2 s i g n ( s t ) + u s t 2 u ˙ s t 2 = k 2 s i g n ( s t )
Now, we introduce w 1 = s t and w 2 = u s t 2 as new variables and reformulate the equation as follows:
w ˙ 1 = k 1 | w 1 | 1 2 s i g n ( w 1 ) + w 2 w ˙ 2 = k 2 s i g n ( w 1 )
The mathematical expression denoted by Equation (23) represents the second-order super-twisting algorithm. Following Theorem 2 in [58], we choose the subsequent Lyapunov function:
V 0 = ς T P ς
Here, P denotes a positive definite and symmetric matrix, and V 0 represents a quadratic Lyapunov function. Additionally, ς = [ ς 1 , ς 2 ] T = [ | w 1 | 1 2 s i g n ( w 1 ) , w 2 ] T , where the subsequent equation is true for any symmetric and positive definite matrix Q :
V ˙ 0 = | w 1 | 1 2 ς T Q ς
Additionally, the trajectory of the error reduces to zero and the time required for convergence is defined by t f , which is represented by the following equation:
t f = t s + 2 λ m a x { P } λ m i n 1 2 { P } λ m i n { Q }   V 0 1 2 ( t 0 )
By following the steps laid out in [58], it is possible to select matrices P and Q in the Lyapunov function in such a way that guarantees the attainment of zero by the variables w 1 and w 2 in finite time ( t f ). □
The key contribution of this study is the development of a novel control technique that combines a finite time estimator with a fault-tolerant and super-twisting algorithm. The proposed approach is designed to address uncertainty and control input faults in fractional-order systems, making it highly applicable to real-world scenarios. The validity of this approach is supported by simulations, which exhibit stability and robust control of the fractional-order arch MEMS resonator.
To recapitulate the design process briefly, during the simulation, the fault is detected using Equations (10)–(12), and the sliding surface is designed based on Equation (18). To generate the control signal, both the estimated fault in Equation (12) and the sliding value in Equation (18), along with the known information about the system and desired values ( g ( x ) , f ( x ) ,   x ˙ 1 d , e ( t ) ), are used in Equation (19). In this way, the control signal u c is generated. The resulting control signal u c is then applied to the system to maintain stability and ensure that the system performs as desired.
Remark 2.
For the stability of the proposed controller, the user-defined parameters should satisfy the following conditions: p 0 and q 0 should be positive odd integers, in which p 0 is smaller than q 0 . Additionally, β > | N f | , while k   a n d   ε are also positive constants. τ 1 and τ 2 should be defined in such a way that the sliding surface is Hurwitz, which means the roots of its characteristic equation should be negative. k 1 and k 2 should be positive and based on reference [58] to satisfy the super-twisting stability condition; they should be designed in such a way that matrix A = [ 1 2 k 1 1 2 k 2 0 ] is positive definite.
Remark 3.
The proposed controller addresses the critical issue of unknown faults in control actuators that can be highly detrimental in real-world applications of MEMS resonators. Traditional sliding mode control techniques often result in chattering in uncertain systems due to the sign function present in the control input, leading to unwanted vibrations in the system. However, this proposed technique is a solution to this problem in two significant ways. Firstly, the controller in this study integrates a disturbance observer that employs control schemes capable of accurately estimating uncertainties and disturbances, resulting in a significant reduction in vibrations in the system response. This approach ensures that the sliding surface converges to zero within a finite time frame, which helps to avoid chattering and vibration during system stabilization. Secondly, the controller and observer both converge in finite time, offering two benefits: stabilizing the system within a finite time and reducing or eliminating chattering from the control input signal, leading to decreased vibration in the system. As a result, the sign function associated with the disturbance observer becomes zero after a short duration, further reducing vibration in the system.
Remark 4.
One of the limitations of the proposed control scheme is its computational cost, which was a challenge in the past but may not be as difficult today thanks to advances in control actuators and processors. The proposed scheme utilizes fractional calculus and requires the controller design to consider the fractional-order dynamics of the system, which can have unique properties, such as memory and long-range dependence. These factors increase the computational expense of the control scheme and necessitate more complex control actuators and processors.

4. Numerical Simulation

In order to evaluate the effectiveness and efficiency of the proposed control approach, we conducted simulations to observe the system’s time response. The parameters of the control technique were selected through a trial-and-error process, which was found to be relatively simple due to the approach’s adaptability to a wide range of parameters. This involved adjusting the control gains and assessing the system’s performance until the desired level of performance was achieved. The numerical simulations take into account the following faults and failures:
u = u c + b ( t ) ( ( e i 1 ) u c + u ¯ ) b ( t ) = { 0 , t < t 0 1 e i a i ( t t 0 ) t t 0 e i = 0.9 ,   a i = 12 ;   t 0 = 5 ;   u ¯ = 6 .
.

4.1. Proposed Technique

Figure 4, Figure 5 and Figure 6 demonstrate the results of stabilizing the fractional-order arch MEMS resonator utilizing the suggested control approach in the presence of faults in the control input. The timeline of the resonator’s deflection, based on the proposed control scheme, is presented in Figure 4. Figure 5 provides evidence of the controller’s effectiveness in stabilizing the system, which is crucial for the proper functioning of MEMS and microsystems. Additionally, the control input that is produced by the controller is plotted in Figure 6. As is shown, this control signal evolves over time to compensate for the existence of faults in the control actuator. Furthermore, Figure 7 shows the estimator’s performance, which plays a crucial role in detecting and compensating for actuator faults. The estimator accurately estimates the actuator fault, which helps the controller to adjust the control input and maintain system stability.
According to Equation (27), the fault occurred at t 0 = 5 . The fault and its estimated value are shown in Figure 7. Additionally, comparison of Figure 5 and Figure 6 reveals the exact time when the fault occurred. Specifically, as shown in Figure 6, the control input generated by the controller dropped at t = 5 to compensate for the added fault ( u ¯ ). As is demonstrated, the proposed controller was able to detect the fault (as evident from the matching lines in Figure 7), update the control input, and eventually reach the correct value for the closed-loop system’s convergence (as shown in Figure 4 and Figure 5).
The proposed controller can detect and compensate for faults in the control input, as evidenced by the results presented in Figure 6 and Figure 7. In other words, the controller not only successfully stabilizes the system but also detects and handles the control faults, which is a significant problem in the control of MEMS and microsystems. The excellent performance of the controller can be seen in Figure 4, which demonstrates the ability of the controller to stabilize the system in the presence of faults. Moreover, Figure 6 depicts the performance of the estimator used in the proposed controller, which is quite impressive in detecting and estimating the faults in the actuator. Overall, these results confirm that the proposed controller is highly effective in dealing with uncertainties and faults in MEMS and microsystems, which is a significant advantage for practical applications.

4.2. SMC

In order to assess how well our technique performs, we conducted a comparison with a well-known conventional SMC method, in which, to have a fair comparison, we considered the same sliding surface as we proposed for our super-twisting algorithm given by Equation (18), and the control law of SMC was given by
u i = g 1 ( x ) ( + f ( x ) x ˙ 1 d ζ 1 s i ( t ) + ζ 2 sign ( s i ( t ) ) )
where ζ 1 and ζ 2 are positive user-defined design parameters. It is important to highlight that our technique employs the integral of the sign function as a means of mitigating chattering. In contrast, the SMC approach outlined in Equation (28) uses the sign function directly into the controller input, which can lead to chattering and require precise parameter tuning. Therefore, fine-tuning the SMC parameters requires a delicate balance between reducing chattering and minimizing errors in the control outcomes. Herein, we have selected a scenario that prioritizes minimizing error in the system’s response.
Figure 8, Figure 9 and Figure 10 demonstrate the outcomes of the SMC approach. Upon initial analysis of Figure 4 and Figure 8, it may appear that both the SMC controller and the proposed super-twisting sliding mode controller achieve comparable convergence errors for the system. However, upon closer examination of Figure 8, it becomes apparent that the value of the second state of the system did not reach its final value until t = 5 . Furthermore, upon comparing Figure 9 and Figure 10, it becomes evident that the SMC controller exhibits a significant amount of chattering, which is a highly undesirable effect in practical applications. In contrast, the proposed super-twisting sliding mode controller successfully reduces or eliminates chattering from the control input signal, leading to a smoother response and more stable system behavior. This observation underscores the limitations of SMC and emphasizes the advantages of our approach, which leverages the super-twisting sliding mode technique to achieve accurate and smooth control signals with minimal chattering.

4.3. Quantitative Comparison

In order to better compare the performance of the controllers, we conducted a quantitative analysis focusing on the average norm of errors and control inputs. To provide a quick and easy reference, we have conveniently summarized this information in Table 2. It is important to note that lower values indicate superior performance, as we aim to minimize the error in the system with the least amount of control effort.
Table 2 indicates that both controllers have similar settling time and maximum absolute position errors. However, the sliding mode control (SMC) does not perform well in terms of the maximum absolute velocity error, leading to high velocity errors. In contrast, our proposed controller performs much better than SMC. As shown in the table, our proposed method has a significantly lower average norm of control inputs compared to SMC (136.1742 vs. 516.728). The chattering effect in SMC is responsible for the high control effort, which results in the high average norm of control inputs. This chattering cannot be ignored since it adversely affects the performance of the controller.
Additionally, our proposed method has considerably lower maximum absolute control inputs compared to SMC, making it more suitable for real-world systems. In practical applications, controllers requiring excessively large control inputs are not practical due to physical limitations, which is not an issue with our proposed method. In summary, taking all aspects into account, our findings indicate that the proposed control technique is a more viable and efficient solution than SMC.

5. Conclusions

We proposed a novel estimator-based super-twisting control technique for regulating chaos in the fractional-order arch MEMS resonator. The controller was designed to be fault-tolerant, able to withstand uncertainties and control input faults. Through a comprehensive exploration of the nonlinear dynamics and chaotic properties of the fractional-order arch MEMS resonator and numerical results of chaos suppression, we demonstrated the efficacy and robustness of our proposed control technique, leveraging numerical simulations to provide compelling evidence. Our approach, which utilized a finite-time estimator and a fault-tolerant and super-twisting algorithm, represented a significant contribution to the development of effective controllers for uncertain nonlinear systems. We believe that our proposed control technique can be applied in various technological fields to achieve better control performance and reliability in practical systems. Moreover, as a future direction, the proposed technique can be enhanced by incorporating machine learning algorithms, allowing for improved adaptability and performance in the face of complex and changing environments. Pursuing this direction will lead to further advancements in the field of control systems, with the potential to benefit various industries and improve practical system performance.

Author Contributions

Conceptualization, F.W.A. and M.S.A.-z.; Methodology, F.W.A. and M.S.A.-z.; Software, F.W.A. and M.S.A.-z.; Validation, F.W.A. and M.S.A.-z.; Formal analysis, F.W.A. and M.S.A.-z.; Investigation, F.W.A. and M.S.A.-z.; Resources, F.W.A. and M.S.A.-z.; Data curation, F.W.A. and M.S.A.-z.; Writing—original draft, F.W.A. and M.S.A.-z.; Writing—review & editing, F.W.A. and M.S.A.-z.; Visualization, F.W.A. and M.S.A.-z.; Supervision, F.W.A. and M.S.A.-z.; Project administration, F.W.A. and M.S.A.-z.; Funding acquisition, F.W.A. and M.S.A.-z. All authors have read and agreed to the published version of the manuscript.

Funding

The authors extend their appreciation to the Deputyship for Research and Innovation, Ministry of Education in Saudi Arabia, for funding this research work (Project number INSTR005).

Data Availability Statement

No new data were created or analyzed in this study. Data sharing is not applicable to this article.

Conflicts of Interest

The authors declare no conflict of interest.

References

  1. Ghaemi, N.; Nikoobin, A.; Ashory, M.R. A Comprehensive Categorization of Micro/Nanomechanical Resonators and Their Practical Applications from an Engineering Perspective: A Review. Adv. Electron. Mater. 2022, 8, 2200229. [Google Scholar] [CrossRef]
  2. Hajjaj, A.Z.; Hafiz, M.A.; Younis, M.I. Mode Coupling and Nonlinear Resonances of MEMS Arch Resonators for Bandpass Filters. Sci. Rep. 2017, 7, 41820. [Google Scholar] [CrossRef] [PubMed]
  3. Hajjaj, A.Z.; Alfosail, F.K.; Younis, M.I. Two-to-One Internal Resonance of MEMS Arch Resonators. Int. J. Non-Linear Mech. 2018, 107, 64–72. [Google Scholar] [CrossRef]
  4. Hajjaj, A.Z.; Alcheikh, N.; Younis, M.I. The Static and Dynamic Behavior of MEMS Arch Resonators near Veering and the Impact of Initial Shapes. Int. J. Non-Linear Mech. 2017, 95, 277–286. [Google Scholar] [CrossRef]
  5. Tusset, A.M.; Balthazar, J.M.; Bassinello, D.G.; Pontes, B.R.; Felix, J.L.P. Statements on Chaos Control Designs, Including a Fractional Order Dynamical System, Applied to a “MEMS” Comb-Drive Actuator. Nonlinear Dyn. 2012, 69, 1837–1857. [Google Scholar] [CrossRef]
  6. Luo, S.; Li, S.; Tajaddodianfar, F.; Hu, J. Observer-Based Adaptive Stabilization of the Fractional-Order Chaotic MEMS Resonator. Nonlinear Dyn. 2018, 92, 1079–1089. [Google Scholar] [CrossRef]
  7. Jahanshahi, H.; Yousefpour, A.; Munoz-Pacheco, J.M.; Moroz, I.; Wei, Z.; Castillo, O. A New Multi-Stable Fractional-Order Four-Dimensional System with Self-Excited and Hidden Chaotic Attractors: Dynamic Analysis and Adaptive Synchronization Using a Novel Fuzzy Adaptive Sliding Mode Control Method. Appl. Soft Comput. 2020, 87, 105943. [Google Scholar] [CrossRef]
  8. Han, J.; Zhang, Q.; Wang, W.; Jin, G.; Qi, H.; Li, Q. Chaos Suppression of an Electrically Actuated Microresonator Based on Fractional-Order Nonsingular Fast Terminal Sliding Mode Control. Math. Probl. Eng. 2017, 2017, 6564316. [Google Scholar] [CrossRef]
  9. Goodarzi, M. Fractional Order Control of Micro Electro-Mechanical Systems. J. Mod. Process. Manuf. Prod. 2016, 5, 55–67. [Google Scholar]
  10. Rahmani, M.; Rahman, M.H. A New Adaptive Fractional Sliding Mode Control of a MEMS Gyroscope. Microsyst. Technol. 2019, 25, 3409–3416. [Google Scholar] [CrossRef]
  11. Lopes, A.M.; Tenreiro Machado, J.A.; Galhano, A.M. Towards Fractional Sensors. J. Vib. Control. 2019, 25, 52–60. [Google Scholar] [CrossRef]
  12. Vitanov, I.; Aouf, N. Fault Diagnosis for MEMS INS Using Unscented Kalman Filter Enhanced by Gaussian Process Adaptation. In Proceedings of the 2014 NASA/ESA Conference on Adaptive Hardware and Systems (AHS), Leicester, UK, 14–17 July 2014; IEEE: Piscataway, NJ, USA, 2014; pp. 120–126. [Google Scholar]
  13. Saif, M.; Ebrahimi, B.; Vali, M. A Second Order Sliding Mode Strategy for Fault Detection and Fault-Tolerant-Control of a MEMS Optical Switch. Mechatronics 2012, 22, 696–705. [Google Scholar] [CrossRef]
  14. Gao, T.; Sheng, W.; Zhou, M.; Fang, B.; Luo, F.; Li, J. Method for Fault Diagnosis of Temperature-Related MEMS Inertial Sensors by Combining Hilbert–Huang Transform and Deep Learning. Sensors 2020, 20, 5633. [Google Scholar] [CrossRef] [PubMed]
  15. Wang, D.; Ha, M.; Zhao, M. The Intelligent Critic Framework for Advanced Optimal Control. Artif. Intell. Rev. 2022, 55, 1–22. [Google Scholar] [CrossRef]
  16. Jahanshahi, H.; Sari, N.N.; Pham, V.-T.; Alsaadi, F.E.; Hayat, T. Optimal Adaptive Higher Order Controllers Subject to Sliding Modes for a Carrier System. Int. J. Adv. Robot. Syst. 2018, 15, 1729881418782097. [Google Scholar] [CrossRef]
  17. Alsaade, F.W.; Jahanshahi, H.; Yao, Q.; Al-zahrani, M.S.; Alzahrani, A.S. A New Neural Network-Based Optimal Mixed H2/H Control for a Modified Unmanned Aerial Vehicle Subject to Control Input Constraints. Adv. Space Res. 2022, 71, 3631–3643. [Google Scholar] [CrossRef]
  18. Jahanshahi, H. Smooth Control of HIV/AIDS Infection Using a Robust Adaptive Scheme with Decoupled Sliding Mode Supervision. Eur. Phys. J. Spec. Top. 2018, 227, 707–718. [Google Scholar] [CrossRef]
  19. Jahanshahi, H.; Shahriari-Kahkeshi, M.; Alcaraz, R.; Wang, X.; Singh, V.P.; Pham, V.-T. Entropy Analysis and Neural Network-Based Adaptive Control of a Non-Equilibrium Four-Dimensional Chaotic System with Hidden Attractors. Entropy 2019, 21, 156. [Google Scholar] [CrossRef]
  20. Yao, Q.; Jahanshahi, H.; Moroz, I.; Alotaibi, N.D.; Bekiros, S. Neural Adaptive Fixed-Time Attitude Stabilization and Vibration Suppression of Flexible Spacecraft. Mathematics 2022, 10, 1667. [Google Scholar] [CrossRef]
  21. Kavikumar, R.; Sakthivel, R.; Kwon, O.-M.; Selvaraj, P. Robust Tracking Control Design for Fractional-Order Interval Type-2 Fuzzy Systems. Nonlinear Dyn. 2022, 107, 3611–3628. [Google Scholar] [CrossRef]
  22. Jahanshahi, H.; Yousefpour, A.; Soradi-Zeid, S.; Castillo, O. A Review on Design and Implementation of Type-2 Fuzzy Controllers. Math. Methods Appl. Sci. 2022, 1, 1–22. [Google Scholar] [CrossRef]
  23. Kosari, A.; Jahanshahi, H.; Razavi, S.A. An Optimal Fuzzy PID Control Approach for Docking Maneuver of Two Spacecraft: Orientational Motion. Eng. Sci. Technol. Int. J. 2017, 20, 293–309. [Google Scholar] [CrossRef]
  24. Jahanshahi, H.; Zambrano-Serrano, E.; Bekiros, S.; Wei, Z.; Volos, C.; Castillo, O.; Aly, A.A. On the Dynamical Investigation and Synchronization of Variable-Order Fractional Neural Networks: The Hopfield-like Neural Network Model. Eur. Phys. J. Spec. Top. 2022, 231, 1757–1769. [Google Scholar] [CrossRef]
  25. Din, A.F.U.; Mir, I.; Gul, F.; Al Nasar, M.R.; Abualigah, L. Reinforced Learning-Based Robust Control Design for Unmanned Aerial Vehicle. Arab. J. Sci. Eng. 2023, 48, 1221–1236. [Google Scholar] [CrossRef]
  26. Jahanshahi, H.; Yao, Q.; Khan, M.I.; Moroz, I. Unified Neural Output-Constrained Control for Space Manipulator Using Tan-Type Barrier Lyapunov Function. Adv. Space Res. 2023, 71, 3712–3722. [Google Scholar] [CrossRef]
  27. Yao, Q.; Jahanshahi, H.; Bekiros, S.; Mihalache, S.F.; Alotaibi, N.D. Gain-Scheduled Sliding-Mode-Type Iterative Learning Control Design for Mechanical Systems. Mathematics 2022, 10, 3005. [Google Scholar] [CrossRef]
  28. Yao, Q.; Jahanshahi, H.; Moroz, I.; Bekiros, S.; Alassafi, M.O. Indirect Neural-Based Finite-Time Integral Sliding Mode Control for Trajectory Tracking Guidance of Mars Entry Vehicle. Adv. Space Res. 2023, 71, 3723–3733. [Google Scholar] [CrossRef]
  29. Kavikumar, R.; Kwon, O.-M.; Lee, S.-H.; Sakthivel, R. Input-Output Finite-Time IT2 Fuzzy Dynamic Sliding Mode Control for Fractional-Order Nonlinear Systems. Nonlinear Dyn. 2022, 108, 3745–3760. [Google Scholar] [CrossRef]
  30. Mohd Zaihidee, F.; Mekhilef, S.; Mubin, M. Robust Speed Control of PMSM Using Sliding Mode Control (SMC)—A Review. Energies 2019, 12, 1669. [Google Scholar] [CrossRef]
  31. Zhou, W.; Wang, Y.; Liang, Y. Sliding Mode Control for Networked Control Systems: A Brief Survey. ISA Trans. 2022, 124, 249–259. [Google Scholar] [CrossRef]
  32. Utkin, V.; Lee, H. Chattering Problem in Sliding Mode Control Systems. In Proceedings of the International Workshop on Variable Structure Systems, Alghero, Sardinia, 5–7 June 2006; IEEE: Piscataway, NJ, USA, 2006; pp. 346–350. [Google Scholar]
  33. Ahmad, S.; Uppal, A.A.; Azam, M.R.; Iqbal, J. Chattering Free Sliding Mode Control and State Dependent Kalman Filter Design for Underground Gasification Energy Conversion Process. Electronics 2023, 12, 876. [Google Scholar] [CrossRef]
  34. Wang, B.; Derbeli, M.; Barambones, O.; Yousefpour, A.; Jahanshahi, H.; Bekiros, S.; Aly, A.A.; Alharthi, M.M. Experimental Validation of Disturbance Observer-Based Adaptive Terminal Sliding Mode Control Subject to Control Input Limitations for SISO and MIMO Systems. Eur. J. Control 2022, 63, 151–163. [Google Scholar] [CrossRef]
  35. Feng, H.; Song, Q.; Ma, S.; Ma, W.; Yin, C.; Cao, D.; Yu, H. A New Adaptive Sliding Mode Controller Based on the RBF Neural Network for an Electro-Hydraulic Servo System. ISA Trans. 2022, 129, 472–484. [Google Scholar] [CrossRef] [PubMed]
  36. Shao, K.; Zheng, J.; Wang, H.; Xu, F.; Wang, X.; Liang, B. Recursive Sliding Mode Control with Adaptive Disturbance Observer for a Linear Motor Positioner. Mech. Syst. Signal Process. 2021, 146, 107014. [Google Scholar] [CrossRef]
  37. Yousefpour, A.; Vahidi-Moghaddam, A.; Rajaei, A.; Ayati, M. Stabilization of Nonlinear Vibrations of Carbon Nanotubes Using Observer-Based Terminal Sliding Mode Control. Trans. Inst. Meas. Control. 2020, 42, 1047–1058. [Google Scholar] [CrossRef]
  38. Shao, X.; Shi, Y.; Zhang, W. Input-and-Measurement Event-Triggered Output-Feedback Chattering Reduction Control for MEMS Gyroscopes. IEEE Trans. Syst. Man Cybern. Syst. 2021, 52, 5579–5590. [Google Scholar] [CrossRef]
  39. Zhang, R.; Xu, B.; Zhao, W. Finite-Time Prescribed Performance Control of MEMS Gyroscopes. Nonlinear Dyn. 2020, 101, 2223–2234. [Google Scholar] [CrossRef]
  40. Watanabe, Y.; Yahagi, T.; Abe, Y.; Murayama, H. Electromagnetic Silicon MEMS Resonator. Electr. Eng. Jpn. 2019, 206, 54–60. [Google Scholar] [CrossRef]
  41. Alcheikh, N.; Ouakad, H.M.; ben Mbarek, S.; Younis, M.I. Crossover/Veering in V-Shaped MEMS Resonators. J. Microelectromech. Syst. 2021, 31, 74–86. [Google Scholar] [CrossRef]
  42. Guo, Q.; Cao, G.Z.; Shen, I.Y. Measurements of Piezoelectric Coefficient d33 of Lead Zirconate Titanate Thin Films Using a Mini Force Hammer. J. Vib. Acoust. 2013, 135, 011003. [Google Scholar] [CrossRef]
  43. Muralt, P.; Polcawich, R.G.; Trolier-McKinstry, S. Piezoelectric Thin Films for Sensors, Actuators, and Energy Harvesting. MRS Bull. 2009, 34, 658–664. [Google Scholar] [CrossRef]
  44. Tajaddodianfar, F.; Pishkenari, H.N.; Yazdi, M.R.H.; Miandoab, E.M. Size-Dependent Bistability of an Electrostatically Actuated Arch NEMS Based on Strain Gradient Theory. J. Phys. D Appl. Phys. 2015, 48, 245503. [Google Scholar] [CrossRef]
  45. Tajaddodianfar, F.; Hairi Yazdi, M.R.; Pishkenari, H.N. On the Chaotic Vibrations of Electrostatically Actuated Arch Micro/Nano Resonators: A Parametric Study. Int. J. Bifurc. Chaos 2015, 25, 1550106. [Google Scholar] [CrossRef]
  46. Luo, S.; Li, S.; Tajaddodianfar, F. Adaptive Chaos Control of the Fractional-Order Arch MEMS Resonator. Nonlinear Dyn. 2018, 91, 539–547. [Google Scholar] [CrossRef]
  47. Yousefpour, A.; Yasami, A.; Beigi, A.; Liu, J. On the Development of an Intelligent Controller for Neural Networks: A Type 2 Fuzzy and Chatter-Free Approach for Variable-Order Fractional Cases. Eur. Phys. J. Spec. Top. 2022, 231, 2045–2057. [Google Scholar] [CrossRef]
  48. Yousefpour, A.; Jahanshahi, H.; Munoz-Pacheco, J.M.; Bekiros, S.; Wei, Z. A Fractional-Order Hyper-Chaotic Economic System with Transient Chaos. Chaos Solitons Fractals 2020, 130, 109400. [Google Scholar] [CrossRef]
  49. Almeida, R. A Caputo Fractional Derivative of a Function with Respect to Another Function. Commun. Nonlinear Sci. Numer. Simul. 2017, 44, 460–481. [Google Scholar] [CrossRef]
  50. Tajaddodianfar, F.; Pishkenari, H.N.; Yazdi, M.R.H. Prediction of Chaos in Electrostatically Actuated Arch Micro-Nano Resonators: Analytical Approach. Commun. Nonlinear Sci. Numer. Simul. 2016, 30, 182–195. [Google Scholar] [CrossRef]
  51. Wei, Z.; Li, Y.; Moroz, I.; Zhang, W. Melnikov-Type Method for a Class of Planar Hybrid Piecewise-Smooth Systems with Impulsive Effect and Noise Excitation: Heteroclinic Orbits. Chaos Interdiscip. J. Nonlinear Sci. 2022, 32, 103127. [Google Scholar] [CrossRef]
  52. Wang, F.; Wei, Z.; Zhang, W.; Moroz, I. Coexistence of Three Heteroclinic Cycles and Chaos Analyses for a Class of 3D Piecewise Affine Systems. Chaos Interdiscip. J. Nonlinear Sci. 2023, 33, 023108. [Google Scholar] [CrossRef]
  53. Wei, Z.; Moroz, I.; Sprott, J.C.; Wang, Z.; Zhang, W. Detecting Hidden Chaotic Regions and Complex Dynamics in the Self-Exciting Homopolar Disc Dynamo. Int. J. Bifurc. Chaos 2017, 27, 1730008. [Google Scholar] [CrossRef]
  54. Wei, Z.; Wang, F.; Li, H.; Zhang, W. Jacobi Stability Analysis and Impulsive Control of a 5D Self-Exciting Homopolar Disc Dynamo. Discret. Contin. Dyn. Syst. -B 2022, 27, 5029–5045. [Google Scholar] [CrossRef]
  55. Yousefpour, A.; Haji Hosseinloo, A.; Reza Hairi Yazdi, M.; Bahrami, A. Disturbance Observer–Based Terminal Sliding Mode Control for Effective Performance of a Nonlinear Vibration Energy Harvester. J. Intell. Mater. Syst. Struct. 2020, 31, 1495–1510. [Google Scholar] [CrossRef]
  56. Vahidi-Moghaddam, A.; Rajaei, A.; Ayati, M.; Vatankhah, R.; Hairi-Yazdi, M.R. Adaptive Prescribed-time Disturbance Observer Using Nonsingular Terminal Sliding Mode Control: Extended Kalman Filter and Particle Swarm Optimization. IET Control. Theory Appl. 2020, 14, 3301–3311. [Google Scholar] [CrossRef]
  57. Levant, A. Sliding Order and Sliding Accuracy in Sliding Mode Control. Int. J. Control 1993, 58, 1247–1263. [Google Scholar] [CrossRef]
  58. Moreno, J.A.; Osorio, M. Strict Lyapunov Functions for the Super-Twisting Algorithm. IEEE Trans. Automat. Control 2012, 57, 1035–1040. [Google Scholar] [CrossRef]
Figure 1. The structure of an arc MEMS resonator.
Figure 1. The structure of an arc MEMS resonator.
Mathematics 11 02276 g001
Figure 2. Phase portrait of fractional-order arch MEMS resonator (a) q = 0.91 , (b) q = 0.98 .
Figure 2. Phase portrait of fractional-order arch MEMS resonator (a) q = 0.91 , (b) q = 0.98 .
Mathematics 11 02276 g002
Figure 3. Bifurcation diagram of MEMS resonator generated with respect to fractional ordered value.
Figure 3. Bifurcation diagram of MEMS resonator generated with respect to fractional ordered value.
Mathematics 11 02276 g003
Figure 4. The results of applying the suggested approach for vibrations control of MEMS resonator in the presence of actuator faults.
Figure 4. The results of applying the suggested approach for vibrations control of MEMS resonator in the presence of actuator faults.
Mathematics 11 02276 g004
Figure 5. Control input applied to the system by the proposed technique.
Figure 5. Control input applied to the system by the proposed technique.
Mathematics 11 02276 g005
Figure 6. Control input generated by the proposed controller.
Figure 6. Control input generated by the proposed controller.
Mathematics 11 02276 g006
Figure 7. The actual and estimated fault in the proposed control input.
Figure 7. The actual and estimated fault in the proposed control input.
Mathematics 11 02276 g007
Figure 8. The results of applying the SMC for vibrations control of MEMS resonator in the presence of actuator faults.
Figure 8. The results of applying the SMC for vibrations control of MEMS resonator in the presence of actuator faults.
Mathematics 11 02276 g008
Figure 9. Control input applied by SMC to the system.
Figure 9. Control input applied by SMC to the system.
Mathematics 11 02276 g009
Figure 10. Control input generated by the SMC controller.
Figure 10. Control input generated by the SMC controller.
Mathematics 11 02276 g010
Table 1. Parameters of the systems and their values [46].
Table 1. Parameters of the systems and their values [46].
ParameterDenotationParameterDenotation
LLength of microbeamACross-sectional area
bWidth of microbeam ε a 0 Vacuum permittivity
d Thickness of microbeam C v Viscous damping coefficient
ϕ Mode shapes g 0 Distance between relaxed beam and fixed electrode
h 0 Elevation t Independent time variable
I y Moment of inertia E ˜ Young’s modulus
Ω 0 Harmonic load frequency ρ Mass density
V D C Direct voltage V A C Alternating voltage
Table 2. Quantitative results of the control analysis.
Table 2. Quantitative results of the control analysis.
MethodSettling TimeMaximum of Absolute Position ErrorsMaximum of Absolute Velocity ErrorsAverage Norm of Control InputsMaximum of Absolute Control Inputs
Proposed technique2.00001.00643.2131136.174273.7101
SMC1.98001.00259.9173516.7287216.2281
Disclaimer/Publisher’s Note: The statements, opinions and data contained in all publications are solely those of the individual author(s) and contributor(s) and not of MDPI and/or the editor(s). MDPI and/or the editor(s) disclaim responsibility for any injury to people or property resulting from any ideas, methods, instructions or products referred to in the content.

Share and Cite

MDPI and ACS Style

Alsaade, F.W.; Al-zahrani, M.S. A Novel Fault-Tolerant Super-Twisting Control Technique for Chaos Stabilization in Fractional-Order Arch MEMS Resonators. Mathematics 2023, 11, 2276. https://doi.org/10.3390/math11102276

AMA Style

Alsaade FW, Al-zahrani MS. A Novel Fault-Tolerant Super-Twisting Control Technique for Chaos Stabilization in Fractional-Order Arch MEMS Resonators. Mathematics. 2023; 11(10):2276. https://doi.org/10.3390/math11102276

Chicago/Turabian Style

Alsaade, Fawaz W., and Mohammed S. Al-zahrani. 2023. "A Novel Fault-Tolerant Super-Twisting Control Technique for Chaos Stabilization in Fractional-Order Arch MEMS Resonators" Mathematics 11, no. 10: 2276. https://doi.org/10.3390/math11102276

APA Style

Alsaade, F. W., & Al-zahrani, M. S. (2023). A Novel Fault-Tolerant Super-Twisting Control Technique for Chaos Stabilization in Fractional-Order Arch MEMS Resonators. Mathematics, 11(10), 2276. https://doi.org/10.3390/math11102276

Note that from the first issue of 2016, this journal uses article numbers instead of page numbers. See further details here.

Article Metrics

Back to TopTop