Non-Parametric Non-Inferiority Assessment in a Three-Arm Trial with Non-Ignorable Missing Data
Abstract
1. Introduction
2. A Three-Arm NI Trail with MNAR Endpoints
2.1. A Three-Arm NI Trial
2.2. Missingness Data Mechanism
3. Estimation of Treatment Efficacy
3.1. Estimating Treatment Efficacy
3.2. Estimation of Conditional Mean
3.3. Estimation of Propensity Score Function
3.4. Dimension Reduction
4. Asymptotic Properties and Test Statistics
4.1. Asymptotic Properties
4.2. Wald-Type Statistics for Testing
5. Simulation Study
6. An Example
7. Conclusions
Author Contributions
Funding
Data Availability Statement
Conflicts of Interest
Appendix A
Appendix A.1. Regularity Conditions
Appendix A.2. Tables: Empirical Type I Error Rates for Scenarios (B) and (C) with Balanced and Unbalanced Designs
| n = 50 | n = 100 | n = 150 | |||||||||||
|---|---|---|---|---|---|---|---|---|---|---|---|---|---|
| Scenario | Case | SHT | SRI | SAI | CC | SHT | SRI | SAI | CC | SHT | SRI | SAI | CC |
| (B) | E1 | 0.041 | 0.055 | 0.055 | 0.068 | 0.042 | 0.053 | 0.059 | 0.082 | 0.048 | 0.058 | 0.062 | 0.090 |
| E2 | 0.046 | 0.049 | 0.050 | 0.052 | 0.045 | 0.051 | 0.052 | 0.060 | 0.042 | 0.054 | 0.054 | 0.066 | |
| E3 | 0.045 | 0.045 | 0.044 | 0.051 | 0.037 | 0.053 | 0.054 | 0.060 | 0.046 | 0.056 | 0.058 | 0.060 | |
| E4 | 0.050 | 0.048 | 0.047 | 0.052 | 0.032 | 0.055 | 0.058 | 0.060 | 0.046 | 0.052 | 0.054 | 0.056 | |
| (C) | E1 | 0.040 | 0.065 | 0.064 | 0.081 | 0.031 | 0.052 | 0.056 | 0.082 | 0.046 | 0.062 | 0.064 | 0.082 |
| E2 | 0.030 | 0.052 | 0.043 | 0.057 | 0.046 | 0.053 | 0.052 | 0.063 | 0.044 | 0.050 | 0.056 | 0.068 | |
| E3 | 0.034 | 0.058 | 0.055 | 0.060 | 0.034 | 0.050 | 0.053 | 0.060 | 0.036 | 0.048 | 0.054 | 0.060 | |
| E4 | 0.031 | 0.044 | 0.043 | 0.042 | 0.041 | 0.052 | 0.056 | 0.082 | 0.048 | 0.054 | 0.054 | 0.075 | |
| N = 200 | N = 300 | N = 400 | ||||||||||||
|---|---|---|---|---|---|---|---|---|---|---|---|---|---|---|
| Scen. | :: | Case | SHT | SRI | SAI | CC | SHT | SRI | SAI | CC | SHT | SRI | SAI | CC |
| (B) | 2:1:1 | E1 | 0.035 | 0.058 | 0.058 | 0.068 | 0.034 | 0.053 | 0.059 | 0.082 | 0.036 | 0.062 | 0.060 | 0.078 |
| E2 | 0.042 | 0.052 | 0.046 | 0.062 | 0.042 | 0.053 | 0.050 | 0.064 | 0.046 | 0.052 | 0.050 | 0.070 | ||
| E3 | 0.041 | 0.066 | 0.061 | 0.056 | 0.038 | 0.062 | 0.058 | 0.042 | 0.034 | 0.051 | 0.049 | 0.048 | ||
| E4 | 0.033 | 0.054 | 0.051 | 0.050 | 0.037 | 0.056 | 0.051 | 0.049 | 0.046 | 0.052 | 0.051 | 0.068 | ||
| 2:2:1 | E1 | 0.026 | 0.052 | 0.050 | 0.079 | 0.049 | 0.068 | 0.066 | 0.083 | 0.030 | 0.040 | 0.042 | 0.080 | |
| E2 | 0.031 | 0.051 | 0.049 | 0.037 | 0.041 | 0.059 | 0.057 | 0.047 | 0.046 | 0.058 | 0.056 | 0.062 | ||
| E3 | 0.026 | 0.046 | 0.045 | 0.040 | 0.040 | 0.058 | 0.052 | 0.048 | 0.049 | 0.056 | 0.052 | 0.060 | ||
| E4 | 0.029 | 0.044 | 0.042 | 0.042 | 0.031 | 0.046 | 0.045 | 0.035 | 0.030 | 0.044 | 0.038 | 0.044 | ||
| 3:2:1 | E1 | 0.041 | 0.060 | 0.063 | 0.072 | 0.037 | 0.050 | 0.046 | 0.069 | 0.040 | 0.046 | 0.046 | 0.078 | |
| E2 | 0.032 | 0.055 | 0.057 | 0.054 | 0.035 | 0.046 | 0.043 | 0.049 | 0.034 | 0.044 | 0.042 | 0.042 | ||
| E3 | 0.032 | 0.051 | 0.045 | 0.055 | 0.038 | 0.056 | 0.052 | 0.050 | 0.032 | 0.049 | 0.045 | 0.046 | ||
| E4 | 0.033 | 0.047 | 0.053 | 0.050 | 0.032 | 0.059 | 0.057 | 0.052 | 0.038 | 0.050 | 0.048 | 0.038 | ||
| (C) | 2:1:1 | E1 | 0.033 | 0.067 | 0.064 | 0.077 | 0.029 | 0.054 | 0.050 | 0.069 | 0.032 | 0.062 | 0.054 | 0.082 |
| E2 | 0.043 | 0.059 | 0.056 | 0.051 | 0.048 | 0.047 | 0.047 | 0.066 | 0.050 | 0.058 | 0.052 | 0.064 | ||
| E3 | 0.027 | 0.050 | 0.049 | 0.050 | 0.042 | 0.062 | 0.060 | 0.042 | 0.028 | 0.050 | 0.051 | 0.059 | ||
| E4 | 0.028 | 0.051 | 0.051 | 0.043 | 0.026 | 0.044 | 0.042 | 0.042 | 0.026 | 0.046 | 0.045 | 0.050 | ||
| 2:2:1 | E1 | 0.021 | 0.049 | 0.047 | 0.081 | 0.044 | 0.068 | 0.067 | 0.082 | 0.030 | 0.042 | 0.044 | 0.090 | |
| E2 | 0.026 | 0.047 | 0.043 | 0.037 | 0.039 | 0.058 | 0.056 | 0.060 | 0.024 | 0.040 | 0.042 | 0.054 | ||
| E3 | 0.026 | 0.046 | 0.045 | 0.040 | 0.058 | 0.052 | 0.048 | 0.049 | 0.049 | 0.056 | 0.052 | 0.060 | ||
| E4 | 0.029 | 0.044 | 0.042 | 0.042 | 0.031 | 0.046 | 0.045 | 0.035 | 0.030 | 0.044 | 0.038 | 0.044 | ||
| 3:2:1 | E1 | 0.039 | 0.069 | 0.069 | 0.082 | 0.036 | 0.051 | 0.048 | 0.074 | 0.034 | 0.046 | 0.044 | 0.082 | |
| E2 | 0.039 | 0.058 | 0.055 | 0.065 | 0.037 | 0.045 | 0.047 | 0.052 | 0.034 | 0.044 | 0.042 | 0.042 | ||
| E3 | 0.031 | 0.051 | 0.050 | 0.046 | 0.030 | 0.056 | 0.054 | 0.050 | 0.029 | 0.050 | 0.047 | 0.050 | ||
| E4 | 0.029 | 0.050 | 0.052 | 0.048 | 0.036 | 0.058 | 0.060 | 0.058 | 0.031 | 0.044 | 0.044 | 0.045 | ||
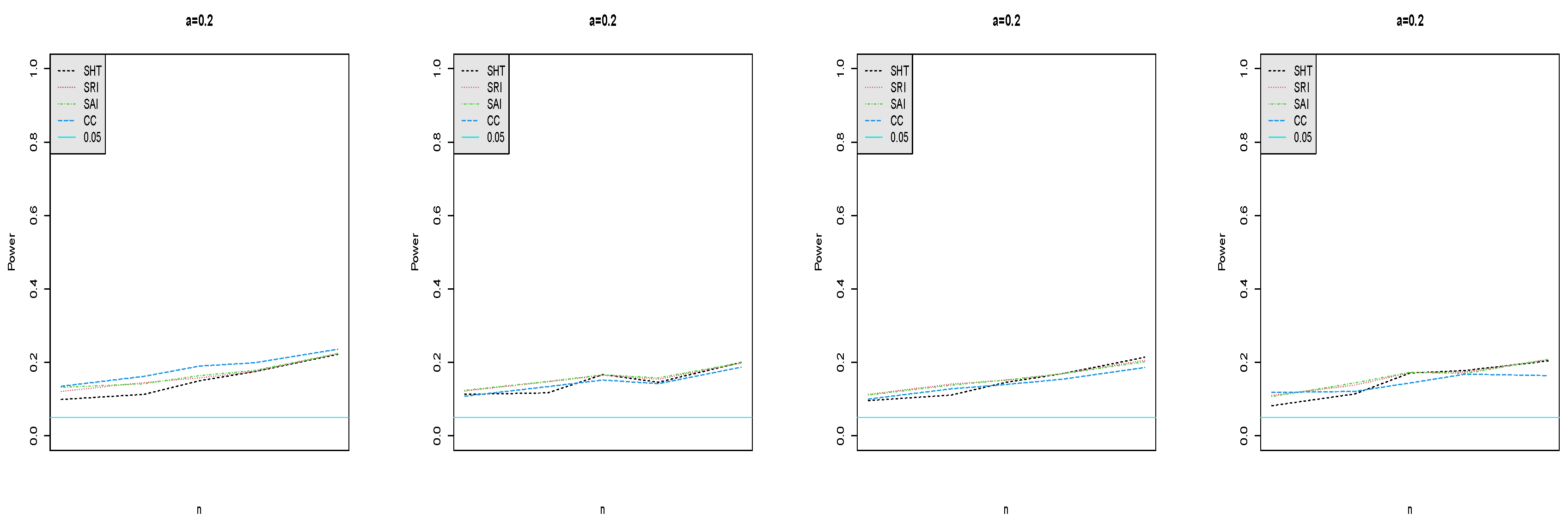
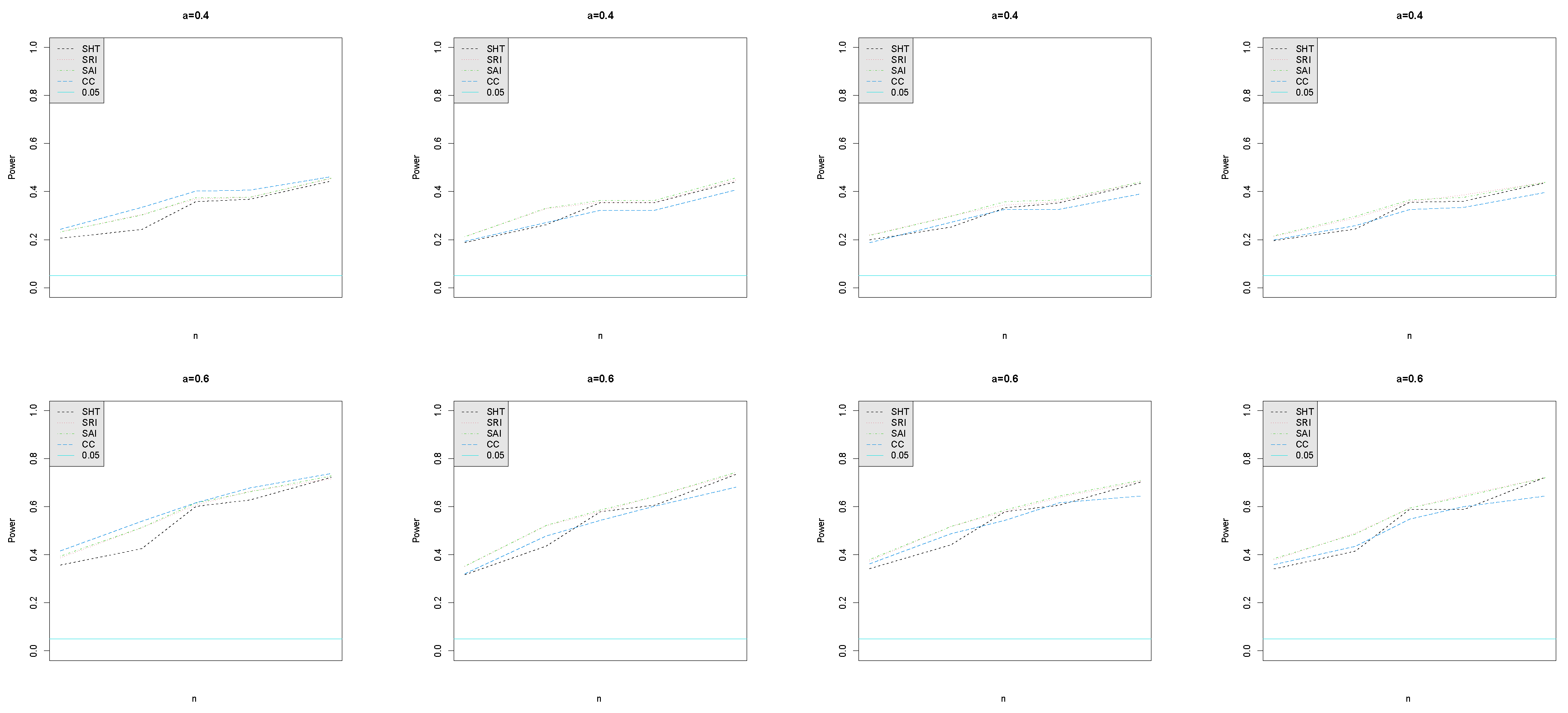
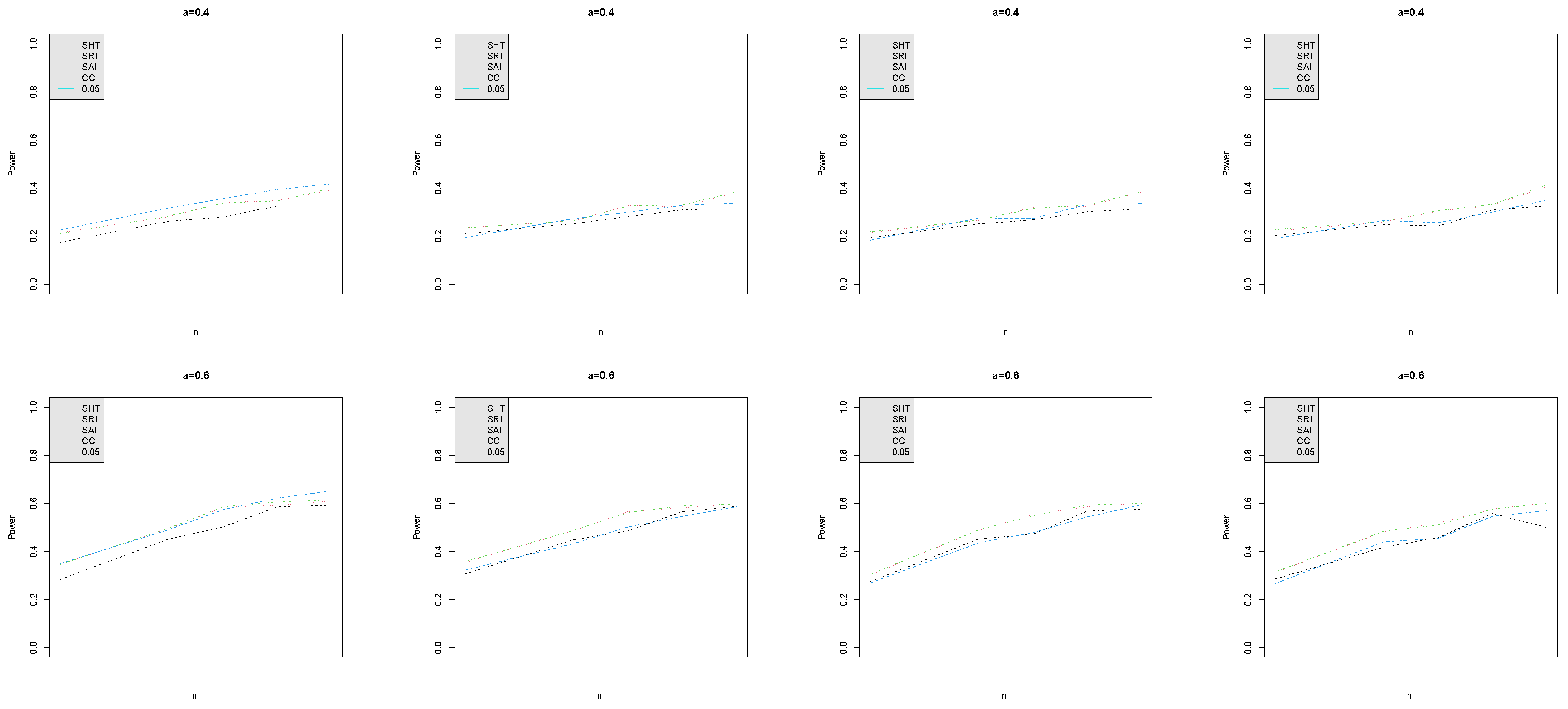
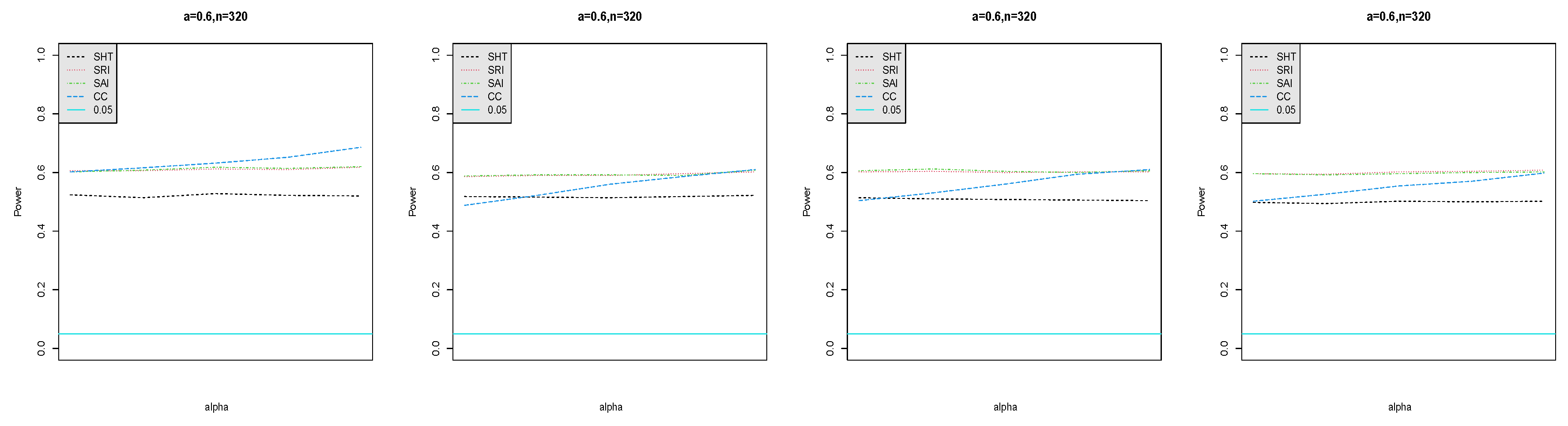
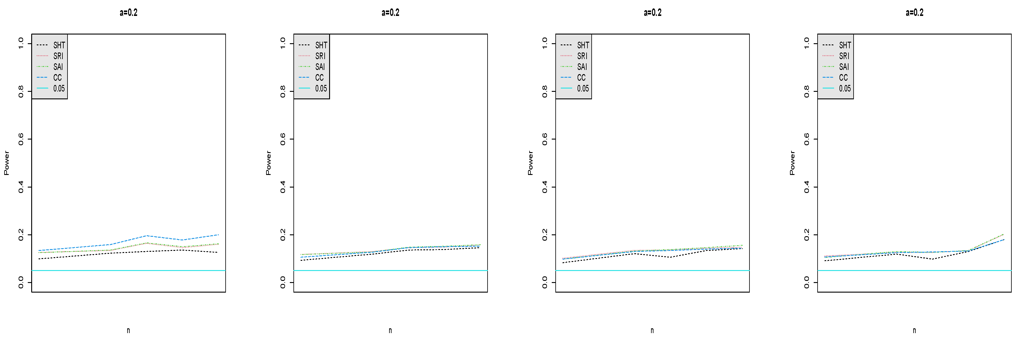
Appendix A.3. Figures: Powers for Scenario (A) with a, n, Treatment Effects, Parameters α and γ










References
- Rothmann, M.D.; Wiens, B.L.; Chan, I.S.F. Design and Analysis of Non-Inferiority Trials; (Chapman & Hall/CRC Biostatistics Series, 43); Chapman & Hall/CRC Press: New York, NY, USA, 2011; pp. 149–166. [Google Scholar]
- Tang, M.L.; Tang, N.S.; Chan, I.S.; Chan, B.P. Sample size determination for establishing equivalence/noninferiority via ratio of two proportions in matched-pair design. Biometrics 2002, 58, 957–963. [Google Scholar] [CrossRef] [PubMed]
- Tang, N.S.; Tang, M.L.; Chan, S.F. On tests of equivalence via non-unity relative risk for matached-pair design. Stat. Med. 2003, 22, 1217–1233. [Google Scholar] [CrossRef] [PubMed]
- Tang, N.S.; Tang, M.L.; Chan, S.F. Confidence interval construction for proportion difference in small-sample paired studies. Stat. Med. 2010, 24, 3565–3579. [Google Scholar] [CrossRef]
- Wellek, S. Statistical methods for the analysis of two-arm non-inferiority trials with binary outcomes. Biom. J. 2005, 47, 48–61. [Google Scholar] [CrossRef] [PubMed]
- Freitag, G.; Lange, S.; Munk, A. Non-parametric assessment of non-inferiority with censored data. Stat. Med. 2006, 25, 1201–1217. [Google Scholar] [CrossRef] [PubMed]
- Arboretti, G.R.; Bonnini, S.; Solmi, F. Non-parametric two-stage active control testing method for non-inferiority tests. Quad. Stat. 2008, 10, 73–98. [Google Scholar]
- Pesarin, F.; Salmaso, L.; Carrozzo, E.; Arboretti, R. Union-intersection permutation solution for two-sample equivalence testing. Stat. Comput. 2016, 26, 693–701. [Google Scholar] [CrossRef]
- Gamalo, M.A.; Wu, R.; Tiwari, R.C. Bayesian approach to non-inferiority trials for normal means. Stat. Methods Med. Res. 2016, 25, 221–240. [Google Scholar] [CrossRef]
- Tang, M.L.; Tang, N.S. Tests of noninferiority via rate difference for three-arm clinical trials with placebo. J. Biopharm. Stat. 2004, 14, 337–347. [Google Scholar] [CrossRef]
- Koch, G.G.; Röhmel, J. Hypothesis testing in the gold standard design for proving the efficacy of an experimental treatment relative to placebo and a reference. J. Biopharm. Stat. 2004, 14, 315–325. [Google Scholar] [CrossRef]
- Pigeot, I.; Schafer, J.; Rohmel, J.; Hauschke, D. Assessing non-inferiority of a new treatment in a three-arm clinical trial including a placebo. Stat. Med. 2003, 22, 883–899. [Google Scholar] [CrossRef] [PubMed]
- Mielke, M.; Munk, A. The assessment and planning of non-inferiority trials for retention of effect hypotheses-towards a general approach. arXiv 2009, arXiv:0912.4169. [Google Scholar]
- Lui, K.; Chang, K. Notes on testing noninferiority in ordinal data under the parallel groups design. J. Biopharm. Stat. 2013, 3, 1294–1307. [Google Scholar] [CrossRef] [PubMed]
- Brannath, W.; Scharpenberg, M.; Schmidt, S. Single-stage, three-arm, adaptive test strategies for non-inferiority trials with an unstable reference. Stat. Med. 2022, 41, 5033–5045. [Google Scholar] [CrossRef]
- Tang, N.S.; Yu, B.; Tang, M.L. Testing non-inferiority of a new treatment in three-arm clinical trials with binary endpoints. BMC Med. Res. Methodol. 2014, 14, 134. [Google Scholar] [CrossRef] [PubMed]
- Tang, N.S.; Yu, B. Simultaneous confidence interval for assessing non-inferiority with assay sensitivity in a three-arm trial with binary endpoints. Pharm. Stat. 2020, 19, 518–531. [Google Scholar] [CrossRef] [PubMed]
- Tang, N.S.; Yu, B. Bayesian sample size determination in a three-arm non-inferiority trial with binary endpoints. J. Biopharm. Stat. 2022, 32, 768–788. [Google Scholar] [CrossRef]
- Paul, E.; Tiwari, R.C.; Chowdhury, S.; Ghosh, S. A more powerful test for three-arm non-inferiority via risk difference: Frequentist and Bayesian approaches. J. Appl. Stat. 2022, 12, 1–23. [Google Scholar] [CrossRef]
- Homma, G.; Diamon, T. Sample size calculation for “gold-standard” noninferiority trials with fixed margins and negative binomial endpoints. Stat. Biopharm. Res. 2021, 13, 435–447. [Google Scholar] [CrossRef]
- Ghosh, S.; Paul, E.; Chowdhury, S.; Tiwari, R.C. New approaches for testing non-inferiority for three-arm trials with Poisson distributed outcomes. Biostatistics 2022, 23, 136–156. [Google Scholar] [CrossRef]
- Ghosh, S.; Guo, W.; Ghosh, S. A hierarchical testing procedure for three arm non-inferiority trials. Comput. Stat. Data Anal. 2022, 174, 107521. [Google Scholar] [CrossRef]
- Scharpenberg, M.; Brannath, W. Simultaneous confidence intervals for an extended Koch-Röhmel design in three-arm non-inferiority trials. arXiv 2022, arXiv:2210.08931. [Google Scholar] [CrossRef]
- Tang, N.S.; Liang, F. Confidence intervals for assessing non-inferiority with assay sensitivity in a three-arm trial with normally distributed endpoints. Mathematics 2022, 10, 167. [Google Scholar] [CrossRef]
- Munzel, U. Nonparametric non-inferiority analyses in the three-arm design with active control and placebo. Stat. Med. 2009, 28, 3643–3656. [Google Scholar] [CrossRef] [PubMed]
- Tseng, Y.K.; Hsu, K.N. Study design for a three-arm equivalence clinical trial with binomially distributed outcomes. J. Biopharm. Stat. 2021, 31, 736–744. [Google Scholar] [CrossRef] [PubMed]
- Little, R.J.A.; Rubin, D.B. Statistical Analysis with Missing Data, 3rd ed.; (Wiley Series in Probability and Statistics); John Wiley & Sons: Hoboken, NJ, USA, 2020; pp. 45–87. [Google Scholar]
- Choi, S.C.; Stablein, D.M. Practical tests for comparing two proportions with incomplete data. J. R. Stat. Soc. Ser. C 1982, 31, 256–262. [Google Scholar] [CrossRef]
- Tang, M.L.; Tang, N.S. Exact tests for comparing two paired proportions with incomplete data. Biom. J. 2004, 14, 72–82. [Google Scholar] [CrossRef]
- Maritz, J.S. A permutation paired test allowing for missing values. Aust. N. Z. J. Stat. 1995, 37, 153–159. [Google Scholar] [CrossRef]
- Yu, D.; Lim, J.; Liang, F.; Kim, K.; Kim, B.S.; Jang, W. Permutation test for incomplete paired data with application to cDNA microarray data. Comput. Stat. Data Anal. 2013, 56, 510–521. [Google Scholar] [CrossRef]
- Pesarin, F. Multivariate Permutation Tests: With Applications in Biostatistics; (Wiley Series in Probability and Statistics); John Wiley & Sons: Chichester, UK, 2001; pp. 279–303. [Google Scholar]
- Pesarin, F.; Celant, G.; Salmaso, L. Two sample permutation tests for repeated measures with missing values. J. Appl. Stat. Sci. 2000, 9, 291–304. [Google Scholar]
- Robins, J.; Rotnitzky, A.; Zhao, L.P. Estimation of regression coefficients when some regressors are not always observed. J. Am. Stat. Assoc. 1994, 89, 846–866. [Google Scholar] [CrossRef]
- Lee, S.Y.; Tang, N.S. Bayesian analysis of nonlinear structural equation models with nonignorable missing data. Psychometrika 2006, 71, 541–564. [Google Scholar] [CrossRef]
- Wang, Z.Q.; Tang, N.S. Bayesian quantile regression with mixed discrete and nonignorable missing covariates. Bayesian Anal. 2020, 15, 579–604. [Google Scholar] [CrossRef]
- Kim, J.K.; Yu, C.L. A semiparametric estimation of mean functionals with nonignorable missing data. J. Am. Stat. Assoc. 2011, 106, 157–165. [Google Scholar] [CrossRef]
- Tang, N.S.; Zhao, P.Y.; Zhu, H.T. Empirical likelihood for estimating equations with nonignorable missing data. Stat. Sin. 2014, 24, 723–747. [Google Scholar] [PubMed]
- Qin, J.; Lawless, J. Empirical likelihood and general estimating equations. Ann. Stat. 1994, 22, 300–325. [Google Scholar] [CrossRef]
- Choi, S.C.; Stablein, D.M. Comparing incomplete paired binomial data under non-random mechanisms. Stat. Med. 1988, 7, 929–939. [Google Scholar] [CrossRef]
- Li, H.Q.; Tian, G.L.; Tang, N.S.; Cao, H.Y. Assessing non-inferiority for incomplete paired-data under non-ignorable missing mechanism. Comput. Stat. Data Anal. 2018, 127, 69–81. [Google Scholar] [CrossRef]
- Hida, E.; Tango, T. On the three-arm non-inferiority trial including a placebo with a prespecified margin. Stat. Med. 2011, 30, 224–231. [Google Scholar] [CrossRef]
- Kieser, M.; Friede, T. Planning and analysis of three-arm non-inferiority trials with binary endpoints. Stat. Med. 2007, 26, 253–273. [Google Scholar] [CrossRef]
- Ghosh, P.; Nathoo, F.; Gönen, M.; Tiwari, R.C. Assessing non-inferiority in a three-arm trial using the Bayesian approach. Stat. Med. 2011, 30, 1795–1808. [Google Scholar] [CrossRef] [PubMed]
- Morikawa, K.; Kim, J.K.; Kano, Y. Semiparametric maximum likelihood estimation with data missing not at random. Can. J. Stat. 2017, 45, 393–409. [Google Scholar] [CrossRef]
- Arnastauskaite, J.; Ruzgas, T.; Brazenas, M. A new goodness of fit test for multivariate normality and comparative simulation study. Mathematics 2021, 9, 3003. [Google Scholar] [CrossRef]
- Elbouch, S.E.; Michel, O.J.; Comon, P. A normality test for multivariate dependent samples. Signal Process. 2022, 201, 108705. [Google Scholar] [CrossRef]
- Cook, T.; Zea, R. Missing data and sensitivity analysis for binary data with implications for sample size and power of randomized clinical trials. Stat. Med. 2019, 39, 192–204. [Google Scholar] [CrossRef] [PubMed]
- Zhao, P.Y.; Tang, M.L.; Tang, N.S. Robust estimation of distribution functions and quantiles with non-ignorable missing data. Can. J. Stat. 2013, 129, 193–205. [Google Scholar] [CrossRef]


| n = 50 | n = 100 | n = 150 | ||||||||||
|---|---|---|---|---|---|---|---|---|---|---|---|---|
| Case | SHT | SRI | SAI | CC | SHT | SRI | SAI | CC | SHT | SRI | SAI | CC |
| E1 | 0.048 | 0.051 | 0.053 | 0.057 | 0.048 | 0.050 | 0.052 | 0.074 | 0.050 | 0.051 | 0.050 | 0.083 |
| E2 | 0.053 | 0.055 | 0.055 | 0.052 | 0.048 | 0.049 | 0.050 | 0.055 | 0.054 | 0.055 | 0.055 | 0.092 |
| E3 | 0.049 | 0.055 | 0.054 | 0.070 | 0.053 | 0.053 | 0.058 | 0.095 | 0.052 | 0.054 | 0.054 | 0.117 |
| E4 | 0.051 | 0.053 | 0.052 | 0.061 | 0.048 | 0.050 | 0.053 | 0.086 | 0.047 | 0.051 | 0.049 | 0.088 |
| N = 200 | N = 500 | |||||
|---|---|---|---|---|---|---|
| :: | SHT | SRI | SAI | SHT | SRI | SAI |
| 2:2:1 | 0.046 | 0.048 | 0.048 | 0.049 | 0.050 | 0.051 |
| 3:3:1 | 0.053 | 0.053 | 0.051 | 0.045 | 0.046 | 0.046 |
| 4:4:1 | 0.053 | 0.054 | 0.058 | 0.045 | 0.047 | 0.050 |
| 2:1:1 | 0.048 | 0.051 | 0.050 | 0.045 | 0.044 | 0.045 |
| 3:2:1 | 0.055 | 0.059 | 0.060 | 0.047 | 0.049 | 0.046 |
| 4:3:1 | 0.038 | 0.044 | 0.047 | 0.054 | 0.055 | 0.055 |
| 4:2:1 | 0.048 | 0.051 | 0.053 | 0.063 | 0.064 | 0.059 |
| 3:1:1 | 0.055 | 0.056 | 0.057 | 0.052 | 0.055 | 0.056 |
| 4:1:1 | 0.050 | 0.057 | 0.058 | 0.051 | 0.052 | 0.054 |
| SHT | SRI | SAI | CC | SHT | SRI | SAI | CC | |
|---|---|---|---|---|---|---|---|---|
| −0.2 | 0.038 | 0.046 | 0.044 | 0.033 | 0.051 | 0.050 | 0.051 | 0.033 |
| −0.1 | 0.053 | 0.055 | 0.055 | 0.052 | 0.054 | 0.055 | 0.055 | 0.092 |
| −0.05 | 0.041 | 0.045 | 0.046 | 0.066 | 0.045 | 0.048 | 0.047 | 0.061 |
| 0.0 | 0.048 | 0.051 | 0.053 | 0.057 | 0.050 | 0.051 | 0.050 | 0.083 |
| 0.05 | 0.050 | 0.051 | 0.052 | 0.065 | 0.054 | 0.055 | 0.055 | 0.092 |
| 0.1 | 0.047 | 0.051 | 0.056 | 0.087 | 0.053 | 0.056 | 0.055 | 0.111 |
Disclaimer/Publisher’s Note: The statements, opinions and data contained in all publications are solely those of the individual author(s) and contributor(s) and not of MDPI and/or the editor(s). MDPI and/or the editor(s) disclaim responsibility for any injury to people or property resulting from any ideas, methods, instructions or products referred to in the content. |
© 2023 by the authors. Licensee MDPI, Basel, Switzerland. This article is an open access article distributed under the terms and conditions of the Creative Commons Attribution (CC BY) license (https://creativecommons.org/licenses/by/4.0/).
Share and Cite
Li, W.; Zhang, Y.; Tang, N. Non-Parametric Non-Inferiority Assessment in a Three-Arm Trial with Non-Ignorable Missing Data. Mathematics 2023, 11, 246. https://doi.org/10.3390/math11010246
Li W, Zhang Y, Tang N. Non-Parametric Non-Inferiority Assessment in a Three-Arm Trial with Non-Ignorable Missing Data. Mathematics. 2023; 11(1):246. https://doi.org/10.3390/math11010246
Chicago/Turabian StyleLi, Wei, Yunqi Zhang, and Niansheng Tang. 2023. "Non-Parametric Non-Inferiority Assessment in a Three-Arm Trial with Non-Ignorable Missing Data" Mathematics 11, no. 1: 246. https://doi.org/10.3390/math11010246
APA StyleLi, W., Zhang, Y., & Tang, N. (2023). Non-Parametric Non-Inferiority Assessment in a Three-Arm Trial with Non-Ignorable Missing Data. Mathematics, 11(1), 246. https://doi.org/10.3390/math11010246

