Abstract
Cognitive deficits are very difficult to diagnose during the initial stages; tests typically consist of a patient performing punctual dual-task activities, which are subjectively analyzed to determine the cognitive decline impact on gait. This work supports novel and objective diagnosis methods by stating a baseline on how neurotypical aging affects dual tasks while using a smartphone on the move. With this aim, we propose a twofold research question: Which mobile device tasks performed on the move (dual tasking) have characteristic changes in gait parameters, and which are especially characteristic at older ages? An experiment was conducted with 30 healthy participants where they performed 15 activities (1 single task, 2 traditional dual-tasks and 12 mobile-based dual-tasks) while walking about 50 m. Participants wore a wireless motion tracker (15 sensors) that made the concise analysis of gait possible. The results obtained characterized the gait parameters affected by mobile-based dual-tasking and the impact of normal cognitive decline due to aging. The statistical analysis shows that using smartphone-based dual-tasking produces more significant results than traditional dual-tasking. In the study, 3 out of 10 gait parameters were very significantly affected (p < 0.001) when using the traditional dual tasks, while 5 out of 10 parameters were very significantly affected (p < 0.001) in mobile-based dual-tasking. Moreover, the most characteristic tasks and gait parameters were identified through the obtained results. Future work will focus on applying this knowledge to improve the early diagnosis of MCI.
    MSC:
                68W99
            1. Introduction
One of the most common stages that precede dementia is known as Mild Cognitive Impairment [] (MCI). It is defined as “cognitive impairment that is greater than expected for an individual’s age and educational level but does not markedly interfere with activities of daily living” []. An increasing prevalence of MCI has been reported, estimated in up to 19% of adults over 65 years of age, with a risk of progression to dementia in up to 33% of cases within 2 years and up to 50% of cases progressing to dementia within 5 years []. These statistics show that dementia is one of the most common disorders among older adults, and the number of people affected is expected to triple by 2050 [].
Gait performance is affected by neurodegeneration in aging and has traditionally been used as a clinical marker for progression from MCI to dementia [,]. Usually, a dual-tasking gait test evaluating the cognitive-motor interface is performed to diagnose MCI [] and to monitor its progression to dementia [,,,]. In this type of test, the geriatrician first observes the patient’s gait pace while performing a single motor task without interference from any other high cognitive load tasks. Then gait is evaluated while the patient performs some tasks with a high cognitive load (e.g., counting backwards or remembering items) in a dual-tasking model []. Different spatiotemporal parameters of the gait (e.g., gait speed or stride time) have been quantitively analyzed in the related literature about dual-tasking. The most relevant ones, as well as frequently used cognitive tasks, are listed in Section 2.3.
In general, the association between aging and gait changes has been demonstrated [,,], increasing its impact on human gait when older adults are affected by MCI. In this sense, there is growing evidence that supports the use of dual-tasking gait tests instead of single-task (only gait) as a more powerful tool to discriminate the progression between different levels of cognitive impairment [,]. For instance, it has been reported that gait speed monitoring, as part of dual-tasking gait trials, could be more valuable than acquiring gait speed in a single-task trial to discriminate between older adults with and without MCI []. In particular, the impact of dual-tasking as a cognitive-motor interface has been widely researched in both cross-sectional and longitudinal prospective studies as a potential clinical marker of cognitive impairment progression in older adults [,,,].
This work contributes a basis for the development of a novel method for early diagnosis of cognitive impairment while monitoring gait in a dual-tasking model. An innovative approach for the selection and performance of cognitive tasks is proposed for evaluation, instead of using only the classic ones (such as listing collections of related items or subtracting/counting numbers) []. We aim to study the impact on different gait cycle characteristics/parameters (spatiotemporal measures) while dual cognitive tasks are simultaneously performed, specifically, common tasks with the smartphone. The use of mobile devices has proven to be a powerful tool for obtaining data for medical purposes [,] and, particularly, for diagnosis [,,] and behavioral analysis [].
The current contribution is part of the first phase of a longer study. In this phase, we have carried out the analysis with a sample of adults within a wide age range and without cognitive impairment. In a future phase of this project, we will include adults with mild cognitive impairment in the study to perform tasks under the same terms and to determine if there is still correspondence with the findings of the current work. This characterization could provide a ground truth to support early diagnosis of cognitive impairment in the future by performing tasks with a mobile device while analyzing gait parameters.
Through this study, we aim to identify the types of cognitive tasks that have a greater impact on gait performance and determine whether this impact can be seen across all age ranges. Alongside this, we also aim to observe whether older age causes gait to be more affected in the presence of specific cognitive tasks. Thus, considering all this background, the twofold research question guiding this work is: Which mobile device tasks performed on the move (dual-tasking) have characteristic changes in gait parameters, and which are especially characteristic at older ages?
2. Materials and Methods
2.1. Participants
The study had a population of n = 30 (33.33% female and 66.67% male), without any gait pathology and with a mean age of 44.27 ± 19.55. The study did not focus on gender, so gender parity was not considered. To observe the variability of gait in different age groups, three groups were created with equal populations in each. Group 1 was aged between 18 and 34 years; group 2 from 35 to 55 years; and the last group with ages over 55 years. This grouping follows the stages of adulthood according to Carl Jung’s theory []. The subjects had the following anthropometric measurements taken prior to testing: height, foot length, shoulder height, elbow span, wrist extension, knee height and ankle height. Table 1 summarizes the population characteristics divided by age group.
 
       
    
    Table 1.
    Anthropometric measurements of participants divided by groups and total. Values are mean ± standard deviations.
  
The inclusion criteria to participate in the experiment were (a) daily use of the smartphone; (b) weekly use of applications for communication, internet searches and multimedia (categories in which all the tasks carried out in the experiment are included); (c) not having been diagnosed with any cognitive impairment; and (d) not having any motor pathology or injury affecting gait.
As we included people in our evaluation, we ensured the experiment was conducted according to the guidelines of the authors’ institution research ethics commission and in accordance with the principles of the WMA declaration of Helsinki. The authors oversaw the research conducted, while respecting all ethical and privacy implications, ensuring human rights, autonomy and dignity. The personal data and monitoring dataset were handled confidentially and anonymously. Only encoded data was used for analysis and dissemination purposes. Before participation in the experiment each participant was given a document explaining the objective of the study, the description of the experiment, the researchers responsible for data collection, their rights regarding confidentiality of the data and the voluntary nature of the experiment.
2.2. Technological Requirements
The experiment was carried out in a 24 m long and 3 m wide corridor with a wireless human motion tracker at the School of Computer Science of the University of Castilla-La Mancha, Ciudad Real. The system, named MTw Awinda [] and developed by Xsens, consists of 15 devices called MTw (Motion Tracker Wireless), which can synchronize with a transmitter/receiver base (Awinda Station). The Awinda protocol uses 2.4 GHz and is based on the IEEE 802.15.4, with an accuracy of 10 us at a frequency of 60 Hz using 15 devices. By using a technology in the same band as the 2.4 GHz WIFI, these devices have a specific definition of channels that overlap with the WIFI channels; however, unlike the WIFI channels, they do not overlap with each other. An analysis of the occupation of these channels must be made when carrying out the different tests, choosing the one that is the freest. The set offers a wireless transmission autonomy of 20–50 m, depending on environmental interferences and the load on the WIFI channels. To obtain good accuracy the station was placed on one side of the corridor within the path of the participant, 4 m from the starting point.
The data were processed and analyzed in real time by the MVN Analyze v2021.2.0 software on a computer with an i7 10700F processor and a GTX3060Ti graphics card for smooth processing. MTw devices contain an inertial measurement unit (IMU) and a barometer, with the IMU having nine degrees of freedom (DOF) and three degrees for each magnitude: (i) acceleration, (ii) velocity and (iii) magnetometer. By using multiple MTws distributed along the human body and based on the units of measurement that they bring, the system can model movement in a three-dimensional space [], obtaining spatiotemporal and kinematic parameters. The set comes with a series of Velcro bands, t-shirts and accessories for proper placement of the devices. One of the more useful accessories that allow increased precision of the anthropometric measurements of the participant is the segmometer. This tool is normally used in medical fields to take different body measurements, and in this experiment, it was used to obtain the dimensions specified. 
2.3. Dual-Tasking
Some of the most common spatiotemporal gait parameters gathered in dual-tasking studies are cadence, gait speed, stride length, step length, step width, swing phase percentage or swing duration, stance phase percentage or stance duration, double support percentage or double support duration, step duration, stride duration and step symmetry, among others. The mean and standard deviation dispersion measures are calculated to characterize the participant’s gait. For this purpose, these measures of the spatiotemporal parameters of the stride for each gait are calculated so that the gait can be quantitatively characterized. We can also determine how gait is affected while performing another highly cognitive dual task compared to the gait-only recording (single-task).
Regarding highly cognitive tasks in the dual-tasking model, related works consider the following capabilities: (i) working memory (e.g., listing the alphabet by alternating letters or reciting months of the year backward); (ii) verbal and arithmetic fluency (e.g., reciting related words that are part of a specific collection, such as animals, professions, home appliances…, and subtracting N by N or counting backwards for the arithmetic type); and (iii) attention and visuomotor abilities (e.g., a trail-making test over a paper sheet) [].
In order to have a point of reference with respect to the dual-tasking research literature, two frequently used or classic dual-tasks were added. The tasks chosen as a baseline were counting backwards from 100 by 3 s, and naming animals or professions. 
In this research, tasks like those proposed by Cabañero et al. have been chosen and adapted to the particularities of the experiment; these follow the taxonomy “Human-Smartphone Basic Interactions Taxonomy” HuSBIT []. This taxonomy classifies interactions into four groups directly related to human senses: touch, sight, speech and hearing. Additionally, each of these interactions can be classified as active or passive, depending on the user’s interaction with a smartphone. Based on this taxonomy, a series of dual-tasks are defined and classified under AMPEC terminology. This acronym corresponds to the grouping of tasks into 5 different groups: Automated, Psychomotor, Production, Exploration and Consumption. The adapted tasks, together with the assigned identifiers and their description, can be found in Table 2.
 
       
    
    Table 2.
    List of tasks classification based on AMPEC and according to HuSBIT approach.
  
2.4. Instrumentation Procedure and Trials Specification
The procedure to follow consists of (i) taking anthropometric dimensions, (ii) placing instrumentation, (iii) calibrating the system and (iv) performing single and dual-tasks  (shown in Figure 1). The time of the first, second and third phases depends on the persons in charge of the experiment, and the last phase depends directly on the participants, with a time frame between 30 and 80 min. The time difference is due to several factors, such as age of the participants, as older people took longer to perform the tasks. In addition, some sensors occasionally were misadjusted during the tests, which meant that the system had to be recalibrated (approximately 10 min).
 
      
    
    Figure 1.
      Procedure to complete the experiment with one participant.
  
The MVN Analysis software requires only two anthropometric dimensions: body height and foot length. The accuracy of the gait analysis varies depending on the number of additional measurements and their accuracy. Given the complexity of accurately measuring shoulder width, hip height and hip width, it has been decided to leave the self-generated values based on an anthropometric model.
A “full body no hands” suit configuration was used in this research. Each foot was instrumented with three MTws: one between the second and third metatarsal, one at the level of the soleus muscle and another at the level of the biceps femoris. The trunk was instrumented with four MTws: one located on the L5 vertebra above the sacral region, two on each shoulder and one on the sternum. Finally, each arm had two MTws: one on the biceps and another on the forearm.
The system used for this project requires a three-phase calibration procedure based on inertial measurement units. The duration depends on the number of devices and the capacity of the computer used, reaching two minutes in the worst case. First, the participant must start in a position called N-pose. This consists on the person standing upright with hands close to the body, feet together and as straight as possible. Then they must start walking for approximately 15 s so the system can make the necessary adjustments and detect interferences from the environment. After this time, the participant must remain in N-pose but not necessarily in the same location in which they started the calibration process. Finally, a visual check is made to ensure that the movements made by the participant and the virtual model match. At this point, it is possible to see if a mistake was made in the placement of a MTw device.
While participants were carrying out the tests, the researchers in charge of the experiment noted any incident regarding the participant’s performance of the test. Once the participant had completed the assigned task, a series of questions were asked to confirm that the experiment had been carried out correctly. Based on these criteria, the test was considered valid or not.
The tasks of the experiment can be started once the participant is instrumented and the system calibrated with the anthropometric data. At all times the normal task is the first to be performed, followed by the classic/basic dual-tasks. Tasks are performed in a random order so that fatigue does not influence the participant in the performance of the different dual-tasks with a mobile device. Figure 2 depicts the instrumentation and experiment environment.
 
      
    
    Figure 2.
      Instrumentation and experiment environment. (A) 24-m-long corridor the participants must walk. (B) Monitor where the movement of the person is visualized in real time. (C) Computer with motion capture software. (D) Start position marks. (E) Personal mobile device. (F) Some of the MTw IMUs.
  
2.5. Data Analysis
The raw inertial data obtained from the MTw IMUs, together with complementary information from the recordings provided by the Xsens MVN Analyze software, were processed and analyzed using the following specialized Python libraries: Pandas, NumPy and SciPy. With the motion capture system, the acceleration/velocity/position information is obtained from each of the sensors in addition to the information calculated by the software of the acceleration/velocity/position of the joints and body segments. This software also provides the contact information of the heels and toes with the ground for each frame of the recording.
Using the heel and toe contact data calculated by the motion capture system software, the Heel Strike and Toe Off events were calculated using a state machine, obtaining the time and frame at which the events occurred for both feet.
With the inertial data and gait events, the following spatiotemporal data of the human gait were calculated: stride length (mm), stride duration (s), maximum heel height (mm), maximum foot height (mm), stance phase duration (s), swing phase duration (s), double stance duration (s), velocity (m/s), cadence (steps/min) and the acceleration of the center of gravity in the mediolateral axis (). Table 3 shows the spatiotemporal parameters of single task (ST) and dual-tasking (DT) gait divided by age group.
 
       
    
    Table 3.
    Spatiotemporal parameters obtained by volunteers separated into age groups for single task (only gait) and dual tasks. Values are mean ± standard deviations.
  
A normalization of the spatiotemporal parameters was performed to reduce the bias caused by the anthropometric characteristics of the subjects. These were presented in a dimensionless form so they were less susceptible to the variability of the anthropometric factors []. The variables for double stance duration, swing phase duration and support phase duration were divided by the stride time (), obtaining the percentage that corresponds to the duration of this phase of the total stride duration [,,]. Stride length was normalized by the height of the person [] as were speed and cadence (in which gravity was also included) [,]. Alternatively, for the normalization of the maximum heel and foot height parameters, the Pearson correlation coefficient was calculated after assuming normality using the Saphiro-Wilk test with a confidence level of 95% (). With this it was observed that the anthropometric variable that most affected maximum heel height and maximum foot height was height, with r = 0.61 (p = 0.0003) and r = 0.53 (p = 0.002), respectively. Therefore, these two parameters were also normalized by the height of the subject. In addition, these values remained very small because of the normalization of the maximum heel and foot height parameters. Thus, a Min-Max normalization was also applied to these values to make them range [0, 1]. The maximum acceleration in the mediolateral axis was normalized by gravity []. See Table 4 for the dimensionless normalization of the spatiotemporal parameters.
 
       
    
    Table 4.
    Dimensionless normalization of gait parameters [], where  is the subject’s height,  is the stride length and g is gravity (9.81 m/s2).
  
The initial and final strides were eliminated to avoid the effects of acceleration/decelerations produced when starting the gait, when finishing it or when approaching the turning point. For this purpose, the velocity information of the subject’s center of gravity in the anteroposterior axis, smoothed with the Savizky-Golay filter [], was used to detect strides that were far away from the walking speed. In addition, outliers that deviated by 30% or more from the average, which may be caused by interferences between the sensors, were also eliminated. A total of 55 ± 8 strides was analyzed from each recording.
Descriptive statistics are presented as mean ± SD. A general outline of the analyses carried out is presented in Figure 3, with more details to follow in the next section. The t-student test was used for each gait parameter for the comparison between the normal gait and the dual-tasking group. For further exploration, and in order to test the initial hypothesis, a paired t-student test was performed between normal gait and all the dual-tasking activities (the baseline and the proposed). In all cases the significance level was set at 95% (α = 0.05), so it could be said to be significant when its p-value was <α and very significant (or higher significance) when its p-value was much lower than α; this will be emphasized by setting “<0.001” instead of its p-value. Finally, Pearson’s correlation coefficient was calculated to look for relationships between age and gait variability when performing the dual-tasks.
 
      
    
    Figure 3.
      Structure of the analysis carried out in this paper (the included graphs are just for illustration, results are explained in Section 3).
  
3. Results
The results section is divided into two parts: the first one shows the statistical analyses to answer the research question “Which mobile device tasks performed on the move (dual-tasking) have characteristic changes in gait parameters?”; the second part focuses on answering the question “Which are especially characteristic at older ages?” through a study of the correlation of gait variables with age for the different activities.
3.1. Inferential Analysis
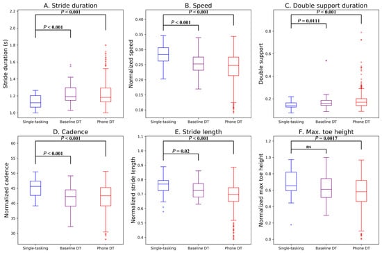
In the first analysis, a Student’s t-test is performed between single-task gait versus dual-task baseline gait (used in traditional tests) and single task versus smartphone dual-task gait. The results of applying the t-test can be seen in Appendix A, Table A1. Figure 4 shows the boxplots of the gait variables with the highest level of significance. First, we performed a comparison between the single-task gait with the baseline dual-task gait. This shows that the variables stride length, velocity and cadence are the most significant variables (p < 0.001). The parameters of acceleration of the axis of gravity in the mediolateral axis, stride length, swing and stance phase (p = 0.013, p = 0.020, p = 0.041 and p = 0.041 respectively) are also significant. The variables maximum foot height (p = 0.211) and maximum heel height (p = 0.504) are not significant.
 
      
    
    Figure 4.
      Boxplots with the effects of the baseline dual task and mobile phone dual task on single gait of the 6 gait variables with the highest significance (lowest p-value). The five-pointed stars represent outliers, which are data points that fall outside the upper and lower quartiles of the data set. See Appendix A, Table A1.
  
On the other hand, the gait variables are more affected when performing the double task with the smartphone. The variables stride duration, speed, double support phase, cadence and stride length have a higher level of significance (p < 0.0001). The other variables max heel height, acc. mediolateral, support phase, swing phase and max toe height (p = 0.031, p = 0.039, p = 0.005, p = 0.005 and p = 0.002, respectively) are also significant. 
To evaluate which dual-task activities affect gait parameters the most, a separate Student’s t-test was performed between each dual activity and single-task gait. Table 5 shows which dual tasks with the smartphone present more significant variations with single-task gait and compare them with the reference dual tasks (B1 and B2). Figure 5 shows the boxplots of the dual tasks with the mobile device with the largest effect on gait. We can see how tasks E4 and P3 have the greatest influence on gait with p < 0.05 for all gait parameters. Tasks E2 and M5 have p < 0.05 in 7/10 and 8/10 parameters, respectively. It can be highlighted how the performance of the dual tasks with the smartphone causes variations in a greater number of gait parameters than the base dual tasks, such as the percentage in double support or the maximum foot height.
 
       
    
    Table 5.
    Results of applying the t-test of each dual-tasking task vs. single-task gait for each normalized gait parameter.
  
 
      
    
    Figure 5.
      Boxplots showing the dual-tasking activities with the highest load on the gait for the most significant parameters (see Table 5).
  
If we look at Table 5 by rows rather than by columns, we can see how the significant gait parameters for the baseline dual tasks are stride duration, speed, cadence and stride length. On the other hand, when performing the dual tasks with the smartphone, it can be observed how more gait parameters are affected compared to the baseline tasks, such as double support, swing phase, stance phase and maximum foot height.
3.2. Correlation Analysis
Finally, Pearson’s correlation coefficient was calculated to examine the relationships between age and the variability of gait parameters in the performance of the dual-task baseline activities, the dual-task activities with the mobile phone and with the gait without an additional task. Appendix A, Table A2 shows a moderate/strong relationship in the parameters of speed (r = −0.58), cadence (r = −0.57), stride length (r = 0.5), double stance phase (r = 0.5) and stride length (r = 0.49), with age in the dual-task performance using the mobile device, all with p < 0.001. A relationship also exists (though not as strong) between age and the previously mentioned gait parameters with the baseline dual tasks, and likewise with the single-task gait. Figure 6 shows the regression lines with the effects of age on the gait parameters on the performance of the different tasks.
 
      
    
    Figure 6.
      Associations of age (in years) with the normalized gait parameters that showed the best correlation results (see Appendix A, Table A2).
  
4. Discussion
This work provides knowledge on how various gait parameters are affected when performing typical tasks with a smartphone and compares them with single and baseline dual-tasking tests typically used to diagnose cognitive impairment.
The present work aims to obtain a ground truth in terms of dual-tasking effect on gait variability while interacting with mobile devices. The most relevant parameters and the most representative mobile device tasks were identified, both based on their statistical significance. The data obtained also served as a model to characterize normal age-related cognitive decline—key information for this model as an early diagnostic tool.
In general terms, after analyzing the impact on gait performance for the entire sample during single and dual-tasking, the results obtained are in line with the existing research literature on dual-tasking [] when considering baseline dual-tasking and when using a mobile device. Particularly, Figure 4 shows that stride duration tends to increase (as indicated by the median of boxplot A), as does stride length variability, which is observable by a slightly higher interquartile range (IQR) and more separated extreme values (wider whiskers in the boxplot) when compared to ambulation without dual-tasking. 
Regarding gait speed and cadence (boxplots B and D in Figure 4), both parameters tend to decrease for the entire sample, while their variability increases in the presence of dual-tasking for both DT-baseline and DT-smartphone, having much higher outliners in the dual-tasks with smartphone. Alternatively, for both groups, the double support time (gait phase in which both feet coincide on the ground) increases in a slightly observable manner (boxplot C), also showing higher dispersion values than those from single-task trials (only gait). From this general perspective, spatial gait parameters, such as stride length and max toe height (boxplots E and F in the same figure), decrease in value during dual-tasking performance, possibly due to the consequent reduction in walking pace and the inertia of the movement itself. At the same time, higher variability is also observed, both in the interquartile range and in the distance between their extreme ranges. This can be seen in most of the cognitive tasks in Figure 5 and reinforces what was previously said. Considering Figure 4 and Table A1, Appendix A most of the parameters (except Mediolateral Acc.Mediolateral) have a higher variability in the dual tasks with smartphone. This indicates that smartphone use may be a significant factor to consider when studying gait variability, and it appears to be at least as good (or better) as the “classic” dual tasks in this regard.
However, it is difficult to indicate which of these spatiotemporal gait parameters is the most affected in terms of variability compared to single-task trials (only gait). If we observe the interquartile range closely, perhaps it is cadence or speed; if we look at the length of the boxplots with their whiskers (and without outliers), maybe it is the stride duration.
Table 5 shows that dual tasks that use a smartphone have a greater impact on gait parameters than the baseline tasks when reading by columns. Reading by rows, the results for the baseline dual tasks match what is found in the literature, impacting stride duration, speed and cadence. However, dual tasks involving a smartphone have a greater effect on gait, altering more parameters.
Nevertheless, some interesting conclusions can be drawn by studying the evolution of the gait parameters most affected by dual-tasking in relation to age. The regression lines of dual-tasking with a smartphone show a greater slope than the lines of the base dual-tasking and the lines of single-tasking, as shown in Figure 6. Specifically, moderate direct correlation between stride duration and age, and moderate inverse correlations between speed and age and cadence and age can be observed. Furthermore, it should be highlighted that the biggest difference between single-task and smartphone dual-task correlation coefficients is found in the stride duration parameter, which is reflected by a larger angle formed at the point of intersection of the two lines in the figure.
This work also opens up the possibility of future work that takes diagnosis from punctual tests in controlled environments to long-term testing in everyday life. The next steps will focus on the use of low-cost sensorized insoles, based on previous work by the authors [], to obtain information on the performance of dual-tasking activities while people carry out their daily life in a more complete and objective way.
In addition to the contributions highlighted above, this work has served to identify some limitations. First, the sample of 30 people, although statistically conclusive, should be expanded to make the results for each age range more consistent. Similarly, future work should consist of replicating the tests with people diagnosed with MCI to create expert systems that can identify the initial stages of MCI, which can help in early diagnosis before symptomatology is evident.
In this initial experiment with the XSENS system, we aimed to identify which activities cause the most variability in gait parameters. Based on these results, future studies should be designed to examine the relationship between these variables (gait parameters) and to apply a factorial ANOVA analysis. Additionally, Tukey’s method can be used to further investigate the interaction of different activities with the smartphone to determine their significance in gait analysis. 
5. Conclusions
The results show how the performance of dual-tasking (either base or with the use of a smartphone) significantly affects a person’s gait. The results show that different dual tasks affect gait parameters differently. Specifically, dual-tasks involving a smartphone were found to have a greater impact on gait, resulting in more significant parameters. In the baseline task, 8 out of 10 gait parameters were significant, with only 3 having a p-value less than 0.001. In contrast, all 10 parameters were affected in the dual task using a smartphone, with 5 having a p-value less than 0.001. These findings indicate that smartphone use should be considered when studying gait variability and may be a useful tool for early diagnosis of cognitive impairment.
Returning to one of the research questions: Which mobile device tasks performed on the move (dual-tasking) have characteristic changes in gait parameters? Overall, it can be concluded that all smartphone tasks affect gait more than baseline tasks, except for task P2 (recording a voice message while walking). These findings indicate the importance of considering smartphone use when studying gait variability and for early diagnosis of cognitive impairment.
Based on the results presented in Figure 6, there is a moderate to strong relationship between age and certain gait parameters (speed, cadence, stride length, double support phase) in the dual-task performance using a smartphone. This relationship is also present, though not as strong, in the performance of the dual-task baseline activities and the single-task gait. So, regarding the question: Which are especially characteristic at older ages? we can also conclude that the effect of dual-tasking with a smartphone increases with age; this is well-observed in stride duration, speed and cadence.
Author Contributions
Conceptualization, R.H. and I.G.; methodology, R.H. and I.G.; software, D.C.-P. and C.C.D.; validation, D.C.-P., C.C.D., R.H. and I.G.; formal analysis, D.C.-P. and C.C.D.; investigation, R.H., J.F. and I.G.; resources, E.J., D.C.-P. and C.C.D.; data curation, D.C.-P. and C.C.D.; writing—original draft preparation, D.C.-P. and C.C.D.; writing—review and editing, R.H., I.G., E.J. and J.F.; visualization, D.C.-P. and C.C.D.; supervision, I.G. and R.H.; project administration, R..H.; funding acquisition, R.H. and J.F. All authors have read and agreed to the published version of the manuscript.
Funding
This research was funded by the MINISTERIO DE CIENCIA, INNOVACIÓN Y UNIVERSIDADES, grant number projects: RTI2018-098780-B-I00 and PDC2022-133457-I00 (M4S national research project and derived proof of concept project) and EQC2019-006053-P (WeCareLab); the PTA2020-018436-I technical support personnel contract; and the 2022-PRED-20651 predoctoral contract by UNIVERSITY OF CASTILLA-LA MANCHA.
Institutional Review Board Statement
The study was conducted in accordance with the Declaration of Helsinki, and following the Ethics Committee guidelines of University of Castilla-La Mancha (https://www.uclm.es/misiones/investigacion/serviciosinvestigacion/portaleticacientifica). 
Informed Consent Statement
Informed consent was obtained from all subjects involved in the study.
Data Availability Statement
The dataset generated and analyzed for this study can be found in https://mamilab.eu/datasets/.
Acknowledgments
We would like to thank all the people who collaborated as participants in this experiment. We would also like to thank Victor Casero-Alonso for clearing up our questions regarding statistical analysis.
Conflicts of Interest
The authors declare no conflict of interest.
Appendix A
 
       
    
    Table A1.
    Results of applying the student’s t-test for each gait parameter normalized between single task (only gait) and gait during dual-tasking (baseline and mobile device tasks). Variables are sorted in ascending order of p-values. The mean ± SD of the parameters are reported.
  
Table A1.
    Results of applying the student’s t-test for each gait parameter normalized between single task (only gait) and gait during dual-tasking (baseline and mobile device tasks). Variables are sorted in ascending order of p-values. The mean ± SD of the parameters are reported.
      | Gait Parameter | Single Task | Baseline DT | Phone DT | p-Value | p-Value | 
|---|---|---|---|---|---|
| Stride duration (s) | 1.13 ± 0.08 | 1.22 ± 0.11 | 1.23 ± 0.14 | <0.001 | <0.001 | 
| Speed | 0.29 ± 0.04 | 0.25 ± 0.04 | 0.24 ± 0.05 | 0.001 | <0.001 | 
| Double support phase | 0.15 ± 0.03 | 0.18 ± 0.08 | 0.19 ± 0.08 | 0.011 | <0.001 | 
| Cadence | 44.99 ± 3.04 | 41.76 ± 3.59 | 41.73 ± 4.47 | <0.001 | <0.001 | 
| Stride length | 0.76 ± 0.07 | 0.73 ± 0.06 | 0.69 ± 0.00 | 0.020 | <0.001 | 
| Max toe height | 0.68 ± 0.17 | 0.63 ± 0.17 | 0.57 ± 0.18 | 0.211 | 0.002 | 
| Swing phase | 0.43 ± 0.02 | 0.42 ± 0.02 | 0.42 ± 0.03 | 0.041 | 0.005 | 
| Stance phase | 0.57 ± 0.02 | 0.58 ± 0.02 | 0.58 ± 0.03 | 0.041 | 0.005 | 
| Max heel height | 0.69 ± 0.16 | 0.66 ± 0.15 | 0.61 ± 0.18 | 0.504 | 0.031 | 
| Acc. Mediolateral | 0.17 ± 0.04 | 0.15 ± 0.04 | 0.15 ± 0.04 | 0.0132 | 0.039 | 
 
       
    
    Table A2.
    Results of applying Pearson to search for correlations between normalized gait variables and age when performing normal gait and dual-tasking.
  
Table A2.
    Results of applying Pearson to search for correlations between normalized gait variables and age when performing normal gait and dual-tasking.
      | Single-Task | Base Dual-Tasking | Phone Dual-Tasking | ||||
|---|---|---|---|---|---|---|
| Gait Parameter | r | p-Value | r | p-Value | r | p-Value | 
| Stride duration (s) | 0.03 | ns | 0.26 | 0.046 | 0.49 | <0.001 | 
| Speed | −0.40 | 0.031 | −0.42 | <0.001 | −0.58 | <0.001 | 
| Double Support | 0.46 | 0.011 | 0.38 | 0.003 | 0.50 | <0.001 | 
| Cadence | −0.21 | ns | −0.37 | 0.003 | −0.57 | <0.001 | 
| Stride length | −0.40 | 0.026 | −0.36 | 0.005 | −0.50 | <0.001 | 
| Max toe height | −0.34 | ns | −0.19 | ns | −0.34 | <0.001 | 
| Swing phase | −0.33 | ns | −0.25 | ns | −0.25 | <0.001 | 
| Stance phase | 0.33 | ns | 0.25 | 0.049 | 0.25 | <0.001 | 
| Max heel height | −0.24 | ns | −0.28 | 0.031 | −0.43 | <0.001 | 
| Acc. Mediolateral | −0.07 | ns | 0.02 | ns | −0.29 | <0.001 | 
References
- Grundman, M.; Petersen, R.C.; Ferris, S.H.; Thomas, R.G.; Aisen, P.S.; Bennett, D.A.; Foster, N.L.; Jack, C.R.; Galasko, D.R.; Doody, R.; et al. Mild Cognitive Impairment Can Be Distinguished from Alzheimer Disease and Normal Aging for Clinical Trials. Arch. Neurol. 2004, 61, 59–66. [Google Scholar] [CrossRef]
- Gauthier, S.; Reisberg, B.; Zaudig, M.; Petersen, R.C.; Ritchie, K.; Broich, K.; Belleville, S.; Brodaty, H.; Bennett, D.; Chertkow, H.; et al. Mild Cognitive Impairment. Lancet 2006, 367, 1262–1270. [Google Scholar] [CrossRef] [PubMed]
- Ritchie, K. Mild Cognitive Impairment: An Epidemiological Perspective. Dialogues Clin. Neurosci. 2004, 6, 401–408. [Google Scholar] [CrossRef] [PubMed]
- Jeong, J. EEG Dynamics in Patients with Alzheimer’s Disease. Clin. Neurophysiol. 2004, 115, 1490–1505. [Google Scholar] [CrossRef]
- Montero-Odasso, M.M.; Sarquis-Adamson, Y.; Speechley, M.; Borrie, M.J.; Hachinski, V.C.; Wells, J.; Riccio, P.M.; Schapira, M.; Sejdic, E.; Camicioli, R.M.; et al. Association of Dual-Task Gait with Incident Dementia in Mild Cognitive Impairment. JAMA Neurol. 2017, 74, 857. [Google Scholar] [CrossRef] [PubMed]
- Bovonsunthonchai, S.; Vachalathiti, R.; Hiengkaew, V.; Bryant, M.S.; Richards, J.; Senanarong, V. Quantitative Gait Analysis in Mild Cognitive Impairment, Dementia, and Cognitively Intact Individuals: A Cross-Sectional Case–Control Study. BMC Geriatr. 2022, 22, 767. [Google Scholar] [CrossRef]
- Zheng, Y.; Lang, S.; Liang, J.; Jiang, Y.; Zhao, B.; Chen, H.; Huang, D.; Li, Q.; Liu, H.; Chen, S.; et al. Effects of Motor-Cognitive Interaction Based on Dual-Task Gait Analysis Recognition in Middle Age to Aging People with Normal Cognition and Mild Cognitive Impairment. Front. Aging Neurosci. 2022, 14, 969822. [Google Scholar] [CrossRef]
- Lamoth, C.J.; van Deudekom, F.J.; van Campen, J.P.; Appels, B.A.; de Vries, O.J.; Pijnappels, M. Gait Stability and Variability Measures Show Effects of Impaired Cognition and Dual Tasking in Frail People. J. Neuroeng. Rehabil. 2011, 8, 1–9. [Google Scholar] [CrossRef]
- Ansai, J.H.; Andrade, L.P.D.; Rossi, P.G.; Almeida, M.L.; Carvalho Vale, F.A.; Rebelatto, J.R. Association Between Gait and Dual Task with Cognitive Domains in Older People with Cognitive Impairment. J. Mot. Behav. 2018, 50, 409–415. [Google Scholar] [CrossRef]
- Åhman, H.B.; Cedervall, Y.; Kilander, L.; Giedraitis, V.; Berglund, L.; McKee, K.J.; Rosendahl, E.; Ingelsson, M.; Åberg, A.C. Dual-Task Tests Discriminate between Dementia, Mild Cognitive Impairment, Subjective Cognitive Impairment, and Healthy Controls—A Cross-Sectional Cohort Study. BMC Geriatr. 2020, 20, 258. [Google Scholar] [CrossRef]
- Bragatto, V.S.R.; Andrade, L.P.D.; Rossi, P.G.; Ansai, J.H. Dual-Task during Gait between Elderly with Mild Cognitive Impairment and Alzheimer: Systematic Review. Fisioterapia em Movimento 2017, 30, 849–857. [Google Scholar] [CrossRef]
- Leone, C.; Moumdjian, L.; Patti, F.; Vanzeir, E.; Baert, I.; Veldkamp, R.; van Wijmeersch, B.; Feys, P. Comparing 16 Different Dual–Tasking Paradigms in Individuals with Multiple Sclerosis and Healthy Controls: Working Memory Tasks Indicate Cognitive–Motor Interference. Front. Neurol. 2020, 11, 918. [Google Scholar] [CrossRef] [PubMed]
- González, I.; Fontecha, J.; Hervás, R.; Bravo, J. Estimation of Temporal Gait Events from a Single Accelerometer Through the Scale-Space Filtering Idea. J. Med. Syst. 2016, 40, 1–10. [Google Scholar] [CrossRef] [PubMed]
- González, I.; Fontecha, J.; Bravo, J. Relationship between Stride Interval Variability and Aging: Use of Linear and Non-Linear Estimators for Gait Variability Assessment in Assisted Living Environments. J. Ambient Intell. Humaniz. Comput. 2019, 10, 2095–2109. [Google Scholar] [CrossRef]
- Droby, A.; Varangis, E.; Habeck, C.; Hausdorff, J.M.; Stern, Y.; Mirelman, A.; Maidan, I. Effects of Aging on Cognitive and Brain Inter-Network Integration Patterns Underlying Usual and Dual-Task Gait Performance. Front. Aging Neurosci. 2022, 14, 1157. [Google Scholar] [CrossRef]
- Muir, S.W.; Speechley, M.; Wells, J.; Borrie, M.; Gopaul, K.; Montero-Odasso, M. Gait Assessment in Mild Cognitive Impairment and Alzheimer’s Disease: The Effect of Dual-Task Challenges across the Cognitive Spectrum. Gait Posture 2012, 35, 96–100. [Google Scholar] [CrossRef]
- MacAulay, R.K.; Wagner, M.T.; Szeles, D.; Milano, N.J. Improving Sensitivity to Detect Mild Cognitive Impairment: Cognitive Load Dual-Task Gait Speed Assessment. J. Int. Neuropsychol. Soc. 2017, 23, 493–501. [Google Scholar] [CrossRef]
- Ramírez, F.; Gutiérrez, M. Dual-Task Gait as a Predictive Tool for Cognitive Impairment in Older Adults: A Systematic Review. Front. Aging Neurosci. 2021, 13, 769462. [Google Scholar] [CrossRef]
- Veldkamp, R.; Goetschalckx, M.; Hulst, H.E.; Nieuwboer, A.; Grieten, K.; Baert, I.; Leone, C.; Moumdjian, L.; Feys, P. Cognitive–Motor Interference in Individuals with a Neurologic Disorder: A Systematic Review of Neural Correlates. Cogn. Behav. Neurol. 2021, 34, 79–95. [Google Scholar] [CrossRef]
- Tsang, C.S.-L.; Wang, S.; Miller, T.; Pang, M.Y.-C. Degree and Pattern of Dual-Task Interference during Walking Vary with Component Tasks in People after Stroke: A Systematic Review. J. Physiother. 2022, 68, 26–36. [Google Scholar] [CrossRef]
- Rooney, S.; Ozkul, C.; Paul, L. Correlates of Dual-Task Performance in People with Multiple Sclerosis: A Systematic Review. Gait Posture 2020, 81, 172–182. [Google Scholar] [CrossRef] [PubMed]
- Bravo, J.; Villarreal, V.; Hervás, R.; Urzaiz, G. Using a Communication Model to Collect Measurement Data through Mobile Devices. Sensors 2012, 12, 9253–9272. [Google Scholar] [CrossRef]
- Cabañero, L.; Hervás, R.; González, I.; Fontecha, J.; Mondéjar, T.; Bravo, J. Characterisation of Mobile-Device Tasks by Their Associated Cognitive Load through EEG Data Processing. Future Gener. Comput. Syst. 2020, 113, 380–390. [Google Scholar] [CrossRef]
- Lupton, D.; Jutel, A. “It’s like Having a Physician in Your Pocket!” A Critical Analysis of Self-Diagnosis Smartphone Apps. Soc. Sci. Med. 2015, 133, 128–135. [Google Scholar] [CrossRef] [PubMed]
- Klimova, B. Mobile Phone Apps in the Management and Assessment of Mild Cognitive Impairment and/or Mild-to-Moderate Dementia: An Opinion Article on Recent Findings. Front. Hum. Neurosci. 2017, 11, 461. [Google Scholar] [CrossRef]
- Bravo, J.; Hervás, R.; Fontecha, J.; González, I. M-Health: Lessons Learned by m-Experiences. Sensors 2018, 18, 1569. [Google Scholar] [CrossRef]
- Harari, G.M.; Lane, N.D.; Wang, R.; Crosier, B.S.; Campbell, A.T.; Gosling, S.D. Using Smartphones to Collect Behavioral Data in Psychological Science: Opportunities, Practical Considerations, and Challenges. Perspect. Psychol. Sci. 2016, 11, 838–854. [Google Scholar] [CrossRef]
- Jung, C.G.H. Collected Works of C.G. Jung, Volume 8: Structure & Dynamics of the Psyche; Princeton University Press: Princeton, NJ, USA, 2014. [Google Scholar]
- Paulich, M.; Schepers, M.; Rudigkeit, N.; Bellusci, G. Xsens MTw Awinda: Miniature Wireless Inertial-Magnetic Motion Tracker for Highly Accurate 3D Kinematic Applications. Xsens Enschede Neth. 2018, MW0404P, 1–9. [Google Scholar] [CrossRef]
- Song, Z.; Cao, Z.; Li, Z.; Wang, J.; Liu, Y. Inertial Motion Tracking on Mobile and Wearable Devices: Recent Advancements and Challenges. Tsinghua Sci. Technol. 2021, 26, 692–705. [Google Scholar] [CrossRef]
- Hof, A.L. Scaling Gait Data to Body Size. Gait Posture 1996, 4, 222–223. [Google Scholar] [CrossRef]
- Chao, E.Y.; Laughman, R.K.; Schneider, E.; Stauffer, R.N. Normative Data of Knee Joint Motion and Ground Reaction Forces in Adult Level Walking. J. Biomech. 1983, 16, 219–233. [Google Scholar] [CrossRef]
- Macellari, V.; Giacomozzi, C.; Saggini, R. Spatial-Temporal Parameters of Gait: Reference Data and a Statistical Method for Normality Assessment. Gait Posture 1999, 10, 171–181. [Google Scholar] [CrossRef] [PubMed]
- Gill, H.S.; O’Connor, J.J. Heelstrike and the Pathomechanics of Osteoarthrosis: A Pilot Gait Study. J. Biomech. 2003, 36, 1625–1631. [Google Scholar] [CrossRef]
- Owings, T.M.; Grabiner, M.D. Variability of Step Kinematics in Young and Older Adults. Gait Posture 2004, 20, 26–29. [Google Scholar] [CrossRef] [PubMed]
- Titianova, E.B.; Pitkänen, K.; Pääkkönen, A.; Sivenius, J.; Tarkka, I.M. Gait Characteristics and Functional Ambulation Profile in Patients with Chronic Unilateral Stroke. Am. J. Phys. Med. Rehabil. 2003, 82, 778–786. [Google Scholar] [CrossRef] [PubMed]
- Savitzky, A.; Golay, M.J.E. Smoothing and Differentiation of Data by Simplified Least Squares Procedures. Anal. Chem. 1964, 36, 1627–1639. [Google Scholar] [CrossRef]
- González, I.; Fontecha, J.; Hervás, R.; Bravo, J. An Ambulatory System for Gait Monitoring Based on Wireless Sensorized Insoles. Sensors 2015, 15, 16589–16613. [Google Scholar] [CrossRef]
| Disclaimer/Publisher’s Note: The statements, opinions and data contained in all publications are solely those of the individual author(s) and contributor(s) and not of MDPI and/or the editor(s). MDPI and/or the editor(s) disclaim responsibility for any injury to people or property resulting from any ideas, methods, instructions or products referred to in the content. | 
© 2022 by the authors. Licensee MDPI, Basel, Switzerland. This article is an open access article distributed under the terms and conditions of the Creative Commons Attribution (CC BY) license (https://creativecommons.org/licenses/by/4.0/).
