Numerical Investigation of a Rotating Magnetic Field Influence on Free Convective CNT/Water Nanofluid Flow within a Corrugated Enclosure
Abstract
1. Introduction
2. Problem Statement
2.1. Governing Equations
2.2. Boundary Conditions
- Vertical walls
- Horizontal walls
- -
- Vertical walls
- -
- Horizontal walls
2.3. Grid Independent and Validation
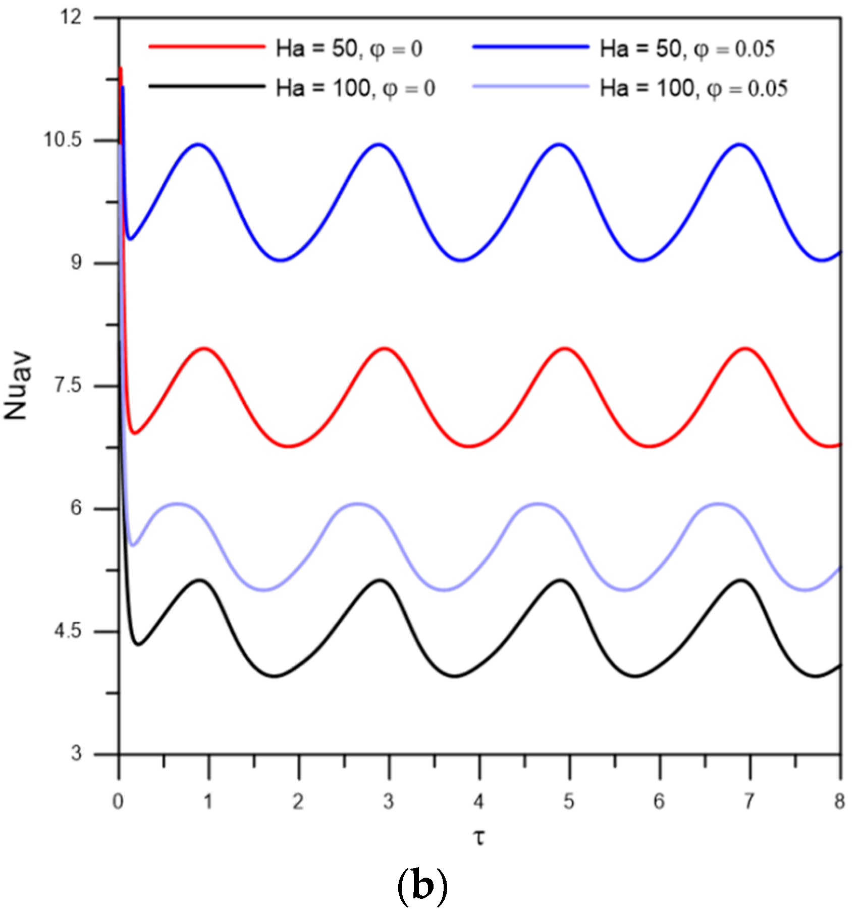
3. Results and Discussion
4. Conclusions
- Applying a magnetic field produces a Lorentz force that opposes the buoyancy force and reduces flow intensity and temperature gradient.
- The rotation of the magnetic field produces a time-dependent periodic behaviour of the flow.
- The increase of Ra values leads to the increase of the heat transfer for all the considered cases.
- The addition of CNT nanoparticles leads to a significant enhancement of thermal energy exchange.
- The increment of the corrugation aspect ratio causes the apparition of stagnant fluid zones and thus will cause a lessening in the rate of heat transfer.
- The effect of the frequency of the magnetic field rotation depends on the corrugations’ size. In fact, the heat transfer increases with the frequency for low values of A/L and the opposite occurs for lower values.
Author Contributions
Funding
Institutional Review Board Statement
Conflicts of Interest
Nomenclature
| A | Corrugated height (m) | Greek symbols | |
| B | Monotonic magnetic field | ||
| Bo | Magnetic field strength | ||
| Cp | Specific heat (J kg−1 K−1) | α | Thermal diffusivity (m2 s−1) |
| f | Frequency | β | Coefficient of thermal expansion (K−1) |
| Electromagnetic force | γ | Magnetic field inclination angle (degree) | |
| g | Gravitational acceleration (m s−2) | μ | Dynamic viscosity (Pa s) |
| Ha | Hartmann number | ν | Kinematic viscosity (m2 s−1) |
| Electric current density | ω | Angular frequency (s−1) | |
| L | Cavity dimension (m) | φ | Solid volume fraction |
| Nu | Local Nusselt number | Electric potential | |
| Time average Nusselt number | ρ | Density (kg m−3) | |
| k | Thermal conductivity | σ | Electrical conductivity |
| p | Pressure (Pa) | θ | Dimensionless temperature |
| P | Dimensionless pressure | τ | Dimensionless time |
| Pr | Prandtl number | τp | Dimensionless time period |
| Ra | Rayleigh number | ||
| T | Temperature (K) | Subscripts | |
| t | Time (s) | av | Average |
| tp | Time period (s) | c | Cold |
| u,v | Velocity components (m s−1) | f | Fluid |
| U | Dimensionless velocity components | h | Hot |
| V | Velocity vector (m s−1) | nf | Nanofluid |
| x,y | Dimensional coordinates (m) | np | Nanoparticle |
References
- Javed, M.F.; Khan, M.I.; Khan, N.B.; Muhammad, R.; Rehman, M.U.; Khan, S.W.; Khan, T.A. Axisymmetric flow of Casson fluid by a swirling cylinder. Results Phys. 2018, 9, 1250–1255. [Google Scholar] [CrossRef]
- Khan, M.I.; Ullah, S.; Hayat, T.; Waqas, M.; Khan, M.I.; Alsaedi, A. Salient aspects of entropy generation optimization in mixed convection nanomaterial flow. Int. J. Heat Mass Transf. 2018, 126, 1337–1346. [Google Scholar] [CrossRef]
- Dold, P.; Benz, K.W. Modification of fluid flow and heat transport in vertical bridgman configurations by rotating magnetic fields. Cryst. Res. Technol. 1997, 32, 51–60. [Google Scholar] [CrossRef]
- Zou, Y.; Huang, H.; Zhu, G.; Zhou, X. Effect of Rotating Magnetic Field on Thermal Convection and Dopant Transport in Floating-Zone Crystal Growth. Microgravity Sci. Technol. 2020, 32, 349–361. [Google Scholar] [CrossRef]
- Yao, L.; Zeng, Z.; Zhang, L.; Lei, C. Convection and instability of thermocapillary flow in a liquid bridge subject to a non-uniform rotating magnetic field. Int. Commun. Heat Mass Transf. 2017, 87, 52–60. [Google Scholar] [CrossRef]
- Witkowski, L.M.; Walker, J.S. Flow driven by Marangoni convection and Rotating Magnetic Field in A Floating-Zone configuration. Magnetohydrodynamics 2001, 37, 112–118. [Google Scholar] [CrossRef]
- Dold, P.; Benz, K.W. Rotating Magnetic Fields: Fluid Flow and Crystal Growth Applications. Prog. Cryst. Growth Charact. Mater. 1999, 38, 7–38. [Google Scholar] [CrossRef]
- Feonychev, A.I.; Bondareva, N.V. Effect of a rotating magnetic field on convection stability and crystal growth in zero gravity and on the ground. J. Eng. Phys. Thermophys. 2004, 77, 731–742. [Google Scholar] [CrossRef]
- Nikrityuk, P.A.; Eckert, K.; Grundmann, R. A numerical study of unidirectional solidification of a binary metal alloy under influence of a rotating magnetic field. Int. J. Heat Mass Transf. 2006, 49, 1501–1515. [Google Scholar] [CrossRef]
- Friedrich, J.; Lee, Y.S.; Fischer, B.; Kupfer, C.; Vizman, D.; Müller, G. Experimental and numerical study of Rayleigh-Bénard convection affected by a rotating magnetic field. Phys. Fluids 1999, 11, 853–861. [Google Scholar] [CrossRef]
- Volz, M.P.; Mazuruk, K. An experimental study of the influence of a rotating magnetic field on Rayleigh-Bénard convection. J. Fluid Mech. 2001, 444, 79–98. [Google Scholar] [CrossRef]
- Lyubimov, D.V.; Busse, F.H.; Lyubimova, T.P.; Sadilov, E.S.; Burnysheva, A.V. Rotating magnetic field effect on an onset of convection in a horizontal layer of conducting fluid. Eur. J. Mech. B Fluids 2017, 61, 16–24. [Google Scholar] [CrossRef]
- Kang, D.G.; Hyun, J.M. Resonant enhancement of natural convection in a cubic enclosure under time-periodic magnetizing force. J. Mech. Sci. Technol. 2017, 31, 717–724. [Google Scholar] [CrossRef]
- Dold, P.; Benz, K.W. Convective Temperature Fluctuations in Liquid Gallium in Dependence on Static and Rotating Magnetic Fields. Cryst. Res. Technol. 1995, 30, 1135–1145. [Google Scholar] [CrossRef]
- Lyubimov, D.V.; Burnysheva, A.V.; Benhadid, H.; Lyubimova, T.P.; Henry, D. Rotating magnetic field effect on convection and its stability in a horizontal cylinder subjected to a longitudinal temperature gradient. J. Fluid Mech. 2010, 664, 108–137. [Google Scholar] [CrossRef][Green Version]
- Lyubimov, D.V.; Lyubimova, T.P.; Sadilov, E.S. Effect of a rotating magnetic field on convection in a horizontal fluid layer. Fluid Dyn. 2008, 43, 169–175. [Google Scholar] [CrossRef]
- Maré, T.; Halelfadl, S.; Sow, O.; Estellé, P.; Duret, S.; Bazantay, F. Comparison of the thermal performances of two nanofluids at low temperature in a plate heat exchanger. Exp. Therm. Fluid Sci. 2011, 35, 1535–1543. [Google Scholar] [CrossRef]
- Liu, M.S.; Lin, M.C.; Huang, I.T.; Wang, C.C. Enhancement of thermal conductivity with carbon nanotube for nanofluids. Int. Commun. Heat Mass Transf. 2005, 32, 1202–1210. [Google Scholar] [CrossRef]
- Xie, H.; Lee, H.; Youn, W.; Choi, M. Nanofluids containing multiwalled carbon nanotubes and their enhanced thermal conductivities. J. Appl. Phys. 2003, 94, 4967–4971. [Google Scholar] [CrossRef]
- Fadaei, F.; Dehkordi, A.M.; Shahrokhi, M.; Abbasi, Z. Convective-heat transfer of magnetic-sensitive nanofluids in the presence of rotating magnetic field. Appl. Therm. Eng. 2017, 116, 329–343. [Google Scholar] [CrossRef]
- Boroun, S.; Larachi, F. Anomalous anisotropic transport of scalars in dilute ferrofluids under uniform rotating magnetic fields–Mixing time measurements and ferrohydrodynamic simulations. Chem. Eng. J. 2020, 380, 122504. [Google Scholar] [CrossRef]
- Yarahmadi, M.; Goudarzi, H.M.; Shafii, M.B. Experimental investigation into laminar forced convective heat transfer of ferrofluids under constant and oscillating magnetic field with different magnetic field arrangements and oscillation modes. Exp. Therm. Fluid Sci. 2015, 68, 601–611. [Google Scholar] [CrossRef]
- Kolsi, L.; Oztop, H.F.; Ghachem, K.; Almeshaal, M.A.; Mohammed, H.A.; Babazadeh, H.; Abu-Hamdeh, N. Numerical study of periodic magnetic field effect on 3D natural convection of MWCNT-water/nanofluid with consideration of aggregation. Processes 2019, 7, 12. [Google Scholar] [CrossRef]
- Boroun, S.; Larachi, F. Residence time distribution of passive scalars in magnetic nanofluid Poiseuille flow under uniform rotating magnetic fields. Chem. Eng. Sci. 2020, 224, 115770. [Google Scholar] [CrossRef]
- Fan, Y.; Yu, M.; Zhang, C.; Jiang, L.; Zhang, X.; Zhao, Y. Melting performance enhancement of phase change material with magnetic particles under rotating magnetic field. J. Energy Storage 2021, 38, 102540. [Google Scholar] [CrossRef]
- Rasaee, S.; Shahsavar, A.; Niazi, K. Experimental assessment on convection heat transfer characteristics of aqueous magnetite ferrofluid in a rifled tube under a rotating magnetic field. Int. Commun. Heat Mass Transf. 2021, 129, 105673. [Google Scholar] [CrossRef]
- Hassan, M.; Fetecau, C.; Majeed, A.; Zeeshan, A. Effects of iron nanoparticles’ shape on convective flow of ferrofluid under highly oscillating magnetic field over stretchable rotating disk. J. Magn. Magn. Mater. 2018, 465, 531–539. [Google Scholar] [CrossRef]
- Animasaun, I.L.; Shah, N.A.; Wakif, A.; Mahanthesh, B.; Sivaraj, R.; Koriko, O.K. Ratio of Momentum Diffusivity to Thermal Diffusivity: Introduction, Meta-Analysis, and Scrutinization; Chapman and Hall/CRC: New York, NY, USA, 2022. [Google Scholar]
- Al-RASHED, A.; Kalidasan, K.; Kolsi, L.; Maatki, C.; Borjini, M.; Aichouni, M.; Kanna, P.R. Effect of magnetic field inclination on magnetoconvective induced irreversibilities in a CNT-water nanofluid filled cubic cavity. Front. Heat Mass Transf. 2017, 8. [Google Scholar] [CrossRef]
- Oreper, G.M.; Szekely, J. The effect of an externally imposed magnetic field on buoyancy driven flow in a rectangular cavity. J. Cryst. Growth 1983, 64, 505–515. [Google Scholar] [CrossRef]
- Gal, S.; Kolsi, L.; Hassen, W.; Ali, N.B.; Khedher, N.B.; Chamkha, A.J. Three-Dimensional Study of Magnetohydrodynamic Natural Convection, Entropy Generation, and Electromagnetic Variables in a Nanofluid Filled Enclosure Equipped with Inclined Fins. ACS Omega 2022, 7, 12365–12373. [Google Scholar] [CrossRef]
- Hussam, W.K.; Khanafer, K.; Salem, H.J.; Sheard, G.J. Natural convection heat transfer utilizing nanofluid in a cavity with a periodic side-wall temperature in the presence of a magnetic field. Int. Commun. Heat Mass Transf. 2019, 104, 127–135. [Google Scholar] [CrossRef]











Disclaimer/Publisher’s Note: The statements, opinions and data contained in all publications are solely those of the individual author(s) and contributor(s) and not of MDPI and/or the editor(s). MDPI and/or the editor(s) disclaim responsibility for any injury to people or property resulting from any ideas, methods, instructions or products referred to in the content. |
© 2022 by the authors. Licensee MDPI, Basel, Switzerland. This article is an open access article distributed under the terms and conditions of the Creative Commons Attribution (CC BY) license (https://creativecommons.org/licenses/by/4.0/).
Share and Cite
Saleem, K.B.; Omri, M.; Aich, W.; Alshammari, B.M.; Rmili, H.; Kolsi, L. Numerical Investigation of a Rotating Magnetic Field Influence on Free Convective CNT/Water Nanofluid Flow within a Corrugated Enclosure. Mathematics 2023, 11, 18. https://doi.org/10.3390/math11010018
Saleem KB, Omri M, Aich W, Alshammari BM, Rmili H, Kolsi L. Numerical Investigation of a Rotating Magnetic Field Influence on Free Convective CNT/Water Nanofluid Flow within a Corrugated Enclosure. Mathematics. 2023; 11(1):18. https://doi.org/10.3390/math11010018
Chicago/Turabian StyleSaleem, Khalid B., Mohamed Omri, Walid Aich, Badr M. Alshammari, Hatem Rmili, and Lioua Kolsi. 2023. "Numerical Investigation of a Rotating Magnetic Field Influence on Free Convective CNT/Water Nanofluid Flow within a Corrugated Enclosure" Mathematics 11, no. 1: 18. https://doi.org/10.3390/math11010018
APA StyleSaleem, K. B., Omri, M., Aich, W., Alshammari, B. M., Rmili, H., & Kolsi, L. (2023). Numerical Investigation of a Rotating Magnetic Field Influence on Free Convective CNT/Water Nanofluid Flow within a Corrugated Enclosure. Mathematics, 11(1), 18. https://doi.org/10.3390/math11010018

