You are currently viewing a new version of our website. To view the old version click .
Mathematics
  • Article
  • Open Access

8 April 2022

Peculiar Features of Quantum Oscillator Excitation by Pulses with Different Envelopes

1
Moscow Institute of Physics and Technology, National Research University, Institutskii Per. 9, Dolgoprudnyi 141701, Russia
2
Department of Fundamental and Applied Physics, Northern (Arctic) Federal University, Nab. Severnoi Dviny 17, Arkhangelsk 163002, Russia
This article belongs to the Special Issue Advances in Quantum Optics and Quantum Information

Abstract

We investigate the excitation of a quantum harmonic oscillator by pulses with different envelopes in terms of the excitation probability during the action of a pulse. The majority of attention is given to the dependence of the probability on the pulse duration and the pulse carrier frequency for three envelopes: exponential, double exponential, and rectangular. The choice of these envelopes makes it possible to cover various features of the excitation of a quantum oscillator by an external pulse. In particular, the presence of weak and strong excitation modes is established, for each of which the dependences of the process probability on pulse parameters are studied.

1. Introduction

The quantum harmonic oscillator (QO) is a fundamental model in the field of quantum optics [1]. It is important that this model is analytically solvable for any external perturbation [2,3].
Currently, methods for generating laser pulses with specified parameters, such as duration, carrier frequency, and envelope, are rapidly developing [4]. Therefore, the consideration of a pulse excitation of a quantum oscillator and the determination of characteristic features of this process become topical.
There are a significant number of papers in which the description of QO excitation by various pulses is carried out in terms of the average number of quanta/photons and the transient spectrum [5,6,7,8]. These works are based on the solution of the time-dependent Heisenberg equation for annihilation and creation operators. In particular, time dependences of the average number of photons were obtained and analyzed for various pulse parameters and initial states of a QO. In addition, the sub-Poisson photon statistics [8] as well as the effect of oscillator damping and of the pulse shape on transient spectra [6] were investigated.
Another approach using the probability of QO excitation between stationary states was developed in our papers [9,10,11]. This treatment is based on the Schwinger formula [2] adopted for the laser pulse perturbation of a QO. We studied the probability during the action of a pulse [9] and the instant probability at a given moment of time [11] for Gaussian and hyperbolic secant envelopes. As a result of analytical consideration and numerical analysis, the main regularities of the excitation probability as a function of pulse parameters were established. In particular, it was shown that, with increasing electric field amplitude, the extrema of the probability dependencies on the pulse duration and the pulse carrier frequency evolve.
In the present paper, we extend our consideration made in [9] to other important envelopes of an exciting pulse, which allows us to cover additional peculiar features of QO excitation.

2. Basic Formulas

Let us consider the excitation of a quantum oscillator by a pulse
E ( t ) = E 0   f ( t , ω c , τ )
where E 0 is the amplitude, f ( t , ω c , τ ) is the time-dependent envelope including oscillation at carrier frequency ωc, and τ are the carrier frequency and the duration of the pulse. Then, the Hamiltonian of the driven quantum oscillator can be represented as [7]
H ^ = H ^ 0   Ω 0   f ( t , ω c , τ )
where Ω0 is the Rabi frequency and H ^ 0 is the unperturbed Hamiltonian. The explicit expression for the Rabi frequency depends on the specific type of interaction that we do not specify here.
We aim to study the probability of transition between stationary states of the QO under the action of the pulse (1).
J. Schwinger in his theory of the quantized electromagnetic field [2] derived the following expression for the excitation probability between stationary states of this field m n ; [ n > m ] perturbed by a prescribed electric current:
W n m = m ! n ! ( | J | 2 ) m n exp ( | J | 2 )   | L m n m ( | J | 2 ) | 2
where | J | is the absolute value of the Fourier transform of the dimensionless electric current, L m n m is the generalized Laguerre polynomial.
To obtain the probability of QO excitation by a laser pulse, we use the expression (3) and the following relation [9]:
| J | 2 Ω 0 2   | F ( ω 0 , ω c , τ ) | 2
where
F ( ω , ω c , τ ) = f ( t , ω c , τ ) exp ( i ω t ) d t
is the Fourier transform of the pulse envelope, ω0 is the QO eigenfrequency.
Note that relation (4) was derived in [9] for a charged oscillator. However, it is valid in the general case because Hamiltonian (2) described all the realization of quantum harmonic oscillators.
In this paper, we consider QO excitation from the ground state. The corresponding probability follows from (3) and is equal to
W n 0 = n ¯ n n ! exp ( n ¯ )  
where
n ¯ = Ω 0 2   | F ( ω 0 , ω c , τ ) | 2
is the average number of QO quanta/photons for excitation from the ground state.
We consider three types of exciting pulses, namely:
  • exponential pulse
f exp ( t , ω c , τ ) = θ ( t ) exp ( t / τ ) cos ( ω c   t )
  • double exponential pulse
f 2 exp ( t , ω c , τ ) = exp ( | t | / τ ) cos ( ω c   t )
  • rectangular pulse
f r e c t ( t , ω c , τ ) = θ ( t ) θ ( τ t ) cos ( ω c   t )
Here, θ ( t ) is the Heaviside step function.
To obtain short analytical expressions, hereafter we will use the rotating wave approximation. It is valid for multicycle pulses ( ω c   τ > > 1 ) and near resonance case | ω c ω 0 | < < ω 0 , which we assume further. Then the average numbers of QO quanta for different exciting pulse envelopes are equal to
n ¯ exp = 1 4 Ω 0 2   τ 2 [ 1 + ( ω 0 ω c ) 2   τ 2 ]
n ¯ 2 exp = 1 4 Ω 0 2   τ 2 [ 1 + ( ω 0 ω c ) 2   τ 2 ] 2
n ¯ r e c t = Ω 0 2 ( ω 0 ω c ) 2   sin 2 [ ( ω 0 ω c ) τ / 2 ]
It should be noted that in the resonance case n ¯ ( ω c = ω 0 ) = Ω 0 2   τ 2 / 4 for all three envelopes, there is a quadratic dependence of the average number of quanta on the pulse duration in the short pulse limit τ < | ω c ω 0 | 1 .
Note that Formulas (11)–(13) can also be obtained within the framework of the approach described in paper [7] in the limit of long times.
In what follows, we will consider the dependence of the QO excitation probability on the pulse duration (the τ-dependence) and on the pulse carrier frequency (the excitation spectrum) for different envelopes Formulas (8)–(10).

3. Results and Discussion

3.1. Exponential Pulse

3.1.1. τ-Dependence of Excitation Probability

Substituting Formula (7) in Formula (6), in view of Formulas (8) and (5), we find for the pulse duration at the maximum of the excitation probability for the transition 0 n :
τ max = 1 Ω 0   2   n 1 4   n [ | ω 0 ω c | / Ω 0 ] 2
As follows from Formula (14), only one maximum is possible under the condition
Ω 0 > 2   n   | ω 0 ω c | Ω 0 e
In the opposite case, the τ-dependence increases monotonically with increasing pulse duration. The Rabi frequency Ω 0 e separates the regions of weak and strong excitation of a quantum oscillator by an exponential pulse from the point of view of the τ-dependence.
It should be noted that in the limit Ω 0 > > | ω c ω 0 | we have τ max 2   n Ω 0 . This value of the pulse duration imitates the period of Rabi oscillations.
The figures below show the results of calculations in terms of dimensionless variables:
α = ω 0   τ ; δ = | ω c ω 0 | / ω 0 ; ξ = Ω 0 / ω 0
Figure 1 presents the τ-dependence for different values of the dimensionless Rabi frequency ξ. It shows that as ξ increases, a maximum appears in the τ-dependence and becomes more pronounced. It is also seen that the asymptotic value of the excitation probability (for large values α) is a nonlinear function of the Rabi frequency.
Figure 1. The excitation probability as a function of the dimensionless pulse duration for an exponential pulse, δ = 0.03, n = 1, and the following values of the dimensionless Rabi frequency: solid line—ξ = 0.03, dotted line—ξ = 0.07, dashed line—ξ = 0.1.

3.1.2. Excitation Spectra

The excitation spectra for different values of the dimensionless Rabi frequency ξ are shown in Figure 2 for the transition 0→1. It can be seen from this figure that the saturation effect [12] occurs with increasing Rabi frequency. It manifests itself in transformation of the maximum at ω c = ω 0 to a minimum and appearance of two additional maxima when the following inequality is fulfilled:
Ω 0 > Ω 0 s a t 2   n / τ
Figure 2. The excitation spectra for an exponential pulse, α = 50, n = 1, and the following values of the dimensionless Rabi frequency: solid line—ξ = 0.035, dotted line—ξ = 0.06, dashed line—ξ = 0.1.
The value Ω 0 s a t can be called the Rabi frequency of saturation. It follows from (17) that saturation is more easily achieved for longer pulses.
Additional maxima appear at the position
| ω 0 ω c | max = 1 τ   Ω 0 2   τ 2 4   n 1
It should be noted that for Ω 0 > > 1 / τ we have | ω 0 ω c | max Ω 0 / 2   n . Thus, the positions of these spectral maxima are proportional to the Rabi frequency.

3.2. Double Exponential Pulse

3.2.1. τ-Dependence of Excitation Probability

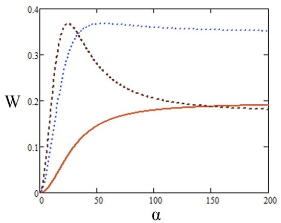
The excitation probability as a function of the pulse duration is presented in Figure 3 in terms of the dimensionless variable α for different values of the Rabi frequency (the dimensionless variable ξ).
Figure 3. The excitation probability as a function of the dimensionless pulse duration for a double exponential pulse, δ = 0.03, n = 1, and the following values of the dimensionless Rabi frequency: solid line—ξ = 0.1, dotted line—ξ = 0.2, dashed line—ξ = 0.3.
It can be seen that, in contrast with the exponential pulse, the τ-dependence in the case under consideration for any ξ has extrema (if ω c ω 0 ).
For small values of the Rabi frequency
Ω 0 < 4   n   | ω 0 ω c | Ω 0 2 e
there is one maximum for the following value of the pulse duration:
τ max = 1 | ω c ω 0 |
It should be noted that this maximum disappears at the resonance carrier frequency when ω c = ω 0 .
For higher Rabi frequencies
Ω 0 > 4   n   | ω 0 ω c |
the maximum (20) turns to a minimum, and two maxima appear at the pulse durations
τ max , 1 , 2 = Ω 0 ± Ω 0 2 16   n   | ω c ω 0 | 2 4   n   | ω c ω 0 | 2
In the limit Ω 0 > > | ω c ω 0 | , we have from (22) the following approximate relations:
τ 1 2   n Ω 0 ;   τ 2 Ω 0 2   n   | ω c ω 0 | 2
In particular, from the equalities (23), it follows that in the case of the resonance ( ω c = ω 0 ), only one maximum remains at the pulse duration τ 1 .

3.2.2. Excitation Spectra

The excitation spectra are similar to the case of the exponential pulse (Figure 4).
Figure 4. The excitation spectra for a double exponential pulse, α = 50, n = 1, and the following values of the dimensionless Rabi frequency: solid line—ξ = 0.035, dotted line—ξ = 0.06, dashed line—ξ = 0.1.
For low Rabi frequencies Ω 0 < 2   n / τ , a maximum appears at the resonance ω c = ω 0 .
For higher Rabi frequencies Ω 0 > 2   n / τ , the saturation effect occurs: the maximum at ω c = ω 0 turns to a minimum, and two side maxima appear that are defined by the following equality:
| ω 0 ω c | max = 1 τ   Ω 0   τ 2   n 1
It should be noted that the condition for the occurrence of the saturation effect coincides with the inequality (17), and the relation (24) differs from the equality (18) only in the power of the first term under the square root sign.

3.3. Rectangular Pulse

3.3.1. τ-Dependence of Excitation Probability

This case differs significantly from the previous ones. It already follows from the expression for the average number of photons (13), which is a periodic dependence on the parameters of the problem, in contrast to the cases of exponential (11) and double exponential (12) pulses. A simple analysis shows that at low Rabi frequencies
Ω 0 < Ω 0 r n   | ω c ω 0 |
the extrema probability in QO excitation is achieved at the following pulse durations:
τ min = 2   l   π | ω c ω 0 | ,   τ max = ( 2   l + 1 )   π | ω c ω 0 | ,   l = 0 , 1 , 2
When the Rabi frequency exceeds the value Ω 0 r , the maximum (26) turns to a minimum, and two maxima appear near the minimum (26), the position of which is defined by the following expression:
τ max ( k ) = 2 | ω c ω 0 |   | ( 1 ) k   arcsin [ | ω c ω 0 |   n Ω 0 ] + k   π | ,   k = 0 , ± 1 , ± 2
The described evolution of the τ-dependence with increasing Rabi frequency is shown in the graphs of Figure 5.
Figure 5. The excitation probability as a function of the dimensionless pulse duration for a rectangular pulse, δ = 0.03, n = 1, and the following values of the dimensionless Rabi frequency: solid line—ξ = 0.03, dotted line—ξ = 0.05, dashed line—ξ = 0.1.

3.3.2. Excitation Spectra

The excitation spectra of a quantum oscillator under the action of a rectangular pulse are shown in Figure 6 for different values of the dimensionless Rabi frequency ξ for the transition 0→1.
Figure 6. The excitation spectra for a rectangular pulse, α = 50, n = 1, and the following values of the dimensionless Rabi frequency: solid line—ξ = 0.035, dotted line—ξ = 0.06, dashed line—ξ = 0.1.
It is seen that with increasing Rabi frequency, the central maximum turns to a minimum if the condition (17) is satisfied, and two side maxima appear. This is a consequence of the saturation effect. The positions of other spectral maxima are defined by the expression.
| ω 0 ω c | max = 2 τ   x k
where x k are the solutions of the transcendental equation t g ( x ) = x .
The carrier frequencies of the spectral minima are given by the formula
| ω c ω 0 | min = 2   π   k τ ; k = ± 1 , ± 2
The relations (28) and (29) follow from the Formulas (6) and (13).

4. Summary

Thus, we have carried out an analytical and numerical study of the characteristic features of excitation of a quantum harmonic oscillator by pulses with different envelopes in terms of the probability during the action of a pulse.
The analytical expressions were obtained for the τ-dependence and the excitation spectra for different values of the duration of a pulse, its carrier frequency and amplitude (the Rabi frequency) for exponential, double exponential, and rectangular envelopes.
The influence of the pulse amplitude on the characteristic features of QO excitation was studied. In particular, the transition from the weak excitation mode (a low Rabi frequency) to the strong excitation mode (a high Rabi frequency) was traced from the point of view of the evolution of extrema in the τ-dependence and in the excitation spectra. The characteristic value of the Rabi frequency was established that separates the modes of weak and strong excitation for each pulse envelope.
A qualitative difference was established between the excitation of a quantum oscillator under the action of pulses with smooth fronts (exponential and double exponential pulses) and under the action of a pulse with a steep front (a rectangular pulse). So, in the first case, the τ-dependence can be monotonic (in the weak excitation mode for an exponential pulse) and can have one or two maxima (in the strong excitation mode for a double exponential pulse), and in the second case, the number of maxima is unlimited.
The criteria for the occurrence of the saturation effect were established, and its influence on the excitation spectra was studied. In particular, it was shown that the characteristic value of the Rabi frequency, at which the saturation effect manifests itself, is the same for all considered envelopes of excitation pulses.
In conclusion, we note that the results obtained can be applied not only in quantum optics, but also in the currently developing field of coherent phononics [13], especially in connection with achievements in the development of effective sources of terahertz radiation [14]. The presented study can be generalized to the two-dimensional case for describing e.g., the interaction of radiation with gated quantum dots [15].

Funding

The study was supported by the state assignment of the Russian Federation No. 0793-2020-0005.

Institutional Review Board Statement

Not applicable.

Data Availability Statement

Request to corresponding author of this article.

Conflicts of Interest

The authors declare no conflict of interest.

References

  1. Mandel, L.; Wolf, E. Optical Coherence and Quantum Optics; Cambridge University Press: Cambridge, UK, 1995. [Google Scholar]
  2. Schwinger, J. The theory of quantized fields III. Phys. Rev. 1953, 91, 728–740. [Google Scholar] [CrossRef]
  3. Husimi, K. Miscellanea in elementary quantum mechanics, II. Prog. Theor. Phys. 1953, 9, 381–401. [Google Scholar] [CrossRef]
  4. Chini, M.; Zhao, K.; Chang, Z. The generation, characterization and applications of broadband isolated attosecond pulses. Nat. Photonics 2014, 8, 178–186. [Google Scholar] [CrossRef]
  5. Alharbey, R.A.; Abusamra, H. Wavelet spectra of a chirped Gaussian pulsed-driven harmonic oscillator. Mathematics 2021, 9, 939. [Google Scholar] [CrossRef]
  6. Hassan, S.S.; Alharbey, R.A.; Jarad, T. Transient spectrum of pulsed-driven harmonic oscillator: Damping and pulse shape effects. Nonlinear Opt. Quantum Opt. 2018, 48, 277–288. [Google Scholar]
  7. Hassan, S.S.; Alharbey, R.A.; Jarad, T.; Almaatooq, S. Driven harmonic oscillator by train of chirped Gaussian pulses. Int. J. Appl. Math. 2020, 33, 59–73. [Google Scholar] [CrossRef]
  8. Hassan, S.S.; Frege, O.M.; Atalla, H.M.; Alharbey, R.A. Sub-Poissonian photon statistics of a pulsed-driven harmonic oscillator. Nonlinear Opt. Quantum Opt. 2022, 55, 125–142. [Google Scholar]
  9. Astapenko, V.A.; Sakhno, E.V. Excitation of a quantum oscillator by short laser pulses. Appl. Phys. B 2020, 126, 23. [Google Scholar] [CrossRef]
  10. Astapenko, V.A.; Krotov, Y.A.; Sakhno, E.V. Excitation of a quantum oscillator by charged particles. J. Exp. Theor. Phys. 2021, 132, 776–780. [Google Scholar] [CrossRef]
  11. Astapenko, V.A.; Rosmej, F.B.; Sakhno, E.V. Dynamics of time evolution of quantum oscillator excitation by electromagnetic pulses. J. Exp. Theor. Phys. 2021, 133, 125–135. [Google Scholar] [CrossRef]
  12. Karplus, R.; Schwinger, J. A note on saturation in microwave spectroscopy. Phys. Rev. 1948, 73, 1020–1026. [Google Scholar] [CrossRef]
  13. Juraschek, M.D. Coherent Optical Phononics. Ph.D. Thesis, ETH, Zürich, Switzerland, 2018. [Google Scholar]
  14. Fu, Z.; Yamaguchi, M. Coherent excitation of optical phonons in GaAs by broadband terahertz pulses. Sci. Rep. 2016, 6, 38264. [Google Scholar] [CrossRef] [PubMed] [Green Version]
  15. Bednarek, S.; Szafran, B.; Adamowski, J. Theoretical description of electronic properties of vertical dated quantum dots. Phys. Rev. B 2001, 64, 195303. [Google Scholar] [CrossRef] [Green Version]
Publisher’s Note: MDPI stays neutral with regard to jurisdictional claims in published maps and institutional affiliations.

Article Metrics

Citations

Article Access Statistics

Multiple requests from the same IP address are counted as one view.