Pathwise Convergent Approximation for the Fractional SDEs
Abstract
:1. Introduction
2. Main Result
3. Proofs of Theorems
3.1. Proof of Theorem 1
3.2. Proof of Theorem 2
4. Modeling
4.1. Pearson Diffusion
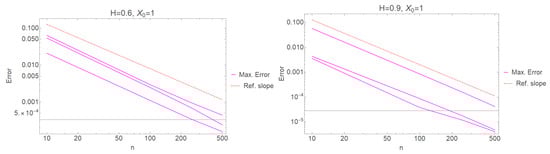
4.2. Numerical Simulation
5. Conclusions
Author Contributions
Funding
Institutional Review Board Statement
Informed Consent Statement
Data Availability Statement
Conflicts of Interest
Abbreviations
| CEV | Constant elasticity of variance model |
| CIR | Cox–Ingersoll–Ross model |
| CKLS | Chan–Karolyi–Longstaff–Sanders model |
| FSDE | Fractional stochastic differential equation |
| fBm | Fractional Brownian motion |
| sBm | Standard Brownian motion |
| SDE | Stochastic differential equation |
Appendix A. Approximation of Integrated fBm
- Integral expectation
- Product sum expectation
- Mixed products
Appendix B. Pathwise Integration and fBm
Appendix C. Almost Sure Convergence
References
- Nualart, D.; Răşcanu, A. Differential equations driven by fractional Brownian motion. Collect. Math. 2002, 53, 55–81. [Google Scholar]
- Hu, Y.; Nualart, D.; Song, X. A singular stochastic differential equation driven by fractional Brownian motion. Stat. Probab. Lett. 2008, 78, 2075–2085. [Google Scholar] [CrossRef] [Green Version]
- Mishura, Y.; Yurchenko-Tytarenko, A. Fractional Cox–Ingersoll–Ross process with non-zero “mean”. Mod. Stoch. Theory Appl. 2018, 5, 99–111. [Google Scholar] [CrossRef]
- Zhang, S.Q.; Yuan, C. Stochastic differential equations driven by fractional Brownian motion with locally Lipschitz drift and their Euler approximation. Proc. R. Soc. Edinb. A 2021, 151, 1278–1304. [Google Scholar] [CrossRef]
- Kubilius, K. Estimation of the Hurst index of the solutions of fractional SDE with locally Lipschitz drift. Nonlinear Anal. Model. Control 2020, 25, 1059–1078. [Google Scholar] [CrossRef]
- Kubilius, K.; Medžiūnas, A. Positive solutions of the fractional SDEs with non-Lipschitz diffusion coefficient. Mathematics 2021, 9, 18. [Google Scholar] [CrossRef]
- Mishura, Y.; Shevchenko, G. Mixed stochastic differential equations with long-range dependence: Existence, uniqueness and convergence of solutions. Comput. Math. 2012, 64, 3217–3227. [Google Scholar] [CrossRef] [Green Version]
- Kloeden, P.; Neuenkirch, A. The pathwise convergence of approximation schemes for stochastic differential equations. LMS J. Comput. Math. 2007, 10, 235–253. [Google Scholar] [CrossRef] [Green Version]
- Kloeden, P.E.; Neuenkirch, A. Recent Developments in Computational Finance Foundations, Algorithms and Applications; World Scientific: Singapore, 2013. [Google Scholar]
- Deya, A.; Neuenkirch, A.; Tindel, S.A. Milstein-type scheme without Lévy area terms for SDEs driven by fractional brownian motion. Ann. L’I.H.P. Probab. Stat. 2012, 48, 518–550. [Google Scholar] [CrossRef]
- Jamshidi, N.; Kamrani, M. Convergence of a numerical scheme associated to stochastic differential equations with fractional Brownian motion. Appl. Numer. Math. 2021, 167, 108–118. [Google Scholar] [CrossRef]
- Neuenkirch, A.; Nourdin, I. Exact rate of convergence of some approximation schemes associated to SDEs driven by a fractional Brownian motion. J. Theoret. Probab. 2007, 20, 871–899. [Google Scholar] [CrossRef] [Green Version]
- Neuenkirch, A. Optimal pointwise approximation of stochastic differential equations driven by fractional Brownian motion. Stoch. Process Their Appl. 2008, 118, 2294–2333. [Google Scholar] [CrossRef] [Green Version]
- Mishura, Y.; Shevchenko, G. The rate of convergence for Euler approximations of solutions of stochastic differential equations driven by fractional Brownian motion. Int. J. Probab. Stoch. Process. 2008, 80, 489–511. [Google Scholar] [CrossRef] [Green Version]
- Alfonsi, A. Strong order one convergence of a drift implicit Euler scheme: Application to the CIR process. Stat. Probab. Lett. 2013, 83, 602–607. [Google Scholar] [CrossRef] [Green Version]
- Dereich, S.; Neuenkirch, A.; Szpruch, L. An Euler-type method for the strong approximation of the Cox–Ingersoll–Ross process. Proc. R. Soc. A Math. Phys. Eng. Sci. 2012, 468, 1105–1115. [Google Scholar] [CrossRef] [Green Version]
- Neuenkirch, A.; Szpruch, L. First order strong approximations of scalar SDEs defined in a domain. Numer. Math. 2014, 128, 103–136. [Google Scholar] [CrossRef]
- Hong, J.; Huang, C.; Kamrani, M.; Wang, X. Optimal strong convergence rate of a backward Euler type scheme for the Cox–Ingersoll–Ross model driven by fractional Brownian motion. Stoch. Process Their Appl. 2020, 130, 2675–2692. [Google Scholar] [CrossRef] [Green Version]
- Medžiūnas, A. On the Congruence of Finite Generalized Harmonic Numbers Sums Modulo p2. Ann. Pol. Math 2020, 126, 279–292. [Google Scholar] [CrossRef]
- Abundo, M.; Pirozzi, E. On the Integral of the Fractional Brownian Motion and Some Pseudo-Fractional Gaussian Processes. Mathematics 2019, 7, 991. [Google Scholar] [CrossRef] [Green Version]
- Kubilius, K.; Mishura, Y.; Ralchenko, K. Parameter Estimation in Fractional Diffusion Models; Bocconi & Springer Series; Springer: Berlin/Heidelberg, Germany, 2017. [Google Scholar]


Publisher’s Note: MDPI stays neutral with regard to jurisdictional claims in published maps and institutional affiliations. |
© 2022 by the authors. Licensee MDPI, Basel, Switzerland. This article is an open access article distributed under the terms and conditions of the Creative Commons Attribution (CC BY) license (https://creativecommons.org/licenses/by/4.0/).
Share and Cite
Kubilius, K.; Medžiūnas, A. Pathwise Convergent Approximation for the Fractional SDEs. Mathematics 2022, 10, 669. https://doi.org/10.3390/math10040669
Kubilius K, Medžiūnas A. Pathwise Convergent Approximation for the Fractional SDEs. Mathematics. 2022; 10(4):669. https://doi.org/10.3390/math10040669
Chicago/Turabian StyleKubilius, Kęstutis, and Aidas Medžiūnas. 2022. "Pathwise Convergent Approximation for the Fractional SDEs" Mathematics 10, no. 4: 669. https://doi.org/10.3390/math10040669
APA StyleKubilius, K., & Medžiūnas, A. (2022). Pathwise Convergent Approximation for the Fractional SDEs. Mathematics, 10(4), 669. https://doi.org/10.3390/math10040669

