Stability Analysis of an Eight Parameter SIR-Type Model Including Loss of Immunity, and Disease and Vaccination Fatalities
Abstract
:1. Introduction
- “Constant total population” models are the easiest to study. However, since death is an essential factor of epidemics, the assumption of a constant total population (clearly a short-term or very large population approximation) deserves some comment. One possible rigorous justification for deterministic constant population epidemiological models comes from slow–fast analysis [25,26,27]. This is best understood for models with demography (birth, death), which typically happen on a slower scale than the infectious phenomena. Here there is a natural partition of the compartments into a vector of disease/infectious compartments (asymptomatic, infectious, hospitalized, etc). These interact (quickly) with the other input classes, such as the susceptibles, and output classes, such as the recovered and dead.For “constant total population” models, the total population N clearly plays no role, and one may use the assumption that the rate of infection is independent of N, of the form (which was called pseudo, or simple mass-action incidence [28]). Note that this simplification of the rate of infection (adopted in the majority of the literature) is inappropriate for varying population models.
- Models with a constant birth rate (in the analog stochastic model, this would correspond to emigration). These models include the previous class, and preserve some of its nice features, like the uniqueness of the endemic fixed point. They typically satisfy the “ alternative”, established via the next-generation matrix approach, and also the fact that the endemic point exists only when —see [29] for a recent and well-written review of several stability results for these classes of models.
- Finally, we arrive at the class our paper is concerned with—models with linear birth rates, (or a constant birth rate per capita in the analog stochastic model), varying total population N, and a “proportionate mixing” rate of infection:As far as we know, this stream of literature was initiated by the Refs. [30,31], and allows the possibility of bi-stability when (absent from the previous models), even in a SIR example with five parameters [32]. (This reveals that for an initially high number of infectives, the trajectory may lie in the basin of attraction of a stable endemic point instead of being eradicated. The discrepancy with what is expected from the corresponding stochastic model suggests that the deterministic model is inappropriate in this range.)This last stream of literature is quite important, since a constant birth rate per capita is a natural assumption.
2. Dimension Reduction for the SIR/V+S Model with Linear Birth Rate
The Disease-Free System and Its Equilibria
3. DFE Stability
3.1. Local DFE Stability
3.2. Global Stability of the Disease-Free Equilibrium
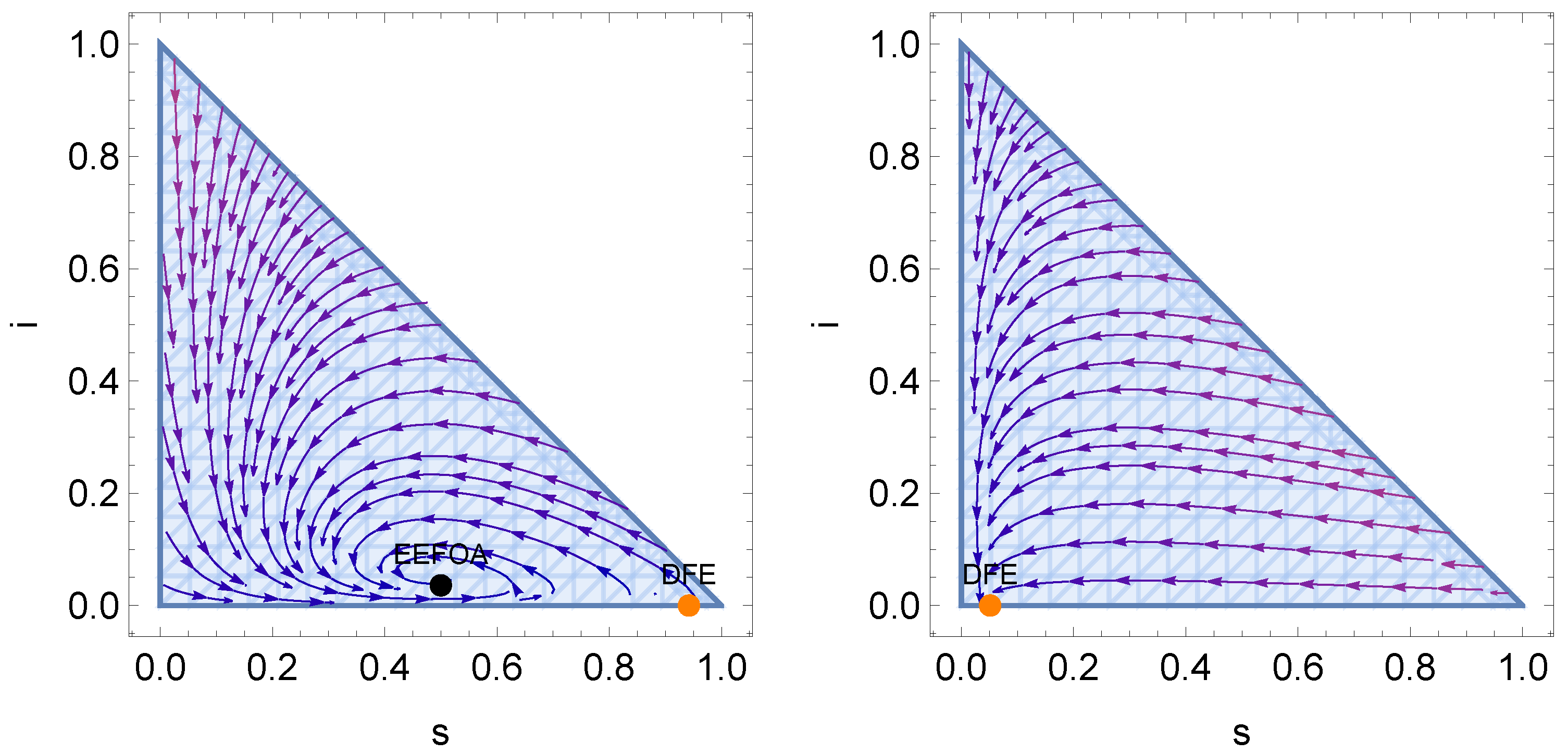
4. The Endemic Equilibria
- 1.
- The equation is quadratic if and . We will at first exclude these particular cases, but note that they suggest that different regimes occur when the respective thresholds are crossed—this will be further explained below.
- 2.
- Locating the endemic points may be achieved geometrically by studying the intersection of the vertical and horizontal isoclines:
- (a)
- the isocline is given by and by the herd immunity linewith slope .
- (b)
- The isocline iswhich is a hyperbola.This passes by definition through the DFE, and therefore necessarily intersects the domain when
5. The Case
- When , the isocline becomes the hyperbolawith asymptotes . Note that the center is in the first quadrant when and in the third quadrant otherwise, and that the intersection E with the line has , outside . The convexity of the branch which intersects is also important. Fromwe find that our branch is convex when , and concave otherwise. The equality case is analyzed in the following remark.Remark 20.When , the hyperbola degenerates into a line . The intersection of the two lines gives a unique endemic point which never belongs to the feasible region. Indeed, if, and only if , and this further implies
- A crucial role in the analysis is played by the point where the immunity line intersects , given by (when , B goes to ∞). This point satisfies:The six cases listed above are the basis of our geometric analysis provided in Theorem 1.Remark 21.coincides with if , which fits with the fact that if one of these two cases occurs—recall Remark 16.
- It is easy to show that if , that it then moves to the fourth quadrant when , and that it jumps from the fourth to the second quadrant when decreases below the threshold .
- The point where the immunity line intersects is This is negative when , in the domain when , and bigger than 1 when . More precisely,
- The unique point D where the hyperbola intersects within the domain has coordinates
- 1.
- precisely, one endemic point lies in , which may occur in one of the following four ways:In all these cases, the endemic point is a sink and DFE is a saddle point.
- 2.
- is the union of the following six cases (similar to the above, but taking also into account the convexity of the hyperbola branch, in some cases):
- (a)
- when both the points lie to the right of a convex hyperbola branch, and the isoclines do not intersect in –see Figure 4a.
- (b)
- when both the points lie to the left of a concave hyperbola branch, and the isoclines do not intersect in –see Figure 4b.
- (c)
- When both the points lie to the left of a convex hyperbola branch, we have two subcases:
- i.
- ii.
- The isoclines intersect in , yielding two endemic points—see Figure 4d. Necessary conditions for this areand we conjecture that the necessary and sufficient conditions are obtained by adding , where is defined in (36).In this case, the DFE is one of two sink points, whose attraction domains are separated by the separatrices of the third fixed saddle point.
- (d)
- The isocline does not intersect the interior of in the following two cases:
- 3.
- In all the cases when the DFE is the unique fixed point within the domain, it is a globally stable sink.
- As noted already, is equivalent to fact that the point lies in , which applies in the cases 1(a–c). Furthermore, we may check that in this case, the point A is always to the right of (above) the hyperbola, that is,To conclude the existence of a unique endemic point, it is thus enough to find in these three cases a point of the immunity line below the hyperbola. Referring to Figure 3, we see that the following cases may arise:
- (a)
- crosses the hyperbola, and . We must then be in the case , which implies , and so is below the hyperbola—see Figure 3a.
- (b)
- crosses the hyperbola, and . We must then be in the case , which implies again , and so is again below the hyperbola—see Figure 3b.
- (c)
- crosses the hyperbola when , since B is below the hyperbola—see Figure 3c.
- (d)
- crosses the hyperbola (and ) when , since B is below the hyperbola—see Figure 3d.
- We turn now to the case , when the point A lies in the fourth quadrant if , and in the second quadrant otherwise.
- (a)
- In this case . Since the immunity line is to the right of a convex hyperbola branch, it is clear geometrically that they cannot intersect within the domain—see Figure 4a.
- (b)
- Similarly, the end points in of the immunity line are to the left of a concave hyperbola branch, and so they cannot intersect within the domain—see Figure 4b.
- (c)
- For two endemic points to exist, it is necessary that , which requires thatand this implies that the other intercept is also in .The isocline intersects then , and may also intersect the hyperbola, when the discriminantsatisfies .The inequality is quadratic in and may be rewritten as(note that when .We conjecture based on numerical evidence that the two endemic points belong to only when is larger than the largest root of , defined implicitly in (36). When , the largest root is reduced towhere
- (d)
- In the last case, we must show that the isocline does not intersect the interior of . Equivalently, we must show that in each of the two subcasesnone of the points belong to . This is a tedious computation, and not reproduced here. For a quick check, we offer a Mathematica file on our website (we rely mostly on FindInstance with an empty output to show that certain cases do not exist, and on the command Reduce to decompose other cases into subcases).
6. The Boundary Case
7. The Classic/Pedagogical SIR/V+S Model
- The DFE equilibrium point of the pedagogic system is obtained by plugging into (38). Solving with respect to the remaining first and third equationsyieldsIn particular, the DFE for the FA model is obtained by substituting in (40):Note the relation
- When , there may be two endemic equilibrium points (we omit their complicated expressions), but when there is a unique FA EE, obtained by plugginginto the first and third equations, and solving the linear systemThis yieldswhere .Note the intriguing simplification of , which shows thatand it may be shown that the endemic point belongs to the domain if . This gives a pre-warning on the role of the parameter in the stability of the DFE.
8. Conclusions
Author Contributions
Funding
Institutional Review Board Statement
Informed Consent Statement
Data Availability Statement
Acknowledgments
Conflicts of Interest
Appendix A. Auxiliary Lemmas
References
- Anderson, R.M.; Anderson, B.; May, R.M. Infectious Diseases of Humans: Dynamics and Control; Oxford University Press: Oxford, UK, 1992. [Google Scholar]
- Smith, H.L.; Thieme, H.R. Dynamical Systems and Population Persistence; American Mathematical Soc.: Providence, RI, USA, 2011; Volume 118. [Google Scholar]
- Martcheva, M. An Introduction to Mathematical Epidemiology; Springer: New York, NY, USA, 2015; Volume 61. [Google Scholar]
- Thieme, H.R. Mathematics in Population Biology; Princeton University Press: Princeton, NJ, USA, 2018. [Google Scholar]
- Brauer, F.; Castillo-Chavez, C.; Feng, Z. Mathematical Models in Epidemiology; Springer: New York, NY, USA, 2019. [Google Scholar]
- Mondaini, R.P. Trends in Biomathematics: Modeling Cells, Flows, Epidemics, and the Environment; Springer: Berlin/Heidelberg, Germany, 2020. [Google Scholar]
- Bacaër, N. Mathématiques et épidémies, Cassini. 2021, pp. 1–320. Available online: https://store.cassini.fr/fr/enseignement-des-mathematiques/117-mathematiques-et-epidemie.html (accessed on 8 May 2012).
- Della Marca, R. Problemi di Controllo in Epidemiologia Matematica e Comportamentale; Università degli studi di Modena e Reggio Emilia: Modena, Italy, 2021; pp. 1–163. [Google Scholar]
- Kermack, W.O.; McKendrick, A.G. A contribution to the mathematical theory of epidemics. Proc. R. Soc. Lond. Ser. A Contain. Pap. A Math. Phys. Character 1927, 115, 700–721. [Google Scholar]
- Earn, D.J. A light introduction to modelling recurrent epidemics. In Mathematical Epidemiology; Springer: Berlin/Heidelberg, Germany, 2008; pp. 3–17. [Google Scholar]
- Schaback, R. On COVID-19 modelling. Jahresber. Der Dtsch. Math.-Ver. 2020, 122, 167–205. [Google Scholar] [CrossRef]
- Bacaër, N. Un modèle mathématique des débuts de l’épidémie de coronavirus en France. Math. Model. Nat. Phenom. 2020, 15, 29. [Google Scholar] [CrossRef]
- Ketcheson, D.I. Optimal control of an SIR epidemic through finite-time non-pharmaceutical intervention. arXiv 2020, arXiv:2004.08848. [Google Scholar] [CrossRef] [PubMed]
- Charpentier, A.; Elie, R.; Laurière, M.; Tran, V.C. COVID-19 pandemic control: Balancing detection policy and lockdown intervention under ICU sustainability. Math. Model. Nat. Phenom. 2020, 15, 57. [Google Scholar] [CrossRef]
- Djidjou-Demasse, R.; Michalakis, Y.; Choisy, M.; Sofonea, M.T.; Alizon, S. Optimal COVID-19 epidemic control until vaccine deployment. medRxiv 2020, 1–21. [Google Scholar] [CrossRef] [Green Version]
- Sofonea, M.T.; Reyné, B.; Elie, B.; Djidjou-Demasse, R.; Selinger, C.; Michalakis, Y.; Alizon, S. Epidemiological Monitoring and Control Perspectives: Application of a Parsimonious Modelling Framework to the COVID-19 Dynamics in France. 2020, pp. 1–63. Available online: https://hal.archives-ouvertes.fr/hal-02619546/ (accessed on 8 May 2012).
- Alvarez, F.E.; Argente, D.; Lippi, F. A Simple Planning Problem for COVID-19 Lockdown; Technical Report; National Bureau of Economic Research: Cambridge, MA, USA, 2020. [Google Scholar]
- Horstmeyer, L.; Kuehn, C.; Thurner, S. Balancing quarantine and self-distancing measures in adaptive epidemic networks. arXiv 2020, arXiv:2010.10516. [Google Scholar]
- Di Lauro, F.; Kiss, I.Z.; Miller, J. Optimal timing of one-shot interventions for epidemic control. medRxiv 2020, 1–29. [Google Scholar] [CrossRef]
- Franco, E. A feedback SIR (fSIR) model highlights advantages and limitations of infection-based social distancing. arXiv 2020, arXiv:2004.13216. [Google Scholar]
- Baker, R. Reactive Social distancing in a SIR model of epidemics such as COVID-19. arXiv 2020, arXiv:2003.08285. [Google Scholar]
- Caulkins, J.; Grass, D.; Feichtinger, G.; Hartl, R.; Kort, P.M.; Prskawetz, A.; Seidl, A.; Wrzaczek, S. How long should the COVID-19 lockdown continue? PLoS ONE 2020, 15, e0243413. [Google Scholar] [CrossRef] [PubMed]
- Caulkins, J.P.; Grass, D.; Feichtinger, G.; Hartl, R.F.; Kort, P.M.; Prskawetz, A.; Seidl, A.; Wrzaczek, S. The optimal lockdown intensity for COVID-19. J. Math. Econ. 2021, 93, 102489. [Google Scholar] [CrossRef] [PubMed]
- Kamgang, J.C.; Sallet, G. Computation of threshold conditions for epidemiological models and global stability of the disease-free equilibrium (DFE). Math. Biosci. 2008, 213, 1–12. [Google Scholar] [CrossRef] [PubMed]
- Kaper, H.G.; Kaper, T.J. Asymptotic analysis of two reduction methods for systems of chemical reactions. Phys. D Nonlinear Phenom. 2002, 165, 66–93. [Google Scholar] [CrossRef] [Green Version]
- Jardón-Kojakhmetov, H.; Kuehn, C.; Pugliese, A.; Sensi, M. A geometric analysis of the SIR, SIRS and SIRWS epidemiological models. Nonlinear Anal. Real World Appl. 2021, 58, 103220. [Google Scholar] [CrossRef]
- Ginoux, J.M. Slow Invariant Manifolds of Slow–Fast Dynamical Systems. Int. J. Bifurc. Chaos 2021, 31, 2150112. [Google Scholar] [CrossRef]
- De Jong, M.C.; Diekmann, O.; Heesterbeek, H. How does transmission of infection depend on population size. Epidemic Model. Their Struct. Relat. Data 1995, 84, 1–11. [Google Scholar]
- De la Sen, M.; Nistal, R.; Alonso-Quesada, S.; Ibeas, A. Some formal results on positivity, stability, and endemic steady-state attainability based on linear algebraic tools for a class of epidemic models with eventual incommensurate delays. Discret. Dyn. Nat. Soc. 2019, 2019, 22. [Google Scholar] [CrossRef] [Green Version]
- Busenberg, S.; van den Driessche, P. Analysis of a disease transmission model in a population with varying size. J. Math. Biol. 1990, 28, 257–270. [Google Scholar] [CrossRef] [Green Version]
- Busenberg, S.; van den Driessche, P. A method for proving the non-existence of limit cycles. J. Math. Anal. Appl. 1993, 172, 463–479. [Google Scholar] [CrossRef] [Green Version]
- Derrick, W.; van den Driessche, P. A disease transmission model in a nonconstant population. J. Math. Biol. 1993, 31, 495–512. [Google Scholar] [CrossRef] [PubMed]
- Greenhalgh, D. Hopf bifurcation in epidemic models with a latent period and nonpermanent immunity. Math. Comput. Model. 1997, 25, 85–107. [Google Scholar] [CrossRef]
- Li, M.Y.; Graef, J.R.; Wang, L.; Karsai, J. Global dynamics of a SEIR model with varying total population size. Math. Biosci. 1999, 160, 191–213. [Google Scholar] [CrossRef] [Green Version]
- Razvan, M. Multiple equilibria for an SIRS epidemiological system. arXiv 2001, arXiv:0101051. [Google Scholar]
- Li, J.; Ma, Z. Qualitative analyses of SIS epidemic model with vaccination and varying total population size. Math. Comput. Model. 2002, 35, 1235–1243. [Google Scholar] [CrossRef]
- Sun, C.; Hsieh, Y.H. Global analysis of an SEIR model with varying population size and vaccination. Appl. Math. Model. 2010, 34, 2685–2697. [Google Scholar] [CrossRef]
- Yang, W.; Sun, C.; Arino, J. Global analysis for a general epidemiological model with vaccination and varying population. J. Math. Anal. Appl. 2010, 372, 208–223. [Google Scholar] [CrossRef] [Green Version]
- Lu, G.; Lu, Z. Global asymptotic stability for the SEIRS models with varying total population size. Math. Biosci. 2018, 296, 17–25. [Google Scholar] [CrossRef]
- Avram, F.; Adenane, R.; Basnarkov, L.; Bianchin, G.; Goreac, D.; Halanay, A. On matrix-SIR Arino models with linear birth rate, loss of immunity, disease and vaccination fatalities, and their approximations. arXiv 2021, arXiv:2112.03436. [Google Scholar]
- Van den Driessche, P.; Watmough, J. Further Notes on the Basic Reproduction Number. In Mathematical Epidemiology; Springer: Berlin/Heidelberg, Germany, 2008; pp. 159–178. [Google Scholar]
- Rashkov, P. A model for a vector-borne disease with control based on mosquito repellents: A viability analysis. J. Math. Anal. Appl. 2021, 498, 124958. [Google Scholar] [CrossRef]
- Hethcote, H.W. Qualitative analyses of communicable disease models. Math. Biosci. 1976, 28, 335–356. [Google Scholar] [CrossRef]
- Miclo, L.; Spiro, D.; Weibull, J. Optimal epidemic suppression under an ICU constraint. arXiv 2020, arXiv:2005.01327. [Google Scholar] [CrossRef]
- Avram, F.; Freddi, L.; Goreac, D. Optimal control of a SIR epidemic with ICU constraints and target objectives. Appl. Math. Comput. 2022, 418, 126816. [Google Scholar] [CrossRef]
- Van den Driessche, P.; Watmough, J. Reproduction numbers and sub-threshold endemic equilibria for compartmental models of disease transmission. Math. Biosci. 2002, 180, 29–48. [Google Scholar] [CrossRef]
- Hirsch, M.; Smale, D. Differential Equations, Dynamical Systems and Linear Algebra; Academic-Press: Cambridge, MA, USA, 1974. [Google Scholar]
- Mena-Lorcat, J.; Hethcote, H.W. Dynamic models of infectious diseases as regulators of population sizes. J. Math. Biol. 1992, 30, 693–716. [Google Scholar] [CrossRef]
- Vargas-De-León, C. Constructions of Lyapunov functions for classic SIS, SIR and SIRS epidemic models with variable population size. Foro-Red Rev. Electrónica De Conten. Matemático 2009, 26, 1–12. [Google Scholar]
- Shuai, Z.; van den Driessche, P. Global stability of infectious disease models using Lyapunov functions. SIAM J. Appl. Math. 2013, 73, 1513–1532. [Google Scholar] [CrossRef] [Green Version]
- Smale, S. On the differential equations of species in competition. J. Math. Biol. 1976, 3, 5–7. [Google Scholar] [CrossRef]
- Lotka, A.J. Analyse Démographique Avec Application Particulière à l’espèce Humaine; Hermann: Paris, France, 1939. [Google Scholar]






Publisher’s Note: MDPI stays neutral with regard to jurisdictional claims in published maps and institutional affiliations. |
© 2022 by the authors. Licensee MDPI, Basel, Switzerland. This article is an open access article distributed under the terms and conditions of the Creative Commons Attribution (CC BY) license (https://creativecommons.org/licenses/by/4.0/).
Share and Cite
Avram, F.; Adenane, R.; Bianchin, G.; Halanay, A. Stability Analysis of an Eight Parameter SIR-Type Model Including Loss of Immunity, and Disease and Vaccination Fatalities. Mathematics 2022, 10, 402. https://doi.org/10.3390/math10030402
Avram F, Adenane R, Bianchin G, Halanay A. Stability Analysis of an Eight Parameter SIR-Type Model Including Loss of Immunity, and Disease and Vaccination Fatalities. Mathematics. 2022; 10(3):402. https://doi.org/10.3390/math10030402
Chicago/Turabian StyleAvram, Florin, Rim Adenane, Gianluca Bianchin, and Andrei Halanay. 2022. "Stability Analysis of an Eight Parameter SIR-Type Model Including Loss of Immunity, and Disease and Vaccination Fatalities" Mathematics 10, no. 3: 402. https://doi.org/10.3390/math10030402
APA StyleAvram, F., Adenane, R., Bianchin, G., & Halanay, A. (2022). Stability Analysis of an Eight Parameter SIR-Type Model Including Loss of Immunity, and Disease and Vaccination Fatalities. Mathematics, 10(3), 402. https://doi.org/10.3390/math10030402

