Deep Learning-Based Plant-Image Classification Using a Small Training Dataset
Abstract
:1. Introduction
2. Related Works
- -
- Thereby, this study proposed a plant-image classification convolutional neural network (PI-CNN). It outperforms conventional plant-classification methods. The proposed PI-CNN was configured as a residual block-based shallow model to reduce the number of training parameters. It demonstrated high accuracy on datasets of various sizes.
- -
- This study proposed a new plant-image augmentation method, namely, a plant-image generative adversarial network (PI-GAN). It uses two types of input images from which the features are aggregated to generate new training images.
- -
- The models designed in this study are disclosed [28] for fair performance evaluation by other researchers.
3. Materials and Methods
3.1. Overall Procedure of Proposed Method
3.2. Detailed Structure of Proposed PI-GAN and PI-CNN
3.3. Dataset and Experimental Setup
3.4. Data Augmentation
4. Experimental Results
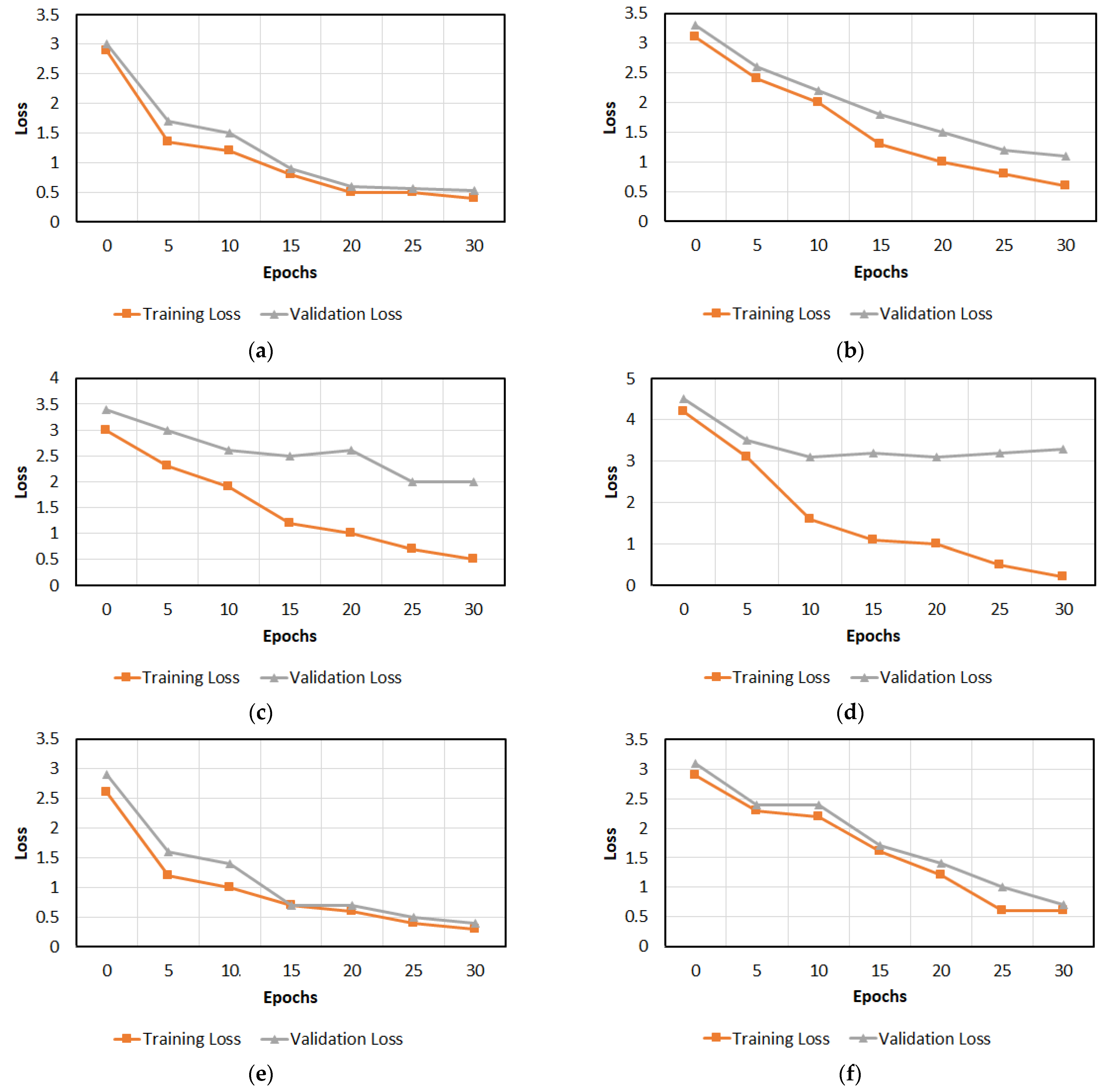
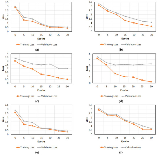
4.1. Training Setup
4.2. Ablation Study
4.2.1. Plant Image Classification
4.2.2. Plant Image Classification with Conventional Image Augmentation Methods
4.2.3. Plant Image Classification with PI-GAN-Based Augmentation Methods
4.3. Comparisons with State-of-the-Art Methods
4.4. Processing Time
5. Discussion
- -
- -
- -
- -
6. Conclusions
Author Contributions
Funding
Institutional Review Board Statement
Informed Consent Statement
Data Availability Statement
Conflicts of Interest
References
- Shahi, T.B.; Sitaula, C.; Neupane, A.; Guo, W. Fruit classification using attention-based MobileNetV2 for industrial applications. PLoS ONE 2022, 17, e0264586. [Google Scholar] [CrossRef] [PubMed]
- Siddiqi, R. Comparative performance of various deep learning based models in fruit image classification. In Proceedings of the 11th International Conference on Advances in Information Technology, Bangkok, Thailand, 1–3 July 2020; Volume 14, pp. 1–9. [Google Scholar] [CrossRef]
- Siddiqi, R. Effectiveness of transfer learning and fine tuning in automated fruit image classification. In Proceedings of the 2019 3rd International Conference on Deep Learning Technologies, Xiamen, China, 5–7 July 2019; pp. 91–100. [Google Scholar] [CrossRef]
- Savant, S.P.; Khanagoudar, P.S. Autonomous fruit recognition system based on deep convolutional neural network. Int. J. Sci. Res. Sci. Eng. Technol. 2020, 7, 666–669. [Google Scholar] [CrossRef]
- Srivastava, S.; Singh, T.; Sharma, S.; Verma, A. A fruit recognition system based on modern deep learning technique. Int. J. Eng. Res. Technol. 2020, 9, 896–898. [Google Scholar] [CrossRef]
- Biswas, B.; Ghosh, S.K.; Ghosh, A. A robust multi-label fruit classification based on deep convolution neural network. In Computational Intelligence in Pattern Recognition. Advances in Intelligent Systems and Computing; Das, A., Nayak, J., Naik, B., Pati, S., Pelusi, D., Eds.; Springer: Singapore, 2020; Volume 999. [Google Scholar] [CrossRef]
- Franczyk, B.; Hernes, M.; Kozierkiewicz, A.; Kozina, A.; Pietranik, M.; Roemer, I.; Schieck, M. Deep learning for grape variety recognition. Procedia Comput. Sci. 2020, 176, 1211–1220. [Google Scholar] [CrossRef]
- Hossain, M.S.; Al-Hammadi, M.; Muhammad, G. Automatic fruit classification using deep learning for industrial applications. IEEE Trans. Ind. Inform. 2019, 15, 1027–1034. [Google Scholar] [CrossRef]
- Hamid, N.N.A.A.; Razali, R.A.; Ibrahim, Z. Comparing bags of features, conventional convolutional neural network and AlexNet for fruit recognition. Indones. J. Electr. Eng. Comput. Sci. 2019, 14, 333–339. [Google Scholar] [CrossRef]
- Kader, A.; Sharif, S.; Bhowmick, P.; Mim, F.H.; Srizon, A.Y. Effective workflow for high-performance recognition of fruits using machine learning approaches. Int. Res. J. Eng. Technol. 2020, 7, 1516–1521. [Google Scholar]
- Katarzyna, R.; Paweł, M.A. Vision-based method utilizing deep convolutional neural networks for fruit variety classification in uncertainty conditions of retail sales. Appl. Sci. 2019, 9, 3971. [Google Scholar] [CrossRef] [Green Version]
- Ghosh, S.; Mondal, M.J.; Sen, S.; Chatterjee, S.; Kar Roy, N.; Patnaik, S. A novel approach to detect and classify fruits using ShuffleNet V2. In Proceedings of the IEEE Applied Signal Processing Conference, Kolkata, India, 7–9 October 2020; pp. 163–167. [Google Scholar] [CrossRef]
- Muhathir, M.; Santoso, M.H.; Muliono, R. Analysis naïve bayes in classifying fruit by utilizing HOG feature extraction. J. Inform. Telecommun. Eng. 2020, 4, 250–259. [Google Scholar] [CrossRef]
- Wang, D.; Wang, J.; Li, W.; Guan, P. T-CNN: Trilinear convolutional neural networks model for visual detection of plant diseases. Comput. Electron. Agric. 2021, 190, 106468. [Google Scholar] [CrossRef]
- PlantVillage Dataset. Available online: https://www.kaggle.com/datasets/emmarex/plantdisease (accessed on 5 July 2022).
- Singh, D.; Jain, N.; Jain, P.; Kayal, P.; Kumawat, S.; Batra, N. PlantDoc: A dataset for visual plant disease detection. In Proceedings of the 7th ACM IKDD CoDS and 25th COMAD, Hyderabad, India, 5–7 January 2020; pp. 249–253. [Google Scholar] [CrossRef]
- Fruits-360 Dataset. Available online: https://www.kaggle.com/datasets/moltean/fruits (accessed on 5 July 2022).
- Plants Dataset. Available online: https://www.kaggle.com/datasets/muhammadjawad1998/plants-dataset99-classes/metadata (accessed on 5 July 2022).
- Pawara, P.; Okafor, E.; Schomaker, L.; Wiering, M. Data augmentation for plant classification. In Proceedings of the Advanced Concepts for Intelligent Vision, Antwerp, Belgium, 18–21 September 2017; pp. 1–12. [Google Scholar] [CrossRef]
- Ghesquiere, M.; Ngxande, M. Deep learning for plant disease detection. In Advances in Computer Vision and Computational Biology; Springer International Publishing: Berlin/Heidelberg, Germany, 2021; pp. 69–84. [Google Scholar] [CrossRef]
- Image Data Augmentation. Available online: https://machinelearningmastery.com/how-to-configure-image-data-augmentation-when-training-deep-learning-neural-networks/ (accessed on 5 July 2022).
- Popular Image Augmentation Packages. Available online: https://www.kaggle.com/code/parulpandey/overview-of-popular-image-augmentation-packages/notebook (accessed on 5 July 2022).
- Santos, T.; Leonardo, D.S.; Andreza, D.S.; Sandra, A. Embrapa wine grape instance segmentation dataset—Embrapa WGISD (1.0.0) [Data set]. Zenodo 2019. Available online: https://zenodo.org/record/3361736#.Ywgs0nZByUk (accessed on 5 July 2022). [CrossRef]
- FIDS30 Dataset. Available online: https://www.kaggle.com/datasets/arnavmehta710a/fids30 (accessed on 5 July 2022).
- Szegedy, C.; Vanhoucke, V.; Ioffe, S.; Shlens, J.; Wojna, Z. Rethinking the inception architecture for computer vision. arXiv 2015, arXiv:1512.00567. [Google Scholar]
- Simonyan, K.; Zisserman, A. Very deep convolutional networks for large-scale image recognition. arXiv 2015, arXiv:1409.1556v6. [Google Scholar]
- Redmon, J.; Farhadi, A. Yolo V3: An incremental improvement. arXiv 2018, arXiv:1804.02767. [Google Scholar]
- PI-GAN and PI-CNN Models. Available online: https://github.com/ganav/PI-GAN-and-PI-CNN-networks (accessed on 5 July 2022).
- He, K.; Zhang, X.; Ren, S.; Sun, J. Deep residual learning for image recognition. In Proceedings of the IEEE Conference on Computer Vision and Pattern Recognition, Las Vegas, NV, USA, 27–30 June 2016; pp. 770–778. [Google Scholar] [CrossRef]
- Nvidia GeForce GTX TITAN X. Available online: https://www.nvidia.com/en-us/geforce/products/10series/titan-x-pascal/ (accessed on 5 July 2022).
- OpenCV. Available online: http://opencv.org/ (accessed on 5 July 2022).
- Python. Available online: https://www.python.org/ (accessed on 5 July 2022).
- Keras. Available online: https://keras.io/ (accessed on 5 July 2022).
- Binary Cross-Entropy Loss. Available online: https://towardsdatascience.com/understanding-binary-cross-entropy-log-loss-a-visual-explanation-a3ac6025181a (accessed on 5 July 2022).
- Categorical Cross-Entropy Loss. Available online: https://peltarion.com/knowledge-center/documentation/modeling-view/build-an-ai-model/loss-functions/categorical-crossentropy (accessed on 5 July 2022).
- Kingma, D.P.; Ba, J.B. ADAM: A method for stochastic optimization. In Proceedings of the 3rd International Conference on Learning Representations, San Diego, CA, USA, 7–9 May 2015; pp. 1–15. [Google Scholar]
- Powers, D.M.W. Evaluation: From precision, recall and f-measure to roc, informedness, markedness & correlation. Mach. Learn. Technol. 2011, 2, 37–63. [Google Scholar]
- Derczynski, L. Complementarity, F-score, and NLP evaluation. In Proceedings of the Tenth International Conference on Language Resources and Evaluation 2016, Portorož, Slovenia, 23–28 May 2016; European Language Resources Association; pp. 261–266. Available online: https://aclanthology.org/L16-1040 (accessed on 5 July 2022).
- Wang, W.; Wang, Z.; Du, M.; Yang, F.; Zhang, Z.; Ding, S.; Mardziel, P.; Hu, X. Score-CAM: Score-weighted visual explanations for convolutional neural networks. arXiv 2020, arXiv:1910.01279v2. [Google Scholar] [CrossRef]
- Selvaraju, R.R.; Cogswell, M.; Das, A.; Vedantam, R.; Parikh, D.; Batra, D. Grad-CAM: Visual explanations from deep networks via gradient-based localization. In Proceedings of the IEEE International Conference on Computer Vision, Venice, Italy, 22–29 October 2017; pp. 618–626. [Google Scholar] [CrossRef] [Green Version]
- Feng, Z.; Zhu, M.; Stanković, L.; Ji, H. Self-Matching CAM: A novel accurate visual explanation of CNNs for SAR image interpretation. Remote Sens. 2021, 13, 1772. [Google Scholar] [CrossRef]
- Desai, S.; Ramaswamy, H.G. Ablation-CAM: Visual explanations for deep convolutional network via gradient-free localization. In Proceedings of the IEEE Winter Conference on Applications of Computer Vision, Snowmass Village, CO, USA, 1–5 March 2020; pp. 972–980. [Google Scholar] [CrossRef]
- Chattopadhay, A.; Sarkar, A.; Howlader, P.; Balasubramanian, V.N. Grad-CAM++: Generalized gradient-based visual explanations for deep convolutional networks. In Proceedings of the IEEE Winter Conference on Applications of Computer Vision, Lake Tahoe, NV, USA, 12–15 March 2018; pp. 839–847. [Google Scholar] [CrossRef]
- Zhou, B.; Khosla, A.; Lapedriza, A.; Oliva, A.; Torralba, A. Learning deep features for discriminative localization. In Proceedings of the IEEE Conference on Computer Vision and Pattern Recognition, Las Vegas, NV, USA, 27–30 June 2016; pp. 2921–2929. [Google Scholar] [CrossRef]
- Takahashi, R.; Matsubara, T.; Uehara, K. Data Augmentation Using Random Image Cropping and Patching for Deep CNNs. IEEE Trans. Circuits Syst. Video Technol. 2020, 30, 2917–2931. [Google Scholar] [CrossRef]
- Jordan, J.B.; Chloe, M.B.; Luis, J.M.; Anikó, E.; Diego, R.F. Fruit quality and defect image classification with conditional GAN data augmentation. Sci. Hortic. 2022, 293, 110684. [Google Scholar] [CrossRef]
- Frid-Adar, M.; Klang, E.; Amitai, M.; Goldberger, J.; Greenspan, H. Synthetic data augmentation using GAN for improved liver lesion classification. In Proceedings of the 2018 IEEE 15th International Symposium on Biomedical Imaging (ISBI 2018), Washington, DC, USA, 4–7 April 2018; pp. 289–293. [Google Scholar]
- Singh, A.; Bansal, A.; Chauhan, N.; Sahu, S.P.; Dewangan, D.K. Image generation using GAN and its classification using SVM and CNN. In Proceedings of the International Conference on Emerging Trends and Technologies on Intelligent Systems, Online, 4–5 March 2021; Springer: Singapore, 2021; pp. 89–100. [Google Scholar]
- Bhattacharya, D.; Banerjee, S.; Bhattacharya, S.; Uma Shankar, B.; Mitra, S. GAN-based novel approach for data augmentation with improved disease classification. In Advancement of Machine Intelligence in Interactive Medical Image Analysis; Springer: Singapore, 2020; pp. 229–239. [Google Scholar]




















| Methods | Advantages | Disadvantages | |
|---|---|---|---|
| Large training set-based | [1,2,3,4,5,6,7,8,9,10,11,12,13,14] | High accuracy | Does not consider small training sets |
| Small training set-based | Proposed method | Considers various sizes of training sets. Considers various sizes of training sets | Lower accuracy than that achieved when a large training set is used |
| Layer Number | Layer Type | Times | Number of Filters | Number of Parameters | Layer Connection (Connected to) |
|---|---|---|---|---|---|
| 0 | input_layer_1 | ×1 | 0 | 0 | input_1 |
| 1 | input_layer_2 | ×1 | 0 | 0 | input_2 |
| 2 | encoder_1 | ×4 | 128 | 605,696 | input_layer_1 |
| 3 | encoder_2 | ×4 | 128 | 605,696 | input_layer_2 |
| 4 | res_block_1 | ×2 | 128 | 590,592 | encoder_1 |
| 5 | res_block_2 | ×2 | 128 | 590,592 | encoder_2 |
| 6 | concat | ×1 | 0 | 0 | res_block_1 & res_block_2 |
| 7 | res_block_3 | ×3 | 256 | 885,888 | concat |
| 8 | decoder | ×4 | 128 | 1,328,640 | res_block_3 |
| 9 | conv2d (tanh) | ×1 | 3 | 3459 | decoder |
| Layer Number | Layer Type | Layer Connection (Connected to) |
|---|---|---|
| 1 | conv2d_1 | input |
| 2 | prelu_1 | conv2d_1 |
| 3 | conv2d_2 | prelu_1 |
| 4 | prelu_2 | conv2d_2 |
| 5 | max_pool | prelu_2 |
| Layer Number | Layer Type | Layer Connection (Connected to) |
|---|---|---|
| 1 | conv2d_1 | input |
| 2 | prelu_1 | conv2d_1 |
| 3 | conv2d_2 | prelu_1 |
| 4 | prelu_2 | conv2d_2 |
| 5 | Up2 | prelu_2 |
| Layer Number | Layer Type | Layer Connection (Connected to) |
|---|---|---|
| 1 | conv2d_1 | input |
| 2 | prelu | conv2d_1 |
| 3 | conv2d_2 | prelu |
| 4 | add | conv2d_2 & input |
| Layer Number | Layer Type | Times | Number of Filters | Number of Strides | Number of Parameters | Layer Connection (Connected to) |
|---|---|---|---|---|---|---|
| 0 | input layer | ×1 | 0 | 0 | 0 | input |
| 1 | conv2d | ×1 | 128 | 1 | 3584 | input layer |
| 2 | lrelu_1 | ×1 | 0 | 0 | 0 | conv2d |
| 3 | disc_block | ×5 | 128, 128 256, 256, 256 | 1, 1 2, 2, 2 | 1,770,496 | lrelu_1 |
| 4 | lrelu_2 | ×1 | 0 | 0 | 0 | disc_block |
| 5 | FC (sigmoid) | ×1 | class# | 0 | 173,057 | lrelu_2 |
| Layer Number | Layer Type | Layer Connection (Connected to) |
|---|---|---|
| 1 | conv2d | input |
| 2 | lrelu | conv2d |
| Layer Number | Layer Type | Number of Filters | Number of Parameters | Layer Connection (Connected to) |
|---|---|---|---|---|
| 1 | input layer_1 | 0 | 0 | input |
| 2 | conv2d_1 | 64 | 1792 | input layer_1 |
| 3 | conv2d_2 | 64 | 36,928 | conv2d_1 |
| 4 | max_pool_1 | 0 | 0 | conv2d_2 |
| 5 | res_block_1 | 64 | 73,920 | max_pool_1 |
| 6 | res_block_2 | 64 | 73,920 | res_block_1 |
| 7 | res_block_3 | 64 | 73,920 | res_block_2 |
| 8 | res_block_4 | 64 | 73,920 | res_block_3 |
| 9 | conv2d_3 | 128 | 73,856 | res_block_4 |
| 10 | conv2d_4 | 128 | 147,584 | conv2d_3 |
| 11 | max_pool_2 | 0 | 0 | conv2d_4 |
| 12 | res_block_5 | 128 | 295,296 | max_pool_2 |
| 13 | res_block_6 | 128 | 295,296 | res_block_5 |
| 14 | res_block_7 | 128 | 295,296 | res_block_6 |
| 15 | res_block_8 | 128 | 295,296 | res_block_7 |
| 16 | conv2d_5 | 128 | 147,584 | res_block_8 |
| 17 | conv2d_6 | 128 | 147,584 | conv2d_5 |
| 18 | max_pool_3 | 0 | 0 | conv2d_6 |
| 19 | res_block_9 | 128 | 295,296 | max_pool_3 |
| 20 | res_block_10 | 128 | 295,296 | res_block_9 |
| 21 | res_block_11 | 128 | 295,296 | res_block_10 |
| 22 | res_block_12 | 128 | 295,296 | res_block_11 |
| 23 | conv2d_7 | 128 | 147,584 | res_block_12 |
| 24 | conv2d_8 | 128 | 147,584 | conv2d_7 |
| 25 | max_pool_4 | 0 | 0 | conv2d_8 |
| 26 | res_block_13 | 128 | 295,296 | max_pool_4 |
| 27 | res_block_14 | 128 | 295,296 | res_block_13 |
| 28 | res_block_15 | 128 | 295,296 | res_block_14 |
| 29 | res_block_16 | 128 | 295,296 | res_block_15 |
| 30 | FC (softmax) | class# | 258,062 | res_block_16 |
| Datasets | Training Sets | Test Sets | Validation Sets | Dimension | Depth | Extension | Class# |
|---|---|---|---|---|---|---|---|
| Fruits-360 | 41,322 | 12,877 | 1000 | 100 × 100 | 24 | jpg | 81 |
| PlantVillage | 40,000 | 13,305 | 1000 | 256 × 256 | 24 | jpg | 38 |
| PlantDoc | 2336 | 200 | 36 | 150 × 150–5616 × 3744 | 24 | jpg | 27 |
| Plants | 13,149 | 5218 | 1521 | 104 × 104–3168 × 4752 | 24 | jpg | 99 |
| Datasets | Training Sets | Test Sets | Validation Sets | ||||
|---|---|---|---|---|---|---|---|
| 100% | 70% | 50% | 30% | 10% | |||
| Fruits-360 | 41,322 | 28,926 | 20,661 | 12,396 | 4132 | 12,877 | 1000 |
| PlantVillage | 40,000 | 28,000 | 20,000 | 12,000 | 4000 | 13,305 | 1000 |
| PlantDoc | 2336 | 1635 | 1168 | 700 | 233 | 200 | 36 |
| Plants | 13,149 | 9204 | 6574 | 3944 | 1314 | 5218 | 1521 |
| Datasets | Train Sets | Test Sets | Validation Sets | |||
|---|---|---|---|---|---|---|
| Crop | Disease | Crop | Disease | Crop | Disease | |
| Fruits-360 | 41,322 | 12,877 | 1000 | |||
| PlantVillage | 11,222 | 28,778 | 3592 | 9713 | 270 | 730 |
| PlantDoc | 757 * | 1579 * | 76 | 124 | 14 | 22 |
| Plants | 13,149 * | 5218 | 1521 | |||
| Parameters | Weight Decay (Weight Regularization L2) | Loss | Kernel Initializer | Bias Initializer | Optimizer | Learning Rate | Beta_1 | Beta_2 | Epsilon | Epochs | Batch Size |
|---|---|---|---|---|---|---|---|---|---|---|---|
| Search Space | [0.001, 0.01, 0.1] | [“binary cross-entropy,” “VGG-19”] | “glorot uniform” | “zeros” | [“SGD,” “adam”] | [0.0001, 0.001, 0.01, 0.1] | [0.7, 0.8, 0.9] | [0.8, 0.9, 0.999] | [1 × 10−9, 1 × 10−8, 1 × 10−7] | [1–50] | [1, 4, 8, 16] |
| Selected Value | 0.01 | “binary cross-entropy” | “glorot uniform” | “zeros” | “adam” | 0.0001 | 0.9 | 0.999 | 1 × 10−8 | 50 | 8 |
| Parameters | Learning Rate Decay (for SGD) | Momentum (for SGD) | Loss | Metrics | Optimizer | Learning Rate | Epochs | Batch Size |
|---|---|---|---|---|---|---|---|---|
| Search Space | [0.000001, 0.00001, 0.0001] | [0.9, 0.8, 0.7] | “categorical cross-entropy” | [“categorical_accuracy”, “accuracy”] | [“SGD,” “adam”] | [0.0001, 0.001, 0.01, 0.1] | [1–40] | [1, 4, 8, 16] |
| Selected Value | 0.00001 | 0.9 | “categorical cross-entropy” | ” accuracy” | “adam” | 0.0001 | 30 | 8 |
| Methods | TPR | PPV | ACC | F1-Score |
|---|---|---|---|---|
| encoder-decoder ×1 | 76.00 | 80.29 | 86.74 | 78.08 |
| encoder-decoder ×2 | 76.43 | 81.62 | 86.07 | 78.94 |
| encoder-decoder ×3 | 76.56 | 80.40 | 87.49 | 78.43 |
| encoder-decoder ×4 (proposed) | 76.70 | 81.65 | 87.94 | 79.18 |
| encoder-decoder ×5 | 75.85 | 81.12 | 86.62 | 78.40 |
| Methods | TPR | PPV | ACC | F1-Score |
|---|---|---|---|---|
| res_block-14 | 95.01 | 93.15 | 97.38 | 94.07 |
| res _block-15 | 95.24 | 92.43 | 98.53 | 93.81 |
| res _block-16 (proposed) | 95.40 | 94.33 | 98.59 | 94.87 |
| res _block-17 | 95.14 | 92.46 | 96.94 | 93.78 |
| Dataset | Disease | Crop | |||||||
|---|---|---|---|---|---|---|---|---|---|
| TPR | PPV | ACC | F1-Score | TPR | PPV | ACC | F1-Score | ||
| Original | 100% | 89.62 | 95.13 | 97.26 | 92.38 | 98.48 | 94.76 | 99.57 | 96.62 |
| Reduced | 70% | 86.20 | 89.11 | 92.34 | 87.66 | 89.10 | 86.27 | 90.41 | 87.69 |
| 50% | 71.89 | 78.67 | 84.70 | 75.28 | 71.10 | 78.60 | 84.64 | 74.85 | |
| 30% | 52.80 | 47.48 | 65.54 | 50.14 | 53.20 | 45.87 | 63.13 | 49.54 | |
| 10% | 31.84 | 34.29 | 43.55 | 33.07 | 32.98 | 33.25 | 43.91 | 33.12 | |
| Dataset | Disease | Crop | |||||||
|---|---|---|---|---|---|---|---|---|---|
| TPR | PPV | ACC | F1-Score | TPR | PPV | ACC | F1-Score | ||
| Original | 100% | 66.13 | 67.87 | 80.36 | 67.00 | 78.26 | 74.66 | 86.57 | 76.46 |
| Reduced | 70% | 59.54 | 54.48 | 74.08 | 57.01 | 70.37 | 64.78 | 80.81 | 67.58 |
| 50% | 40.20 | 39.21 | 61.05 | 39.71 | 51.95 | 48.15 | 72.55 | 50.05 | |
| 30% | 36.62 | 29.31 | 45.21 | 32.97 | 41.62 | 35.31 | 53.14 | 38.47 | |
| 10% | 21.30 | 22.51 | 29.12 | 21.91 | 21.98 | 22.41 | 32.18 | 22.20 | |
| Dataset | Plants Dataset | Fruits-360 Dataset | |||||||
|---|---|---|---|---|---|---|---|---|---|
| TPR | PPV | ACC | F1-Score | TPR | PPV | ACC | F1-Score | ||
| Original | 100% | 90.10 | 86.11 | 96.52 | 88.11 | 95.40 | 94.33 | 98.59 | 94.87 |
| Reduced | 70% | 80.46 | 76.40 | 92.81 | 78.43 | 91.70 | 89.00 | 91.80 | 90.35 |
| 50% | 62.71 | 60.22 | 84.10 | 61.47 | 72.47 | 78.63 | 83.63 | 75.55 | |
| 30% | 49.74 | 41.50 | 60.34 | 45.62 | 52.68 | 45.86 | 65.44 | 49.27 | |
| 10% | 30.66 | 31.33 | 40.85 | 31.00 | 39.37 | 36.19 | 48.31 | 37.78 | |
| Dataset | Disease | Crop | |||||||
|---|---|---|---|---|---|---|---|---|---|
| Before Augmentation | After Augmentation | TPR | PPV | ACC | F1-Score | TPR | PPV | ACC | F1-Score |
| 100% | 100% | 89.62 | 95.13 | 97.26 | 92.38 | 98.48 | 94.76 | 99.57 | 96.62 |
| 70% | 100% | 86.89 | 90.17 | 93.87 | 88.53 | 89.76 | 88.96 | 92.60 | 89.36 |
| 50% | 100% | 71.66 | 79.88 | 86.97 | 75.77 | 73.58 | 80.84 | 84.82 | 77.21 |
| 30% | 100% | 54.86 | 49.34 | 66.13 | 52.10 | 53.11 | 46.95 | 63.34 | 50.03 |
| 10% | 100% | 32.71 | 36.21 | 44.28 | 34.46 | 32.80 | 34.97 | 45.29 | 33.89 |
| Dataset | Disease | Crop | |||||||
|---|---|---|---|---|---|---|---|---|---|
| Before Augmentation | After Augmentation | TPR | PPV | ACC | F1-Score | TPR | PPV | ACC | F1-Score |
| 100% | 100% | 66.13 | 67.87 | 80.36 | 67.00 | 78.26 | 74.66 | 86.57 | 76.46 |
| 70% | 100% | 60.12 | 56.23 | 76.82 | 58.18 | 71.86 | 65.80 | 82.40 | 68.83 |
| 50% | 100% | 42.83 | 39.55 | 62.69 | 41.19 | 53.36 | 50.92 | 72.31 | 52.14 |
| 30% | 100% | 38.87 | 33.71 | 48.8 | 36.29 | 44.53 | 38.2 | 58.57 | 42.87 |
| 10% | 100% | 23.40 | 22.88 | 30.30 | 23.14 | 24.45 | 23.80 | 34.69 | 24.13 |
| Dataset | Plants Dataset | Fruits-360 Dataset | |||||||
|---|---|---|---|---|---|---|---|---|---|
| Before Augmentation | After Augmentation | TPR | PPV | ACC | F1-Score | TPR | PPV | ACC | F1-Score |
| 100% | 100% | 90.10 | 86.11 | 96.52 | 88.11 | 95.40 | 94.33 | 98.59 | 94.87 |
| 70% | 100% | 82.19 | 76.30 | 92.86 | 79.25 | 92.30 | 90.72 | 93.61 | 91.51 |
| 50% | 100% | 63.32 | 61.94 | 85.93 | 62.63 | 73.40 | 78.80 | 83.66 | 76.10 |
| 30% | 100% | 51.52 | 41.30 | 62.47 | 46.41 | 54.39 | 47.25 | 67.50 | 50.82 |
| 10% | 100% | 30.78 | 33.60 | 41.16 | 32.19 | 39.57 | 37.26 | 48.33 | 38.42 |
| Dataset | Disease | Crop | |||||||
|---|---|---|---|---|---|---|---|---|---|
| Before Augmentation | After Augmentation | TPR | PPV | ACC | F1-Score | TPR | PPV | ACC | F1-Score |
| 100% | 100% | 89.62 | 95.13 | 97.26 | 92.38 | 98.48 | 94.76 | 99.57 | 96.62 |
| 70% | 100% | 86.39 | 88.45 | 93.39 | 87.41 | 88.45 | 88.84 | 91.72 | 88.65 |
| 50% | 100% | 70.99 | 79.18 | 85.67 | 74.86 | 72.90 | 80.09 | 84.58 | 76.32 |
| 30% | 100% | 53.07 | 48.49 | 64.36 | 50.68 | 52.65 | 46.08 | 61.52 | 49.15 |
| 10% | 100% | 31.53 | 36.06 | 43.30 | 33.64 | 30.85 | 34.91 | 44.97 | 32.75 |
| Dataset | Disease | Crop | |||||||
|---|---|---|---|---|---|---|---|---|---|
| Before Augmentation | After Augmentation | TPR | PPV | ACC | F1-Score | TPR | PPV | ACC | F1-Score |
| 100% | 100% | 66.13 | 67.87 | 80.36 | 67.00 | 78.26 | 74.66 | 86.57 | 76.46 |
| 70% | 100% | 59.60 | 55.72 | 76.40 | 57.59 | 70.63 | 64.46 | 80.96 | 67.40 |
| 50% | 100% | 41.68 | 38.87 | 60.74 | 40.22 | 53.23 | 50.59 | 71.11 | 51.88 |
| 30% | 100% | 37.30 | 33.55 | 47.83 | 35.33 | 43.47 | 38.00 | 57.32 | 40.55 |
| 10% | 100% | 22.04 | 22.18 | 30.13 | 22.11 | 23.12 | 22.27 | 33.92 | 22.69 |
| Dataset | Plants dataset | Fruits-360 dataset | |||||||
|---|---|---|---|---|---|---|---|---|---|
| Before Augmentation | After Augmentation | TPR | PPV | ACC | F1-Score | TPR | PPV | ACC | F1-Score |
| 100% | 100% | 90.10 | 86.11 | 96.52 | 88.11 | 95.40 | 94.33 | 98.59 | 94.87 |
| 70% | 100% | 80.56 | 76.22 | 91.83 | 78.33 | 91.47 | 90.62 | 92.37 | 91.04 |
| 50% | 100% | 61.37 | 61.07 | 84.32 | 61.22 | 73.14 | 78.61 | 82.78 | 75.78 |
| 30% | 100% | 50.41 | 41.27 | 61.09 | 45.38 | 52.43 | 45.44 | 65.83 | 48.68 |
| 10% | 100% | 29.18 | 33.11 | 40.93 | 31.02 | 37.95 | 35.84 | 48.22 | 36.87 |
| Dataset Division | Disease | Crop | |||||||
|---|---|---|---|---|---|---|---|---|---|
| Before Augmentation | After Augmentation | TPR | PPV | ACC | F1-Score | TPR | PPV | ACC | F1-Score |
| 100% | 100% | 89.62 | 95.13 | 97.26 | 92.38 | 98.48 | 94.76 | 99.57 | 96.62 |
| 70% | 100% | 88.66 | 93.36 | 96.40 | 91.01 | 93.61 | 90.92 | 93.65 | 92.27 |
| 50% | 100% | 74.50 | 81.23 | 87.67 | 77.87 | 74.30 | 82.49 | 88.10 | 78.40 |
| 30% | 100% | 56.00 | 51.36 | 68.33 | 53.68 | 56.15 | 48.46 | 66.62 | 52.31 |
| 10% | 100% | 34.34 | 38.60 | 47.59 | 36.47 | 36.81 | 36.20 | 46.45 | 36.51 |
| Dataset Division | Disease | Crop | |||||||
|---|---|---|---|---|---|---|---|---|---|
| Before Augmentation | After Augmentation | TPR | PPV | ACC | F1-Score | TPR | PPV | ACC | F1-Score |
| 100% | 100% | 66.13 | 67.87 | 80.36 | 67.00 | 78.26 | 74.66 | 86.57 | 76.46 |
| 70% | 100% | 63.68 | 57.10 | 78.50 | 60.39 | 73.16 | 68.17 | 83.62 | 70.67 |
| 50% | 100% | 43.69 | 43.68 | 65.41 | 43.69 | 55.47 | 52.92 | 76.59 | 54.20 |
| 30% | 100% | 41.15 | 36.24 | 50.4 | 38.51 | 47.73 | 42.3 | 62.28 | 45.57 |
| 10% | 100% | 26.48 | 25.87 | 32.14 | 26.18 | 28.80 | 26.91 | 36.33 | 27.86 |
| Dataset Division | Plants | Fruits-360 | |||||||
|---|---|---|---|---|---|---|---|---|---|
| Before Augmentation | After Augmentation | TPR | PPV | ACC | F1-Score | TPR | PPV | ACC | F1-Score |
| 100% | 100% | 90.10 | 86.11 | 96.52 | 88.11 | 95.40 | 94.33 | 98.59 | 94.87 |
| 70% | 100% | 84.52 | 80.66 | 96.18 | 82.59 | 94.53 | 92.31 | 94.48 | 93.42 |
| 50% | 100% | 66.64 | 64.53 | 88.52 | 65.59 | 76.70 | 81.65 | 87.94 | 79.18 |
| 30% | 100% | 53.28 | 45.34 | 63.93 | 49.31 | 55.12 | 49.62 | 69.89 | 52.37 |
| 10% | 100% | 34.52 | 35.96 | 44.31 | 35.24 | 43.40 | 39.70 | 51.90 | 41.55 |
| Dataset Division | Disease | Crop | |||||||
|---|---|---|---|---|---|---|---|---|---|
| Before Augmentation | After Augmentation | TPR | PPV | ACC | F1-Score | TPR | PPV | ACC | F1-Score |
| 100% | 100% | 89.62 | 95.13 | 97.26 | 92.38 | 98.48 | 94.76 | 99.57 | 96.62 |
| 70% | 100% | 87.34 | 92.10 | 95.29 | 89.66 | 92.43 | 90.85 | 92.64 | 91.63 |
| 50% | 100% | 73.26 | 80.76 | 86.81 | 76.83 | 73.98 | 82.28 | 87.92 | 77.91 |
| 30% | 100% | 55.32 | 50.13 | 68.27 | 52.60 | 55.74 | 47.68 | 65.46 | 51.40 |
| 10% | 100% | 33.88 | 38.60 | 46.43 | 36.09 | 36.39 | 35.92 | 45.56 | 36.15 |
| Dataset Division | Disease | Crop | |||||||
|---|---|---|---|---|---|---|---|---|---|
| Before Augmentation | After Augmentation | TPR | PPV | ACC | F1-Score | TPR | PPV | ACC | F1-Score |
| 100% | 100% | 66.13 | 67.87 | 80.36 | 67.00 | 78.26 | 74.66 | 86.57 | 76.46 |
| 70% | 100% | 63.01 | 56.75 | 77.21 | 59.72 | 71.73 | 67.41 | 82.24 | 69.51 |
| 50% | 100% | 42.81 | 43.29 | 64.13 | 43.04 | 54.17 | 52.91 | 75.22 | 53.53 |
| 30% | 100% | 39.65 | 35.34 | 49.41 | 37.37 | 47.15 | 41.82 | 60.82 | 44.33 |
| 10% | 100% | 26.27 | 24.39 | 31.81 | 25.29 | 27.98 | 25.98 | 35.81 | 26.95 |
| Dataset Division | Plants | Fruits-360 | |||||||
|---|---|---|---|---|---|---|---|---|---|
| Before Augmentation | After Augmentation | TPR | PPV | ACC | F1-Score | TPR | PPV | ACC | F1-Score |
| 100% | 100% | 90.10 | 86.11 | 96.52 | 88.11 | 95.40 | 94.33 | 98.59 | 94.87 |
| 70% | 100% | 83.79 | 79.59 | 94.90 | 81.63 | 93.90 | 92.29 | 94.12 | 93.09 |
| 50% | 100% | 65.91 | 63.23 | 87.72 | 64.55 | 75.42 | 81.29 | 87.26 | 78.25 |
| 30% | 100% | 52.79 | 45.00 | 63.73 | 48.58 | 54.53 | 49.08 | 69.36 | 51.66 |
| 10% | 100% | 33.55 | 35.12 | 43.36 | 34.32 | 43.15 | 38.70 | 50.53 | 40.80 |
| Methods | Dataset | Disease | Crop | ||||||
|---|---|---|---|---|---|---|---|---|---|
| TPR | PPV | ACC | F1-Score | TPR | PPV | ACC | F1-Score | ||
| Wang [14] | 100% | 88.31 | 94.02 | 96.34 | 91.17 | 97.15 | 93.54 | 98.35 | 95.35 |
| 70% | 85.65 | 88.84 | 91.48 | 87.25 | 88.84 | 85.74 | 89.98 | 87.29 | |
| 50% | 70.85 | 77.64 | 84.04 | 74.25 | 70.58 | 77.51 | 83.24 | 74.05 | |
| 30% | 51.56 | 46.33 | 64.92 | 48.95 | 52.84 | 44.17 | 63.84 | 48.51 | |
| 10% | 30.54 | 33.89 | 43.12 | 32.22 | 32.01 | 32.98 | 43.54 | 32.50 | |
| Shahi [1] | 100% | 89.32 | 94.53 | 96.94 | 91.93 | 97.93 | 94.32 | 98.12 | 96.13 |
| 70% | 85.84 | 88.17 | 91.74 | 87.01 | 88.17 | 83.44 | 89.24 | 85.81 | |
| 50% | 69.45 | 76.17 | 82.61 | 72.81 | 70.82 | 76.32 | 82.42 | 73.57 | |
| 30% | 51.52 | 46.44 | 63.14 | 48.98 | 51.43 | 43.66 | 62.45 | 47.55 | |
| 10% | 29.14 | 33.48 | 42.78 | 31.31 | 31.52 | 32.74 | 42.49 | 32.13 | |
| Srivastava [5] | 100% | 88.90 | 94.86 | 97.10 | 91.79 | 97.73 | 94.51 | 98.40 | 96.10 |
| 70% | 84.90 | 88.25 | 91.12 | 86.55 | 89.00 | 85.35 | 88.92 | 87.14 | |
| 50% | 70.86 | 77.80 | 83.69 | 74.17 | 69.66 | 77.58 | 84.14 | 73.40 | |
| 30% | 52.30 | 46.91 | 65.13 | 49.46 | 52.35 | 45.69 | 63.13 | 48.80 | |
| 10% | 31.08 | 33.02 | 43.37 | 32.02 | 31.52 | 32.24 | 42.66 | 31.88 | |
| Jordan [46] | 100% | 88.20 | 94.12 | 96.91 | 91.06 | 97.10 | 93.85 | 98.62 | 95.45 |
| 70% | 86.06 | 89.01 | 91.37 | 87.51 | 89.01 | 85.48 | 90.05 | 87.21 | |
| 50% | 71.39 | 78.65 | 84.35 | 74.85 | 70.01 | 78.36 | 84.58 | 73.95 | |
| 30% | 52.07 | 47.11 | 65.20 | 49.46 | 52.12 | 45.25 | 62.67 | 48.44 | |
| 10% | 31.38 | 33.70 | 42.53 | 32.50 | 32.96 | 32.79 | 42.93 | 32.87 | |
| Ours | 100% | 89.62 | 95.13 | 97.26 | 92.38 | 98.48 | 94.76 | 99.57 | 96.62 |
| 70% | 86.20 | 89.11 | 92.34 | 87.66 | 89.10 | 86.27 | 90.41 | 87.69 | |
| 50% | 71.89 | 78.67 | 84.70 | 75.28 | 71.10 | 78.60 | 84.64 | 74.85 | |
| 30% | 52.80 | 47.48 | 65.54 | 50.14 | 53.20 | 45.87 | 63.13 | 49.54 | |
| 10% | 31.84 | 34.29 | 43.55 | 33.07 | 32.98 | 33.25 | 43.91 | 33.12 | |
| Methods | Dataset | Disease | Crop | ||||||
|---|---|---|---|---|---|---|---|---|---|
| TPR | PPV | ACC | F1-Score | TPR | PPV | ACC | F1-Score | ||
| Wang [14] | 100% | 65.12 | 66.49 | 79.82 | 65.81 | 77.37 | 73.54 | 84.95 | 75.46 |
| 70% | 58.26 | 54.39 | 73.07 | 56.33 | 68.50 | 64.74 | 79.89 | 66.62 | |
| 50% | 38.30 | 38.20 | 60.67 | 38.25 | 51.25 | 47.82 | 71.31 | 49.54 | |
| 30% | 35.85 | 28.38 | 44.18 | 32.12 | 40.17 | 34.88 | 52.69 | 37.53 | |
| 10% | 19.42 | 21.31 | 27.68 | 20.37 | 20.26 | 21.29 | 30.21 | 20.78 | |
| Shahi [1] | 100% | 64.58 | 66.66 | 78.83 | 65.62 | 77.79 | 73.42 | 86.02 | 75.61 |
| 70% | 58.90 | 53.72 | 72.76 | 56.31 | 68.85 | 63.69 | 80.42 | 66.27 | |
| 50% | 38.79 | 38.64 | 59.73 | 38.72 | 50.41 | 47.96 | 71.07 | 49.19 | |
| 30% | 35.79 | 28.59 | 44.50 | 32.19 | 39.76 | 34.05 | 51.50 | 36.91 | |
| 10% | 21.03 | 22.06 | 28.33 | 21.55 | 21.58 | 21.01 | 31.35 | 21.30 | |
| Srivastava [5] | 100% | 65.66 | 67.43 | 79.03 | 66.53 | 77.25 | 74.00 | 85.97 | 75.59 |
| 70% | 58.55 | 53.13 | 73.70 | 55.71 | 69.11 | 64.49 | 79.72 | 66.72 | |
| 50% | 39.90 | 38.93 | 60.88 | 39.41 | 50.83 | 47.19 | 72.07 | 48.95 | |
| 30% | 36.11 | 29.00 | 44.13 | 32.17 | 40.40 | 34.81 | 52.33 | 37.40 | |
| 10% | 19.99 | 21.04 | 27.69 | 20.50 | 20.76 | 21.71 | 31.72 | 21.22 | |
| Jordan [46] | 100% | 65.12 | 67.64 | 79.78 | 66.36 | 76.78 | 74.64 | 86.28 | 75.69 |
| 70% | 58.16 | 53.72 | 72.98 | 55.85 | 70.33 | 64.06 | 80.59 | 67.05 | |
| 50% | 39.56 | 37.77 | 60.27 | 38.64 | 50.92 | 46.96 | 72.37 | 48.86 | |
| 30% | 35.60 | 28.92 | 43.78 | 31.91 | 40.23 | 33.95 | 51.92 | 36.83 | |
| 10% | 19.92 | 21.46 | 27.93 | 20.66 | 20.59 | 21.26 | 31.63 | 20.92 | |
| Ours | 100% | 66.13 | 67.87 | 80.36 | 67.00 | 78.26 | 74.66 | 86.57 | 76.46 |
| 70% | 59.54 | 54.48 | 74.08 | 57.01 | 70.37 | 64.78 | 80.81 | 67.58 | |
| 50% | 40.20 | 39.21 | 61.05 | 39.71 | 51.95 | 48.15 | 72.55 | 50.05 | |
| 30% | 36.62 | 29.31 | 45.21 | 32.97 | 41.62 | 35.31 | 53.14 | 38.47 | |
| 10% | 21.30 | 22.51 | 29.12 | 21.91 | 21.98 | 22.41 | 32.18 | 22.20 | |
| Methods | Dataset | Plants | Fruits-360 | ||||||
|---|---|---|---|---|---|---|---|---|---|
| TPR | PPV | ACC | F1-Score | TPR | PPV | ACC | F1-Score | ||
| Wang [14] | 100% | 89.72 | 85.29 | 95.63 | 87.51 | 94.47 | 94.04 | 97.88 | 94.26 |
| 70% | 80.25 | 76.35 | 92.23 | 78.30 | 91.24 | 88.77 | 90.87 | 90.01 | |
| 50% | 62.55 | 59.85 | 84.10 | 61.20 | 72.24 | 78.49 | 82.93 | 75.37 | |
| 30% | 48.89 | 40.71 | 59.51 | 44.80 | 52.06 | 45.20 | 65.16 | 48.63 | |
| 10% | 29.68 | 30.60 | 40.61 | 30.14 | 38.84 | 35.24 | 47.54 | 37.04 | |
| Shahi [1] | 100% | 89.35 | 84.47 | 94.75 | 86.91 | 93.53 | 93.74 | 97.17 | 93.64 |
| 70% | 80.04 | 76.30 | 91.66 | 78.17 | 90.77 | 88.54 | 89.94 | 89.66 | |
| 50% | 62.39 | 59.48 | 84.09 | 60.94 | 72.01 | 78.35 | 82.23 | 75.18 | |
| 30% | 48.03 | 39.93 | 58.67 | 43.98 | 51.45 | 44.55 | 64.88 | 48.00 | |
| 10% | 28.70 | 29.86 | 40.37 | 29.28 | 38.32 | 34.30 | 46.77 | 36.31 | |
| Srivastava [5] | 100% | 89.74 | 85.96 | 95.60 | 87.81 | 94.26 | 93.10 | 98.25 | 93.68 |
| 70% | 79.98 | 75.47 | 92.57 | 77.66 | 90.91 | 88.15 | 90.60 | 89.51 | |
| 50% | 61.43 | 59.79 | 82.97 | 60.60 | 72.40 | 77.95 | 82.62 | 75.07 | |
| 30% | 49.53 | 40.93 | 58.93 | 44.82 | 51.60 | 45.84 | 64.34 | 48.55 | |
| 10% | 30.00 | 31.06 | 40.28 | 30.52 | 38.95 | 35.71 | 48.00 | 37.26 | |
| Jordan [46] | 100% | 89.34 | 85.20 | 95.71 | 87.22 | 94.22 | 93.88 | 97.43 | 94.05 |
| 70% | 79.53 | 75.59 | 92.58 | 77.51 | 91.61 | 88.34 | 90.54 | 89.95 | |
| 50% | 61.84 | 58.88 | 82.77 | 60.33 | 72.30 | 78.34 | 83.10 | 75.20 | |
| 30% | 49.30 | 40.41 | 60.03 | 44.41 | 52.08 | 45.12 | 65.00 | 48.35 | |
| 10% | 30.24 | 30.34 | 40.50 | 30.29 | 39.37 | 35.31 | 48.11 | 37.23 | |
| Ours | 100% | 90.10 | 86.11 | 96.52 | 88.11 | 95.40 | 94.33 | 98.59 | 94.87 |
| 70% | 80.46 | 76.40 | 92.81 | 78.43 | 91.70 | 89.00 | 91.80 | 90.35 | |
| 50% | 62.71 | 60.22 | 84.10 | 61.47 | 72.47 | 78.63 | 83.63 | 75.55 | |
| 30% | 49.74 | 41.50 | 60.34 | 45.62 | 52.68 | 45.86 | 65.44 | 49.27 | |
| 10% | 30.66 | 31.33 | 40.85 | 31.00 | 39.37 | 36.19 | 48.31 | 37.78 | |
| Methods | Processing Time |
|---|---|
| Image augmentation by PI-GAN | 45.92 |
| Classification by PI-CNN | 51.85 |
| Total | 97.77 |
Publisher’s Note: MDPI stays neutral with regard to jurisdictional claims in published maps and institutional affiliations. |
© 2022 by the authors. Licensee MDPI, Basel, Switzerland. This article is an open access article distributed under the terms and conditions of the Creative Commons Attribution (CC BY) license (https://creativecommons.org/licenses/by/4.0/).
Share and Cite
Batchuluun, G.; Nam, S.H.; Park, K.R. Deep Learning-Based Plant-Image Classification Using a Small Training Dataset. Mathematics 2022, 10, 3091. https://doi.org/10.3390/math10173091
Batchuluun G, Nam SH, Park KR. Deep Learning-Based Plant-Image Classification Using a Small Training Dataset. Mathematics. 2022; 10(17):3091. https://doi.org/10.3390/math10173091
Chicago/Turabian StyleBatchuluun, Ganbayar, Se Hyun Nam, and Kang Ryoung Park. 2022. "Deep Learning-Based Plant-Image Classification Using a Small Training Dataset" Mathematics 10, no. 17: 3091. https://doi.org/10.3390/math10173091
APA StyleBatchuluun, G., Nam, S. H., & Park, K. R. (2022). Deep Learning-Based Plant-Image Classification Using a Small Training Dataset. Mathematics, 10(17), 3091. https://doi.org/10.3390/math10173091

