Abstract
This work uses classic stochastic dynamic programming techniques to determine the equivalence premium that each of two extraction agents of a non-renewable natural resource must pay to an insurer to cover the risk that the extraction pore explodes. We use statistical and geological methods to calibrate the time-until-failure distribution of extraction status for each agent and couple a simple approximation scheme with the actuarial standard of Bühlmann’s recommendations to charge the extracting agents a variance premium, while the insurer earns a return on its investment at risk. We test our analytical results through Monte Carlo simulations to verify that the probability of ruin does not exceed a certain predetermined level.
Keywords:
extraction game for two agents; time-until-failure; hazard rates; vertical pressure gradient; Bühlmann recommendations for premium calculation MSC:
90C39; 91A12; 91B16
1. Introduction
In late 2020, Lloyd’s of London announced plans to stop selling insurance to some types of fossil fuel companies by 2030. Indeed, several insurance companies are expected to follow Lloyd’s lead. In addition to the damage that the extraction work causes to the environment, and the subsequent social and governmental pressure to which the extractive fossil fuel industry is subject, the decision of the insurance industry is due to the fact that, during the last thirty years, insurers have lost approximately sixty billion dollars in this sector alone, while losses in all other sectors amount to only thirty million dollars. See [1]. Despite this, it is not clear that the governments of the world (for example, that of Mexico) are prepared to stop investing in the fossil fuel industry, nor that the companies in this field are ready to face it on their own. In any case, the very high value of a single loss related to oil platforms and the short term that the insurance industry has determined to stop its exposure to these risks, gives a paramount importance to the problem of valuation of insurance premia for the members of the actuarial community.
Broadly speaking, what insurance companies generally do is allocate capital using historical data and other factors to calculate the right mix of aggressive and conservative risks, and try to balance frequency and severity. However, these risk estimates are not made based on geological or geophysical technical considerations, and therefore, the calculation of premia and benefits does not take into account the geological conditions of the area where a well will be drilled.
The risk we will be studying in this work is that the well explodes during drilling. Approached correctly, and based on seismic and statistical data, it is possible for insurance companies to capitalize on the risk—at least—until 2030. Indeed, with the seismic data from the extraction zone, it is possible to invoke the results presented in [2] to calculate the pore pressure. This data, together with the statistical information on the behavior of the wells in the area, will help us estimate the parameters of the probability distribution of the time until this event occurs while the well is being drilled.
In the actuarial field, it is well known that if the probability of the loss occurring turns out to be low, the insurance company could charge a very competitive and differentiable premium in the market. If, on the other hand, the probability of an explosion turns out to be too high, the insurer could decline to insure the well, reducing the financial risk considerably, for its own benefit.
The works [3,4] use the principle of dynamic programming to show that, when the utility function of an agent extracting a non-renewable resource (for example, oil) is logarithmic, then a kind of equivalence principle (see p. 2 and Example 6.1.1 in [5]), namely
where x is the resource level available for extraction, is the optimal control for the extraction agent at time t when the resource level is x, and is a contingent annuity valued at zero interest and payable continuously issued in favor of the agent when the resource has been extracted for t years. In fact, in [6] a detailed analysis is made of the behavior of the funding reserves for a single agent when the downtime follows the Gamma, Weibull and Chen distributions.
Moreover, if instead of considering a single agent, we consider two, and for , the i-th extractor receives a prize of if it continues extracting resources at the time the other one has stopped, then ([4], Theorem 3) gives us that we can replace (1), by the relation
where is a joint lives contingent annuity and represents a contingent function that pays a monetary unit to the i-th extractor when the -th leaves the system. Note that here we make use of the standard nomenclatures of selection in actuarial calculus, and of game theory to refer to the players. Especially when mentioning the -th player: that is, not the i-th.
This research paper presents a statistical and geological calibration of the distribution of the time-until-failure of the extraction status of each agent, studies the fund that the insurer must set up to cover the insurance costs of both extractors, and analyzes the sufficiency of the fund from the point of view of the actuarial standard of the variance premium (at the down level), and of the standard deviation premium (at the top level) to pay dividends to insurers. Finally, we test the results obtained analytically through Monte Carlo simulations to verify that the probability of ruin does not exceed a certain predetermined level (see [7]).
To guarantee that the relationships (1) and (2) hold, the calculations are performed with random variables belonging to the exponential family (see [8], Chapter VII.4.4), and are replicable up to the point where the statistical considerations on the extractors in an area satisfy this condition. The work [5] is all about the computation of equivalence premia and their derivations. In this text, all the random variables under study belong to the exponential family. We aim at following its approach to use (1) and (2) with Gamma, Weibull and Chen distributions. In this work, we base the geological analysis on the presentation provided by [9] to estimate the vertical pressure gradient in the oil well.
The rest of the paper is divided as follows. The next section presents the technical preliminaries of our work, while Section 3 presents the application of [2] to calibrate the parameters of the distributions used to model the time-until-failure of the extraction status. Section 4 uses Bülhmann’s recommendations (see [10]) and a simple numerical scheme to calculate a premium payable by each agent such that the insurer earns dividends for its foray into the business of insuring the extraction of non-renewable resources. Section 5 shows the use of the Monte Carlo simulation technique used in [7] to test the theory exposed throughout the document. Finally, Section 6 is devoted to presenting our conclusions.
2. Mathematical and Actuarial Preliminaries
We begin our study by describing the problem of our interest and presenting the elementary definitions to which we will refer in the following.
Let us consider the conflict control process in the extraction of a non-renewable resource in which two participants are involved (to avoid monotony, we will use the terms participants, players, extracting agents, extractors or agents). We will assume that both agents are present in the system at the beginning of time (We can study the case in which the agents decide when they start extracting oil. The paper [3] does it like this.).
We use the model presented in ([11], Chapter 10.3) to describe the dynamics of resource consumption, according to which,
where is the amount of resource available at time , is the extraction rate of the i-th agent at time t, is the initial amount of the resource, and .
Let be a differential game whose system satisfies the Assumptions 1 and 2 described below.
Assumption 1.
- (a)
- Both players act simultaneously and start the game at some initial time from state .
- (b)
- The players’ control variables are their respective rates of extraction at each moment, namely , where is a compact subset of .
- (c)
- The system dynamics is given by (3).
The system (3) reflects the nonrenewability of the resource because, according to Assumption 1(b), does not increase.
In this work, we will assume that the extraction of the i-th agent stops at a random moment for , and that when this happens, the other player continues to extract the resource until attaining its own stopping time (which can happen when the resource is exhausted). We know that is a stopping time because the event depends only on the story of the stock level up to time t (see [12], p. 253).
Assumption 2.
- (a)
- The stopping times of each agent are pairwise independent.
- (b)
- The stopping times belong to the exponential family (cf. [13], Appendixes A.2–A.4 and [8], VII.4.4). That is, if is the distribution function of the stopping timpe of the i-th player, thenwhere is the failure (hazard) rate of the i-th agent for .
Definition 1.
The random variable for the time-until-failure of the first extracting agent is defined as .
Assumptions 1 and 2 give us a way to characterize the distribution function of using [14], Chapter 16.3 and [5], Chapter 9.3 through the relation:
Let and be the controllers that the agents can apply. Define the performance index of the i-th agent as
for , where represents the conditional expectation of ·, given that (3) starts at , and the players use controllers and ; is the indicator function of the event ; and and are running and terminal utility functions, respectively.
Remark 1.
As is to be expected, the performance index reflects the total payoff that the i-th agent will obtain for the duration of the joint extraction tasks. In particular, in (6) means that if the i-th agent leaves the system before the j-th (, ) does, then he will receive—on the average—the total reward . If, on the other hand, the j-th agent leaves the system before the i-th does, then the i-th participant will receive the reward specified in (7), plus the terminal reward , referred to in (8).
Naturally, we are interested in modelling the situation in which each player wishes to maximize its own performance index. To this end, we use the traditional definition of a Nash equilibrium.
Definition 2.
For , let be the set of measurable controllers (in Lebesgue’s sense) . We say that a pair of strategies is optimal for the differential game if such a pair is a Nash equilibrium. That is,
Proposition 1 in [4] proves that, if for all (where represents the trajectory that (3) follows when the strategies referred by Definition 2 are used) and under our hypotheses, the optimal expected payment for each player is
where is a density function for . Moreover, Theorem 1 in [4] uses common stochastic dynamic programming techniques to see that if a single agent exploits a well of a nonrenewable resource and its utility function is of logarithmic type, i.e., , then, the optimal controller for such agent is of a closed-loop form (In fact, what ([4], Theorem 1) proves is the particular case where the random variable follows Weibull’s or Chen’s law. However, it is not difficult to extend that exact same proof to the general case where the distribution meets (4) in Asssumption 2).
Here,
that is, represents the classic contingent annuity from actuarial mathematics for life contingencies (with zero interest rate).
The expression (9) invites us to relate it to the net level premium referred to in any basic text on actuarial mathematics (such as Chapter 6 in [5]), as well as to establish expressions such as (1). Moreover, Theorem 3 in [4] considers the case of two participants that we study in this work, and proves that if the players’ running utility functions are logarithmic (i.e., for ), and the terminal payoff function of the i-th player is
where is a known non-negative constant, for , then
Here, if , then and vice versa; (with as in (5)) and . From (11), it is possible to establish relationships as that in (2) to devise a model to insure the extraction tasks of both agents. In both cases, the utility functions of the extracting agents are logarithmic, the benefit is x, and under a variant of the classic actuarial equivalence principle, the net level premia will be given by (9) and (11).
Going down the road to review the feasibility of insuring single-agent extraction and conducting the corresponding reserve analysis based on the results of [5], Chapter 7, the conclusion that the reader will eventually achieve will be in the style of Section 3 in [6]. This will lead you to use (9) to define the prospective loss random variable:
where w is the moment of issue of the policy, represents the trajectory that solves (3) (for the case of a single player) when the optimal control (9) is used, is the z period discount factor of compound interest and is a certain annuity for z periods.
Remark 2.
Although (12) expressly refers to the discount factor and the certain annuity, we maintain the approach used in our previous calculations, and we will take an interest rate of zero. The reason we have used these financial symbols is that we want to keep the presentation as close as possible to the study of the theory of life contingencies from the classic acturial perspective. We recognize, however, that doing this might look redundant.
Negative Reserves?
We compute the mathematical reserve by finding the conditional distribution of the future lifetime t for a “life” selected at , given it has survived until . With this in mind, we assume—as usual—that and we prove that
(The details that lead from (12) to (13) can be found in Sectionn 3.3 of [6].) To fix ideas, let us consider only those probability distributions that meet Assumption 2(b) and whose hazard rate functions are of the form of Figure 1, so that they are a nice fit for the time-until-failure of the extracting agent (see [15], Chapter 1).
Figure 1.
Observe that the hazard rate resembles a bathtub. Source: [4,15].
A plausible interpretation of Figure 1 is that, as time goes by, the failure rate goes from being a decreasing function, to being a more or less constant funtion, and eventually, it becomes an increasing function. In this section we present our analyses on Gamma, Weibull and Chen random variables. We start by presenting the corresponding definitions to contribute to the self-containedness of our work. However, the proofs that the corresponding failure rates look like the one in Figure 1 for certain choices of the parameters should be looked for in [4] (see the Remark 3 below).
Definition 3
(Cf. [13], A.3.2.1). We say that a random variable τ with support on follows the Gamma law with parameters of shape and scale if the distribution function of τ is where f is a density function given by
The hazard rate of Gamma distribution is given by
In this case, we will write .
Definition 4
(See [13], A.3.2.3). We say that a random variable τ with support on follows Weibull’s law with parameters of shape and scale if the distribution function of τ is
The corresponding hazard rate is
In this case, we will write .
Definition 5
(Cf. [16]). We say that a random variable τ with support in follows Chen’s law with parameters and , if the distribution function of τ is
The corresponding hazard rate is
In this case, we will write .
Remark 3.
For the random variables of Definitions 3–5, it is true that if the shape parameter , then the lifetime modelled by τ is in prime conditions; if , then the failure rate is more or less constant; and if , the machinery is at an aging stage. See the details in [4].
For the case where , the mathematical reserve is obtained by substituting the expressions cited in the Definition 3 in (10), and the resulting ones, in (13) (technical details can be read in Section 3.3 in [6]). See Figure 2.
Figure 2.
Mathematical reserve , for Gamma distribution with parameters , and .
For the case where , the mathematical reserve is obtained by substituting the expressions cited in the Definition 4 in (10), and the resulting ones, in (13) (technical details can be seen in Section 3.3 on [6]). See Figure 3.
Figure 3.
Mathematical reserve , for Weibull distribution with parameters and .
For the case where , the mathematical reserve is obtained by substituting the expressions cited in the Definition 5 in (10), and the resulting ones, in (13) (technical details can be found in Section 4.2 on [6]). See Figure 4.
Figure 4.
Mathematical reserve , for Chen distribution with parameters and .
Remark 4.
Section 7.3 in [5] mentions that, in most applications, mathematical reserves are positive. However, there is no theoretical support that guarantees it. In fact, Figure 2, Figure 3 and Figure 4 would represent a reliable counterexample to any result that affirms that the reserves must be positive. It is also important to note that the values that we assign to the shape parameter α in each of the studied cases correspond to different periods of operation of the extraction tool (see [15], Chapter 1): from the period in which the machinery is new (), passing through the period of normal operation (), and until reaching the decay period (). Two things are noteworthy.
- The scale parameter θ remains unchanged in all calculations. What would happen if we used a more ad hoc parameter to the extractive industry of non-renewable resources?
- It might be worth reviewing what happens when not charging only the “equivalence premium” (We enclose these words in quotation marks because, in reality, it is not an equivalence premium. Recall that this case occurs when the utility function of the policyholder is linear (see [5], Example 6.1.1). However, we do know that, from Doob’s Submartingale Convergence Theorem (see Theorem (1) in [12], Chapter 12.3) and the notes in Section D.1.1 in [17], the bankruptcy is a certain event if the insurer does not charge more than the equivalency premium.) in exchange for insurance protection. Is it possible to charge an amount that guarantees a profit for whoever insures all the extractors?
3. A Realistic Scaling Parameter for the Weibull Distribution in the Gulf of Mexico
In this section we use common geological tools to estimate the pressure of the pore in which drilling is to be carried out, in order to use it as a parameter to calculate an a priori probability distribution that is suitable for modeling the times until the failure of the agents. With these data at hand, it would be feasible to complement the observations gathered from experience with some Bayesian technique to estimate a posteriori distribution for these variables (for example, the [18] study presents an interesting comparison between three of these techniques in a forestry context). To the best of our knowledge, this proposal is new and therefore not applied in the actuarial field.
Geophysicists know that before drilling a deepwater pore to extract oil, it is necessary to estimate the internal pressure by processing seismic reflection data. Failing to do this has consequences that can be fatal (not to mention extremely costly). We consider it natural to use the vertical pressure gradient in deep water to calibrate the distribution of time to failure of the extracting agent.
Let h be the depth below the ocean floor (measured in meters). Having measured the seismic velocity with sufficient precision, it is possible to conclude the process of estimating the pressure gradient (measured in ) by applying some function that transforms it into the pore pressure of our interest. The most commonly used methods in the industry are:
- That of Bowers (cf. [9]):where is the acceleration of gravity on Earth, is the density (measured in ) of the sediment, is the velocity (measured in ) of the sediments h meters below the sea floor and is the velocity of the unconsolidated sediments saturated with liquid. The parameters A and B are artificial and describe the variation in speed when the differential voltage increases; and in the Gulf of Mexico they take values of and (see [19]). In fact, in the Gulf of Mexico, the normally pressurized sediment velocity varies linearly, satisfying , where k is measured in , represents the vertical velocity gradient and, in that region, satisfies (see [2,20,21]). With this simplification, (14) reduces to
- And that of Eaton (cf. [22]):where is the normal vertical differential stress of the sediment—that is, without the action of man—at h meters below the seafloor (measured in ) and is the normal seismic velocity h meters below the sea floor. The exponent n has no units, and describes the sensitivity of the seismic velocity to the stress differential, and in the Gulf of Mexico it is common to take (see [19]).
As we have already stated in Section 2, it is proven that if the failure rate of a random variable is shaped like a bathtub (such as Gamma, Weibull and Chen), then it is adequate to model the time-until-failure (explosion or exhaustion) of an extracting agent. However, papers like [4,6] simplify the task of modeling by considering that one of the parameters is unitary. Our intention is to use (15) or (16) to replace this unrealistic data by the multiplicative inverse of the pore pressure even when data on interval velocities are not available. In the latter case, geology specialists (cf. [2,19]) propose taking a sample of N pressures in wells reasonably close to the one whose pressure is to be estimated, and taking an estimator of the pressure such that the sample mean squared error statistic
is minimal. This approach is very attractive for those who have been trained in statistical techniques, but it is also very convenient for use in the insurance industry, since it validates the investigation of the pressure data in the pores surrounding the one to be insured.
To fix ideas, we will use parameter estimates which are valid for the Gulf of Mexico in Bowers’ method. According to [23], the average density of the sediment in the Gulf of Mexico satisfies the empirical relationship
Table 1.
Estimated values of the pressure gradient.
Figure 5.
Pressure gradient estimates from depth.
Observe that, in spite of the fact that relation (15) is clearly non-linear, we can execute a linear regression with the obtained points:
This yields a statistic of 95.15%, and what is more important: it provides us with a linear estimation method for the pressure in a suboceanic oil extraction well in the Gulf of Mexico.
With this in mind, we can assume that the time-until-failure (measured in years) of an extracting agent is modeled by . In Table 2 we display the probability that the agent leaves the extractive work before a month has passed by. That is,
with ; and .
Table 2.
Probability that the agent leaves the extractive tasks before a month has passed by.
Recall Remark 3. Note that as the extraction equipment ages (that is, as the shape parameter grows), the chances of explosion increase even over a horizon as short as that of one month. On the other hand, note that as the depth h, and therefore the vertical pressure gradient increases, the probability of an accident occurring also increases. A valid criticism that the parameterizations we show deserve is that the chances of experiencing a loss may seem too great. However, to study the cause of the large losses that insurers have experienced in the past (documented in [1]), we need to get exactly this effect on the probabilities. In any case, we invite the reader to review the computational tool (available here: https://keisan.casio.com/exec/system/1180573175 (accessed on 23 May 2022)) to form their own judgment and reach their own conclusions.
4. A Numeric Approximation to the Bühlmann Model to Insure Two Agents
We borrow the theory presented in, for example [24], Chapter 5.2 to study an insurance model for the mining activities of two agents that includes charging each agent a (variance) premium and obtaining a dividend payment on the capital with which the portfolio is insured.
The algorithm to accomplish this has two steps and first appeared in [10]. It assumes that the decision makers set the probability of ruin at the level (for it acceptable to them) and the percentage that they want to obtain as a dividend of the capital w that they contribute. The first step is for the decision makers to calculate the capital needed to cover a risk S:
The second step is for the decision maker to calculate the variance premium that each policyholder must pay in exchange for agreeing to cover the risk :
If a single insurer commits to insure the activities of the two extractive agents immersed in the differential game described in Section 2, then, by (2), such company will face the risk of paying to each of the agents.
It is worth noting that although, by its nature, the game should pay only the player who remains extracting oil, it is possible that both players will have to leave the system due to the same incident.
4.1. Weibull Failure Times
It should be clear that , where is the random variable from Definition 1; and that . So and , with for . The reason for which we take the same pressure for each agent is that we implicitly assume that they use the same well to extract the resource. Note, however, that the shape parameters are not necessarily equal to each other. In this way we take into account the technological differences between the participants.
In order to find the capital w referred to in (19), we must compute . This requires discovering the functional form of . Inserting (11) into (3) and solving the resulting differential equation gives us the random variable we seek to specify the benefit:
To simplify the work, we will only solve the particular case in which the terminal reward for both players is null, that is, . With this in mind, (21) reduces to
and using (5), we turn it into
The second equality arose from substituting Weibull’s distribution function specified in the Definition 4 into (22). On the other hand, the integral in the denominator of the last expression depends absolutely on the values that we assign to the shape parameters of each agent.
With the aim of illustrating the result, we consider that the technology of the first agent is obsolete (that is, ) and that the second agent is in the period of normal operation of its machinery (thus, ). Also, we assume that they are drilling at a depth of 771.4285714 m below the sea floor of the Gulf of Mexico, and we use the regression line (18) so that . This gives us that
where, as usual, represents the probability that a standard Normal random variable does not exceed z. This gives us that
Below we show some points of this trajectory, together with the corresponding densities. Note that, thanks to (5), it is easy to obtain the expression that corresponds to a density for :
We make an equidistant partition of the interval with 10,000 subintervals. In Table 3 we show only a subset of the first 2600 realizations of x, since the significance of the figures in the third and fourth columns is negligible. However, the resource has not been depleted at this point, as it largely depends on the initial value assigned to , which for the purpose of illustrating this example will be taken as equal to one.
Table 3.
Values of and .
Since the random variable is a function of , we can use the law of the unconscious statistician and the data in the table to find a discrete approximation of . To this end, define the step size as the forward difference Thus,
Similarly, it is possible to approximate
According to (19), the capital that the insurer needs to invest to obtain a return of q is , and the premium that the i-th agent must pay according to (20), is for . To illustrate this result, we will take in the appropriate units, a 5% probability of ruin, and a 10% dividend. Thus,
It is important to note that, since the initial oil reserve is unitary, our result indicates that each extractor must make a considerably large payment (compared to the equivalence premium, since is 30.31% larger than ) to become creditor to the benefit in the event of an accident. On the other hand, this is the effect achieved by calibrating the distribution of with the parameters indicated in our example.
On the other hand, note that the assumption that the terminal rewards are zero implies that the premia that each of the agents pays are identical. An economic interpretation of this is that the agents that extract resources on the same platform certainly compete to maximize their own benefit, but they collaborate with each other for the good of their own businesses. In our case, the first agent has obsolete technology and the second has equipment in normal operating conditions, but both pay the same premium.
4.2. Gamma Failure Times
In this section we will carry out the same exercise as in the former, but now considering that the extraction tasks are of two agents whose respective failure times follow the Gamma distribution.
To find the capital , we will first calculate the functional form of according to (22). For this reason, in order to illustrate our result, we will consider the same parameters used for the Weibull distribution, that is, that the technology of the first agent is obsolete (), while that of the second is in normal mode of operation (); plus . Thus, the distribution functions for and are given by:
The distribution function of is:
Then
With the definition of we can find and and, from (5), obtain the expression of the density function of :
So, an analogous procedure to the one given by Table 3 now gives us and .
Now, if we consider that , a probability of ruin of 5%, and a dividend of 10%; (19) yields that the initial capital that the insurer needs to invest to obtain this return, and the premium that the i-th agent must pay, according to (20), are, respectively
In this case, the result indicates that each extractor must pay 38% more than the equivalence premium, . This premium may be perceived as high, however, when compared to the 44% that must be paid when failure times obey the Weibull law, it is not so high. Furthermore, given that the lifetime of the pore using the Weibull distribution is less lower than the same statistic using Gamma’s law, it is natural that the premium is cheaper, since ultimately the time to failure is smaller. The following table shows the calculations of the initial capital, the Bühlmann premium and the equivalence premium in both cases.
If we compare the initial capital and the premium that each agent must pay for both distributions under study, we find that assuming a Gamma distribution makes the insurance more expensive. Therefore, if the company considers that the time until failure of the extraction of the resource follows this distribution, it should have an initial capital 5% higher than that required for the Weibull distribution. The same occurs with the premium that each agent must pay, since it would be 16% higher, while the equivalence premium is 21% higher.
A plausible conclusion from the above is that the choice of extraction pore lifetime distribution can lead to more expensive insurance. For this reason it is very important to decide on this with absolute care.
5. Monte Carlo Simulation for the Wealth Process
We dedicate this section to verifying that the Bühlmann model generates a prorated payoff scheme across the horizon that results in a probability of ruin consistent with the one used to obtain and . As the results shown in Table 4 we are given that Weibull insurance is less onerous, we focus on the assumption that failure times follow Weibull’s law, for this purpose we will use the approach proposed in [7].
Table 4.
Comparison of Bühlmann’s schemas.
According to the results of Section 4, for an insurer to agree to cover the risk of the two extractive agents whose failure times follow Weibull’s law without falling into insolvency, it must charge each of them a premium of at least for , and have an initial capital of . Under these conditions, the Bühlmann model guarantees that the insurer’s probability of ruin will not be greater than .
5.1. Simulation
Next, we will see through a Monte Carlo simulation the behavior of wealth, assuming that both, the premium and the initial capital are fixed.
Define as the initial wealth. Next, let us denote the observed richness in the following time interval as
where denotes the premium that each of the two agents will have to pay in exchange for the insurance; is a sequence of random variables that indicate the payment of the claim, or a null amount; and is the step size in our simulation. Note that we consider that, in the event of a loss, the company will pay both agents. We also assume that at each moment, the company receives a dividend of .
Let us recall that, in Table 3, the time horizon considered to evaluate the functions and was (because, for higher values of t, the values of both functions are of the order and lower, and we decided to discard them from our analysis). Similarly, by (23), the density function for is given by
and the distribution function is:
Let . Due to the monotony of , calculate its inverse:
where . To apply the inverse transformation method, we take a (pseudo) random sample of size n from the Uniform distribution on : . For each , , we apply the inverse transformation method using the expression (24). With this, we obtain different, and each one represents the time in which the failure of one of the agents occurs. For each , we build a trajectory for the wealth. It is important to mention that the difference between the various trajectories that we simulate is the moment of failure. The other elements remain identical in each one because both, the payment of the premium and that of the dividends, remain invariant over time.
In this way, the trajectory of wealth is given by:
where , and corresponds to the time ; , at ; , at ; , a ; and so on, until obtaining the wealth in the time , which represents the moment in which the failure of the agents occurs. Thus, if , and otherwise. That is, when , then , the path ends and benefits are paid to both agents.
In (25) the coefficient represents the apportionment of dividend and premium payments over the horizon.
The above process is done for each of the n random numbers.
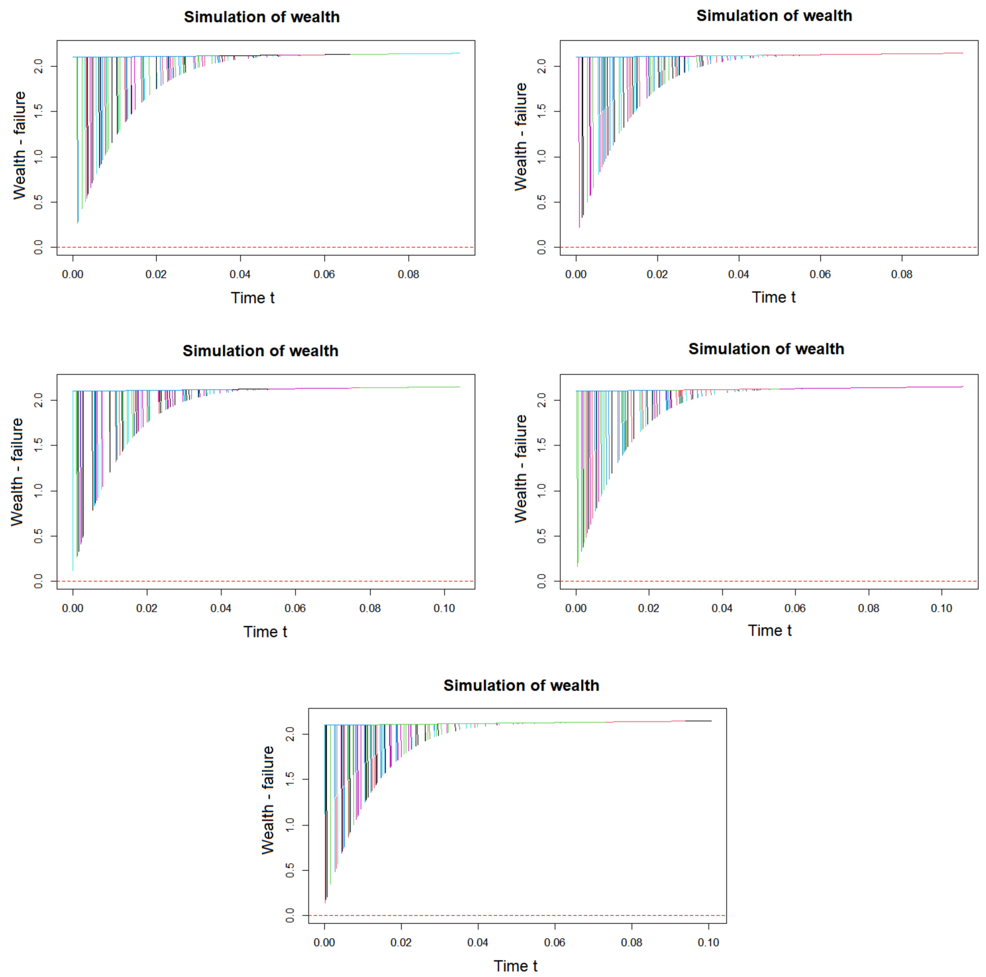
In Figure 6 five Monte Carlo simulations of wealth and failure are presented, for 100 random numbers each. In this case, the colour of the lines is useful to appreciate each trajectory, but it does not represent anything in particular.
Figure 6.
Monte Carlo simulations of wealth, for an initial wealth of and a premium of .
As can be seen, the greatest losses that can be obtained, derived from an accident, occur when the start of the extraction of the resource is recent, and the payment that the company must make to both agents, in the event of an accident, is reduced as time progresses. The above makes sense because we assume that the benefit obtained is determined by the extraction dynamics, which is a decreasing function over time.
It is important to note that in the graphs, the wealth obtained is accumulated in the line that is perceived as almost horizontal, while the “vertical” lines are the values of the benefit paid to the agents. As we have said, the payoff function is decreasing over the horizon.
Likewise, in these graphs it is observed that none of them crosses zero, which indicates that the company will never go bankrupt at the time of failure with the premium and initial capital considered.
The above is easy to see because for , , which is the maximum value of the benefit that can be granted, also, this is when the initial capital is contributed. For , and wealth . As time grows, also grows, however, since is a decreasing function, in the event of a claim, the amount to be paid is decreasing.
5.2. Probability of Ruin
Next, we will use the procedure described in the previous section to approximate the company’s probability of ruin, by generating a considerable number of Monte Carlo simulations. For this purpose, we will use the Law of large numbers. That is, if we have a sequence of independent and identically distributed random variables with common mean, , and if we consider that
then, for very large m and for any positive number ,
To perform the Monte Carlo simulations, we will start by taking 10,000, which is the number of times that we will apply the simulation procedure seen in Section 5.1. This will yield the approximation of the probability of ruin we seek.
As a starting point, we will take the initial values obtained in Section 3, that is, an initial capital of , and a premium of for . In this case, the probability of ruin turned out to be equal to zero, . The above makes sense because the initial capital is , while the maximum value of profit, , occurs when ; so if the loss occurred at time zero, the company would have to pay .
Likewise, we wonder what would happen if we set the value of the initial capital , and take different values of the premium that each agent has to pay, that is, for . In all these cases, something similar to the previous paragraph was concluded, since it was observed that the probability of ruin obtained was equal to zero. This is because the premium is prorated over the horizon, so it practically does not affect the evolution of wealth, .
Now we consider the opposite: we will fix the initial value of the premium, for , to vary the value of the initial capital, we will take the values . In these cases, we obtained considerable differences, since the probabilities of ruin turn out to be non-zero. Furthermore, we note that the probability of ruin increases as the initial capital decreases, since for , the probability of ruin was ; for , the probability of ruin was close to ; and, for , the probability of ruin reached a value of .
To complete this analysis, we reviewed what happens when we alternate the rest of the starting capital and premium values, and including ; so we consider the cross between the values of with for . Table 5 shows the complete results of these crosses, where the first column indicates the premium; and the first line, the initial capital. As we have said before, the probability of ruin increases when the initial capital decreases. However, by varying the value of the premium, we observe that the probability of ruin is invariant, that is, it has no impact in leading the company to ruin.
Table 5.
Probabilities of ruin for several values of and .
It follows from our simulations that, in general, in order for the probability of ruin to be positive, it suffices that the condition is satisfied, regardless of the value of the premium or of , and as the initial capital is smaller, the probability of ruin for the company will be greater. On the contrary, if we want to prevent the company from eventually going bankrupt, then must happen, and this guarantees that the probability of ruin is zero.
6. Conclusions
This work represents an effort to combine techniques from the disciplines of mathematics, geology, stochastic games, and life and non-life actuarial mathematics. We believe that a multidisciplinary approach such as the one we present can lead to a reinvention of the way insurers understand the market for risks that are inherent to the extractive industry.
We have managed to pose the problem of competition between two agents to extract oil in deep waters from the point of view of game theory, and based on the results of [4], present the analysis of the resulting reserves as if it were of the elementary principle of equivalence of the classical actuarial calculation. In this work, we have based our developments on the results presented in [6], and we have verified first-hand the mathematical results that affirm that the risk is not insurable if only the “equivalence premium” is charged.
Subsequently, we use elementary tools in geology and statistics to propose a method to calibrate one of the probability distributions typically used to model the time to failure of extractors. Here, the articles [2,9,19] were a source of inspiration for our results. Finally, we use all the machinery developed in the body of the work to extend Bühlmann’s model to calculate premia that allow the insurer to cover the risk, while obtaining a dividend for its foray into the non-renewable resource extraction market.
We consider that it is possible to study an extension of the results presented here using Insurance Optimization Theorems by applying deductibles (as in [5], Theorem 1.5.1 and [24], Theorem 1.4.3) or coinsurance (as in [24], Chapter 5.5) and thus re-estimate premia at the base and portfolio levels. Another possibility for future work is to test the results obtained analytically through Monte Carlo simulations to verify that the probability of ruin does not exceed the value cited in the Section 4. To do this, we believe we can build on the approach presented in [7]. Finally, we believe that we will dedicate further work to calibrate the other two distributions of the time until the failure of the extractor presented in the Definitions 3 and 5.
Author Contributions
Conceptualization, software, validation, formal analysis and data curation are due to R.R.-M. and J.D.L.-B. The original draft preparation is due to J.D.L.-B. The work of writing—review, and editing was performed by R.R.-M. Visualization, supervision, project administration and funding acquisition are due to J.D.L.-B. All authors have read and agreed to the published version of the manuscript.
Funding
This research was funded by Universidad Anáhuac México, whom also covered the APC in full.
Institutional Review Board Statement
Not applicable.
Informed Consent Statement
Not applicable.
Conflicts of Interest
The authors declare no conflict of interest.
References
- Johansmeyer, T. How the Insurance Industry Could Bring Down Fossil Fuels. Harvard Business Review. 27 May 2021. Available online: https://hbr.org/2021/05/how-the-insurance-industry-could-bring-down-fossil-fuels (accessed on 26 April 2022).
- Sayers, C.; Johnson, G.; Denyer, G. Predrill pore-pressure prediction using seismic data. Geophysics 2002, 67, 1286–1292. [Google Scholar] [CrossRef]
- Gromova, E.V.; López-Barrientos, J.D. A Differential Game Model for The Extraction of Nonrenewable Resources with Random Initial Times—The Cooperative and Competitive Cases. Int. Game Theory Rev. 2016, 18, 1640004. [Google Scholar] [CrossRef]
- López-Barrientos, J.D.; Gromova, E.V.; Miroshnichenko, E.S. Resource Exploitation in a Stochastic Horizon under Two Parametric Interpretations. Mathematics 2020, 8, 1081. [Google Scholar] [CrossRef]
- Bowers, N.; Gerber, H.; Hickman, J.; Jones, D.; Nesbitt, C. Actuarial Mathematics; The Society of Actuaries: Schaumburg, IL, USA, 1997. [Google Scholar]
- Real-Miranda, R.; López-Barrientos, J.D. Reserva Matemática Actuarial para la extracción de recursos no-renovables a partir de variables de pérdida no-negativas. Rev. Electrón. Comun. Trab. ASEPUMA 2022, in press. Available online: https://www.dropbox.com/s/1wmel6a8eddmrwf/2021.12.29_ReservasMatem%C3%A1ticasActuariales.pdf?dl=0 (accessed on 28 April 2022).
- Cano-Ramos, A.E.; López-Barrientos, J.D. ¿¡Te lo aseguro! o ¡te lo apuesto!? He ahí el dilema…. Miscelánea Mat. 2022, 72, 1–20. [Google Scholar] [CrossRef]
- Mood, A.M.; Graybill, F.A.; Boes, D.C. Introduction to the Theory of Statistics, 3rd ed.; McGraw-Hill: New York, NY, USA, 1974; pp. 312–314. [Google Scholar]
- Bowers, G. Pore pressure estimation from velocity data: Accounting for pore pressure mechanisms besides undercompaction. SPE Drill. Complet. 1995, 10, 89–95. [Google Scholar] [CrossRef]
- Bühlmann, H. Premium Calculation from Top Down. ASTIN Bull. 1985, 15, 89–101. [Google Scholar] [CrossRef] [Green Version]
- Dockner, E.; Jørgensen, S.; van Long, N.; Sorger, G. Differential Games in Economics and Management Science; Cambridge University Press: Cambridge, UK, 2000. [Google Scholar]
- Grimmett, G.; Stirzaker, D. Probability and Random Processes; Oxford Science Publications: Oxford, UK, 1994. [Google Scholar]
- Klugman, S.; Panjer, H.; Willmot, G. Loss Models: From Data to Decisions; John Wiley and Sons: Hoboken, NJ, USA, 2019. [Google Scholar]
- Promislow, D. Fundamentals of Actuarial Mathematics, 3rd ed.; John Wiley and Sons: Hoboken, NJ, USA, 2011. [Google Scholar]
- Henley, E.; Kumamoto, H. Probabilistic Risk Assessment: Reliability Engineering, Design, and Analysis; IEEE Press: New York, NY, USA, 1992. [Google Scholar]
- Chen, Z. A new two-parameter lifetime distribution with bathtub shape or increasing failure rate function. Stat. Probab. Lett. 2000, 49, 155–161. [Google Scholar] [CrossRef]
- Schmidli, H. Stochastic Controls in Insurance; Springer: London, UK, 2008. [Google Scholar]
- Lei, Y. Evaluation of three methods for estimating the Weibull distribution parameters of Chinese pine (Pinus tabulaeformis). J. For. Sci. 2008, 54, 566–571. [Google Scholar] [CrossRef] [Green Version]
- Sayers, C.; den Boer, L.; Nagy, Z.; Hooyman, P.; Ward, V. Pore pressure in the Gulf of Mexico: Seeing ahead of the bit. World Oil 2005, 55, 55–58. [Google Scholar]
- Slotnick, M. On seismic computation with applications. Geophysics 1936, 1, 9–22. [Google Scholar] [CrossRef]
- Xu, Y.; Gardner, G.; MacDonald, J. Some effects of velocity variation on AVO and its interpretation. Geophysics 1993, 58, 1297–1300. [Google Scholar] [CrossRef]
- Eaton, B. The equation for geopressure prediction from well logs. SPE 1975, 5544, 2–4. [Google Scholar]
- Traugott, M. Pore/fracture pressure determinations in deep water. World Oil Deep. Technol. Spec. Suppl. 1997, 8, 68–70. [Google Scholar]
- Kaas, R.; Goovaerts, M.; Dhaene, J.; Denuit, M. Actuarial Risk Theory Using R; Springer: Berlin/Heidelberg, Germany, 2008. [Google Scholar]
Publisher’s Note: MDPI stays neutral with regard to jurisdictional claims in published maps and institutional affiliations. |
© 2022 by the authors. Licensee MDPI, Basel, Switzerland. This article is an open access article distributed under the terms and conditions of the Creative Commons Attribution (CC BY) license (https://creativecommons.org/licenses/by/4.0/).





