Vehicular-Network-Intrusion Detection Based on a Mosaic-Coded Convolutional Neural Network
Abstract
:1. Introduction
- A 2D Mosaic-coding method was proposed, for converting the 1D attack data into 2D grid data, to make full use of the ability of a CNN to extract grid data and maintain the sequential time relationship of the data.
- Different thresholds higher than 0.5 were set, to effectively test the reliability of the model.
- Extensive experiments were carried out, to show that our method could achieve better performance with higher classification capability, and that it was more reliable and stable in identifying intruders’s attacks than the previous method.
2. Background Knowledge
2.1. Vehicle-Mounted CAN Bus Network
2.2. Convolutional Neural Network for Intrusion Attack Detection
2.3. Dataset
- (1)
- DoS Attack: The attack data were injected every 0.3 ms with an ID of “0000”. According to the principle of the smaller the ID, the higher the priority, data with a “0000” ID have the highest priority, hence, the attack will occupy the bus resources.
- (2)
- Fuzzy Attack: The attack data were injected with randomly selected packet data, every 0.5 ms.
- (3)
- Spoofing Attack (RPM/GEAR): Message data containing speed or gear information were injected, every 1 ms.
- (1)
- TIMESTAMP: The timestamp of the data record.
- (2)
- CAN ID: The identifier (as a hexadecimal) of each packet of data.
- (3)
- DLC: The number of bytes in the data field, of each CAN packet data (0–8).
- (4)
- Data [0–7]: The specific value of each byte in the data field.
- (5)
- Flag: The label for each piece of data, where T stands for attack data, and R stands for normal data.
3. Method
3.1. Two-Dimensional Mosaic Pattern-Based Coding
3.2. Convolutional Neural Network Model
3.3. Model Evaluation Method
- (1)
- True positive (TP): The number of positive samples being correctly classified as positive by the classifier, i.e., the grid data that contains the attack message is correctly judged as attack.
- (2)
- False positive (FP): The number of negative samples being incorrectly classified as positive by the classifier, i.e., the grid data that does not contain any attack message is misjudged as attack.
- (3)
- False negative (FN): The number of positive samples being wrongly classified as negative by the classifier, i.e., the grid data containing the attack message, is misjudged as normal.
- (4)
- True negative (TN): The number of negative samples being correctly classified as negative by the classifier, i.e., the grid data that does not contain any attack message, is correctly judged as normal.
- (1)
- Unrecognizable rate (UR): the fraction of the number of unrecognized samples divided by the total number of test samples. When a threshold higher than 0.5 was set, the unrecognized sample could be either a normal input or an intrusion. This index can, effectively, test the reliability of the model, which can be worked out as follows (where L is the number of unrecognized samples):
- (2)
- Accuracy: the proportion of the number of samples correctly classified over the total test samples. Generally speaking, the higher the accuracy, the better the classifier. It is defined as:
- (3)
- Recall: a measure of coverage, indicating how many positive samples are correctly classified as positive. It is defined as:
- (4)
- False Negative Rate (FNR): the percentage of misdiagnosed positive samples, which is defined as:
- (5)
- Precision: the percentage of positive samples correctly classified over all classified positive samples. It is defined as:
- (6)
- Comprehensive classification rate (F1_score): the harmonic average of the model precision and recall rate, indicating the overall accuracy of the model. It is defined as:
| Dataset | Original Data | 29 × 29 Sequence | 4 × 4 Mosaic | 6 × 6 Mosaic | 8 × 8 Mosaic |
|---|---|---|---|---|---|
| DoS | R: 3,078,250 | R: 88,954 | R: 161,491 | R: 71,598 | R: 40,149 |
| T: 587,521 | T: 37,451 | T: 67,619 | T: 30,228 | T: 17,128 | |
| Fuzzy | R: 3,347,013 | R: 87,888 | R: 159,796 | R: 70,741 | R: 39,665 |
| T: 491,847 | T: 44,486 | T: 80,132 | T: 35,894 | T: 20,317 | |
| Gear | R: 3,845,890 | R: 87,928 | R: 159,673 | R: 70,787 | R: 39,673 |
| T: 597,252 | T: 65,283 | T: 118,023 | T: 52,633 | T: 29,751 | |
| RPM | R: 3,966,805 | R: 87,997 | R: 159,752 | R: 70,831 | R: 39,713 |
| T: 654,897 | T: 71,372 | T: 129,104 | T: 57,549 | T: 32,501 |
4. Experimental Result and Discussions
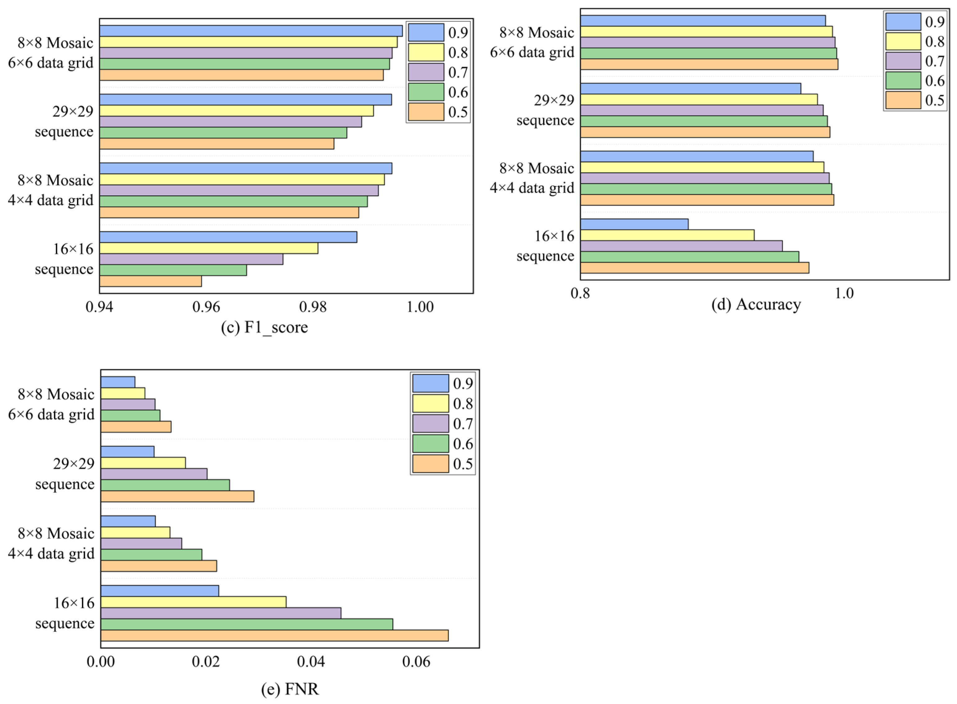
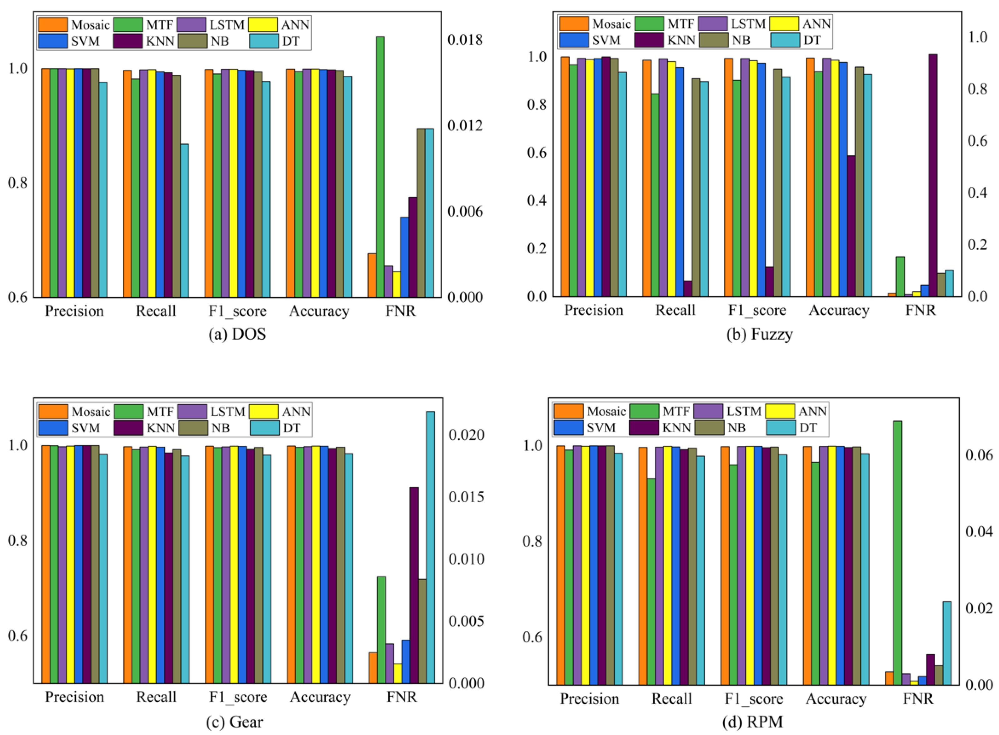
4.1. Experimental Result
4.2. Discussion
4.3. Some Limitations of the Mothed
5. Conclusions
Author Contributions
Funding
Data Availability Statement
Conflicts of Interest
References
- Tuohy, S.; Glavin, M.; Hughes, C. Intra-vehicle networks: A review. IEEE Trans. Intell. Transp. Syst. 2015, 16, 534–545. [Google Scholar] [CrossRef]
- Koscher, K.; Czeskis, A.; Roesner, F.; Patel, S.; Kohno, T.; Checkoway, S.; McCoy, D.; Kantor, B.; Anderson, D.; Shacham, H.; et al. Experimental security analysis of a modern automobile. In Proceedings of the 2010 IEEE Symposium on Security and Privacy, Oakland, CA, USA, 16–19 May 2010; pp. 447–462. [Google Scholar]
- Li, X.; Hu, Z.; Xu, M. Transfer learning based intrusion detection scheme for Internet of vehicles. Inf. Sci. 2021, 547, 119–135. [Google Scholar] [CrossRef]
- Duan, W.; Gu, J.; Wen, M.; Zhang, G.; Ji, Y.; Mumtaz, S. Emerging technologies for 5G-IoV networks: Applications, trends and opportunities. IEEE Netw. 2020, 34, 283–289. [Google Scholar] [CrossRef]
- Ahmed, E.S.A.; Mohammed, Z.T.; Hassan, M.B.; Saeed, R.A. Algorithms Optimization for Intelligent IoV Applications. In Handbook of Research on Innovations and Applications of AI, IoT, and Cognitive Technologies; IGI Global: Hershey, PA, USA, 2021; pp. 1–25. [Google Scholar]
- Marchetti, M.; Stabili, D. READ: Reverse engineering of automotive data frames. IEEE Trans. Inf. Forensics Sec. 2018, 14, 1083–1097. [Google Scholar] [CrossRef]
- Liu, J.; Zhang, S.; Sun, W. In-vehicle network attacks and countermeasures: Challenges and future directions. IEEE Netw. 2017, 31, 50–58. [Google Scholar] [CrossRef]
- Miller, C.; Valasek, C. Adventures in automotive networks and control units. DefCon 2013, 21, 15–31. [Google Scholar]
- Miller, C.; Valasek, C. A Survey of Remote Automotive Attack Surfaces; Tech. Rep.; Black Hat USA: Las Vegas, NV, USA, 2014; p. 94. [Google Scholar]
- Miller, C.; Valasek, C. Remote Exploitation of an Unaltered Passenger Vehicle; Tech. Rep.; Black Hat USA: Las Vegas, NV, USA, 2015; Available online: https://illmatics.com/Remote%20Car%20Hacking.pdf (accessed on 2 May 2022).
- The Jeep Attackers Are Back to Prove Car Hacking Can Get Much Worse. Available online: https://www.wired.com/2016/08/jeep-hackers-return-high-speed-steering-acceleration-hacks/ (accessed on 30 December 2020).
- Internet of Vehicles Network Security White Paper. 2017. Available online: http://www.askci.com/news/chanye/20170922/093549108274_3.shtml (accessed on 30 December 2020).
- The Latest Research Results of Tencent Cohen Lab: 2017 Once Again Realized the Remote Attack without Physical Contact on Tesla. Available online: https://keenlab.tencent.com/zh/2017/07/27/New-Car-Hacking-Research-2017-Remote-Attack-Tesla-Motors-Again/ (accessed on 30 December 2020).
- The Latest Automotive Safety Research Results of Tencent Cohen Lab: A Review of the Safety Research of Many BMW Model. Available online: https://keenlab.tencent.com/zh/2018/05/22/New-CarHacking-Research-by-KeenLab-Experimental-Security-Assessment-of-BMW-Cars/ (accessed on 30 December 2020).
- Attackers Relay Tesla Model X to Drive Away in 3 Minutes. 2020. Available online: https://finance.sina.comcn/stock/usstock/c/2020–11-24/doc-iiznctke2927970.shtml (accessed on 30 December 2020).
- Choi, W.; Jo, H.J.; Woo, S. Identifying ECUs using inimitable characteristics of signals in controller area networks. IEEE Trans. Veh. Technol. 2018, 67, 4757–4770. [Google Scholar] [CrossRef]
- Sagstetter, F.; Lukasiewycz, M.; Chakraborty, S. Generalized asynchronous time-triggered scheduling for FlexRay. IEEE Trans. Comput.-Aided Des. Integr. Circuits Syst. 2016, 36, 214–226. [Google Scholar] [CrossRef]
- Lin, C.; Sangiovanni-Vincentelli, A. Cyber-security for the controller area network (CAN) communication protocol. In Proceedings of the 2012 International Conference on Cyber Security, Alexandria, VA, USA, 14–16 December 2012; pp. 1–7. [Google Scholar]
- Wu, W.; Kurachi, R.; Zeng, G. IDH-CAN: A hardware-based ID hopping CAN hechanism with enhanced security for automotive real-time applications. IEEE Access 2018, 6, 54607–54623. [Google Scholar] [CrossRef]
- Mehedi, S.; Anwar, A.; Rahman, Z.; Ahmed, K. Deep Transfer Learning Based Intrusion Detection System for Electric Vehicular Networks. Sensors 2021, 21, 4736. [Google Scholar] [CrossRef]
- Wu, W.; Li, R.; Xie, G.; An, J.; Bai, Y.; Zhou, J.; Li, K. A survey of intrusion detection for in-vehicle networks. IEEE Trans. Intell. Transp. Syst. 2020, 21, 919–933. [Google Scholar] [CrossRef]
- Pierazzi, F.; Apruzzese, G.; Colajanni, M.; Guido, A.; Marchetti, M. Scalable architecture for online prioritisation of cyber threats. In Proceedings of the 2017 9th International Conference on Cyber Conflict (CyCon), Tallinn, Estonia, 30 May–2 June 2017; pp. 1–18. [Google Scholar]
- Khan, M.A. HCRNNIDS: Hybrid convolutional recurrent neural network-based network intrusion detection system. Processes 2021, 9, 834. [Google Scholar] [CrossRef]
- Müter, M.; Groll, A.; Freiling, F.C. A structured approach to anomaly detection for in-vehicle networks. In Proceedings of the 2010 Sixth International Conference on Information Assurance and Security, Atlanta, GA, USA, 23–25 August 2010; pp. 92–98. [Google Scholar]
- Yin, J.; Ren, J.G.; Lu, H. Quantum teleportation and entanglement distribution over 100-kilometre free-space channels. Nature 2012, 488, 185–188. [Google Scholar] [CrossRef] [PubMed]
- Müter, M.; Asaj, N. Entropy-based anomaly detection for in-vehicle networks. In Proceedings of the 2011 IEEE Intelligent Vehicles Symposium (IV), Baden-Baden, Germany, 5–9 June 2011; pp. 1110–1115. [Google Scholar]
- Taylor, A.; Japkowicz, N.; Leblanc, S. Frequency-based anomaly detection for the automotive CAN bus. In Proceedings of the 2015 World Congress on Industrial Control Systems Security (WCICSS), London, UK, 14–16 December 2015; pp. 45–49. [Google Scholar]
- Song, H.M.; Kim, H.R.; Kim, H.K. Intrusion detection system based on the analysis of time intervals of can messages for in-vehicle network. In Proceedings of the 2016 International Conference on Information Networking (ICOIN), Kota Kinabalu, Malaysia, 13–15 January 2016; pp. 63–68. [Google Scholar]
- Larson, U.E.; Nilsson, D.K.; Jonsson, E. An approach to specification-based attack detection for in-vehicle networks. In Proceedings of the 2008 IEEE Intelligent Vehicles Symposium, Eindhoven, The Netherlands, 4–6 June 2008; pp. 220–225. [Google Scholar]
- Murvay, P.S.; Groza, B. Source identification using signal characteristics in controller area networks. IEEE Signal. Proc. Lett. 2014, 21, 395–399. [Google Scholar] [CrossRef]
- Taylor, A.; Leblanc, S.; Japkowicz, N. Anomaly Detection in Automobile Control Network Data with Long Short-Term Memory Networks. In Proceedings of the 2016 IEEE International Conference on Data Science and Advanced Analytics (DSAA), Montreal, QC, Canada, 17–19 October 2016; pp. 130–139. [Google Scholar]
- Su, Y.; Zhao, Y.; Sun, M.; Zhang, S.; Wen, X.; Zhang, Y.; Liu, X.; Liu, X.; Tang, J.; Wu, W.; et al. Detecting Outlier Machine Instances Through Gaussian Mixture Variational Autoencoder with One Dimensional CNN. IEEE Trans. Comput. 2021, 71, 892–905. [Google Scholar] [CrossRef]
- Mozaffari, M.H.; Tay, L.L. Anomaly detection using 1D convolutional neural networks for surface enhanced raman scattering. In SPIE Future Sensing Technologies; International Society for Optics and Photonics: Washington, DC, USA, 2020; Volume 11525, p. 115250S. [Google Scholar]
- Yu, Q.; Kavitha, M.; Kurita, T. Detection of one dimensional anomalies using a vector-based convolutional autoencoder. In Asian Conference on Pattern Recognition; Springer: Cham, Switzerland, 2019; pp. 516–529. [Google Scholar]
- Hsieh, C.-H.; Li, Y.-S.; Hwang, B.-J.; Hsiao, C.-H. Detection of Atrial Fibrillation Using 1D Convolutional Neural Network. Sensors 2020, 20, 2136. [Google Scholar] [CrossRef] [Green Version]
- Song, H.M.; Woo, J.; Kim, H.K. In-vehicle network intrusion detection using deep convolutional neural network. Veh. Commun. 2019, 21, 100198. [Google Scholar] [CrossRef]
- Hu, R.; Wu, Z.; Xu, Y.; Lai, T.; Xia, C. A multi-attack intrusion detection model based on Mosaic coded convolutional neural network and centralized encoding. PLoS ONE 2022, 17, e0267910. [Google Scholar] [CrossRef]
- Davis, R.I.; Burns, A.; Bril, R.J. Controller area network (CAN) schedulability analysis: Refuted, revisited and revised. Real-Time Syst. 2007, 35, 239–272. [Google Scholar] [CrossRef] [Green Version]
- Mishkin, D.; Sergievskiy, N.; Matas, J. Systematic evaluation of convolution neural network advances on the Imagenet. Comput. Vis. Image. Underst. 2017, 161, 11–19. [Google Scholar] [CrossRef] [Green Version]
- Dimauro, G.; Deperte, F.; Maglietta, R.; Bove, M.; La Gioia, F.; Renò, V.; Simone, L.; Gelardi, M. A Novel Approach for Biofilm Detection Based on a Convolutional Neural Network. Electronics 2020, 9, 881. [Google Scholar] [CrossRef]
- Xue, Y.; Wang, Y.; Liang, J.; Slowik, A. A Self-Adaptive Mutation Neural Architecture Search Algorithm Based on Blocks. IEEE Comput. Intell. Mag. 2021, 16, 67–78. [Google Scholar] [CrossRef]
- Xue, Y.; Jiang, P.; Neri, F.; Liang, J. A Multi-Objective Evolutionary Approach Based on Graph-in-Graph for Neural Architecture Search of Convolutional Neural Networks. Int. J. Neural Syst. 2021, 31, 2150035. [Google Scholar] [CrossRef]
- Kim, J.; Kim, J.; Kim, H.; Shim, M.; Choi, E. CNN-based network intrusion detection against denial-of-service attacks. Electronics 2020, 9, 916. [Google Scholar] [CrossRef]
- Song, H.M.; Woo, J.; Kim, H.K. Can Network Intrusion Datasets. Available online: http://ocslab.hksecurity.net/Datasets/car-hacking-dataset (accessed on 30 December 2019).
- Albawi, S.; Mohammed, T.A.; Alzawi, S. Understanding of a Convolutional Neural Network. In Proceedings of the 2017 International Conference on Engineering and Technology (ICET), Antalya, Turkey, 21–23 August 2017; pp. 1–6. [Google Scholar]
- Alzubaidi, L.; Zhang, J.; Humaidi, A.J. Review of deep learning: Concepts, CNN architectures, challenges, applications, future directions. J. Big Data 2021, 8, 1–74. [Google Scholar] [CrossRef] [PubMed]
- Corsini, A.; Yang, S.J.; Apruzzese, G. On the Evaluation of Sequential Machine Learning for Network Intrusion Detection. In Proceedings of the 16th International Conference on Availability, Reliability and Security, New York, NY, USA, 17–20 August 2021; pp. 1–10. [Google Scholar]
- Wang, Z.; Oates, T. Encoding time series as images for visual inspection and classification using tiled convolutional neural networks. In Proceedings of the Workshops at 29th AAAI Conference on Artificial Intelligence, Austin, TX, USA, 25–26 January 2015. [Google Scholar]
- Apruzzese, G.; Andreolini, M.; Ferretti, L.; Marchetti, M.; Colajanni, M. Modeling Realistic Adversarial Attacks against Network Intrusion Detection Systems. Digit. Threat. Res. Pract. 2021. [Google Scholar] [CrossRef]
- Biggio, B.; Roli, F. Wild patterns: Ten years after the rise of adversarial machine learning. Pattern Recognit. 2018, 84, 317–331. [Google Scholar] [CrossRef] [Green Version]













| Dataset | Coding Method | UR | Precision | Recall | F1_Score | Accuracy | FNR |
|---|---|---|---|---|---|---|---|
| DoS | 16 × 16 sequence | 0 | 1.0 | 0.99674 | 0.99837 | 0.99903 | 0.325% |
| 4 × 4 Mosaic 4 × 4 data grid | 0 | 0.99988 | 0.99698 | 0.99843 | 0.99907 | 0.301% | |
| 6 × 6 Mosaic 4 × 4 data grid | 0 | 1.0 | 0.99192 | 0.99594 | 0.99760 | 0.807% | |
| 8 × 8 Mosaic 4 × 4 data grid | 0 | 1.0 | 0.98879 | 0.99436 | 0.99664 | 1.12% | |
| 29 × 29 sequence | 0 | 1.0 | 0.99519 | 0.99759 | 0.99857 | 0.48% | |
| 4 × 4 Mosaic 6 × 6 data grid | 0 | 1.0 | 0.99692 | 0.99845 | 0.99909 | 0.307% | |
| 6 × 6 Mosaic 6 × 6 data grid | 0 | 1.0 | 0.99192 | 0.99594 | 0.99760 | 0.807% | |
| 8 × 8 Mosaic 6 × 6 data grid | 0 | 1.0 | 0.99042 | 0.99518 | 0.99713 | 0.957% | |
| Fuzzy | 16 × 16 sequence | 0 | 0.98572 | 0.93390 | 0.95911 | 0.97340 | 6.609% |
| 4 × 4 Mosaic 4 × 4 data grid | 0 | 0.98383 | 0.91753 | 0.94952 | 0.96742 | 8.246% | |
| 6 × 6 Mosaic 4 × 4 data grid | 0 | 0.99354 | 0.97804 | 0.98573 | 0.99047 | 2.195% | |
| 8 × 8 Mosaic 4 × 4 data grid | 0 | 0.99939 | 0.97794 | 0.98855 | 0.99233 | 2.205% | |
| 29 × 29 sequence | 0 | 0.99732 | 0.97086 | 0.98391 | 0.98933 | 2.913% | |
| 4 × 4 Mosaic 6 × 6 data grid | 0 | 0.99756 | 0.91913 | 0.95674 | 0.97224 | 8.086% | |
| 6 × 6 Mosaic 6 × 6 data grid | 0 | 0.99639 | 0.98607 | 0.99120 | 0.99411 | 1.392% | |
| 8 × 8 Mosaic 6 × 6 data grid | 0 | 0.99980 | 0.98661 | 0.99316 | 0.99539 | 1.338% | |
| Gear | 16 × 16 sequence | 0 | 0.99877 | 0.99206 | 0.99540 | 0.99611 | 0.793% |
| 4 × 4 Mosaic 4 × 4 data grid | 0 | 0.99911 | 0.99051 | 0.99479 | 0.99559 | 0.948% | |
| 6 × 6 Mosaic 4 × 4 data grid | 0 | 1.0 | 0.99635 | 0.99817 | 0.99844 | 0.364% | |
| 8 × 8 Mosaic 4 × 4 data grid | 0 | 1.0 | 0.99475 | 0.99737 | 0.99775 | 0.524% | |
| 29 × 29 sequence | 0 | 0.99993 | 0.99663 | 0.99828 | 0.99853 | 0.336% | |
| 4 × 4 Mosaic 6 × 6 data grid | 0 | 0.99863 | 0.99356 | 0.99609 | 0.99668 | 0.643% | |
| 6 × 6 Mosaic 6 × 6 data grid | 0 | 1.0 | 0.99749 | 0.99874 | 0.99893 | 0.25% | |
| 8 × 8 Mosaic 6 × 6 data grid | 0 | 1.0 | 0.99394 | 0.99696 | 0.99740 | 0.605% | |
| RPM | 16 × 16 sequence | 0 | 0.99918 | 0.99355 | 0.99636 | 0.99675 | 0.644% |
| 4 × 4 Mosaic 4 × 4 data grid | 0 | 0.99965 | 0.99402 | 0.99683 | 0.99717 | 0.597% | |
| 6 × 6 Mosaic 4 × 4 data grid | 0 | 0.99993 | 0.99645 | 0.99818 | 0.99837 | 0.354% | |
| 8 × 8 Mosaic 4 × 4 data grid | 0 | 1.0 | 0.99630 | 0.99815 | 0.99833 | 0.369% | |
| 29 × 29 sequence | 0 | 0.99994 | 0.99630 | 0.99811 | 0.99831 | 0.369% | |
| 4 × 4 Mosaic 6 × 6 data grid | 0 | 0.99944 | 0.99634 | 0.99788 | 0.99811 | 0.365% | |
| 6 × 6 Mosaic 6 × 6 data grid | 0 | 0.99993 | 0.99652 | 0.99822 | 0.99841 | 0.347% | |
| 8 × 8 Mosaic 6 × 6 data grid | 0 | 1.0 | 0.99581 | 0.99790 | 0.99811 | 0.418% |
| Dataset | Coding Method | UR | Precision | Recall | F1_Score | Accuracy | FNR |
|---|---|---|---|---|---|---|---|
| DoS | 16 × 16 sequence | 0.15% | 1.0 | 0.99762 | 0.99880 | 0.99780 | 0.237% |
| 4 × 4 Mosaic 4 × 4 data grid | 0.101% | 1.0 | 0.99774 | 0.99887 | 0.99832 | 0.225% | |
| 6 × 6 Mosaic 4 × 4 data grid | 0.184% | 1.0 | 0.99480 | 0.99739 | 0.99662 | 0.519% | |
| 8 × 8 Mosaic 4 × 4 data grid | 0.335% | 1.0 | 0.99409 | 0.99703 | 0.99490 | 0.590% | |
| 29 × 29 sequence | 0.139% | 1.0 | 0.99774 | 0.99887 | 0.99794 | 0.225% | |
| 4 × 4 Mosaic 6 × 6 data grid | 0.108% | 1.0 | 0.99804 | 0.99901 | 0.99834 | 0.195% | |
| 6 × 6 Mosaic 6 × 6 data grid | 0.192% | 1.0 | 0.99560 | 0.99779 | 0.99677 | 0.439% | |
| 8 × 8 Mosaic 6 × 6 data grid | 0.258% | 1.0 | 0.99528 | 0.99763 | 0.99601 | 0.471% | |
| Fuzzy | 16 × 16 sequence | 11.14% | 0.99910 | 0.97755 | 0.98821 | 0.88184 | 2.244% |
| 4 × 4 Mosaic 4 × 4 data grid | 15.78% | 0.99874 | 0.97208 | 0.98523 | 0.83420 | 2.791% | |
| 6 × 6 Mosaic 4 × 4 data grid | 3.308% | 0.99847 | 0.99124 | 0.99484 | 0.96361 | 0.875% | |
| 8 × 8 Mosaic 4 × 4 data grid | 2% | 1.0 | 0.98960 | 0.99477 | 0.97666 | 1.039% | |
| 29 × 29 sequence | 2.94% | 0.99961 | 0.98984 | 0.99470 | 0.96727 | 1.015% | |
| 4 × 4 Mosaic 6 × 6 data grid | 6.992% | 0.99981 | 0.96807 | 0.98369 | 0.92092 | 3.192% | |
| 6 × 6 Mosaic 6 × 6 data grid | 1.695% | 0.99907 | 0.99529 | 0.99718 | 0.98120 | 0.47% | |
| 8 × 8 Mosaic 6 × 6 data grid | 1.193% | 1.0 | 0.99349 | 0.99673 | 0.98592 | 0.65% | |
| Gear | 16 × 16 sequence | 1.281% | 0.99982 | 0.99659 | 0.99821 | 0.98568 | 0.340% |
| 4 × 4 Mosaic 4 × 4 data grid | 1.441% | 0.99986 | 0.99655 | 0.99820 | 0.98408 | 0.344% | |
| 6 × 6 Mosaic 4 × 4 data grid | 0.223% | 1.0 | 0.99809 | 0.99904 | 0.99695 | 0.190% | |
| 8 × 8 Mosaic 4 × 4 data grid | 0.167% | 1.0 | 0.99635 | 0.99817 | 0.99677 | 0.364% | |
| 29 × 29 sequence | 0.177% | 0.99993 | 0.99815 | 0.99904 | 0.99741 | 0.184% | |
| 4 × 4 Mosaic 6 × 6 data grid | 1.408% | 0.99993 | 0.99749 | 0.99871 | 0.98483 | 0.250% | |
| 6 × 6 Mosaic 6 × 6 data grid | 0.136% | 1.0 | 0.99878 | 0.99938 | 0.99812 | 0.121% | |
| 8 × 8 Mosaic 6 × 6 data grid | 0.178% | 1.0 | 0.99608 | 0.99803 | 0.99654 | 0.391% | |
| RPM | 16 × 16 sequence | 1.013% | 0.99993 | 0.99776 | 0.99884 | 0.98885 | 0.223% |
| 4 × 4 Mosaic 4 × 4 data grid | 1.042% | 0.99996 | 0.99813 | 0.99905 | 0.98874 | 0.186% | |
| 6 × 6 Mosaic 4 × 4 data grid | 0.208% | 1.0 | 0.99804 | 0.99902 | 0.99704 | 0.195% | |
| 8 × 8 Mosaic 4 × 4 data grid | 0.321% | 1.0 | 0.99789 | 0.99894 | 0.99584 | 0.21% | |
| 29 × 29 sequence | 0.190% | 1.0 | 0.99763 | 0.99881 | 0.99703 | 0.236% | |
| 4 × 4 Mosaic 6 × 6 data grid | 0.811% | 0.99996 | 0.99874 | 0.99935 | 0.99131 | 0.125% | |
| 6 × 6 Mosaic 6 × 6 data grid | 0.158% | 1.0 | 0.99790 | 0.99895 | 0.99747 | 0.209% | |
| 8 × 8 Mosaic 6 × 6 data grid | 0.204% | 1.0 | 0.99789 | 0.99894 | 0.99700 | 0.21% |
| Dataset | Threshold | ID | UR | Precision | Recall | F1_Score | Accuracy | FNR |
|---|---|---|---|---|---|---|---|---|
| DoS | 0.5 | 11 bits | −0.01% | 0.02% | 0.01% | 0.00% | −7.38% | |
| 29 bits | 0.00% | 0.17% | 0.09% | 0.05% | −36.04% | |||
| 0.9 | 11 bits | −32.67% | 0.00% | 0.01% | 0.01% | 0.05% | −5.06% | |
| 29 bits | −22.30% | 0.00% | 0.03% | 0.01% | 0.04% | −13.33% | ||
| Fuzzy | 0.5 | 11 bits | 1.39% | 4.72% | 3.07% | 1.94% | −66.64% | |
| 29 bits | 0.25% | 1.62% | 0.94% | 0.61% | −54.07% | |||
| 0.9 | 11 bits | −82.05% | 0.09% | 1.23% | 0.66% | 10.75% | −53.70% | |
| 29 bits | −59.42% | 0.04% | 0.37% | 0.20% | 1.93% | −35.96% | ||
| Gear | 0.5 | 11 bits | 0.12% | 0.43% | 0.28% | 0.23% | −54.10% | |
| 29 bits | 0.01% | 0.09% | 0.05% | 0.04% | −25.60% | |||
| 0.9 | 11 bits | −82.59% | 0.02% | 0.15% | 0.08% | 1.14% | −44.12% | |
| 29 bits | −23.16% | 0.01% | 0.06% | 0.03% | 0.07% | −34.24% | ||
| RPM | 0.5 | 11 bits | 0.08% | 0.29% | 0.18% | 0.16% | −45.03% | |
| 29 bits | 0.00% | 0.02% | 0.01% | 0.01% | −5.96% | |||
| 0.9 | 11 bits | −79.47% | 0.01% | 0.03% | 0.02% | 0.83% | −12.56% | |
| 29 bits | −16.84% | 0.00% | 0.03% | 0.01% | 0.04% | −11.44% |
| Time(s) | DoS | Fuzzy | Gear | RPM |
|---|---|---|---|---|
| 16 × 16 sequence | 146.46 | 177.81 | 168.22 | 164.01 |
| 4 × 4 Mosaic 4 × 4 data grid | 189.47 | 199.76 | 222.33 | 220.94 |
| 6 × 6 Mosaic 4 × 4 data grid | 231.28 | 240.61 | 252.27 | 261.70 |
| 8 × 8 Mosaic 4 × 4 data grid | 218.53 | 225.06 | 240.57 | 243.01 |
| 29 × 29 sequence | 295.78 | 289.87 | 313.68 | 310.51 |
| 4 × 4 Mosaic 6 × 6 data grid | 321.08 | 343.74 | 350.75 | 362.31 |
| 6 × 6 Mosaic 6 × 6 data grid | 416.07 | 420.12 | 454.92 | 462.13 |
| 8 × 8 Mosaic 6 × 6 data grid | 384.99 | 392.84 | 420.24 | 422.08 |
| Train | Dos | Fuzzy | Gear | RPM | |
|---|---|---|---|---|---|
| Test | |||||
| Dos | 0.99560 | 0.69329 | 0.70132 | 0.69560 | |
| Fuzzy | 0.65404 | 0.99439 | 0.84149 | 0.66090 | |
| Gear | 0.56274 | 0.99775 | 0.99781 | 0.57369 | |
| RPM | 0.54946 | 0.55860 | 0.54647 | 0.99711 | |
Publisher’s Note: MDPI stays neutral with regard to jurisdictional claims in published maps and institutional affiliations. |
© 2022 by the authors. Licensee MDPI, Basel, Switzerland. This article is an open access article distributed under the terms and conditions of the Creative Commons Attribution (CC BY) license (https://creativecommons.org/licenses/by/4.0/).
Share and Cite
Hu, R.; Wu, Z.; Xu, Y.; Lai, T. Vehicular-Network-Intrusion Detection Based on a Mosaic-Coded Convolutional Neural Network. Mathematics 2022, 10, 2030. https://doi.org/10.3390/math10122030
Hu R, Wu Z, Xu Y, Lai T. Vehicular-Network-Intrusion Detection Based on a Mosaic-Coded Convolutional Neural Network. Mathematics. 2022; 10(12):2030. https://doi.org/10.3390/math10122030
Chicago/Turabian StyleHu, Rong, Zhongying Wu, Yong Xu, and Taotao Lai. 2022. "Vehicular-Network-Intrusion Detection Based on a Mosaic-Coded Convolutional Neural Network" Mathematics 10, no. 12: 2030. https://doi.org/10.3390/math10122030
APA StyleHu, R., Wu, Z., Xu, Y., & Lai, T. (2022). Vehicular-Network-Intrusion Detection Based on a Mosaic-Coded Convolutional Neural Network. Mathematics, 10(12), 2030. https://doi.org/10.3390/math10122030
