Research on the Period-Doubling Bifurcation of Fractional-Order DCM Buck–Boost Converter Based on Predictor-Corrector Algorithm
Abstract
:1. Introduction
2. Predictor–Corrector Model of FO Buck–Boost Converter
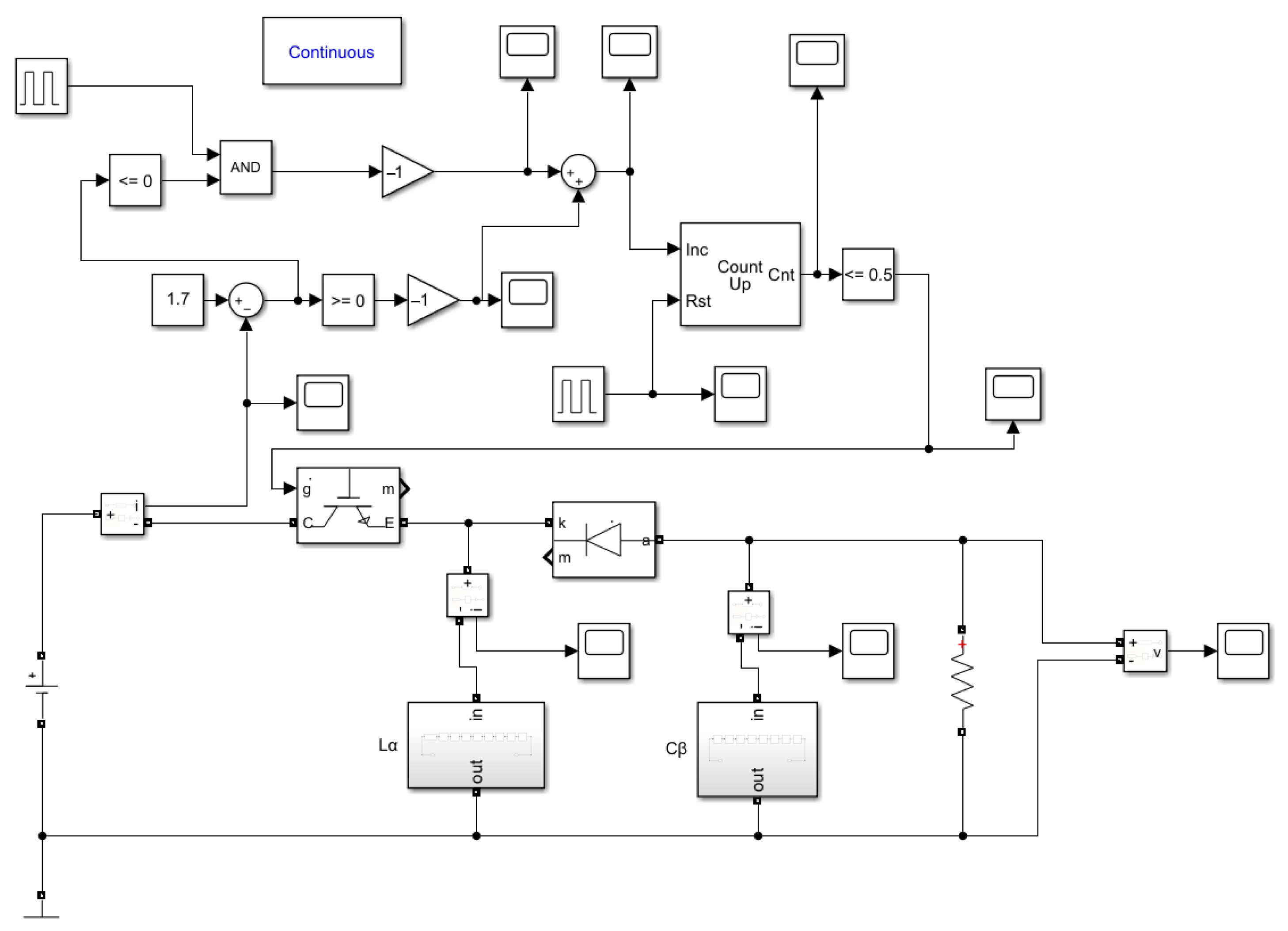
2.1. FO DCM Buck–Boost Converter
2.2. Predictor–Corrector Model
3. Period-Doubling Bifurcation of FO Buck–Boost Converter
3.1. Reference Current Iref as the Bifurcation Parameter
3.2. Input Voltage Uin as the Bifurcation Parameter
3.3. Fractional Order of Inductance and Capacitance as the Bifurcation Parameter
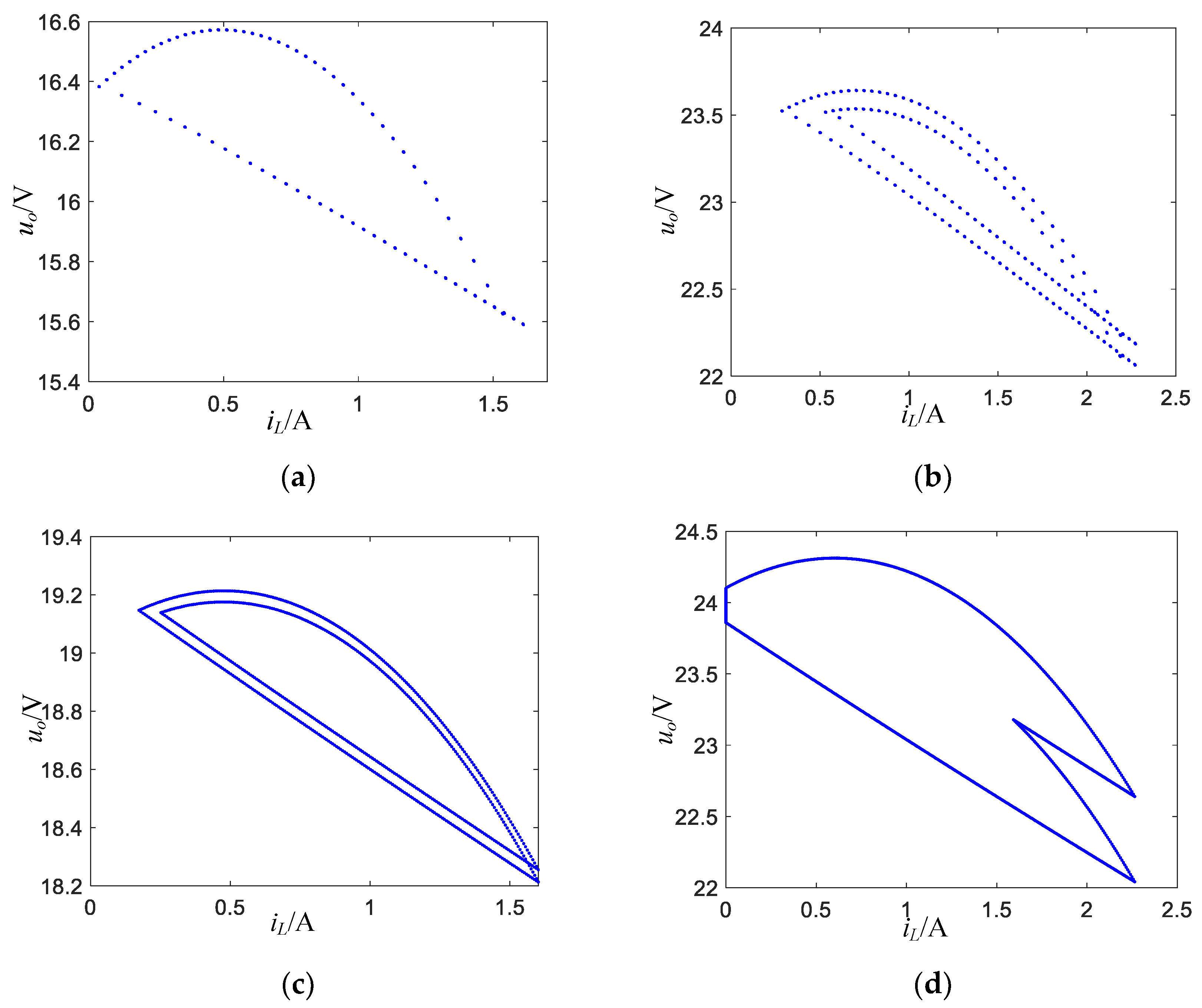
3.4. Phase Portrait Analysis
4. Conclusions
Author Contributions
Funding
Conflicts of Interest
Appendix A


References
- Ding, Q.; Abba, O.A.; Jahanshahi, H.; Alassafi, M.O.; Huang, W.H. Dynamical Investigation, Electronic Circuit Realization and Emulation of a Fractional-Order Chaotic Three-Echelon Supply Chain System. Mathematics 2022, 10, 625. [Google Scholar] [CrossRef]
- Asadi, M.; Farnam, A.; Nazifi, H.; Roozbehani, S.; Crevecoeur, G. Robust Stability Analysis of Unstable Second Order Plus Time-Delay (SOPTD) Plant by Fractional-Order Proportional Integral (FOPI) Controllers. Mathematics 2022, 10, 567. [Google Scholar] [CrossRef]
- Guo, J.; Ma, C.; Wang, X.; Zhang, F.; van Wyk, M.A.; Kou, L. A New Synchronization Method for Time-Delay Fractional Complex Chaotic System and Its Application. Mathematics 2021, 9, 3305. [Google Scholar] [CrossRef]
- Wang, F.Q.; Ma, X.K. Fractional order modeling and simulation analysis of Boost converter in continuous conduction mode operation. Acta Phys. Sin. 2011, 60, 96–103. [Google Scholar]
- Wei, Z.; Zhang, B.; Jiang, Y. Analysis and modeling of fractional-order buck converter based on Riemann-Liouville derivative. IEEE Access 2019, 7, 162768–162777. [Google Scholar] [CrossRef]
- Wang, F.; Ma, X. Modeling and analysis of the fractional order buck converter in DCM operation by using fractional calculus and the circuit-Averaging Technique. J. Power Electron. 2013, 13, 1008–1015. [Google Scholar] [CrossRef] [Green Version]
- Wu, C.; Si, G.; Zhang, Y.; Yang, N. The fractional-order state-space averaging modeling of the Buck-Boost DC/DC converter in discontinuous conduction mode and the performance analysis. Nonlinear Dyn. 2015, 79, 689–703. [Google Scholar] [CrossRef]
- Liao, X.; Ran, M.; Yu, D.; Lin, D.; Yang, R. Chaos analysis of Buck converter with non-singular fractional derivative. Chaos Solitons Fractals 2022, 156, 111794. [Google Scholar] [CrossRef]
- Bo, Y.; Wang, S.; He, S. Complex Dynamics and Hard Limiter Control of a Fractional-Order Buck-Boost System. Math. Probl. Eng. 2021, 2021, 5572840. [Google Scholar]
- Yang, N.N.; Liu, C.X.; Wu, C.J. Modeling and dynamics analysis of the fractional-order Buck-Boost converter in continuous conduction mode. Chin. Phys. B 2012, 21, 78–84. [Google Scholar] [CrossRef] [Green Version]
- Cheng, L.; Bi, C.; He, J.; Kong, M.; Liu, M. Fractional Order Modeling and Dynamical Analysis of Peak-Current-Mode Controlled Synchronous Switching Z-Source Converter. In Proceedings of the 2021 4th International Conference on Energy, Electrical and Power Engineering (CEEPE), Chongqing, China, 23–25 April 2021; pp. 148–152. [Google Scholar]
- Kai, D.; Ford, N.J.; Freed, A.D. A predictor-corrector approach for the numerical solution of fractional differential equations. Nonlinear Dyn. 2002, 29, 3–22. [Google Scholar]
- Wang, L.; Chen, N. The predictor-corrector solution for fractional order differential algebraic equation. In Proceedings of the ICFDA’14 International Conference on Fractional Differentiation and Its Applications 2014, Catania, Italy, 23–25 June 2014. [Google Scholar]












| Circuit Components | Values |
|---|---|
| Resistor (R) | 40 Ω |
| Inductor (L) | 14 mH |
| Capacitor (C) | 50 μF |
| Input voltage | 20 V |
| Reference current | 2 A |
| Switching cycle time | 0.05 ms |
| Inductance order (α) | 0.85 |
| Capacitance order (β) | 0.85 |
| Type of Converter | Stable Region | Period-2 Region | Period-4 Region | Chaotic Region |
|---|---|---|---|---|
| Fractional-order buck–boost | 1.00~2.20 A | 2.20~2.95 A | 2.95~3.25 A | 3.25~4.50 A |
| Integer-order buck–boost | 1.00~1.46 A | 1.46~2.01 A | 2.01~2.59 A | 2.59~3.00 A |
| Type of Converter | Stable Region | Period-2 Region | Period-4 Region | Chaotic Region |
|---|---|---|---|---|
| Fractional-order buck–boost | 18.65~35.00 V | 15.30~18.65 V | 12.45~15.30 V | 0~12.45 V |
| Integer-order buck–boost | 27.00~35.00 V | 20.00~27.00 V | 15.00~20.00 V | 5.00~15.00 V |
Publisher’s Note: MDPI stays neutral with regard to jurisdictional claims in published maps and institutional affiliations. |
© 2022 by the authors. Licensee MDPI, Basel, Switzerland. This article is an open access article distributed under the terms and conditions of the Creative Commons Attribution (CC BY) license (https://creativecommons.org/licenses/by/4.0/).
Share and Cite
Xie, L.; Shi, J.; Yao, J.; Wan, D. Research on the Period-Doubling Bifurcation of Fractional-Order DCM Buck–Boost Converter Based on Predictor-Corrector Algorithm. Mathematics 2022, 10, 1993. https://doi.org/10.3390/math10121993
Xie L, Shi J, Yao J, Wan D. Research on the Period-Doubling Bifurcation of Fractional-Order DCM Buck–Boost Converter Based on Predictor-Corrector Algorithm. Mathematics. 2022; 10(12):1993. https://doi.org/10.3390/math10121993
Chicago/Turabian StyleXie, Lingling, Jiahao Shi, Junyi Yao, and Di Wan. 2022. "Research on the Period-Doubling Bifurcation of Fractional-Order DCM Buck–Boost Converter Based on Predictor-Corrector Algorithm" Mathematics 10, no. 12: 1993. https://doi.org/10.3390/math10121993
APA StyleXie, L., Shi, J., Yao, J., & Wan, D. (2022). Research on the Period-Doubling Bifurcation of Fractional-Order DCM Buck–Boost Converter Based on Predictor-Corrector Algorithm. Mathematics, 10(12), 1993. https://doi.org/10.3390/math10121993
