Abstract
Medical technological advancements have led to the creation of various large datasets with numerous attributes. The presence of redundant and irrelevant features in datasets negatively influences algorithms and leads to decreases in the performance of the algorithms. Using effective features in data mining and analyzing tasks such as classification can increase the accuracy of the results and relevant decisions made by decision-makers using them. This increase can become more acute when dealing with challenging, large-scale problems in medical applications. Nature-inspired metaheuristics show superior performance in finding optimal feature subsets in the literature. As a seminal attempt, a wrapper feature selection approach is presented on the basis of the newly proposed Aquila optimizer (AO) in this work. In this regard, the wrapper approach uses AO as a search algorithm in order to discover the most effective feature subset. S-shaped binary Aquila optimizer (SBAO) and V-shaped binary Aquila optimizer (VBAO) are two binary algorithms suggested for feature selection in medical datasets. Binary position vectors are generated utilizing S- and V-shaped transfer functions while the search space stays continuous. The suggested algorithms are compared to six recent binary optimization algorithms on seven benchmark medical datasets. In comparison to the comparative algorithms, the gained results demonstrate that using both proposed BAO variants can improve the classification accuracy on these medical datasets. The proposed algorithm is also tested on the real-dataset COVID-19. The findings testified that SBAO outperforms comparative algorithms regarding the least number of selected features with the highest accuracy.
Keywords:
transfer function; medical data; nature-inspired algorithm; binary metaheuristic algorithm; feature selection MSC:
68T20
1. Introduction
It is difficult and frequently imprecise to analyze big amounts of data in real-world problems such as engineering, health, biology, or tourism, due to the presence of massive volumes of data. This massive data, often called big data, contains a combination of features with relevant/irrelevant, redundant, or noisy characteristics []. Therefore, selecting effective features is an essential pre-processing technique and prominent data analysis task. Feature selection is regarded as a searching or optimization task since its objective is to find effective features that utilize to enhance classification performance []. Furthermore, reducing the complexity and ditching irrelevant and redundant features while enhancing the algorithms’ performance are the main aims of feature selection approaches. Feature selection is also often called dimensionality reduction, which has a variety of applications in various areas, including but not limited to image analysis, biomedical problems, text mining, and industrial applications.
The literature classifies feature selection strategies into two categories, filter and wrapper approaches, depending on their interaction with the classifier []. The former method finds the optimum subset of features based on measures such as distance, dependency, or consistency of the features. The latter method employs a learning algorithm, such as a classifier, to continuously assess the feature subset during the search process to locate optimal solutions from an exponential collection of features []. Although filter techniques are faster than wrapper methods since they do not consume additional processing time to invoke the learning algorithm [], their major drawback is that features do not affect the classifier’s performance []. Meanwhile, the wrapper approaches are more accurate but computationally more costly []. Thus, it is required to employ an optimization algorithm in order to achieve an optimal set of features.
As mentioned above, the process of selecting features can be considered an optimization issue since it aims to identify a subset of features with near-optimal fitness. Considering the proof that the number of the proper subsets in a dataset with Q features is 2Q-1, feature selection can be regarded as an NP-hard problem. Thus, finding the best subset of features is impractical by using exact search strategies [], and approximate approaches such as metaheuristic algorithms can be used to select effective features within a reasonable time []. Optimization algorithms have numerous advantages over conventional search algorithms, including the capability of identifying the optimal subset of features within a reasonable time. Furthermore, the conventional search algorithms require generating all possible feature subsets to find the optimum solution, which is unsuitable and time-consuming for large datasets [].
Metaheuristics are designed to solve challenging optimization problems and provide acceptable solutions in a reasonable time []. Such general-purpose algorithms have the potential to locate the search space promising regions and the ability to estimate an appropriate solution for a particular optimization issue. In addition, metaheuristic algorithms utilize stochastic strategies to foster population diversity in the early stages of iterations by searching in the target domain. Meanwhile, the algorithm searches for potential solutions locally in the exploitation phase to improve upon the quality of solutions found in the exploration phase. After a limited number of iterations, a reasonable convergence occurs, meaning that the algorithm does not provide more improvement to the solution. Black-box nature, simplicity, ease of use, and high global search capability are the main reasons for the popularity of such algorithms in diverse areas []. Some of the trending application areas are: classification [,], power and energy management [,,,], structural engineering [,,], community detection [], clustering [,,,], image segmentation [,,,], global optimization [,,,,,,], industrial engineering [,], life-cycle cost analysis in structural optimization [], engineering design problem [,,], task scheduling [,,] and virtual machine placement [,] in cloud computing, navigation planning [,,], and wind speed prediction [,].
Metaheuristic algorithms are mostly nature-inspired and are designed to emulate the biological, physical, and social behaviors of species found in nature. We can group them into three categories: evolution-based, swarm intelligence-based, and physics-based algorithms []. Evolution-based algorithms tend to mimic creatures’ evolutionary behavior concepts in nature. Some of the most well-regarded evolutionary algorithms are genetic programming (GP) [], evolution strategy (ES) [], differential evolution (DE) [], evolutionary programming (EP) [], genetic algorithm (GA) [], and biogeography-based optimization (BBO) []. The social and collective behavior of swarms in nature, such as those in colonies of bees, ants, animal herds, and birds’ flocks, are the source of inspiration for swarm intelligence algorithms. Among this category, the most popular algorithms are particle swarm optimization (PSO) [], ant colony optimization (ACO) [], artificial bee colony (ABC) [], and bat algorithm (BA) [].
Algorithms based on the fundamental physical rules existing in nature comprise the last category. Simulated annealing (SA) [], thermal exchange optimization (TEO) [], big bang-big crunch (BB-BC) [], and atom search optimization (ASO) [] are some notable examples of this category. Although the proposed algorithms are designed and evaluated on different kinds of problems, the No-free-lunch (NFL) theorem [] states that there is no general-purpose algorithm that is suitable for tackling all problems with various characteristics. Thus, the algorithms such as multi-trial vector-based differential evolution (MTDE) [], multi-strategy enhanced HHO algorithm (RLHHO) [], and gaze cues learning-based grey wolf optimizer (GGWO) [] were proposed to overcome the shortcoming of the existing algorithms.
This paper attempts to find effective features by utilizing the Aquila optimizer (AO) [] algorithm, which is one of the most recent optimization algorithms to be published. The AO mimics Aquila’s hunting strategies in nature. Fast-moving prey hunting techniques reveal the algorithm’s global exploration capability, whereas slow-moving prey hunting strategies show the algorithm’s local exploitation capability. The canonical AO operates on the continuous solution search space and cannot be performed on problems with discrete, binary, or mixed-integer variables. Thus, we propose a wrapper-based binary metaheuristic algorithm named BAO to select effective features from seven medical datasets. The BAO algorithm calculates the position of solutions in the binary space using S and V-shaped transfer functions while the AO’s search space remains continuous.
The following is how the rest of this article is structured: Section 2 provides a literature review of binary metaheuristic algorithms applicable to feature selection. The continuous Aquila optimizer algorithm is discussed in Section 3. Section 4 describes the suggested binary versions of the Aquila optimizer algorithm. Section 5 discusses the suggested algorithms for the feature selection problem, whereas Section 6 shows the experimental findings and statistical analysis on medical datasets. In Section 7, the applicability of the proposed algorithm on the COVID-19 dataset is assessed and compared with comparative algorithms. Finally, Section 8 concludes the work, and future research is suggested.
2. Related Work
In applications that rely on machine learning classifiers such as data mining, classification is considered to be an essential process. However, the type of features used, some of which are usually irrelevant and noisy, has a significant effect on the performance of these classifiers. Feature selection can minimize the dimensionality of data, reduce classifier learning time, and enhance classification result by choosing the most effective features and eliminating the redundant and irrelevant features []. Many practical applications have used feature selection including intrusion detection [,], software fault prediction [,], speech emotion recognition [,], bankruptcy prediction [,], credit scoring [], stock trend prediction [], emotion analysis [], spam detection [,], digital soil mapping [], diseases prediction and detection [,,,], breath analysis [], biodiesel property selection [], gene selection [,], and wind forecasting [,].
As stated, feature selection has an essential role in dimensionality reduction since it removes irrelevant and redundant features from the original dataset to find an optimal subset of features. In the following paragraphs, our focus is on reviewing the feature selection methods that use metaheuristics as search algorithms and rely on using transfer functions. The challenge of selecting effective features from an entire set of features is a discrete optimization problem that can be handled by metaheuristics. Metaheuristic algorithms, in which the search is directed by information gained during the optimization process, are practical approaches for solving feature selection problems. Most of the well-regarded nature-inspired algorithms were designed to address continuous optimization issues, whereas some problems are binary in nature. Furthermore, other strategies for adapting continuous metaheuristic algorithms into discrete domains have also been proposed, such as normalizing, rounding, and utilizing binary operators []. The transfer function can also be used as another method of converting continuous components into binary values.
Due to the binary nature of feature selection, transfer functions are efficient yet easy ways to limit the result such that 0 means the feature is redundant and not chosen, and 1 represents the feature is useful and chosen. Transfer functions based on their shape have been divided into three groups S-shaped, V-shaped, and U-shaped transfer functions [,,,]. In prominent algorithms such as BPSO [], binary differential evolution (binDE) [], and altruistic whale optimization algorithm (AltWOA) [], the S-shaped transfer function was employed to estimate the probabilities of shifting positions. In [], a V-shaped transfer function is applied to the velocity parameter of the continuous gravitational search algorithm to handle the feature selection.
In [], two binary variants were suggested for feature selection with the GWO algorithm as a state-of-the-art algorithm. In the first version, the position changing estimation for each wolf is accomplished by utilizing an S-shaped transfer function to their respective positions. The second variant converted the continuous GWO to a binary version via stochastic crossover. In [], the binary butterfly optimization algorithm (bBOA) was proposed to address feature selection issues by using both S-shaped and V-shaped transfer functions. Each feature subset is represented as a butterfly, and global and local strategies are used during the search process. However, there are certain flaws with bBOA, such that it cannot balance the exploration and exploitation, and in the local search strategy, butterflies merely change their position at random, which is regarded as insufficient []. In another similar work [], a wrapper-based binary SCA (WBSCA) was proposed that transformed continuous SCA to binary search space by utilizing the V-shaped transfer function. An improved binary PSO algorithm (ISBPSO) [] is proposed for selecting features and used in classification in recent work. The performance of the canonical PSO algorithm is improved by adapting three strategies to obtain a better initial population, global search, and convergence property. The proposed ISBPSO is used as a wrapper to select features and validated on 12 UCI datasets. The comparison of obtained results by other feature selection algorithms shows that it can obtain higher or similar accuracy with fewer selected features. Another study [] proposed a wrapper method for selecting features, which used MFO as a search strategy. This method used twelve different transfer functions of S, V, and U-shaped to transform MFO from the continuous version to a binary one. The proposed variants and wrapper-based comparative algorithms were tested and compared on medical datasets to confirm competitive performance.
In [], a binary horse herd optimization algorithm (BHOA) is proposed to tackle feature selection problems. In BHOA, four configurations of the S, V, and U-shaped functions are utilized for mapping the HOA to its binary equivalent. Another proposed binary algorithm for feature selection is binary biogeography-based optimization based SVM-RFE (BBO-SVM-RFE) []. The support vector machine recursive feature elimination is incorporated into the BBO to enhance the quality of the acquired solutions in the mutation operator, thereby improving the balance between the exploitative and exploratory aspects of the original BBO. On the basis of the accuracy and the number of considered features, the BBO-SVM-REF algorithm surpasses the BBO method and other wrapper and filter methods. The usage of optimization algorithms is advantageous in selecting features because they can produce a solution near to the optimum or ideal in a reasonable amount of time. Contrary to this, conventional exhaustive search methods search through every possible combination of features from the entire feature set, which is time-consuming and regarded as an NP-hard task. Despite the fact that various metaheuristic algorithms for dealing with feature selection have been developed over time, the increasing dimensionality of data presents significant challenges; therefore, it is worthwhile to continue searching for effective strategies to improve the performance of metaheuristic algorithms to deal with high-dimensional feature selection issues.
3. Aquila Optimizer (AO)
In accordance with the natural Aquila hunting process, the Aquila optimizer (AO) [] is a newly proposed algorithm. The hunting process has four steps: expanded exploration by soaring high with a vertical stoop, narrowed exploration by gliding with a contour flight, expanded exploitation by low-flying descent attack, and narrowed exploitation by walking and catching prey. In order to transit from the exploration stage to the exploitation stage, the AO algorithm uses a variety of behaviors. The exploration stage is simulated in the first two-thirds of iterations, while the exploitation stage is imitated in the last one-third of iterations. The following is a mathematical representation of the AO algorithm.
Initializing: The AO algorithm begins by spreading N solutions in a D-dimensional search space across a preset range [L, U] by applying Equation (1).
where Xi,j is the j-th dimension of the i-th solution, Lj and Uj refer to the lower and upper bound value of the j-th dimension in the search space, and r is chosen at random from the range of 0 to 1. The position of solutions is kept in matrix XN×D. Then, by f(Xi), the fitness value of each solution is calculated.
Expanded exploration: An Aquila first determines the prey region and picks the optimal hunting location by high-soaring while stooping vertically. This behavior leads to the search space being explored from high altitudes to estimate where the prey can be located. In AO, this behavior is simulated to expand the exploration by Equation (2) and is executed when iter < (2/3 × MaxIter) and randomly generated value < 0.5,
where X1(iter + 1) is the solution given by the prime method to use in the subsequent iteration and Xbest(iter) is the best solution found until the current iteration and approximates the position of prey. The term is utilized to regulate the extent of the exploration based on the number of iterations, where iter denotes the current iteration and MaxIter is the number of iterations that can be performed. In the iter-th iteration, XM(iter) indicates the mean of currently available solutions, as determined by Equation (3),
where D denotes the dimension size of the search space and N represents the number of solutions.
Narrowed exploration: In the second step, the hunting behavior named contour flight of a short glide attack is performed. Aquila flies over the targeted prey, prepares to descend, and attacks when spotted from a high height. This behavior allows the Aquila to explore a specific region narrowly. In AO, this behavior is simulated to narrow the exploration by Equation (4) and is done when iter < (2/3 × MaxIter) and randomly generated value > 0.5,
where X2(iter + 1), XR(iter), and Levy(D) represent the solutions produced by the narrowed exploration strategy, a randomly selected solution from entire solutions in the iter-th iteration, and the Levy flight distribution function calculated by Equation (5), respectively.
where s = 0.01, β = 1.5, and u and v are random integer numbers ranging in [0, 1]. In Equation (4), the spiral form is represented by y and x calculated using Equation (6),
where r and θ are calculated by Equations (7) and (8),
where the number of search cycles is fixed by the random number r1 which is between 1 and 20, D1 is an integer value in the range of 1 to D, U = 0.00565, and ω = 0.005.
Expanded exploitation: Aquila employs the third strategy to pursue prey during the expanded exploitation step. The Aquila has carefully identified the prey zone and is prepared to alight and attack. In order to determine how the prey would respond to the attack, the Aquila descends vertically and performs the first strike. This behavior is named low-flying descent attack and is performed when iter > (2/3 × MaxIter) and randomly generated value < 0.5 by Equation (9).
where X3(iter + 1) denotes the solutions obtained by the expanded exploitation method and the exploitation adjustment parameters α and δ are set to 0.1.
Narrowed exploitation: The fourth hunting strategy is used during the narrower exploitation step when the Aquila approaches the prey and attacks randomly. This behavior is called walking and grabbing the prey and is done when iter > (2/3 × MaxIter) and randomly generated value > 0.5 by Equation (10).
where X4(iter + 1) denotes the generated fourth search solutions, X(iter) is the iter-th iteration’s current solution, and to balance the search strategy, a quality function called QF is calculated by Equation (11).
G1 and G2 are values to represent the Aquila’s prey tracking movements such that the G2’s value is decreasing from 2 to 0. The calculation of G1 and G2 are done by Equations (12) and (13).
The AO algorithm is inspired by Aquila’s natural behavior and shown a competitive performance when adapted to solve optimization problems []. The algorithm’s global exploration ability is shown by the hunting strategies for fast-moving prey, while the algorithm’s local exploitation capability is demonstrated by the hunting approaches for slow-moving prey. The AO algorithm has a high search efficiency, fast convergence speed, and good global exploration but lacks local exploitation, making it susceptible to get trapped in the local optimum []. The BAO’s major goal is to tackle the restriction of the continuous AO to solve feature selection problems by utilizing its binary form.
4. Binary Aquila Optimizer (BAO) Algorithm
A binary optimization problem’s search space can be considered a hypercube, which allows an individual to move from one point to another by altering one or more bits of its position. Since binary space contains only two values, “0” and “1”, the position updating for binary optimization issues such as feature selection cannot be achieved by continuous strategies. Transfer functions are one of the key components of metaheuristic-based feature selection algorithms, in which the continuous search space is mapped to the discrete space. Transfer functions are used to assess the probability of altering the elements of a position vector to 0 or 1 based on the value of the i-th solution’s vector in the d-th dimension. S-shaped and V-shaped transfer functions are the two most prevalent forms of transfer functions [,] such that continuous metaheuristic algorithms can be discretized and utilized to solve binary optimization problems by converting a real vector into a binary vector. In Table 1 and Figure 1, formulation and visual representation of these two families of transfer functions are provided.
Table 1.
List of transfer functions.
Figure 1.
S-shaped and V-shaped transfer functions.
Although the AO algorithm was initially suggested to solve continuous optimization issues, it has to be adapted to accommodate the binary challenge of feature selection. Therefore, in order to solve binary problems through the use of AO, a transfer function needs to be used to convert a solution vector with continuous values into a probability vector. The transfer functions of both families are utilized to adapt continuous AO to binary variants called SBAO and VBAO in this study. Specifically, eight different transfer functions are considered, which result in eight distinct BAO variations.
4.1. S-Shaped Binary Aquila Optimizer (SBAO) Algorithm
The suggested variants of the BAO algorithm treat the search space as a continuous space where every solution has a real-valued position vector. The continuous values in the search space must be mapped to binary values using our proposed algorithms to derive a binary position vector for the solution. Each dimension of the position is taken into account by applying a particular S-shaped transfer function to compel the solution to move around in binary space. Using the floating-point position values, the transfer function calculates a limited probability in the interval [0, 1] for each solution. A floating-point vector is then converted to a bit-string position vector based on the obtained probabilities. In Equation (14), the S-shaped function is given for generating probability value.
The value of S((iter + 1)) denotes the possibility of altering the i-th solution’s binary position value in the d-th dimension. After comparing the probability to a threshold value, the binary value is calculated, as shown in Equation (15), where rand is a random value between 0 and 1.
4.2. V-Shaped Binary Aquila Optimizer (VBAO) Algorithm
The V-shaped transfer function is another function used to calculate the possibility of changing positions. Similar to the S-shaped transfer function, the V-shaped transfer function is also used to calculate the probability of changing the search agent’s location by Equation (16).
Following the changing probability values calculation, each search agent’s binary position vector is updated using an updating position equation, as shown in Equation (17), where rand is a random value between 0 and 1.
The continuous Aquila Optimizer (AO) is converted into its binary variant (BAO) by transforming each search agent’s dimension to a probability value ranging from 0 to 1 as given in Equation (2). This is done utilizing all variations of S-shaped and V-shaped transfer functions. Therefore, the probability of changing each search agent’s position is calculated through the use of either S-shaped or V-shaped transfer functions shown by Equations (14) and (16). Then, the binary position of the search agent is obtained by considering the calculated changing probability value using Equation (15) or (17). To identify the appropriate transfer function, eight different variants of the suggested BAO are examined since transforming a continuous search space to a binary domain greatly affects the performance and results of classifiers. The pseudo-code of the proposed BAO algorithm is shown in Algorithm 1. BAO has an O(NDT) computational complexity, where N, D, and T are the population size, the number of features, and the maximum number of iterations, respectively.
| Algorithm 1. The binary Aquila optimizer (BAO) | |
| Input: N (population size), D (the dimension’s number), MaxIter (maximum number of iterations) | |
| Output: The best solution (Xbest) | |
| 1 : | Begin |
| 2 : | Initializing iter = 1, α = 0.1, δ = 0.1. |
| 3 : | Generating a random initial population X. |
| 4 : | While it ≤ MaxIter |
| 5 : | Evaluating the fitness function values and set the Xbest(it). |
| 6 : | If iter < (2/3) × MaxIter |
| 7 : | If rand < 0.5 |
| 8 : | Calculating X1(iter + 1) using Equation (2). |
| 9 : | Updating X(iter + 1) and Xbest(iter). |
| 10 : | else |
| 11 : | Calculating X2(iter + 1) using Equation (4). |
| 12 : | Updating X(iter + 1) and Xbest(iter). |
| 13 : | End if |
| 14 : | else |
| 15 : | If rand < 0.5 then |
| 16 : | Calculating X3(iter + 1) using Equation (9). |
| 17 : | Updating X(iter + 1) and Xbest(iter). |
| 18 : | Else |
| 19 : | Calculating X4(iter + 1) using Equation (10). |
| 20 : | Updating X(iter + 1) and Xbest(iter). |
| 21 : | End if |
| 22 : | End if |
| 23 : | Calculating the probability values using Equation (14) or (16). |
| 24 : | Updating binary position. |
| 25 : | iter = iter + 1. |
| 26 : | End while |
| 27 : | Return the best solution (Xbest). |
| 28 : | End |
5. Binary Aquila Optimizer Algorithm for Feature Selection Problem
Feature selection entails identifying relevant features in a dataset to enhance learning capabilities, reduce computation complexity, and improve classification performance. The optimum feature subset is obtained using a binary algorithm depending on the nature of the feature selection problem. Using the binary approach, each solution is represented by binary vectors with D entries, reflecting the number of features in a dataset. Each entry of the solution vector has a value of 0 or 1, where 0 signifies no selection and 1 indicates the selection of that particular feature. The feature selection problem is addressed by utilizing two binary variants of the AO algorithm. As a multi-objective problem, the problem of feature selection requires the fulfillment of two conflicting objectives. This is a conflict between objectively maximizing accuracy and minimizing the selection of features. The weighted sum multi-objective fitness function for evaluating each solution is shown in Equation (18).
where α and β are two factors that represent the weight of accuracy and the number of selected features and their values are set in the range of α ∊ [0, 1] and β = 1 − α []. The classification error, the number of chosen features, and the total number of features are represented by ER(D), |R|, and |C|, respectively.
6. Experimental Evaluation and Results
An evaluation of the performance of variants of SBAO and VBAO algorithms is presented in this section by presenting detailed experimental results and statistical analysis. To assess the efficiency of the BAO algorithms, these experiments include performance evaluation and convergence evaluation. In the comparative experiment, the gained results are assessed along with the state-of-the-art and recently developed nature-inspired algorithms consisting of binary bat algorithm (BBA) [], binary gravitational search algorithm (BGSA) [], binary grey wolf optimization (BGWO) [], binary dragonfly algorithm (BDA) [], S-shaped binary sine cosine algorithm (SBSCA) [], and V-shaped binary sine cosine algorithm (VBSCA) []. Moreover, a non-parametric statistical test, known as the Friedman test [], is used to demonstrate the significance of the difference between the gained results and comparative algorithms. Additionally, we performed an experiment on the COVID-19 dataset and compared the gained results by comparative algorithms.
6.1. Datasets Description and Experimental Environment
The proposed BAO algorithms were validated on seven medical datasets selected from [,] with varying numbers of features and instances. A detailed description of each dataset is provided in Table 2, including the number of instances, features, and classes. As part of the evaluation process, each dataset was split into two sets: a training set and a testing set, with 80% of the instances used for training and the remainder for testing. In this wrapper approach, the k-nearest neighbors (k-NN) method is employed to estimate the classification error rate of the selected feature subset. The proposed algorithms were developed by Matlab programming environment R2014b, and all experiments were run on a CPU, Intel Core(TM) i7-3770 at 3.4 GHz and 8.00 GB RAM.
Table 2.
Statistical information of datasets.
6.2. Experimental Setup
Throughout this work, all of the comparative algorithms’ parameters were set as in their original works, as indicated in Table 3. The appropriate values for the parameters α and δ are found by some pretests reported in Appendix A. To gain meaningful results, all experiments were done and evaluated by 30 separate runs. All algorithms’ initial settings were set to the same maximum iterations (MaxIter) and population size (N) to 300 and 20 to ensure fair comparisons. The value of α and β parameters in the fitness function in Equation (18) are set by 0.99 and 0.01, and the value of parameter k is set with 5 in the k-NN classifier, respectively. As an evaluation criterion, all algorithms use classification accuracy and the number of selected features. The algorithms’ performance was measured using mean and standard deviation (SD) of accuracy, the number of selected features, and the gained fitness.
Table 3.
Algorithms parameter settings.
6.3. Performance Evaluation of SBAO and VBAO
In this subsection, seven medical datasets are used to benchmark various variants of the proposed BAO to determine the impact of different transfer functions on the proposed algorithm’s performance. The BAO variants utilize eight transfer functions listed in Table 1. The efficacy of the variants is evaluated by the mean and standard deviation of accuracy, the number of selected features, and the gained fitness. Table 4, Table 5 and Table 6 provide a summarization of the gained results achieved by the algorithms. In Table 4, the mean and SD for the accuracy of eight variants of BAO with S-shaped and V-shaped transfer functions in 30 runs are tabulated. As per results in Table 4, the variants SBAO-2, SBAO-3, SBAO-4, and VBAO-1, VBAO-3, and VBAO-4 provided the highest accuracy in the Pima dataset. All the variants gained the same and superior accuracy in the Breast cancer dataset. In Heart and Lymphography datasets, the BAO versions that utilize transfer functions S4 and V4 can achieve better accuracy than the other variants. SBAO-3 and VBAO-3 outperform other variants in terms of accuracy in the Breast-WDBC dataset. In the Colon dataset, SBAO-1, SBAO-2, and VBAO-1 and in the Leukemia dataset, SBAO-2 and VBAO-1 obtain the best results that show the binary AO’s performance in selecting features from large datasets.
Table 4.
The accuracy comparison of SBAO and VBAO.
Table 5.
The number of selected features comparison of SBAO and VBAO.
Table 6.
The fitness comparison of SBAO and VBAO.
As tabulated in Table 5, the mean and standard deviation of selected features are calculated for 30 independent runs using BAO variants. It can be observed that SBAO-1 and VBAO-2 can be achieved better results in the Pima dataset. The BAO with S-shaped and V-shaped transfer functions except the fourth S-shaped function have achieved the same best number of selected features in the Breast cancer dataset. In the Heart dataset, both transfer functions S1 and V1 in BAO achieved the minimum selection of features. For the Lymphography dataset, SBAO-1, SBAO-3, and SBAO-4 have shown equal performance, whereas VBAO-1 has better performance in comparison to other V-shaped variants. SBAO-2 and VBAO-4 achieved better performance for the Breast-WDBC dataset. In the Colon dataset, SBAO-4 and VBAO-2 and in Leukemia, SBAO-2 and VBAO-1 had better performance than other variants. Table 6 demonstrates the proposed algorithms’ results regarding the mean and SD of the gained fitness values. The results demonstrate the impact of utilizing various transfer functions on the BAO’s performance.
6.4. Performance Comparison with State-of-the-Art Algorithms
In this subsection, the obtained results of the proposed binary versions of the AO, SBAO, and VBAO for each dataset are compared with other binary state-of-the-art algorithms that are widely used to solve the feature selection problem. To compare with other comparative algorithms, for each dataset, one variant of S-shaped and V-shaped transfer functions was selected such that the variant provides better performance in terms of accuracy. This selection of SBAO and VBAO for each dataset is as follows: Pima (SBAO-1, VBAO-2), Breast cancer (SBAO-1, VBAO-1), Heart (SBAO-4, VBAO-4), Lymphography (SBAO-4, VBAO-4), Breast-WDBC (SBAO-3, VBAO-3), Colon (SBAO-2, VBAO-1), and Leukemia (SBAO-2, VBAO-1). The experimental results are shown in Table 7, Table 8 and Table 9, in which the best-obtained results are remarked in boldface. The Friedman test [] was used to examine the accuracy gained by SBAO, VBAO, and comparative algorithms. A comparison of binary AO and comparative algorithms was also performed in order to determine their convergence behavior.
Table 7.
The accuracy comparison of SBAO and VBAO with other binary metaheuristic algorithms.
Table 8.
The number of selected features comparison of SBAO and VBAO with comparative algorithms.
Table 9.
The fitness comparison of SBAO and VBAO with other binary metaheuristic algorithms.
As demonstrated in Table 7, the gained results of SBAO, VBAO, and comparative algorithms on the basis of mean and standard deviation of the estimated accuracy for 30 separate runs on each of seven datasets are summarized. The BAO algorithm produces superior and competitive results on the datasets evaluated, as shown in Table 7. In the Pima and Breast cancer datasets, BAO produces the same results as BGSA, SBSCA, and VBSCA, while outperforming the rest of the algorithms on the Heart, Colon, and Leukemia datasets. According to the results, the proposed BAO algorithm was significantly more accurate than the comparative algorithms.
In Figure 2, the proposed BAO algorithm compares to the comparative algorithms in terms of the best-obtained classification accuracy in 30 runs. Additionally, the mean and standard deviation for the number of selected features are shown in Table 8. The plotted results show how the BAO can explore the search space for the most effective feature subset with the greatest classification accuracy. The suggested BAO beats the comparative algorithms when it comes to determining the effective subset with the fewest number of features, as shown in Table 8. It can be observed that SBAO and VBAO, like BDA, SBSCA, and VBSCA, performed best on the Breast cancer dataset, but SBAO and VBAO performed better on the Lymphography, Colon, and Leukemia datasets.
Figure 2.
Average accuracy gained by BAO and comparative algorithms.
Figure 3 and Figure 4 show a comparison between the proposed BAO and the comparative algorithms on four small datasets Breast cancer, Heart, Lymphography, and Breast-WDBC, and large datasets Colon and Leukemia. These figures show the number of selected features by considering the best-achieved accuracy. Table 9 shows the gained results of the SBAO and VBAO compared to comparative algorithms in terms of fitness value. BAO’s ability to intensively explore promising regions of feature space and intensely exploit near solutions is the reason for this performance.
Figure 3.
The Number of selected features comparison on small datasets.
Figure 4.
The Number of selected features comparison on large datasets.
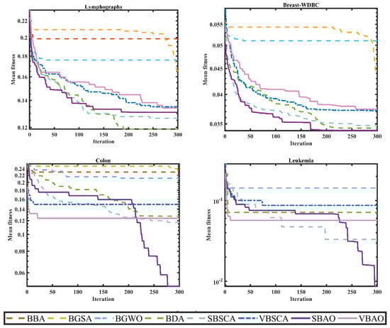
The average fitness convergence curves obtained by the suggested variations of BAO and comparative algorithms are shown in Figure 5. For the proposed BAO and comparative algorithms, the convergence curves are based on the optimal fitness function as well as mean convergence curves. The minimum fitness functions’ convergence curves illustrate the highly qualified performance of the proposed BAO algorithm. The plotted curves demonstrate that BAO can develop more effective solutions and strike a more favorable balance between exploration and exploitation.

Figure 5.
The convergence curves of BAO and comparative algorithms on all datasets.
Figure 5 shows with the exception of the Lymphography dataset, two variations of BAO discover superior fitness than other algorithms in all datasets. BGSA, unlike BAOs, shows a substantial decrease in fitness value in the early iterations, but the fitness value stayed constant for almost remained iterations, and eventually, it exhibits a significant loss in fitness value in the last iterations. While the BBA and BGWO algorithms demonstrate a steady convergence, the search process results in stagnation in non-optimal solutions. Finally, both SBSCA and VBSCA algorithms demonstrate a similar behavior to BAOs with a delayed convergence characteristic throughout the search phase.
7. Using BAO for COVID-19 Case Study
The suggested BAO is used to diagnose COVID-19 patient health in this section. The COVID-19 patient dataset was obtained from []. The dataset includes 864 instances and 15 features, as shown in Table 10. This experiment aims to anticipate the patients’ mortality and recovery status based on the supplied criteria. In the main dataset, patients whose death or recovery status is missing are removed. The feature id was removed from the dataset, and all features were transformed to numeric form. In this case, we use k-fold cross-validation with K = 10 for the validation process. Figure 6 and Figure 7 demonstrate the accuracy and selected feature size of the proposed BAO and comparative algorithms on the COVID-19 dataset. SBAO, which took into account seven features, had the greatest classification accuracy of 96.80%. On the other hand, the gained results reveal that VBAO only needed three features to diagnose the patient’s health.
Table 10.
Description of COVID-19 dataset.
Figure 6.
Accuracy gained by BAO and comparative algorithms.
Figure 7.
The number of selected features gained by BAO and comparative algorithms.
The BAO’s major goal is to overcome the restriction of the canonical continuous AO algorithm in solving the feature selection issue, the use of its binary form resolves this. The algorithm provides fast convergence speed, strong global exploration capabilities, and high search efficiency during the search process, resulting in a better performance than other algorithms. Furthermore, the BAO’s performance demonstrates its capability to search the feature space for effective features while maintaining balance exploration and exploitation over several iterations.
8. Conclusions and Future Works
In this article, two binary variations of the Aquila optimizer (AO) were introduced in this article and utilized to discover the wrapper approach’s effective features. S-shaped and V-shaped transfer functions are utilized to alter the continuous version of AO into two binary algorithms, SBAO and VBAO. Then, the effective features from the medical datasets were selected for disease detection using the proposed algorithms. The gained results of the SBAO and VBAO were compared to six binary algorithms on seven medical datasets. The experimental findings demonstrate that the SBAO method can compete and/or achieve superior results on most datasets. In addition, the proposed algorithm was tested using the COVID-19 real-dataset. As a result of the findings, SBAO significantly outperforms other comparative algorithms and has shown to be more accurate than other comparative algorithms regarding predicting accuracy and minimizing the number of selected features. The BAO’s performance over numerous iterations indicates its ability to find effective features while balancing exploration and exploitation. The algorithm provides speedy convergence, global exploration capabilities, and good search efficiency during the search process. In future research, the BAO variants can be applied to a variety of datasets and real-world situations by using various classifiers. Using the BAO to solve issues with many objectives might also be interesting.
Author Contributions
Conceptualization, M.H.N.-S. and S.T.; methodology, M.H.N.-S. and S.T.; software, M.H.N.-S. and S.T.; literature search, M.H.N.-S. and S.T.; validation, M.H.N.-S. and S.T.; formal analysis, M.H.N.-S. and S.T.; investigation, M.H.N.-S. and S.T.; resources, M.H.N.-S., S.T., S.M. and L.A.; data curation, M.H.N.-S., S.T., S.M. and L.A.; writing, M.H.N.-S. and S.T.; original draft preparation, M.H.N.-S. and S.T.; writing—review and editing, M.H.N.-S., S.T., S.M. and L.A.; visualization, M.H.N.-S. and S.T.; supervision, M.H.N.-S. and S.M.; project administration, M.H.N.-S. and S.M. All authors have read and agreed to the published version of the manuscript.
Funding
This research received no external funding.
Institutional Review Board Statement
Not applicable.
Informed Consent Statement
Not applicable.
Data Availability Statement
The data and code used in the research may be obtained from the corresponding author upon request.
Conflicts of Interest
The authors declare no conflict of interest.
Appendix A
The appropriate values for the parameters α and δ used in the BAO are found using some pretests on the Leukemia dataset. Table A1. shows the comparison of mean accuracy and selected number of features by the different variants of SBAO and VBAO using values from set {0.1, 0.5, and 0.9}. The results indicate that the BAO can achieve better performance when α = 0.1 and δ = 0.1.
Table A1.
The pretests’ results for tuning the parameters α and δ.
Table A1.
The pretests’ results for tuning the parameters α and δ.
| α = 0.1 | α = 0.5 | α = 0.9 | ||||||||
|---|---|---|---|---|---|---|---|---|---|---|
| BAO Variants | Metric | δ = 0.1 | δ = 0.5 | δ = 0.9 | δ = 0.1 | δ = 0.5 | δ = 0.9 | δ = 0.1 | δ = 0.5 | δ = 0.9 |
| SBAO-1 | Acc. | 0.9714 | 0.9762 | 1.0000 | 1.0000 | 0.9762 | 1.0000 | 1.0000 | 0.9762 | 0.9762 |
| #SF. | 1316.70 | 486.00 | 2147.33 | 1581.67 | 1318.66 | 1375.00 | 2236.33 | 1513.00 | 1809.67 | |
| SBAO-2 | Acc. | 0.9929 | 0.9762 | 1.0000 | 1.0000 | 0.9524 | 1.0000 | 1.0000 | 1.0000 | 0.9762 |
| #SF. | 1151.80 | 3049.00 | 2079.00 | 1955.33 | 1310.667 | 1717.00 | 1738.00 | 1284.67 | 1516.00 | |
| SBAO-3 | Acc. | 0.9786 | 0.9524 | 0.9762 | 1.0000 | 1.0000 | 0.9762 | 0.9762 | 1.0000 | 0.9762 |
| #SF. | 1739.80 | 1043.00 | 2858.67 | 2845.67 | 2703.667 | 1948.00 | 3050.00 | 2092.67 | 1791.67 | |
| SBAO-4 | Acc. | 0.9571 | 0.9762 | 0.9762 | 1.0000 | 1.0000 | 1.0000 | 1.0000 | 0.9762 | 0.9524 |
| #SF. | 2111.30 | 2804.00 | 2383.00 | 2412.67 | 3626 | 2306.67 | 3518.00 | 2143.67 | 2123.00 | |
| VBAO-1 | Acc. | 0.9429 | 0.9286 | 0.9524 | 0.9524 | 0.9524 | 0.9048 | 0.9286 | 0.9286 | 0.9286 |
| #SF. | 228.50 | 1292.00 | 265.33 | 1278.67 | 464.6667 | 501.33 | 163.00 | 1752.67 | 1497.67 | |
| VBAO-2 | Acc. | 0.9357 | 0.9524 | 0.9048 | 0.9286 | 0.9286 | 0.9286 | 0.9224 | 0.9286 | 0.9124 |
| #SF. | 1151.90 | 745.67 | 1195.67 | 308.67 | 2570.667 | 741.33 | 347.33 | 2073.00 | 161.67 | |
| VBAO-3 | Acc. | 0.9286 | 0.9124 | 0.9286 | 0.9162 | 0.9286 | 0.9086 | 0.9048 | 0.9286 | 0.9286 |
| #SF. | 1457.60 | 1975.33 | 1603.33 | 1471.00 | 1822.667 | 1854.33 | 2413.33 | 1490.00 | 1624.33 | |
| VBAO-4 | Acc. | 0.9357 | 0.9286 | 0.9286 | 0.9048 | 0.9286 | 0.9286 | 0.9286 | 0.9286 | 0.9286 |
| #SF. | 2651.80 | 2045.33 | 2003.33 | 1396.67 | 1563.333 | 2866.67 | 2818.33 | 1940.33 | 701.00 | |
References
- Guyon, I.; Elisseeff, A. An introduction to variable and feature selection. J. Mach. Learn. Res. 2003, 3, 1157–1182. [Google Scholar]
- Liu, H.; Motoda, H. Feature Selection for Knowledge Discovery and Data Mining; Springer Science & Business Media: Berlin/Heidelberg, Germany, 2012; Volume 454. [Google Scholar]
- Kohavi, R.; John, G.H. Wrappers for feature subset selection. Artif. Intell. 1997, 97, 273–324. [Google Scholar] [CrossRef] [Green Version]
- Liu, H.; Motoda, H. Feature Extraction, Construction and Selection: A Data Mining Perspective; Springer Science & Business Media: Berlin/Heidelberg, Germany, 1998; Volume 453. [Google Scholar]
- Dhaenens, C.; Jourdan, L. Metaheuristics for Big Data; John Wiley & Sons: Hoboken, NJ, USA, 2016. [Google Scholar]
- Luukka, P. Feature selection using fuzzy entropy measures with similarity classifier. Expert Syst. Appl. 2011, 38, 4600–4607. [Google Scholar] [CrossRef]
- Dash, M.; Liu, H. Feature selection for classification. Intell. Data Anal. 1997, 1, 131–156. [Google Scholar] [CrossRef]
- Talbi, E.-G. Metaheuristics: From Design to Implementation; John Wiley & Sons: Hoboken, NJ, USA, 2009; Volume 74. [Google Scholar]
- El-Hasnony, I.M.; Barakat, S.I.; Elhoseny, M.; Mostafa, R.R. Improved feature selection model for big data analytics. IEEE Access 2020, 8, 66989–67004. [Google Scholar] [CrossRef]
- Yang, X.-S. Nature-Inspired Metaheuristic Algorithms; Luniver Press: Bristol, UK, 2010. [Google Scholar]
- Lopez-Garcia, P.; Masegosa, A.D.; Osaba, E.; Onieva, E.; Perallos, A. Ensemble classification for imbalanced data based on feature space partitioning and hybrid metaheuristics. Appl. Intell. 2019, 49, 2807–2822. [Google Scholar] [CrossRef] [Green Version]
- Shukla, A.K.; Singh, P.; Vardhan, M. Gene selection for cancer types classification using novel hybrid metaheuristics approach. Swarm Evol. Comput. 2020, 54, 100661. [Google Scholar] [CrossRef]
- Oliva, D.; Cuevas, E.; Pajares, G. Parameter identification of solar cells using artificial bee colony optimization. Energy 2014, 72, 93–102. [Google Scholar] [CrossRef]
- Nadimi-Shahraki, M.H.; Taghian, S.; Mirjalili, S.; Abualigah, L.; Abd Elaziz, M.; Oliva, D. EWOA-OPF: Effective Whale Optimization Algorithm to Solve Optimal Power Flow Problem. Electronics 2021, 10, 2975. [Google Scholar] [CrossRef]
- Zhang, Z.; Hong, W.-C. Application of variational mode decomposition and chaotic grey wolf optimizer with support vector regression for forecasting electric loads. Knowl. Based Syst. 2021, 228, 107297. [Google Scholar] [CrossRef]
- Ali, M.H.; Kamel, S.; Hassan, M.H.; Tostado-Véliz, M.; Zawbaa, H.M. An improved wild horse optimization algorithm for reliability based optimal DG planning of radial distribution networks. Energy Rep. 2022, 8, 582–604. [Google Scholar] [CrossRef]
- Sharma, S.; Saha, A.K.; Lohar, G. Optimization of weight and cost of cantilever retaining wall by a hybrid metaheuristic algorithm. Eng. Comput. 2021, 1–27. [Google Scholar] [CrossRef]
- Mergos, P.E. Optimum design of 3D reinforced concrete building frames with the flower pollination algorithm. J. Build. Eng. 2021, 44, 102935. [Google Scholar] [CrossRef]
- Etaati, B.; Dehkordi, A.A.; Sadollah, A.; El-Abd, M.; Neshat, M. A Comparative State-of-the-Art Constrained Metaheuristics Framework for TRUSS Optimisation on Shape and Sizing. Math. Probl. Eng. 2022, 6078986. [Google Scholar] [CrossRef]
- Nadimi-Shahraki, M.H.; Moeini, E.; Taghian, S.; Mirjalili, S. DMFO-CD: A Discrete Moth-Flame Optimization Algorithm for Community Detection. Algorithms 2021, 14, 314. [Google Scholar] [CrossRef]
- Xie, H.; Zhang, L.; Lim, C.P.; Yu, Y.; Liu, C.; Liu, H.; Walters, J. Improving K-means clustering with enhanced firefly algorithms. Appl. Soft Comput. 2019, 84, 105763. [Google Scholar] [CrossRef]
- Masdari, M.; Barshandeh, S. Discrete teaching–learning-based optimization algorithm for clustering in wireless sensor networks. J. Ambient. Intell. Humaniz. Comput. 2020, 11, 5459–5476. [Google Scholar] [CrossRef]
- Rahnema, N.; Gharehchopogh, F.S. An improved artificial bee colony algorithm based on whale optimization algorithm for data clustering. Multimed. Tools Appl. 2020, 79, 32169–32194. [Google Scholar] [CrossRef]
- Trinh, C.; Huynh, B.; Bidaki, M.; Rahmani, A.M.; Hosseinzadeh, M.; Masdari, M. Optimized fuzzy clustering using moth-flame optimization algorithm in wireless sensor networks. Artif. Intell. Rev. 2022, 55, 1915–1945. [Google Scholar] [CrossRef]
- Oliva, D.; Hinojosa, S.; Cuevas, E.; Pajares, G.; Avalos, O.; Gálvez, J. Cross entropy based thresholding for magnetic resonance brain images using Crow Search Algorithm. Expert Syst. Appl. 2017, 79, 164–180. [Google Scholar] [CrossRef]
- Chakraborty, S.; Saha, A.K.; Nama, S.; Debnath, S. COVID-19 X-ray image segmentation by modified whale optimization algorithm with population reduction. Comput. Biol. Med. 2021, 139, 104984. [Google Scholar] [CrossRef]
- Houssein, E.H.; Helmy, B.E.-D.; Oliva, D.; Jangir, P.; Premkumar, M.; Elngar, A.A.; Shaban, H. An efficient multi-thresholding based COVID-19 CT images segmentation approach using an improved equilibrium optimizer. Biomed. Signal Process. Control 2022, 73, 103401. [Google Scholar] [CrossRef]
- Mohakud, R.; Dash, R. Skin cancer image segmentation utilizing a novel EN-GWO based hyper-parameter optimized FCEDN. J. King Saud Univ. Comput. Inf. Sci. 2022. [Google Scholar] [CrossRef]
- Chakraborty, S.; Sharma, S.; Saha, A.K.; Chakraborty, S. SHADE–WOA: A metaheuristic algorithm for global optimization. Appl. Soft Comput. 2021, 113, 107866. [Google Scholar] [CrossRef]
- Nadimi-Shahraki, M.H.; Taghian, S.; Mirjalili, S.; Ewees, A.A.; Abualigah, L.; Abd Elaziz, M. MTV-MFO: Multi-trial vector-based moth-flame optimization Algorithm. Symmetry 2021, 13, 2388. [Google Scholar] [CrossRef]
- Singh, H.; Singh, B.; Kaur, M. An improved elephant herding optimization for global optimization problems. Eng. Comput. 2021, 1–33. [Google Scholar] [CrossRef]
- Gharehchopogh, F.S. An Improved Tunicate Swarm Algorithm with Best-random Mutation Strategy for Global Optimization Problems. J. Bionic Eng. 2022, 1–26. [Google Scholar] [CrossRef]
- Mergos, P.E.; Yang, X.-S. Flower pollination algorithm with pollinator attraction. Evol. Intell. 2022, 15, 1–17. [Google Scholar] [CrossRef]
- Nadimi-Shahraki, M.H.; Fatahi, A.; Zamani, H.; Mirjalili, S.; Abualigah, L. An Improved Moth-Flame Optimization Algorithm with Adaptation Mechanism to Solve Numerical and Mechanical Engineering Problems. Entropy 2021, 23, 1637. [Google Scholar] [CrossRef]
- Yang, Q.; Hua, L.; Gao, X.; Xu, D.; Lu, Z.; Jeon, S.-W.; Zhang, J. Stochastic Cognitive Dominance Leading Particle Swarm Optimization for Multimodal Problems. Mathematics 2022, 10, 761. [Google Scholar] [CrossRef]
- Sayarshad, H.R. Using bees algorithm for material handling equipment planning in manufacturing systems. Int. J. Adv. Manuf. Technol. 2010, 48, 1009–1018. [Google Scholar] [CrossRef]
- Zhou, Y.; Yang, X.; Tao, L.; Yang, L. Transformer Fault Diagnosis Model Based on Improved Gray Wolf Optimizer and Probabilistic Neural Network. Energies 2021, 14, 3029. [Google Scholar] [CrossRef]
- Varaee, H.; Shishegaran, A.; Ghasemi, M.R. The life-cycle cost analysis based on probabilistic optimization using a novel algorithm. J. Build. Eng. 2021, 43, 103032. [Google Scholar] [CrossRef]
- Rodríguez, A.; Camarena, O.; Cuevas, E.; Aranguren, I.; Valdivia-G, A.; Morales-Castañeda, B.; Zaldívar, D.; Pérez-Cisneros, M. Group-based synchronous-asynchronous Grey Wolf Optimizer. Appl. Math. Model. 2021, 93, 226–243. [Google Scholar] [CrossRef]
- Asghari, K.; Masdari, M.; Gharehchopogh, F.S.; Saneifard, R. Multi-swarm and chaotic whale-particle swarm optimization algorithm with a selection method based on roulette wheel. Expert Syst. 2021, 38, e12779. [Google Scholar] [CrossRef]
- Ghasemi, M.R.; Varaee, H. Enhanced IGMM optimization algorithm based on vibration for numerical and engineering problems. Eng. Comput. 2018, 34, 91–116. [Google Scholar] [CrossRef]
- Oussalah, M.; Hessami, A.; Navimipour, N.J.; Rahmani, A.M.; Navin, A.H.; Hosseinzadeh, M. Job scheduling in the Expert Cloud based on genetic algorithms. Kybernetes 2014, 43, 1262–1275. [Google Scholar]
- Alboaneen, D.; Tianfield, H.; Zhang, Y.; Pranggono, B. A metaheuristic method for joint task scheduling and virtual machine placement in cloud data centers. Future Gener. Comput. Syst. 2021, 115, 201–212. [Google Scholar] [CrossRef]
- Attiya, I.; Abualigah, L.; Elsadek, D.; Chelloug, S.A.; Abd Elaziz, M. An Intelligent Chimp Optimizer for Scheduling of IoT Application Tasks in Fog Computing. Mathematics 2022, 10, 1100. [Google Scholar] [CrossRef]
- Dashti, S.E.; Rahmani, A.M. Dynamic VMs placement for energy efficiency by PSO in cloud computing. J. Exp. Theor. Artif. Intell. 2016, 28, 97–112. [Google Scholar] [CrossRef]
- Satpathy, A.; Addya, S.K.; Turuk, A.K.; Majhi, B.; Sahoo, G. Crow search based virtual machine placement strategy in cloud data centers with live migration. Comput. Electr. Eng. 2018, 69, 334–350. [Google Scholar] [CrossRef]
- Banaie-Dezfouli, M.; Nadimi-Shahraki, M.H.; Zamani, H. A Novel Tour Planning Model using Big Data. In Proceedings of the 2018 International Conference on Artificial Intelligence and Data Processing (IDAP), Malatya, Turkey, 28–30 September 2018; pp. 1–6. [Google Scholar]
- Cai, J.; Zhang, F.; Sun, S.; Li, T. A meta-heuristic assisted underwater glider path planning method. Ocean. Eng. 2021, 242, 110121. [Google Scholar] [CrossRef]
- Jiang, Y.; Wu, Q.; Zhang, G.; Zhu, S.; Xing, W. A diversified group teaching optimization algorithm with segment-based fitness strategy for unmanned aerial vehicle route planning. Expert Syst. Appl. 2021, 185, 115690. [Google Scholar] [CrossRef]
- Neshat, M.; Nezhad, M.M.; Abbasnejad, E.; Mirjalili, S.; Tjernberg, L.B.; Garcia, D.A.; Alexander, B.; Wagner, M. A deep learning-based evolutionary model for short-term wind speed forecasting: A case study of the Lillgrund offshore wind farm. Energy Convers. Manag. 2021, 236, 114002. [Google Scholar] [CrossRef]
- Neshat, M.; Alexander, B.; Wagner, M. A hybrid cooperative co-evolution algorithm framework for optimising power take off and placements of wave energy converters. Inf. Sci. 2020, 534, 218–244. [Google Scholar] [CrossRef]
- Nadimi-Shahraki, M.H.; Taghian, S.; Mirjalili, S. An improved grey wolf optimizer for solving engineering problems. Expert Syst. Appl. 2021, 166, 113917. [Google Scholar] [CrossRef]
- Koza, J.R. Genetic programming. In Search Methodologies; Springer: Berlin/Heidelberg, Germany, 1997. [Google Scholar]
- Rechenberg, I. Evolution Strategy: Optimization of Technical systems by means of biological evolution. Holzboog Stuttg. 1973, 104, 15–16. [Google Scholar]
- Storn, R.; Price, K. Differential evolution–a simple and efficient heuristic for global optimization over continuous spaces. J. Glob. Optim. 1997, 11, 341–359. [Google Scholar] [CrossRef]
- Yao, X.; Liu, Y.; Lin, G. Evolutionary programming made faster. IEEE Trans. Evol. Comput. 1999, 3, 82–102. [Google Scholar] [CrossRef] [Green Version]
- Holland, J.H. Genetic algorithms. Sci. Am. 1992, 267, 66–73. [Google Scholar] [CrossRef]
- Simon, D. Biogeography-based optimization. IEEE Trans. Evol. Comput. 2008, 12, 702–713. [Google Scholar] [CrossRef] [Green Version]
- Eberhart, R.; Kennedy, J. A new optimizer using particle swarm theory. In Proceedings of the MHS’95. Sixth International Symposium on Micro Machine and Human Science, Nagoya, Japan, 4–6 October 1995; pp. 39–43. [Google Scholar]
- Dorigo, M.; Di Caro, G. Ant colony optimization: A new meta-heuristic. In Proceedings of the 1999 congress on evolutionary computation-CEC99 (Cat. No. 99TH8406), Washington, DC, USA, 6–9 July 1999; pp. 1470–1477. [Google Scholar]
- Karaboga, D.; Basturk, B. A powerful and efficient algorithm for numerical function optimization: Artificial bee colony (ABC) algorithm. J. Glob. Optim. 2007, 39, 459–471. [Google Scholar] [CrossRef]
- Yang, X.-S. A new metaheuristic bat-inspired algorithm. In Nature Inspired Cooperative Strategies for Optimization (NICSO 2010); Springer: Berlin/Heidelberg, Germany, 2010; pp. 65–74. [Google Scholar]
- Kirkpatrick, S.; Gelatt, C.D.; Vecchi, M.P. Optimization by simulated annealing. Science 1983, 220, 671–680. [Google Scholar] [CrossRef]
- Kaveh, A.; Dadras, A. A novel meta-heuristic optimization algorithm: Thermal exchange optimization. Adv. Eng. Softw. 2017, 110, 69–84. [Google Scholar] [CrossRef]
- Erol, O.K.; Eksin, I. A new optimization method: Big bang–big crunch. Adv. Eng. Softw. 2006, 37, 106–111. [Google Scholar] [CrossRef]
- Zhao, W.; Wang, L.; Zhang, Z. Atom search optimization and its application to solve a hydrogeologic parameter estimation problem. Knowl. Based Syst. 2019, 163, 283–304. [Google Scholar] [CrossRef]
- Wolpert, D.H.; Macready, W.G. No free lunch theorems for optimization. IEEE Trans. Evol. Comput. 1997, 1, 67–82. [Google Scholar] [CrossRef] [Green Version]
- Nadimi-Shahraki, M.H.; Taghian, S.; Mirjalili, S.; Faris, H. MTDE: An effective multi-trial vector-based differential evolution algorithm and its applications for engineering design problems. Appl. Soft Comput. 2020, 97, 106761. [Google Scholar] [CrossRef]
- Li, C.; Li, J.; Chen, H.; Jin, M.; Ren, H. Enhanced Harris hawks optimization with multi-strategy for global optimization tasks. Expert Syst. Appl. 2021, 185, 115499. [Google Scholar] [CrossRef]
- Nadimi-Shahraki, M.H.; Taghian, S.; Mirjalili, S.; Zamani, H.; Bahreininejad, A. GGWO: Gaze cues learning-based grey wolf optimizer and its applications for solving engineering problems. J. Comput. Sci. 2022, 61, 101636. [Google Scholar] [CrossRef]
- Abualigah, L.; Yousri, D.; Abd Elaziz, M.; Ewees, A.A.; Al-qaness, M.A.; Gandomi, A.H. Aquila Optimizer: A novel meta-heuristic optimization Algorithm. Comput. Ind. Eng. 2021, 157, 107250. [Google Scholar] [CrossRef]
- Faris, H.; Habib, M.; Almomani, I.; Eshtay, M.; Aljarah, I. Optimizing extreme learning machines using chains of salps for efficient Android ransomware detection. Appl. Sci. 2020, 10, 3706. [Google Scholar] [CrossRef]
- Alazzam, H.; Sharieh, A.; Sabri, K.E. A feature selection algorithm for intrusion detection system based on pigeon inspired optimizer. Expert Syst. Appl. 2020, 148, 113249. [Google Scholar] [CrossRef]
- Zhou, Y.; Cheng, G.; Jiang, S.; Dai, M. Building an efficient intrusion detection system based on feature selection and ensemble classifier. Comput. Netw. 2020, 174, 107247. [Google Scholar] [CrossRef] [Green Version]
- Turabieh, H.; Mafarja, M.; Li, X. Iterated feature selection algorithms with layered recurrent neural network for software fault prediction. Expert Syst. Appl. 2019, 122, 27–42. [Google Scholar] [CrossRef]
- Catal, C.; Diri, B. Investigating the effect of dataset size, metrics sets, and feature selection techniques on software fault prediction problem. Inf. Sci. 2009, 179, 1040–1058. [Google Scholar] [CrossRef]
- Ververidis, D.; Kotropoulos, C. Fast and accurate sequential floating forward feature selection with the Bayes classifier applied to speech emotion recognition. Signal Process. 2008, 88, 2956–2970. [Google Scholar] [CrossRef]
- Liu, Z.-T.; Wu, M.; Cao, W.-H.; Mao, J.-W.; Xu, J.-P.; Tan, G.-Z. Speech emotion recognition based on feature selection and extreme learning machine decision tree. Neurocomputing 2018, 273, 271–280. [Google Scholar] [CrossRef]
- Wang, G.; Ma, J.; Yang, S. An improved boosting based on feature selection for corporate bankruptcy prediction. Expert Syst. Appl. 2014, 41, 2353–2361. [Google Scholar] [CrossRef]
- Ravi, V.; Pramodh, C. Threshold accepting trained principal component neural network and feature subset selection: Application to bankruptcy prediction in banks. Appl. Soft Comput. 2008, 8, 1539–1548. [Google Scholar] [CrossRef]
- Jadhav, S.; He, H.; Jenkins, K. Information gain directed genetic algorithm wrapper feature selection for credit rating. Appl. Soft Comput. 2018, 69, 541–553. [Google Scholar] [CrossRef] [Green Version]
- Lee, M.-C. Using support vector machine with a hybrid feature selection method to the stock trend prediction. Expert Syst. Appl. 2009, 36, 10896–10904. [Google Scholar] [CrossRef]
- Hosseinalipour, A.; Gharehchopogh, F.S.; Masdari, M.; Khademi, A. A novel binary farmland fertility algorithm for feature selection in analysis of the text psychology. Appl. Intell. 2021, 51, 4824–4859. [Google Scholar] [CrossRef]
- Zhang, Y.; Wang, S.; Phillips, P.; Ji, G. Binary PSO with mutation operator for feature selection using decision tree applied to spam detection. Knowl. Based Syst. 2014, 64, 22–31. [Google Scholar] [CrossRef]
- Mohammadzadeh, H.; Gharehchopogh, F.S. A novel hybrid whale optimization algorithm with flower pollination algorithm for feature selection: Case study Email spam detection. Comput. Intell. 2021, 37, 176–209. [Google Scholar] [CrossRef]
- Behrens, T.; Zhu, A.-X.; Schmidt, K.; Scholten, T. Multi-scale digital terrain analysis and feature selection for digital soil mapping. Geoderma 2010, 155, 175–185. [Google Scholar] [CrossRef]
- Akay, M.F. Support vector machines combined with feature selection for breast cancer diagnosis. Expert Syst. Appl. 2009, 36, 3240–3247. [Google Scholar] [CrossRef]
- Shaban, W.M.; Rabie, A.H.; Saleh, A.I.; Abo-Elsoud, M. A new COVID-19 Patients Detection Strategy (CPDS) based on hybrid feature selection and enhanced KNN classifier. Knowl. Based Syst. 2020, 205, 106270. [Google Scholar] [CrossRef]
- Chatterjee, S.; Biswas, S.; Majee, A.; Sen, S.; Oliva, D.; Sarkar, R. Breast cancer detection from thermal images using a Grunwald-Letnikov-aided Dragonfly algorithm-based deep feature selection method. Comput. Biol. Med. 2022, 141, 105027. [Google Scholar] [CrossRef] [PubMed]
- Ewees, A.A.; Al-qaness, M.A.; Abualigah, L.; Oliva, D.; Algamal, Z.Y.; Anter, A.M.; Ali Ibrahim, R.; Ghoniem, R.M.; Abd Elaziz, M. Boosting Arithmetic Optimization Algorithm with Genetic Algorithm Operators for Feature Selection: Case Study on Cox Proportional Hazards Model. Mathematics 2021, 9, 2321. [Google Scholar] [CrossRef]
- Yan, K.; Zhang, D. Feature selection and analysis on correlated gas sensor data with recursive feature elimination. Sens. Actuators B Chem. 2015, 212, 353–363. [Google Scholar] [CrossRef]
- Huang, Y.; Li, F.; Bao, G.; Xiao, Q.; Wang, H. Modeling the effects of biodiesel chemical composition on iodine value using novel machine learning algorithm. Fuel 2022, 316, 123348. [Google Scholar] [CrossRef]
- Jain, I.; Jain, V.K.; Jain, R. Correlation feature selection based improved-binary particle swarm optimization for gene selection and cancer classification. Appl. Soft Comput. 2018, 62, 203–215. [Google Scholar] [CrossRef]
- Lu, H.; Chen, J.; Yan, K.; Jin, Q.; Xue, Y.; Gao, Z. A hybrid feature selection algorithm for gene expression data classification. Neurocomputing 2017, 256, 56–62. [Google Scholar] [CrossRef]
- Feng, C.; Cui, M.; Hodge, B.-M.; Zhang, J. A data-driven multi-model methodology with deep feature selection for short-term wind forecasting. Appl. Energy 2017, 190, 1245–1257. [Google Scholar] [CrossRef] [Green Version]
- Li, S.; Wang, P.; Goel, L. Wind power forecasting using neural network ensembles with feature selection. IEEE Trans. Sustain. Energy 2015, 6, 1447–1456. [Google Scholar] [CrossRef]
- Taghian, S.; Nadimi-Shahraki, M.H.; Zamani, H. Comparative Analysis of Transfer Function-based Binary Metaheuristic Algorithms for Feature Selection. In Proceedings of the 2018 International Conference on Artificial Intelligence and Data Processing (IDAP), Malatya, Turkey, 28–30 September 2018; pp. 1–6. [Google Scholar]
- Kennedy, J.; Eberhart, R.C. A discrete binary version of the particle swarm algorithm. In Proceedings of the 1997 IEEE International Conference on Systems, Man, and Cybernetics. Computational Cybernetics and Simulation, Orlando, FL, USA, 12–15 October 1997; pp. 4104–4108. [Google Scholar]
- Mirjalili, S.; Lewis, A. S-shaped versus V-shaped transfer functions for binary particle swarm optimization. Swarm Evol. Comput. 2013, 9, 1–14. [Google Scholar] [CrossRef]
- Mirjalili, S.; Zhang, H.; Mirjalili, S.; Chalup, S.; Noman, N. A Novel U-Shaped Transfer Function for Binary Particle Swarm Optimisation. In Proceedings of the 9th International Conference on Soft Computing for Problem Solving, SocProS, Liverpool, UK, 2–4 September 2019; pp. 241–259. [Google Scholar]
- He, Y.; Zhang, F.; Mirjalili, S.; Zhang, T. Novel binary differential evolution algorithm based on Taper-shaped transfer functions for binary optimization problems. Swarm Evol. Comput. 2021, 69, 101022. [Google Scholar] [CrossRef]
- Engelbrecht, A.P.; Pampara, G. Binary differential evolution strategies. In Proceedings of the IEEE Congress on Evolutionary Computation, CEC 2007, Piscataway, NJ, USA, 25–28 September 2007; pp. 1942–1947. [Google Scholar]
- Kundu, R.; Chattopadhyay, S.; Cuevas, E.; Sarkar, R. AltWOA: Altruistic Whale Optimization Algorithm for feature selection on microarray datasets. Comput. Biol. Med. 2022, 144, 105349. [Google Scholar] [CrossRef]
- Rashedi, E.; Nezamabadi-Pour, H.; Saryazdi, S. BGSA: Binary gravitational search algorithm. Nat. Comput. 2010, 9, 727–745. [Google Scholar] [CrossRef]
- Emary, E.; Zawbaa, H.M.; Hassanien, A.E. Binary grey wolf optimization approaches for feature selection. Neurocomputing 2016, 172, 371–381. [Google Scholar] [CrossRef]
- Arora, S.; Anand, P. Binary butterfly optimization approaches for feature selection. Expert Syst. Appl. 2019, 116, 147–160. [Google Scholar] [CrossRef]
- Zhang, B.; Yang, X.; Hu, B.; Liu, Z.; Li, Z. OEbBOA: A novel improved binary butterfly optimization approaches with various strategies for feature selection. IEEE Access 2020, 8, 67799–67812. [Google Scholar] [CrossRef]
- Taghian, S.; Nadimi-Shahraki, M.H. A Binary Metaheuristic Algorithm for Wrapper Feature Selection. Int. J. Comput. Sci. Eng. (IJCSE) 2019, 8, 168–172. [Google Scholar]
- Li, A.-D.; Xue, B.; Zhang, M. Improved binary particle swarm optimization for feature selection with new initialization and search space reduction strategies. Appl. Soft Comput. 2021, 106, 107302. [Google Scholar] [CrossRef]
- Nadimi-Shahraki, M.H.; Banaie-Dezfouli, M.; Zamani, H.; Taghian, S.; Mirjalili, S. B-MFO: A Binary Moth-Flame Optimization for Feature Selection from Medical Datasets. Computers 2021, 10, 136. [Google Scholar] [CrossRef]
- Awadallah, M.A.; Hammouri, A.I.; Al-Betar, M.A.; Braik, M.S.; Abd Elaziz, M. Binary Horse herd optimization algorithm with crossover operators for feature selection. Comput. Biol. Med. 2022, 141, 105152. [Google Scholar] [CrossRef]
- Albashish, D.; Hammouri, A.I.; Braik, M.; Atwan, J.; Sahran, S. Binary biogeography-based optimization based SVM-RFE for feature selection. Appl. Soft Comput. 2021, 101, 107026. [Google Scholar] [CrossRef]
- Hussan, M.R.; Sarwar, M.I.; Sarwar, A.; Tariq, M.; Ahmad, S.; Shah Noor Mohamed, A.; Khan, I.A.; Ali Khan, M.M. Aquila Optimization Based Harmonic Elimination in a Modified H-Bridge Inverter. Sustainability 2022, 14, 929. [Google Scholar] [CrossRef]
- Wang, S.; Jia, H.; Abualigah, L.; Liu, Q.; Zheng, R. An improved hybrid aquila optimizer and harris hawks algorithm for solving industrial engineering optimization problems. Processes 2021, 9, 1551. [Google Scholar] [CrossRef]
- Nakamura, R.Y.; Pereira, L.A.; Costa, K.; Rodrigues, D.; Papa, J.P.; Yang, X.-S. BBA: A binary bat algorithm for feature selection. In Proceedings of the 25th SIBGRAPI Conference on Graphics, Patterns and Images (SIBGRAPI), Ouro Preto, Brazil, 22–25 August 2012; pp. 291–297. [Google Scholar]
- Mafarja, M.M.; Eleyan, D.; Jaber, I.; Hammouri, A.; Mirjalili, S. Binary dragonfly algorithm for feature selection. In Proceedings of the 2017 International Conference on New Trends in Computing Sciences (ICTCS), Amman, Jordan, 11–13 October 2017; pp. 12–17. [Google Scholar]
- Taghian, S.; Nadimi-Shahraki, M.H. Binary Sine Cosine Algorithms for Feature Selection from Medical Data. arXiv 2019, arXiv:1911.07805. [Google Scholar] [CrossRef]
- Derrac, J.; García, S.; Molina, D.; Herrera, F. A practical tutorial on the use of nonparametric statistical tests as a methodology for comparing evolutionary and swarm intelligence algorithms. Swarm Evol. Comput. 2011, 1, 3–18. [Google Scholar] [CrossRef]
- Blake, C.L.; Merz, C.J. UCI Repository of Machine Learning Databases; University of California: Oakland, CA, USA, 1998. [Google Scholar]
- Zhu, Z.; Ong, Y.-S.; Dash, M. Markov blanket-embedded genetic algorithm for gene selection. Pattern Recognit. 2007, 40, 3236–3248. [Google Scholar] [CrossRef]
- Iwendi, C.; Bashir, A.K.; Peshkar, A.; Sujatha, R.; Chatterjee, J.M.; Pasupuleti, S.; Mishra, R.; Pillai, S.; Jo, O. COVID-19 patient health prediction using boosted random forest algorithm. Front. Public Health 2020, 8, 357. [Google Scholar] [CrossRef] [PubMed]
Publisher’s Note: MDPI stays neutral with regard to jurisdictional claims in published maps and institutional affiliations. |
© 2022 by the authors. Licensee MDPI, Basel, Switzerland. This article is an open access article distributed under the terms and conditions of the Creative Commons Attribution (CC BY) license (https://creativecommons.org/licenses/by/4.0/).