Vibrational Resonance and Electrical Activity Behavior of a Fractional-Order FitzHugh–Nagumo Neuron System
Abstract
:1. Introduction
2. Fractional-Order FitzHugh–Nagumo Neuron Model
3. Vibrational Resonance in the Fractional-Order FHN Neuron Model
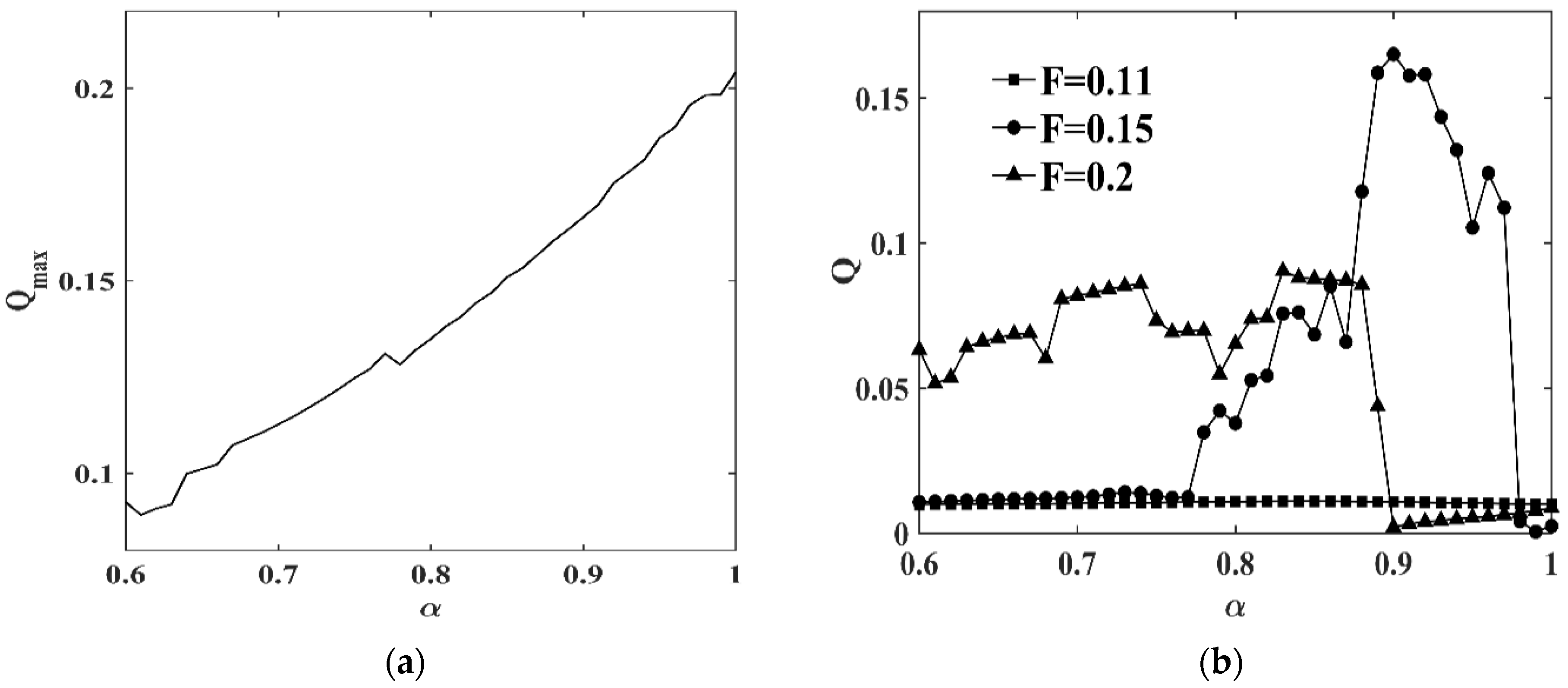
3.1. VR in the Fractional-Order FHN Neuron Model without Time Delay
3.2. Multiple VR in Fractional-Order FHN Neuron Model with Delay
4. Dynamical Behavior of Fractional-Order FHN Neuron Model
4.1. Effect of the Fractional-Order
4.2. Effect of the Time Delay
5. Conclusions
Author Contributions
Funding
Institutional Review Board Statement
Informed Consent Statement
Data Availability Statement
Conflicts of Interest
References
- Landa, P.S.; Mcclintock, P. Vibrational resonance. J. Phys. A 2000, 33, L433–L438. [Google Scholar] [CrossRef]
- Mcnamara, B.; Wiesenfeld, K. Theory of stochastic resonance. Phys. Rev. A 1989, 39, 4854–4869. [Google Scholar] [CrossRef] [PubMed]
- Maksimov, A.O. On the subharmonic emission of gas bubbles under two-frequency excitation. Ultrasonics 1997, 35, 79–86. [Google Scholar] [CrossRef]
- Volkov, E.I.; Ullner, E.; Zaikin, A.A.; Kurths, J. Oscillatory amplification of stochastic resonance in excitable systems. Phys. Rev. E 2003, 68, 026214. [Google Scholar] [CrossRef] [PubMed] [Green Version]
- Gherm, V.E.; Zernov, N.N.; Lundborg, B.; Västberg, A. The two-frequency coherence function for the fluctuating ionosphere: Narrowband pulse propagation. J. Atmos. Sol.-Terr. Phys. 1997, 59, 1831–1841. [Google Scholar] [CrossRef]
- Victor, J.D.; Conte, M.M. Two-frequency analysis of interactions elicited by Vernier stimuli. Vis. Neurosci. 2000, 17, 959–973. [Google Scholar] [CrossRef] [Green Version]
- Yao, C.; Liu, Y.; Zhan, M. Frequency-resonance-enhanced vibrational resonance in bistable systems. Phys. Rev. E 2011, 83, 061122. [Google Scholar] [CrossRef]
- Abusoua, A.; Daqaq, M.F. Experimental evidence of vibrational resonance in a mechanical bistable twin-well oscillator. J. Comput. Nonlinear Dyn. 2018, 3, 061002. [Google Scholar] [CrossRef]
- Chizhevsky, V.N. Vibrational higher-order resonances in an overdamped bistable system with biharmonic excitation. Phys. Rev. E 2014, 90, 042924. [Google Scholar] [CrossRef]
- Yang, J.; Sanjuan, M.; Liu, H. Bifurcation and resonance in a fractional Mathieu-Duffing oscillator. Eur. Phys. J. B 2015, 88, 310. [Google Scholar] [CrossRef]
- Yang, Z.; Ning, L. Vibrational resonance in a harmonically trapped potential system with time delay. Pramana 2019, 92, 1–12. [Google Scholar] [CrossRef]
- Uzuntarla, M.; Yilmaz, E.; Wagemakers, A.; Ozer, M. Vibrational resonance in a heterogeneous scale free network of neurons. Commun. Nonlinear Sci. Numer. Simul. 2015, 22, 367–374. [Google Scholar] [CrossRef]
- Meral, F.C.; Royston, T.J.; Magin, R. Fractional calculus in viscoelasticity: An experimental study. Commun. Nonlinear Sci. Numer. Simul. 2010, 15, 939–945. [Google Scholar] [CrossRef]
- Matouk, A.E. Chaos, feedback control and synchronization of a fractional-order modified Autonomous Van der Pol–Duffing circuit. Commun. Nonlinear Sci. Numer. Simul. 2011, 16, 975–986. [Google Scholar] [CrossRef]
- Chaudhary, N.I.; Raja, M.; Khan, A.R. Design of modified fractional adaptive strategies for Hammerstein nonlinear control autoregressive systems. Nonlinear Dyn. 2015, 82, 1811–1830. [Google Scholar] [CrossRef]
- Khanday, F.A.; Kant, N.A.; Dar, M.R.; Zulkifli, T.Z.A.; Psychalinos, C. Low-Voltage low-power integrable CMOS circuit implementation of integer and fractional-order FitzHugh-Nagumo Neuron model. IEEE Trans. Neural Netw. Learn. Syst. 2019, 30, 2108–2122. [Google Scholar] [CrossRef]
- Yang, J.H.; Zhu, H. Vibrational resonance in Duffing systems with fractional-order damping. Chaos 2012, 22, 013112. [Google Scholar] [CrossRef]
- Mbong, T.L.M.D.; Siewe, M.S.; Tchawoua, C. The effect of the fractional derivative order on vibrational resonance in a special fractional quintic oscillator. Mech. Res. Commun. 2016, 78, 13–19. [Google Scholar] [CrossRef]
- Qin, T.; Xie, T.; Luo, M.; Deng, K. Vibrational resonance in fractional-order overdamped multistable systems. Chin. J. Phys. 2017, 55, 546–555. [Google Scholar] [CrossRef]
- Lundstrom, B.N.; Higgs, M.H.; Spain, W.J.; Fairhall, A.L. Fractional differentiation by neocortical pyramidal neurons. Nat. Neurosci. 2008, 11, 1335–1342. [Google Scholar] [CrossRef]
- Anastasio, T.J. The fractional-order dynamics of brainstem vestibulo-oculomotor neurons. Biol. Cybern. 1994, 72, 69–79. [Google Scholar] [CrossRef]
- Ullner, E.; Zaikin, A.; García-Ojalvo, J.; Bascones, R.; Kurths, J. Vibrational resonance and vibrational propagation in excitable systems. Phys. Lett. A 2003, 312, 348–354. [Google Scholar] [CrossRef]
- Deng, B.; Wang, J.; Wei, X.; Tsang, K.M.; Chan, W.L. Vibrational resonance in neuron populations. Chaos 2010, 20, 013113. [Google Scholar] [CrossRef]
- Izhikevich, E.M. Simple model of spiking neurons. IEEE Trans. Neural Netw. 2003, 14, 1569–1572. [Google Scholar] [CrossRef] [PubMed] [Green Version]
- Hu, D.L.; Yang, J.H.; Liu, X.B. Delay-induced vibrational multiresonance in FitzHugh-Nagumo system. Commun. Nonlinear Sci. Numer. Simul. 2012, 17, 1031–1035. [Google Scholar] [CrossRef]
- Guo, W.; Ning, L. Vibrational resonance in a fractional order quintic oscillator system with time delay feedback. Int. J. Bifurc. Chaos 2020, 30, 2050025. [Google Scholar] [CrossRef]
- Abdelouahab, M.S.; Lozi, R.P.; Chen, G. Complex Canard Explosion in a Fractional-Order FitzHugh–Nagumo Model. Int. J. Bifurc. Chaos 2019, 29, 1950111. [Google Scholar] [CrossRef]
- Wu, D.; Zhu, S. Stochastic resonance in FitzHugh–Nagumo system with time-delayed feedback. Phys. Lett. A 2008, 372, 5299–5304. [Google Scholar] [CrossRef]
- Teka, W.; Marinov, T.M.; Santamaria, F. Neuronal spike timing adaptation described with a fractional leaky integrate-and-fire model. PLoS Comput. Biol. 2014, 10, e1003526. [Google Scholar] [CrossRef] [PubMed]
- Wu, C.; Yang, J.; Huang, D.; Liu, H.; Hu, E. Weak signal enhancement by the fractional-order system resonance and its application in bearing fault diagnosis. Meas. Sci. Technol. 2019, 30, 035004. [Google Scholar] [CrossRef]
- Teka, W.W.; Upadhyay, R.K.; Mondal, A. Spiking and bursting patterns of fractional-order Izhikevich model. Commun. Nonlinear Sci. Numer. Simul. 2018, 56, 161–176. [Google Scholar] [CrossRef]
- Mondal, A.; Sharma, S.K.; Upadhyay, R.K.; Mondal, A. Firing activities of a fractional-order FitzHugh-Rinzel bursting neuron model and its coupled dynamics. Sci. Rep. 2019, 9, 15721. [Google Scholar] [CrossRef] [PubMed]








Publisher’s Note: MDPI stays neutral with regard to jurisdictional claims in published maps and institutional affiliations. |
© 2021 by the authors. Licensee MDPI, Basel, Switzerland. This article is an open access article distributed under the terms and conditions of the Creative Commons Attribution (CC BY) license (https://creativecommons.org/licenses/by/4.0/).
Share and Cite
Mao, J.-W.; Hu, D.-L. Vibrational Resonance and Electrical Activity Behavior of a Fractional-Order FitzHugh–Nagumo Neuron System. Mathematics 2022, 10, 87. https://doi.org/10.3390/math10010087
Mao J-W, Hu D-L. Vibrational Resonance and Electrical Activity Behavior of a Fractional-Order FitzHugh–Nagumo Neuron System. Mathematics. 2022; 10(1):87. https://doi.org/10.3390/math10010087
Chicago/Turabian StyleMao, Jia-Wei, and Dong-Liang Hu. 2022. "Vibrational Resonance and Electrical Activity Behavior of a Fractional-Order FitzHugh–Nagumo Neuron System" Mathematics 10, no. 1: 87. https://doi.org/10.3390/math10010087
APA StyleMao, J.-W., & Hu, D.-L. (2022). Vibrational Resonance and Electrical Activity Behavior of a Fractional-Order FitzHugh–Nagumo Neuron System. Mathematics, 10(1), 87. https://doi.org/10.3390/math10010087
