Abstract
This study examines the dynamic and nonlinear effects of global interest rate (based on the G7 market) shocks on equity markets in BRICS countries. A World Interest Rate (WIR) index is constructed using principal component analysis of short-term interest rates from developed economies. The analysis applies Distributed Lag Nonlinear Models (DLNMs) to evaluate the temporal response of each market to positive and negative WIR shocks over a six-period horizon. The results reveal notable asymmetries and heterogeneity. Brazil and Russia experience stronger reactions to negative shocks, while India and China show milder or delayed effects. South Africa stands out for its persistent and symmetric sensitivity to both types of shocks, suggesting deeper exposure to global financial cycles. The DLNM framework allows for a nuanced interpretation of exposure-lag relationships, offering new insights into how global monetary conditions affect emerging markets. These findings highlight that financial integration does not imply uniform vulnerability across countries and that global liquidity shocks can trigger diverse equity market responses. This paper contributes to the literature on international financial linkages and provides relevant implications for investors and policymakers managing portfolio exposure or economic risk in emerging markets.
1. Introduction
The relationship between interest rates and equity prices has long been a central concern in macro-finance. Interest rates, as a measure of the time value of money, are widely recognized as one of the most influential macroeconomic variables affecting stock market valuations (Mishkin, 2008). Changes in interest rates directly influence borrowing costs, corporate profitability, and investor expectations, thereby altering the valuation of firms and shaping portfolio decisions (Alam & Uddin, 2009). While most of the empirical literature documents a negative relationship between interest rate movements and stock returns (Bashir & Hassan, 2017; Bulmash & Trivoli, 1991; Abdullah & Hayworth, 1993), other studies also identify lagged or even positive effects under certain macro-financial conditions (Geske & Roll, 1983).
In an increasingly globalized financial system, emerging markets are no longer isolated from international liquidity cycles. The transmission of global shocks to local markets occurs through capital flows, investor sentiment, and macro-financial linkages (Calvo et al., 1996). Under growing financial integration, investors are now able to diversify internationally, and capital markets in developing economies become more sensitive to global financial conditions (Eichengreen & Gupta, 2015; Bahadir & Lastrapes, 2015). Consequently, understanding how emerging equity markets respond to global interest rate shocks has become vital for both investors and policymakers.
This paper aims to investigate the dynamic and nonlinear response of BRICS equity markets to global monetary shocks, as proxied by a synthetic World Interest Rate (WIR) index. We construct a WIR index derived from the 10-year sovereign bond yields of the G7 economies (the United States, Germany, Japan, the United Kingdom, France, Italy, and Canada). While this index reflects global financial conditions through the influence of G7 markets, we clarify that it does not represent all global economies. Therefore, although we consistently refer to it as the “WIR” index throughout this manuscript, it is based on the influence of G7 markets. The WIR is constructed using principal component analysis over the short-term interest rates of major developed economies, capturing common trends in global liquidity conditions and central bank policies. While previous research has evaluated the effect of the U.S. Federal Funds Rate or developed-country yields in isolation, our approach synthesizes a broader global signal, aligning with the methodology of Bekaert and Harvey (2000) and Mishkin (2008).
To capture the complexity of shock transmission over time and under different market conditions, we employ a flexible modeling strategy based on Distributed Lag Nonlinear Models (DLNMs). While DLNMs have been extensively applied in fields such as epidemiology and environmental sciences, their application in financial economics remains relatively scarce. Our contribution is to extend this framework to analyze how BRICS equity markets respond to lagged shocks in the G7-based WIR. This approach allows us to evaluate both the magnitude and timing of the responses, as well as potential asymmetries between positive and negative shocks (Amarasinghe, 2015).
The contribution of this study is threefold. First, it provides updated empirical evidence on how systemic global financial forces affect the stock markets of BRICS countries—Brazil, Russia, India, China, and South Africa—via a time- and state-varying mechanism. Second, it introduces a novel application of DLNMs in financial research, filling a gap in the modeling of nonlinear, lagged responses to global shocks. Third, by focusing on emerging markets that collectively represent a significant portion of global GDP but remain underrepresented in equity benchmarks (Bekaert & Harvey, 2000), this study contributes to the debate on financial integration and the vulnerabilities of capital flows under global tightening cycles.
The remainder of this paper is structured as follows. Section 2 reviews the related literature on global interest rates and emerging equity markets. Section 3 presents the data and describes the empirical DLNM approach. Section 4 reports the main results for the BRICS countries. Section 5 concludes with a discussion of policy implications and directions for future research.
2. Literature Review
In recent decades, the analysis of global interest rate behavior and its impact on financial markets has gained increasing relevance, especially in the context of emerging economies. The literature has evolved from approaches focused on developed markets to a broader understanding of how global, regional, and idiosyncratic factors interact with macroeconomic and financial variables. In this context, recent studies have sought to identify the mechanisms of financial risk transmission through interest rates, their predictability in different stress scenarios, and their role as a vehicle for economic synchronization or divergence between countries. This review is organized into three thematic sections that address, respectively, (i) the link between interest rates and financial markets, (ii) the response of markets to macroeconomic fundamentals under different monetary regimes and levels of development, and (iii) the construction and dynamics of the world interest rate as an aggregate indicator of risk and global policy.
2.1. Macrofinancial Dynamics and Sensitivity of the BRICS to External Shocks
The analysis of the BRICS economies has gained increasing relevance given their active participation in global capital flows, their weight in global economic activity, and their differentiated exposure to external shocks. In this context, multiple studies have addressed monetary transmission mechanisms, the effects of interest rates, and vulnerability to global risk factors. Waheed et al. (2024) develop a monetary policy reaction function using a Bayesian DSGE approach for the BRICS countries, highlighting the role of credit spreads and fiscal imbalances as significant drivers of inflation, output, and interest rates. These findings reflect the heterogeneity in the response of monetary policies to structural shocks and suggest a country-specific sensitivity to fiscal and credit conditions. In addition, Attílio et al. (2024) employ a GVAR model incorporating not only trade flows but also bilateral financial and investment positions to capture the impact of the US stock market on the BRICS and G7 economies. Their results highlight the increasing sensitivity of BRICS markets to global financial shocks, as well as significant differences in the response of variables such as industrial production, exchange rates, and interest rates.
Regarding financial risk, Sithole and Eita (2023) address the macroeconomic determinants of bank credit risk in BRICS countries, using a Markov switching model. They conclude that weak economic growth, high inflation, appreciated currencies, and high interest rates are associated with increased credit risk, highlighting the nonlinearity in transmission depending on the current economic regime. Likewise, Saliba et al. (2023) analyze how country risk (economic, political, and financial) impacts the level of nonperforming loans in the banking sector. Using quantile regressions, they demonstrate that these risks have a significant impact, especially in economies with high exposure to nonperforming loans, suggesting the importance of the institutional environment for financial stability. From an external perspective, Zhang and Hamori (2022) explore the interconnectivity between BRICS geopolitical risks and US macroeconomic indicators using a TVP-VAR (Time-Varying Parameter Vector Autoregression) model. Their findings show that risks in Russia and Brazil have a greater capacity to affect aggregate volatility and returns, especially in contexts of global crises such as the pandemic, reinforcing the endogenous nature of BRICS-developed country ties.
On the exchange rate front, research such as that by Salisu et al. (2021) and Kerbeg et al. (2025) delves into the relationship between interest rates and exchange rates. While Salisu et al. highlight nonlinear behavior dependent on the economic regime, Kerbeg et al. identify a significant causal relationship between interest rates and exchange rate dynamics using 2SLS (Two-Stage Least Squares) models, confirming the importance of monetary policy in exchange rate stability. Finally, Kumar and Dua (2024) analyze the determinants of portfolio investment flows to the BRICS. Their study reveals that US Treasury bond interest rates have a negative effect on these flows, while factors such as a dynamic stock market, higher interest rate differentials, and credit credibility strengthen capital attraction, indicating the complexity of portfolio decisions under global risk and return contexts.
2.2. Nonlinear Relationships and Macro-Financial Synchronization Under Volatile Conditions
Financial markets in emerging and advanced economies have shown increasing sensitivity to volatile macroeconomic conditions and external shocks. This dynamic has generated lines of research that explore not only the magnitude of the response of financial assets to variables such as interest rates or international prices but also the asymmetry and nonlinearity of these relationships in contexts of macroeconomic uncertainty. Zaidi and Rupeika-Apoga (2021) investigate liquidity synchronization in seven emerging Asian economies, highlighting that such synchronization intensifies in environments of low growth, high inflation, and high interest rates. Furthermore, they show that this comorbidity is determined not only by traditional macroeconomic factors but also by institutional aspects such as weak rule of law, government inefficiency, and investor protection. This liquidity synchronization represents an undiversifiable systemic risk, with significant implications for regional financial stability. In Latin America, Abugri (2008) provides empirical evidence on how macroeconomic volatility, represented by fluctuations in interest rates, industrial production, the exchange rate, and money supply, significantly influences the behavior of stock market returns. Using a VAR model, the author shows that global factors such as the US Treasury rate play a predominant role, although the effects of local factors vary by country, reflecting a heterogeneous risk transmission structure.
At the level of developed markets, Tabash et al. (2024) examine the symmetric and asymmetric effects of macroeconomic fundamentals on the exchange rate in advanced European countries, using a NARDL (Nonlinear Autoregressive Distributed Lag) model. Their findings show that interest rates have an asymmetric effect on the exchange rate in the short and long term, while the price of gold and international reserves also play a stabilizing role. This demonstrates that the market response to fundamentals is not uniform, justifying the use of nonlinear techniques for their analysis. In a more global framework, Martínez-Cañete et al. (2022) propose a nonlinear cointegration approach to assess the relationship between oil prices and the MSCI World Index, finding that this co-mobility intensifies in contexts of near-zero interest rates. By incorporating the shadow rate as a transition variable, the study reveals that in unconventional monetary policy environments, the correlation between equity prices and oil strengthens, reducing the potential for portfolio diversification and amplifying systemic financial risk.
Together, these studies reinforce the need for flexible models sensitive to nonlinearity and asymmetry as key tools for understanding the relationships between macroeconomic fundamentals and financial prices in environments characterized by extreme shocks, unconventional monetary regimes, and increasing international financial synchronization.
2.3. The Role of the World Interest Rate (WIR) in Financial Markets
Interest in understanding the influence of the World Interest Rate (WIR) on financial markets has grown in light of evidence that global monetary conditions transcend national borders. Del Negro et al. (2019) document a sustained decline in the WIR over the past three decades, a phenomenon attributed to the rise in convenience yields for safe assets and slower global economic growth. This trend has had structural consequences on real rates in advanced economies, whose behavior is increasingly converging. From a more structural perspective, Shambaugh and Zhou (2024) use a dynamic factor model with endogenous clustering to construct the WIR for 43 countries, finding that both global and regional factors explain much of the rate dynamics in developed economies, while in emerging markets, idiosyncratic factors still predominate. Capital account openness and the exchange rate regime are key determinants in the transmission of these shocks. In the specific case of emerging markets, Bahadir and Lastrapes (2015) show that debt yields respond gradually to WIR shocks, which supports the hypothesis of partial integration with global capital markets. Furthermore, Battisti et al. (2020) analyze the distributional effects of the WIR and conclude, using the Galor-Zeira model, that a sustained drop in the global rate reduces inequality in poor countries but increases it in rich economies. Taking a more recent, quantile perspective, Joaqui-Barandica et al. (2023) reveal a nonlinear directional pattern in the relationship between the WIR and the Stoxx 600 Banks Index, where the WIR acts as a transmitter of shocks during periods of crisis, especially when European banking is facing extreme conditions. This conditional dependency approach is key to capturing the asymmetric nature of systemic risk. Finally, the effects of US shocks on the WIR are stronger before reaching the zero lower bound, suggesting an environment with lower effectiveness of conventional monetary policy (Shambaugh & Zhou, 2024).
Building on four complementary strands of research, we frame our analysis of external-rate shocks to BRICS equity markets. First, the global financial cycle literature shows that U.S./G7 monetary policy shocks co-move financial conditions and asset prices worldwide, limiting domestic monetary autonomy (Miranda-Agrippino & Rey, 2020). Second, a risk-taking channel links tighter global policy to declines in global banks’ leverage and cross-border credit, raising required returns for risky assets—especially in financially open economies (Bruno & Shin, 2015). Third, empirical studies document sizeable and heterogeneous spillovers of U.S. monetary policy to international equity markets and real activity, with transmission shaped by openness, exchange-rate regimes, and financial structure (Ehrmann & Fratzscher, 2009; Georgiadis, 2016). Fourth, factor-based measures of a world interest rate extracted from advanced-economy yields are informative for emerging-market cycles and sovereign risk, underscoring the relevance of external rates for EM dynamics (Bahadir & Lastrapes, 2015; Neumeyer & Perri, 2005; Uribe & Yue, 2006). Against this background, our contribution is to operationalize a G7-based world interest rate (WIR) and to estimate exposure–lag–response profiles with a DLNM, which accommodates nonlinearities and asymmetries in transmission—features that standard linear system models may obscure.
3. Materials and Methods
3.1. Empirical Model
To capture the dynamic and nonlinear influence of global interest rate shocks on the financial markets of BRICS economies, we employ a DLNM, following the framework introduced by Gasparrini (2011). This methodology allows us to simultaneously estimate the nonlinear exposure-response relationship between the WIR and the MSCI equity indices, as well as the delayed effects over a specific lag period. This is particularly useful for financial contexts, where shocks often propagate with temporal dependencies.
Our empirical framework builds on the DLNM; compared with traditional dynamic models such as VAR or TVP-VAR, the DLNM does not require specifying a full system of endogenous interactions and allows the joint estimation of nonlinear and lagged effects through basis functions. While VAR and TVP-VAR are powerful tools to model interdependencies across multiple variables, they generally assume linear dynamics and can become less tractable when allowing for nonlinearities and high-order lag structures (Zhang & Hamori, 2022). By contrast, the DLNM framework is designed to flexibly approximate these dynamics and is therefore well suited to study the transmission of external interest rate shocks to equity markets.
Let Yt denote the MSCI index for a specific BRICS country at time t = 1, …, T. The model assumes the following structure:
where ≡ E(), is a monotonic link function (e.g., identity or log), and Y follows a distribution in the exponential family. The functions represent the nonlinear relationships (e.g., splines) between the covariates and the response variable, parameterized by . represents optional control variables with linear effects . Following the DLNM framework, the dependent variable is assumed to belong to the exponential family of distributions (Gasparrini, 2011). In our case, corresponds to the log-returns of MSCI indices, which are treated as approximately normally distributed. Hence, the exponential family formulation reduces to the Gaussian case, providing a consistent likelihood for estimation.
Each nonlinear term can be expressed using basis functions as:
where is the t-th row of the basis matrix Z obtained from transforming with the chosen basis function (e.g., natural splines).
To account for the lagged effects of over time, we extend the model to a Distributed Lag Model (DLM):
where is a basis matrix constructed over the lag dimension (l = 0, …, L), and represents the vector of lag coefficients.
Finally, we incorporate nonlinearities over both the exposure and lag dimensions using a DLNM formulation:
Here, is the result of applying a bi-dimensional cross-basis function to and its lag structure. This cross-basis captures how the response changes with both the level of exposure and the time elapsed since the shock. The parameter vector is estimated jointly.
Formally, let denote the WIR shock at time t. The nonlinear transformation of the exposure dimension is obtained through a basis expansion , where each column corresponds to a spline basis function evaluated at . Thus, the transformed covariates can be expressed as:
where denotes the j-th spline basis function, and J is the number of basis functions. Similarly, the lag dimension is represented through another set of basis functions applied over the lag space ():
where denotes the lag basis function. The cross-basis is constructed as the tensor product , capturing interactions between exposure levels and lag periods (Gasparrini, 2011). The model then takes the form:
where represents the coefficients associated with the cross-basis expansion, and represents coefficients of additional control variables . The use of natural cubic splines provides flexibility to capture nonlinearities without imposing restrictive parametric assumptions, and it is a standard approach in DLNM applications. The key parameters estimated are therefore the elements of , which jointly determine the exposure–lag–response surface.
The empirical design includes only the WIR index as the explanatory variable. Incorporating domestic macro-financial variables (e.g., GDP, inflation, exchange rates) would confound the interpretation of global spillovers by introducing country-specific effects, thereby limiting the comparability of Brazil, India, China, Russia, and South Africa within a unified global framework. Our parsimonious specification thus focuses on the pure transmission of global interest rate shocks, following the tradition of spillover studies that emphasize single-factor global drivers (Bahadir & Lastrapes, 2015). Future extensions may explicitly incorporate domestic fundamentals to analyze interaction effects between global and local conditions.
3.2. Data
This study uses a database with monthly time series covering the period from January 2005 to June 2025, extracted from the LSEG Refinitiv platform (Equity indices and macro-financial series were accessed via LSEG (formerly Refinitiv) Workspace and Datastream). This window captures relevant episodes of the global economic cycle, such as the 2008 financial crisis, the rise of emerging markets, the COVID-19 pandemic, and the recent phase of monetary tightening in advanced economies. To represent the stock market performance of emerging countries, the MSCI dollar-denominated indexes (price, excluding dividends) for Brazil, Russia, India, China, and South Africa are used, which provide a proxy for stock market performance in each economy. These countries were selected due to their prominence within the BRICS group, which has been widely studied in the literature due to its growing financial integration and exposure to global factors. In the case of Russia, the MSCI Russia Index was suspended in 2022 following the geopolitical conflict with Ukraine and the imposition of international sanctions, which restricted the availability of market data. To maintain consistency in the analysis, we employed the MSCI Emerging Markets EMEA Index as a proxy. This regional index includes Russia along with other Eastern European economies and thus offers an approximate representation of Russian equity performance. We acknowledge that this proxy may dilute Russia’s specific dynamics—particularly in recent years, when its economy showed differentiated trends compared to neighboring countries—and therefore interpret the results for Russia with due caution.
For the G7 developed economies, 10-year sovereign interest rates are used as a proxy for each country’s domestic monetary conditions. These rates are used to construct an aggregate global interest rate index (WIR), estimated from the first principal component of the rates of the United States, Germany, Japan, the United Kingdom, France, Italy, and Canada. This index seeks to capture the common dynamics of benchmark sovereign debt yields in developed markets, acting as a proxy for international financial conditions. Since the start dates of MSCI indices can vary across countries, the effective analysis window for each model is adjusted according to data availability. All series were transformed to obtain monthly returns, and cleaning and time-alignment criteria were applied to ensure consistency in the empirical exercises. The empirical analysis design allows for exploring how global interest rate shocks differentially affect emerging stock markets, depending on the state of the cycle and local conditions. We assess the stationarity of all processed variables entering the models. Specifically, we test MSCI log-returns (Brazil, India, China, South Africa, and Russia) and the global shock ΔWIR (first difference in the G7 10-year PC1). Augmented Dickey–Fuller tests reject the unit root at conventional levels for all series (Appendix A, Table A1). For completeness, ADF tests on unprocessed levels are reported as diagnostics (Appendix A, Table A2).
4. Results
4.1. Descriptive Analysis of Sovereign Bond Yields in G7 Economies
We present in Table 1 the descriptive statistics of the 10-year government bond yields for G7 countries over the period January 2005 to June 2025. This long-run window captures different global macro-financial environments, including the aftermath of the 2008 financial crisis, the European sovereign debt crisis, the low-interest rate environment of the 2010s, the COVID-19 pandemic, and the recent monetary tightening cycle starting in 2022. The statistics include the mean, median, minimum, maximum, and standard deviation of monthly yields for each country. On average, Italy and the United States recorded the highest long-term bond yields, with means of 3.29% and 2.92%, respectively. Japan, as expected due to its persistent ultra-low-interest rate policy, showed the lowest yields, with an average of 0.72% and a minimum as low as −0.27%. European economies such as France and Germany exhibited negative yields during periods of strong monetary stimulus by the European Central Bank, particularly after 2015, with minimum values of −0.39% and −0.70%, respectively. The highest maximum yield was observed in Italy, reaching 6.91%, reflecting episodes of elevated sovereign risk and market volatility. The standard deviations reveal varying degrees of yield volatility. Germany and France showed the highest standard deviation (1.51% and 1.48%), indicating significant fluctuations despite their relatively low average yields. Conversely, Japan maintained the most stable yield profile (SD = 0.61%).
Table 1.
Descriptive statistics of 10-year government bond yields (2005–2025).
Figure 1 visually complements these statistics by depicting the monthly evolution of 10-year bond yields for the G7 countries. Figure 1 reveals several key stylized facts. First, the yields across all countries exhibit a clear declining trend from 2005 until around 2015, followed by a sustained low-rate environment, especially in Europe and Japan. After 2021, a notable upward trend is observed across all countries, driven by the surge in inflation and the subsequent response by central banks via interest rate hikes. The divergence in yield levels is also visible. Japan consistently remained an outlier with significantly lower yields, a reflection of its decades-long monetary easing stance. In contrast, Italy and the USA showed sharper swings and higher peaks, particularly during sovereign risk episodes (for Italy) and during post-pandemic monetary normalization (for the USA).
Figure 1.
10-Year Government Bond Yields for G7 Countries (2005–2025). Note: The trajectories reveal a general downward trend in yields during the 2010s, reflecting prolonged monetary accommodation, followed by a synchronized and sharp increase from 2021 onwards, driven by global inflationary pressures and interest rate normalization efforts.
The visual evidence suggests that while G7 countries share common shocks, such as the global financial crisis and the COVID-19 pandemic, the magnitude and persistence of their effects on long-term interest rates vary considerably across countries. These differences underscore the relevance of including global interest rate dynamics as a macro-financial driver in the empirical modeling of emerging market equity returns.
4.2. Construction of the World Interest Rate (WIR) via Principal Component Analysis
To capture a common latent factor driving the co-movement of long-term interest rates in advanced economies, we construct a WIR index based on the yields of 10-year government bonds from the G7 countries. The estimation relies on Principal Component Analysis (PCA) applied to the standardized monthly yields from January 2005 to June 2025. This method allows us to extract the most informative linear combination of these yields that summarizes the global interest rate trend.
The results of the PCA are shown in Table 2. The first principal component accounts for 87.5% of the total variance across countries, suggesting a strong common factor in yield movements. The second component adds an additional 8.0%, and the third 2.9%, bringing the cumulative variance explained by the first three components to over 98.4%. This confirms that most of the dynamics in the G7 yield curves can be summarized by a low-dimensional factor space.
Table 2.
Principal Components and Variance Explained.
While the first component explains the bulk of the variance, interpreting only this dimension would ignore important country-specific contributions that become more visible in subsequent components. Table 3 reports the percentage contribution of each country to the first five principal components.
Table 3.
Country Contributions to Principal Components (%).
The first component presents balanced contributions from most countries, suggesting it captures a global factor. However, higher-order components highlight asymmetries: for instance, Italy dominates the second dimension (53.4%), reflecting idiosyncratic volatility, while Japan heavily loads on the third component (46.8%), likely due to its persistent low-rate regime.
The estimated WIR series, derived from the standardized first principal component and rescaled for interpretability, is displayed in Figure 2. The index reveals several distinct phases in the evolution of global interest rates: a relatively elevated period before the 2008 crisis; a sustained decline during the 2010s under monetary easing; a deep trough around 2020 reflecting the pandemic shock; and a sharp rebound post-2021 in line with inflationary pressures and synchronized monetary tightening. Following the literature on global interest rate indicators (McCracken & Ng, 2016), we apply PCA to the level of the 10-year government bond yields, in order to capture the common dynamics across G7 countries without differencing the series, as the focus is on co-movements rather than stationarity.
Figure 2.
Estimated World Interest Rate (WIR). Note: This figure presents the evolution of the WIR index from January 2005 to June 2025. The WIR is constructed using the first principal component obtained from standardized monthly bond yields of G7 countries.
4.3. Stock Market Dynamics in BRICS Economies
Figure 3 shows the evolution of the MSCI indices for each BRICS country from January 2005 to June 2025. Significant heterogeneity is evident across markets: Brazil and Russia exhibit high volatility and cyclical behavior, with sharp declines during global crises and partial recoveries afterward. In contrast, India’s index shows a more sustained upward trend over time, with moderate volatility. China and South Africa present more stable paths with limited upward momentum. These patterns reflect both domestic factors and each country’s sensitivity to external shocks.
Figure 3.
MSCI Index trends for BRICS countries from January 2005 to June 2025. Note: The figure illustrates the evolution of equity markets using price-based MSCI indices in USD. The series highlight periods of volatility and market growth across emerging economies.
To better visualize the individual dynamics of each country’s equity index, Figure 4 presents a panel of time series plots, including WIR. This disaggregated view enhances the interpretation of the co-movements and country-specific episodes throughout the period.
Figure 4.
Panel visualization of MSCI Index dynamics for BRICS countries. Note: This disaggregated format enhances the interpretation of each country’s market trajectory by isolating individual trends and fluctuations over time.
Summary statistics for the MSCI indices are reported in Table 4. On average, Brazil and Russia have the highest index levels (2164 and 2236, respectively), consistent with their larger and more mature equity markets in nominal terms. India shows a lower mean (550) but a clear increasing trend in recent years. China exhibits the lowest mean value (66) due to the nature of its index base, and South Africa maintains moderate levels around 469. Standard deviations confirm the high volatility of Brazil and Russia, followed by India, while China and South Africa remain more stable.
Table 4.
Descriptive statistics of MSCI indices (2005–2025).
Before estimating the distributed lag nonlinear models (DLNM), we evaluated the stationarity properties of the time series involved using the Augmented Dickey–Fuller (ADF) test. This test helps identify the presence of unit roots, which may bias the dynamic relationships under analysis. Table 5 summarizes the test statistics and p-values for the variables under study.
Table 5.
Results of Augmented Dickey–Fuller Test.
The stationarity tests reveal that among the BRICS equity indices, only MSCI Brazil is stationary at the 5% significance level. The remaining indices—Russia, India, China, and South Africa—exhibit non-stationary behavior, indicating the need for transformation prior to model estimation. Similarly, the World Interest Rate (WIR), constructed via Principal Component Analysis of 10-year government bond yields from G7 countries, also fails to reject the null hypothesis of a unit root.
To address these concerns and avoid issues related to spurious regressions, we applied standard econometric transformations. The equity indices were converted into log returns, a common approach in financial econometrics to induce stationarity and interpret results in percentage terms. The WIR was transformed using first differences (ΔWIR), capturing variations in global interest rate dynamics rather than their absolute levels. Although DLNM does not require explanatory variables to be stationary—provided that trend and seasonality are adequately controlled—differencing the WIR helps focus the analysis on interest rate shocks and simplifies interpretation.
All explanatory variables were standardized to allow for cross-country comparisons of effect sizes. The dependent variables in the DLNM are the log returns of each MSCI index, ensuring compliance with stationarity assumptions required for reliable estimation and inference.
Each DLNM specification is estimated separately for every country, allowing for heterogeneous exposure-lag-response relationships between global interest rate shocks and local equity returns. This country-specific approach captures the unique temporal transmission patterns of financial shocks across emerging markets.
As a robustness check, we reconstruct the world interest rate using G7 short-term (3-month) money market rates from the OECD and re-estimate the DLNM specifications with the resulting shock measure (). The exposure–lag–response patterns are qualitatively preserved across BRICS—effects remain concentrated at short horizons and show comparable magnitudes without sign reversals—supporting the stability of our findings. Full details and figures are provided in Appendix A (Figure A1, Figure A2 and Figure A3).
4.4. Brazil
Figure 5 displays the estimated exposure-lag-response surface for Brazil, capturing the dynamic and potentially nonlinear effects of standardized global interest rate shocks (WIR) on local equity market returns over a 6-period lag structure. The plot provides a comprehensive visualization of how different magnitudes of interest rate movements—from contractionary (negative WIR values) to expansionary (positive WIR values)—influence stock returns, not only immediately but also with delayed responses.
Figure 5.
Exposure–lag–response surface for Brazil showing the effect of standardized WIR shocks. Note: The color scale represents the estimated effect size, where blue indicates positive effects and yellow negative effects.
The color gradient in the figure represents the estimated magnitude of the effect: yellower colors indicate negative responses, and bluer shades indicate positive impacts. A more detailed analysis reveals that moderate to strong negative interest rate shocks (i.e., global monetary tightening) tend to generate small but consistent negative effects on Brazilian equity returns, especially concentrated in the early lags (between 0 and 2). However, these effects are not very pronounced, suggesting a certain level of resilience or absorptive capacity in the Brazilian market.
On the other hand, positive WIR shocks (interpreted as global easing or accommodative monetary conditions) are associated with gradually increasing positive effects, peaking around lag 4. This pattern indicates that the Brazilian stock market reacts to global liquidity expansions with a certain lag, which could reflect the time it takes for capital to reallocate or for investors’ expectations to adjust. It is important to note that the surface shows that the response is not symmetrical: positive shocks appear to generate more persistent and significant reactions than negative ones, indicating an asymmetric sensitivity of Brazilian stocks to global financial conditions.
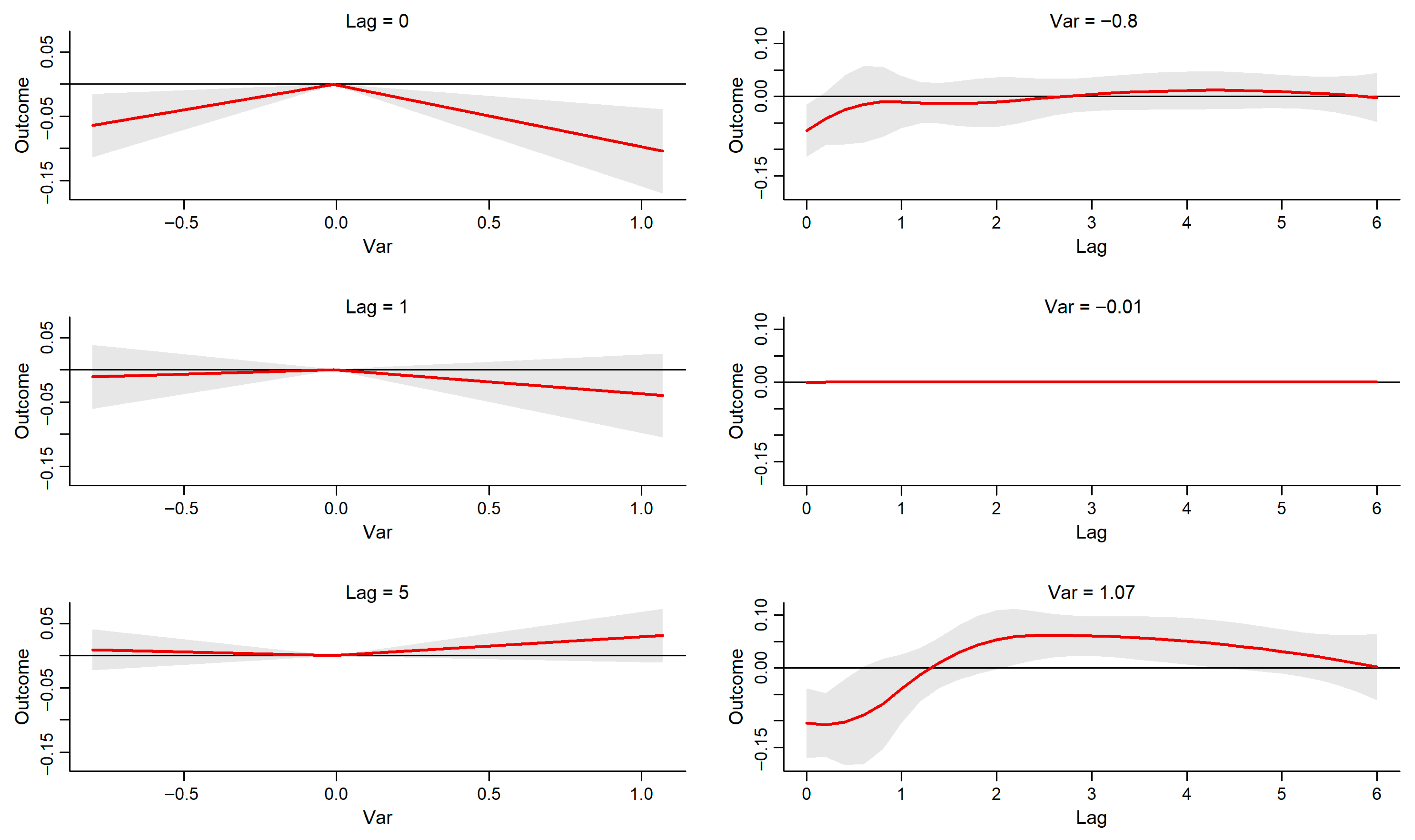
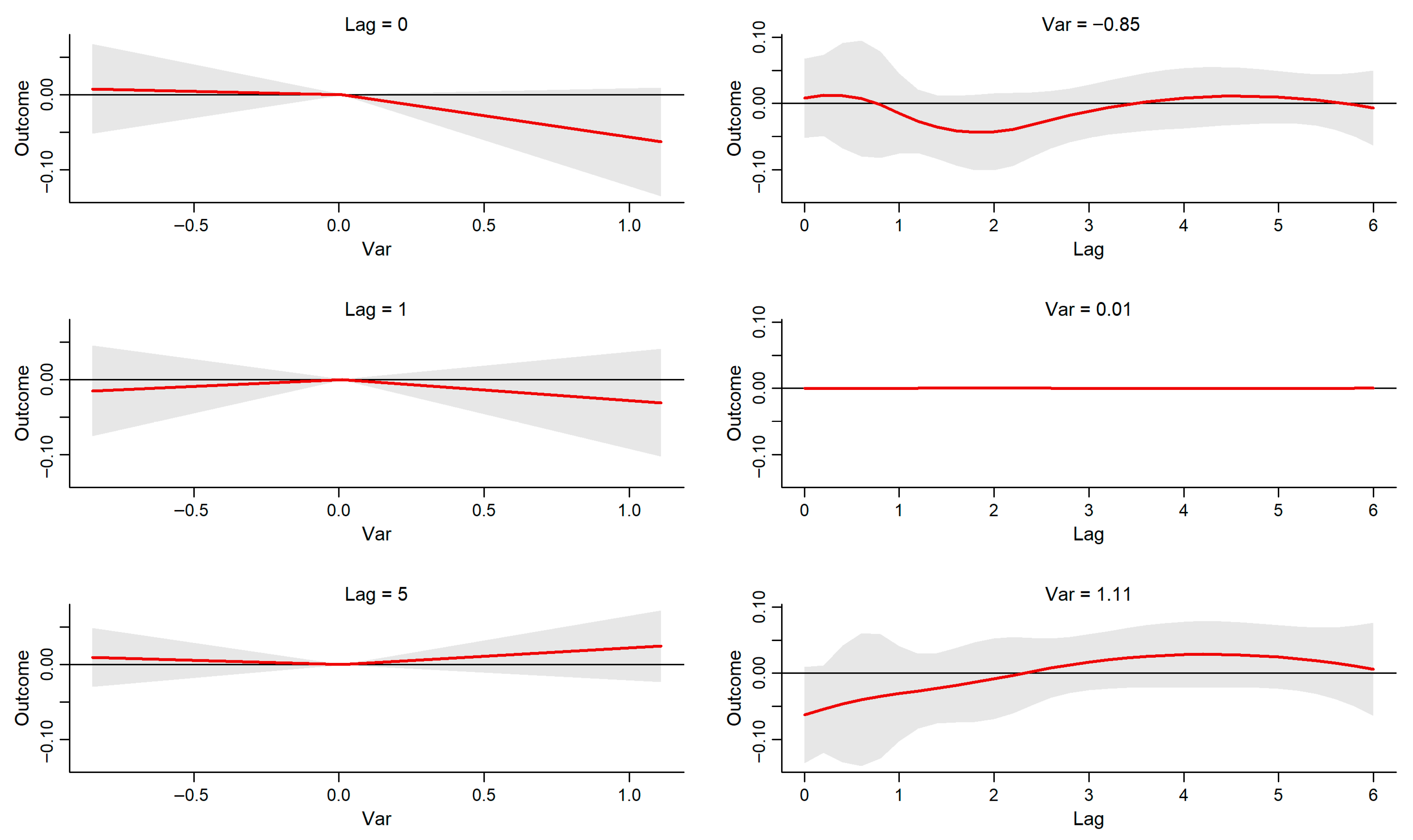
Figure 6 further explores this relationship by depicting the estimated marginal effects at selected lags (0, 1, 5) and at selected levels of the WIR (quantiles 1%, 50%, 99%) (−0.88, 0.01, 0.99). At Lag 0, the effect of the WIR is nearly linear and slightly negative across the range, with a wider confidence band. At Lag 1, the effect is nearly null and stable, while at Lag 5, the curve becomes more convex, suggesting that Brazil’s equity market reacts positively to expansionary shocks with some delay. The right panels of Figure 6 show how the impact of fixed WIR shocks evolves over time. Notably, a strong negative shock (WIR = −0.88) has a small adverse effect that dissipates quickly, while a large positive shock (WIR = 0.99) produces a delayed positive effect peaking between lags 4 and 5. But it is not significant.
Figure 6.
Cross-sections of the DLNM for Brazil. Left panels show exposure–response curves at selected lags (0, 1, and 5); right panels show lag–response curves at WIR quantiles (“Var” = 1%, 50%, 99%). “Outcome” denotes the estimated effect on MSCI log-returns. At Var = 0 (median shock), the baseline effect is null, so curves intersect zero.
Overall, Brazil’s equity market shows a mild and delayed sensitivity to global interest rate movements, with responses that are more pronounced for positive shocks, suggesting potential global liquidity effects or capital inflows driving equity performance.
Across all countries, the cross-sectional plots follow the same structure: the x-axis labeled ‘Var’ represents standardized quantiles of WIR shocks, while the y-axis ‘Outcome’ denotes the estimated effect on MSCI log-returns. By construction, the median shock (Var = 0) defines the baseline of the model, resulting in a null effect at this point. This explains why the response curves consistently intersect zero at the median across all figures. For clarity of interpretation, we report both the three-dimensional exposure–lag–response surfaces and their cross-sectional slices. While the former offer a comprehensive visualization of the joint effect of magnitude and lag, the latter highlight how effects evolve at specific lags and quantiles. Presenting both views is a common practice in DLNM applications and facilitates the economic interpretation of the results.
4.5. Russia
In the case of Russia, Figure 7 presents the estimated exposure-lag-response surface, the surface highlights that positive global interest rate shocks are associated with notably adverse and immediate effects on Russian equity returns. These negative effects are strongest at shorter lags (around lag 0 to 2), where tightening shocks of moderate to high magnitude lead to cumulative losses exceeding −0.1 in standardized return units. The gradient intensifies in the lower-right quadrant of the plot (high WIR, low lag), suggesting that the Russian market reacts almost instantaneously and disproportionately to global monetary contractions, likely due to its sensitivity to capital flows and risk aversion in global markets.
Figure 7.
Exposure–lag–response surface for Russia showing the effect of standardized WIR shocks. Note: The color scale represents the estimated effect size, where blue indicates positive effects and yellow negative effects.
Conversely, negative WIR shocks (loosening episodes) are associated with mildly positive or neutral effects. The surface indicates a slight increase in returns for low or negative values of the WIR, but these effects are less pronounced and lack statistical prominence beyond lag 2. The relatively flat and shallow gradients in this region of the plot suggest that easing in global rates does not trigger a strong or persistent rebound in Russian equities. Figure 7 reveals an important asymmetry: while global monetary tightening has immediate and substantial negative repercussions for the Russian stock market, monetary easing fails to generate equally strong positive reactions. This pattern is consistent with emerging market vulnerabilities to external financial shocks and capital outflows, particularly in geopolitically exposed or commodity-dependent economies like Russia.
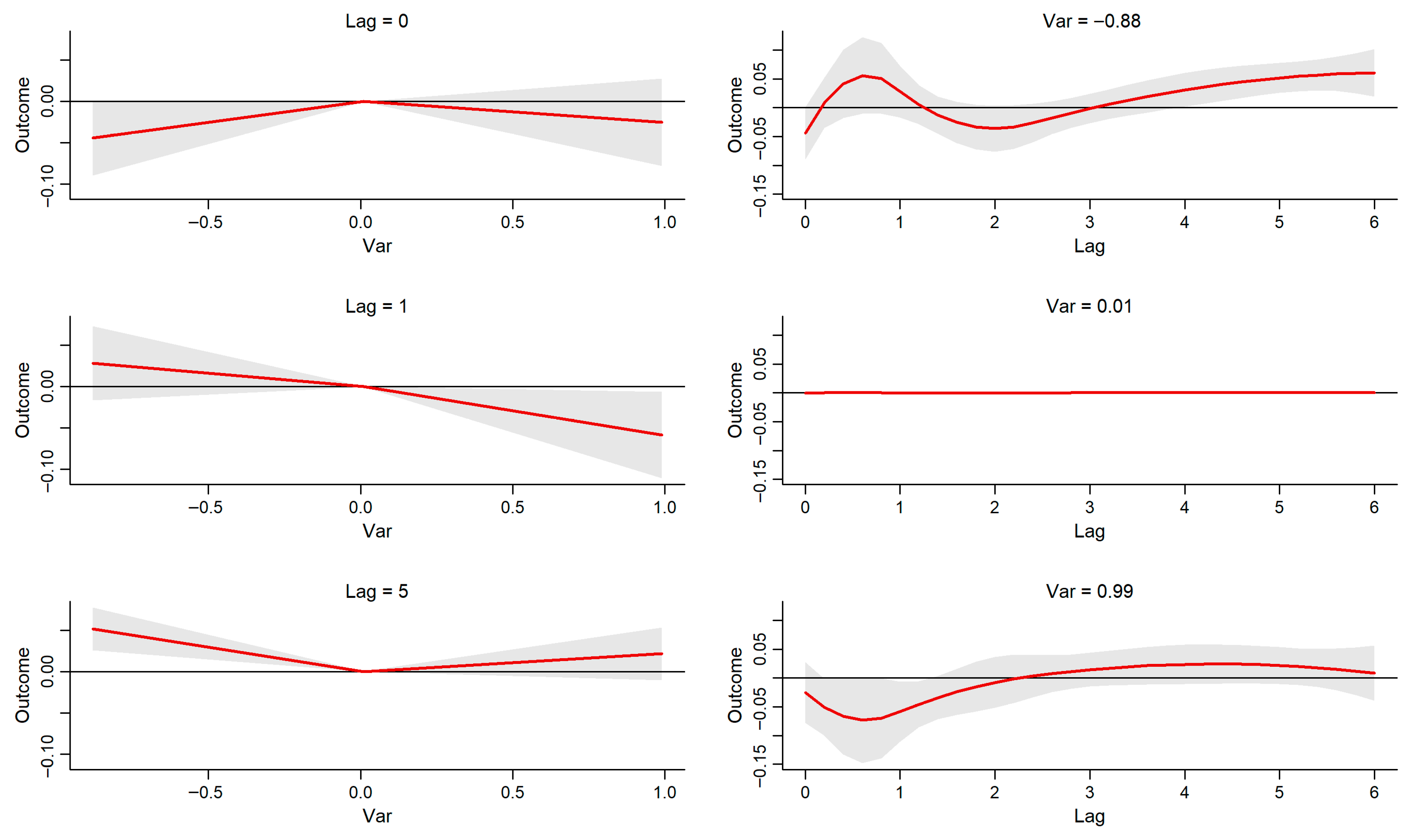
Figure 8 presents the disaggregated effects of standardized global interest rate (WIR) shocks on the Russian stock market. The results reveal a strong asymmetry in the immediate response (lag 0): positive WIR shocks (tightening) are associated with a significant and negative contemporaneous effect on Russian equity returns, just as negative shocks (easing) produce a slightly negative effect. This nonlinear pattern quickly fades, as evidenced by the flat response curves at lags 1 and 5, indicating minimal lagged influence.
Figure 8.
Cross-sections of the DLNM for Russia. Left panels show exposure–response curves at selected lags (0, 1, and 5); right panels show lag–response curves at WIR quantiles (“Var” = 1%, 50%, 99%). “Outcome” denotes the estimated effect on MSCI log-returns. At Var = 0 (median shock), the baseline effect is null, so curves intersect zero.
The lag-response panels further confirm this dynamic. A large positive WIR shock (+1.07) produces a clearly positive cumulative response, which peaks around lag 2 and gradually declines thereafter. In contrast, a large negative shock (–0.8) generates a modest and statistically less significant impact across the lags. The median WIR value (–0.01) shows no discernible effect across the lag structure, as expected. The evidence points to a nonlinear, time-varying relationship between global interest rate shocks and Russian equity returns. The market appears particularly sensitive to monetary policy tightening shocks, and lagged adjustments likely reflect risk repricing or macrofinancial transmission mechanisms specific to the Russian market structure and its external vulnerability.
4.6. India
Figure 9 displays the estimated exposure-lag-response surface for India. The surface highlights a transient but asymmetric response to global interest rate dynamics, emphasizing India’s relative vulnerability to unexpected loosening cycles rather than to tightening episodes. The results suggest a non-monotonic and lag-dependent relationship. Moderate negative WIR shocks (loosening) appear to produce adverse effects on returns with a short delay—most prominently around lag 2—where a localized region of strong negative response is visible. This pattern may reflect delayed reactions from capital flows or institutional adjustments in the Indian financial market. Conversely, the response to positive WIR shocks (tightening) is more muted and less consistent across lags, indicating weaker sensitivity to global monetary tightening. Interestingly, both ends of the lag distribution (lags 0 and 5–6) show near-zero effects regardless of the shock’s magnitude, suggesting that India’s equity market does not respond instantaneously nor with long-term persistence to external interest rate movements.
Figure 9.
Exposure–lag–response surface for India showing the effect of standardized WIR shocks. Note: The color scale represents the estimated effect size, where blue indicates positive effects and yellow negative effects.
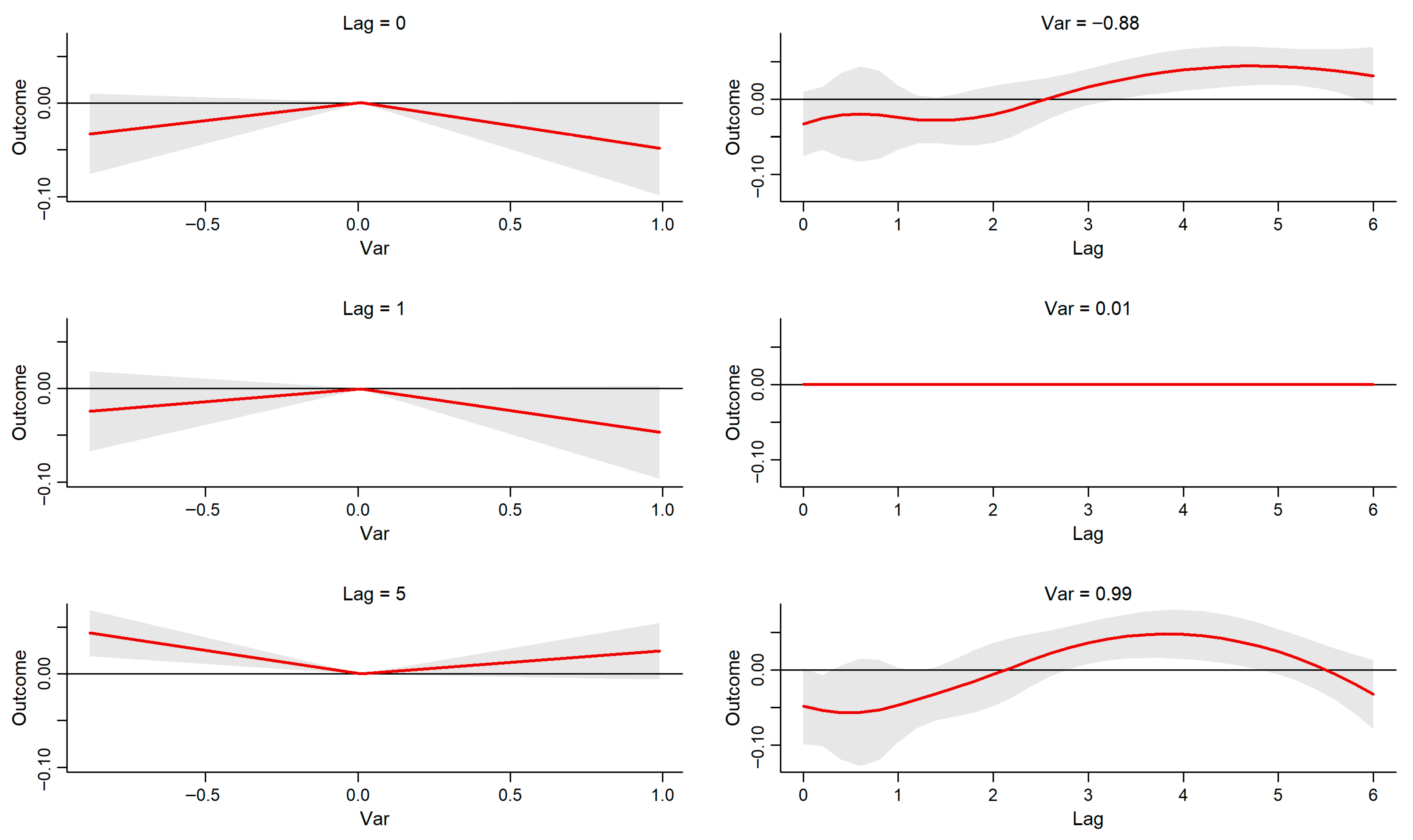
Figure 10 provides a disaggregated visualization of the DLNM results for India. The most extreme negative WIR shock (–0.88) produces a rapid but transient drop in yields at the second lag, subsequently recovering through lags 5 and 6, becoming significant. In contrast, the median WIR shock (≈0.01) does not exhibit a statistically significant impact across the entire range of lags, acting as a null baseline. For the extreme positive shock (0.99), the response is also nonlinear: yields decline initially but then show a slight upward trajectory around lags 3–5 before stabilizing. However, this is not significant.
Figure 10.
Cross-sections of the DLNM for India. Left panels show exposure–response curves at selected lags (0, 1, and 5); right panels show lag–response curves at WIR quantiles (“Var” = 1%, 50%, 99%). “Outcome” denotes the estimated effect on MSCI log-returns. At Var = 0 (median shock), the baseline effect is null, so curves intersect zero.
These findings reveal that the Indian market’s response is more pronounced to negative global interest rate shocks, especially at long lags, while reactions to medium or positive shocks tend to be weak. This reinforces the hypothesis of asymmetric transmission of global interest rate cycles to emerging equity markets.
4.7. China
Unlike other emerging economies, the behavior of the Chinese stock market (Figure 11) in the face of global interest rate shocks appears to be governed by a different logic. Analyzing the joint relationship between the magnitude of WIR shocks and the time lags on stock market returns reveals a relatively stable surface, without large fluctuations, suggesting a more contained response dynamic.
Figure 11.
Exposure–lag–response surface for China showing the effect of standardized WIR shocks. Note: The color scale represents the estimated effect size, where blue indicates positive effects and yellow negative effects.
Moderate contractionary shocks (WIR < −1) tend to generate slightly negative effects in the short term, especially between the first two lag periods, but without reaching alarming levels. In contrast, when WIR increases, the effects on returns are generally neutral, with a more muted effect in the intermediate lags. This smooth surface is particularly revealing: there are no abrupt areas of gain or loss that dominate the response, which could be linked to the strong regulation of the financial market in China, the role of the State in the economy, and its lesser exposure to international speculative flows.
Beyond the direction of the effects, what stands out is the symmetry and moderation of the response. While other markets show immediate sensitivity or more pronounced cumulative reactions, in China, the transmission of shocks appears to be cushioned or filtered, even in the face of extreme shocks. This pattern could be interpreted as a manifestation of the institutional design of its economy, where external influence is regulated through internal mechanisms, limiting volatility induced by global factors.
In the case of China, the estimated disaggregated lag–nonlinear effects in Figure 12 provide a nuanced understanding of how different magnitudes of WIR influence equity returns over time. At lag 0, the immediate response to either positive or negative WIR shocks remains mild and statistically indistinct from zero, suggesting a limited contemporaneous sensitivity. However, as the time horizon extends, particularly at lags 1 and 5, a slight asymmetry emerges: while mild tightening (negative WIR shocks) appears to generate marginally negative effects, expansionary shocks (positive WIR) are associated with small gains, albeit with overlapping confidence intervals. The lag-response plots on the right panels show that under extreme tightening (quantile 1, WIR = −0.88), returns initially decline slightly but quickly recover and become positive from lag 2 onwards, with a peak near lag 5. In contrast, the response to a neutral shock (quantile 50) is virtually flat across all lags, reinforcing the notion of low baseline sensitivity. When facing a strong expansionary shock (quantile 99), returns display a gradual increase up to lag 4, before tapering off. Overall, the lag-distributed response in China reveals a controlled and dampened dynamic compared to other emerging economies. While the market does exhibit delayed reactions to external interest rate shocks, particularly under extreme scenarios, the magnitude remains modest. These findings are consistent with China’s partially insulated financial system and its managed capital account, which likely buffer the transmission of global financial volatility into domestic equity performance.
Figure 12.
Cross-sections of the DLNM for China. Left panels show exposure–response curves at selected lags (0, 1, and 5); right panels show lag–response curves at WIR quantiles (“Var” = 1%, 50%, 99%). “Outcome” denotes the estimated effect on MSCI log-returns. At Var = 0 (median shock), the baseline effect is null, so curves intersect zero.
4.8. South Africa
Figure 13 illustrates the three-dimensional exposure-lag-response surface for South Africa. Rather than displaying an abrupt or highly asymmetric pattern, the surface suggests a rather attenuated and gradual response. Interestingly, the effects are not concentrated in the immediate term but appear to diffuse slowly across the lags, with the most notable deviations from zero observed around lags 2 and 5. A closer look at the shape of the contour reveals a shallow basin for moderately negative WIR values, especially near lag 2, indicating a delayed vulnerability to adjustment cycles. In contrast, positive WIR shocks produce slightly favorable effects, peaking near the longer end of the lag spectrum. The overall amplitude of the estimated effects remains within a narrow corridor, with values ranging from approximately −0.1 to 0.1, highlighting the moderate nature of the transmission mechanism.
Figure 13.
Exposure–lag–response surface for South Africa showing the effect of standardized WIR shocks. Note: The color scale represents the estimated effect size, where blue indicates positive effects and yellow negative effects.
This pattern could reflect the dual nature of the South African financial system: sufficiently open to respond to global monetary trends yet buffered by local institutional factors that cushion extreme reactions. In this sense, the surface captures a slow transmission of global financial conditions to the domestic stock market, with more persistent effects emerging only after a time lag. The results highlight the need to consider both the intensity and persistence of external shocks when analyzing market reactions in partially integrated emerging economies.
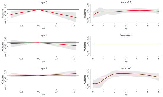
To deepen the interpretation of the estimated exposure-lag-response structure for South Africa, Figure 14 isolates key slices of the surface across both the lag and predictor dimensions. At lag 0, the estimated effect is nearly flat with a slight negative slope, suggesting a minimal and statistically insignificant immediate response to WIR shocks. This already weak response diminishes further at lag 1. By lag 5, a mild upward curvature appears, hinting at a potential delayed adjustment, though the pattern remains within the bounds of statistical uncertainty. The right-hand panels reinforce this subdued interpretation. For extreme negative WIR values (τ = 0.01), the response hovers slightly below zero and traces a shallow U-shape over time, yet without statistical support. At the median (τ = 0.50), the response is effectively flat, indicating no clear sensitivity. Even at the upper tail (τ = 0.99), where a gradual increase up to lag 4–5 is observed, the effect remains weak and fails to reach statistical significance. The results suggest that South Africa’s equity market exhibits no robust or statistically significant reaction to global interest rate shocks. The observed patterns are weak, nonlinear, and lack consistent magnitude across time or quantiles. This highlights the limited transmission of external monetary shocks in this context and underscores the need for cautious interpretation when evaluating global spillover effects on emerging markets.
Figure 14.
Cross-sections of the DLNM for South Africa. Left panels show exposure–response curves at selected lags (0, 1, and 5); right panels show lag–response curves at WIR quantiles (“Var” = 1%, 50%, 99%). “Outcome” denotes the estimated effect on MSCI log-returns. At Var = 0 (median shock), the baseline effect is null, so curves intersect zero.
4.9. Transmission Mechanisms and Country Heterogeneity
Global interest-rate shocks operate through several channels in equity markets. First, a valuation/discount-rate channel, whereby higher world rates raise discount factors and compress present values of cash flows. Second, a risk-premium channel tied to the global financial cycle: tighter external conditions increase required returns for risky assets, particularly where foreign participation is high. Third, a funding/FX channel, as shifts in world rates alter cross-border funding costs and exchange-rate pressures that feed into equity risk premia. Fourth, a policy-reaction channel, insofar as domestic monetary authorities adjust their stance in response to global financial conditions. The strength and timing of these channels depend on country characteristics, including financial openness and foreign investor base, exchange-rate flexibility, market depth and availability of hedging instruments, and sectoral composition (e.g., commodity exposure).
If we analyze country heterogeneity, we find to Brazil, the relatively open equity market with meaningful foreign participation and deep derivatives allows fast repricing via the discount-rate and risk-premium channels. This aligns with the short-lag responses we document: easing (lower WIR) supports valuations, whereas tightening compresses them, with limited persistence as hedging mitigates propagation. India, a larger domestic investor base and capital-flow management make the global cycle transmit more gradually; the responses are milder and materialize with short lags, consistent with a dampened risk-premium channel. In the case of China, capital controls, a managed exchange-rate regime and policy interventions tend to buffer external rate shocks; accordingly, the DLNM surfaces show attenuated and short-lived effects, suggesting policy and segmentation dampen both valuation and risk-premium channels. Russia (proxied by EMEA), here, sanctions and market segmentation since 2022 imply tighter external financing and elevated risk premia; the more immediate adverse reactions to tightening are consistent with funding/FX and risk-premium channels, though results must be interpreted with caution given the EMEA proxy. South Africa. An open—but smaller—market with a flexible exchange rate and commodity exposure exhibits short-horizon effects that are quickly absorbed as FX adjustment and domestic risk premia dominate, yielding weaker persistence.
5. Conclusions
This study provides compelling evidence of the heterogeneous and nonlinear transmission of global interest rate shocks to equity markets in BRICS countries. By applying a DLNM to a standardized WIR index, we unveil differentiated exposure-lag-response dynamics across markets, highlighting the importance of context-specific structures, institutional arrangements, and degrees of financial openness.
Brazil exhibits a delayed yet asymmetric response, with expansionary global shocks (i.e., lower rates) generating gradually stronger and more persistent positive effects on equities. This pattern suggests that Brazil’s market is responsive to global liquidity conditions, possibly due to the attractiveness of its assets during periods of monetary easing in developed economies. Policymakers and investors should therefore consider the role of global easing cycles in stimulating capital inflows and asset revaluation in Brazil, particularly with a lag. Russia, in contrast, demonstrates an immediate and strongly negative reaction to global monetary tightening but little benefit from easing episodes. This asymmetric and fragile pattern reflects the market’s sensitivity to capital outflows, geopolitical risk, and commodity-price linkages. The evidence underscores the vulnerability of highly externally exposed economies to abrupt shifts in global financial conditions—an insight relevant for risk managers and monetary authorities seeking to build buffers against external volatility. It is important to note a limitation regarding Russia: since the MSCI Russia Index was suspended in 2022 due to geopolitical sanctions, we relied on the MSCI Emerging Markets EMEA Index as a proxy. While this choice preserves continuity in the sample, it may dilute country-specific dynamics and should be interpreted with caution. Future research could explore alternative datasets or country-level sources to better capture Russia’s equity market behavior under sanctions. India shows a unique configuration where negative WIR shocks (loosening) elicit more prominent, though delayed, negative reactions. This counterintuitive result may reflect structural features of India’s capital market, such as selective openness and institutional inertia in reallocating capital. The muted response to tightening further supports the notion of partial insulation, yet the delayed adverse effects from easing highlight a nuanced vulnerability that decision-makers should not overlook.
China’s market behavior is the most contained among the BRICS. The surface remains relatively flat, with responses that are mild and symmetric. This stability is likely due to China’s tight capital controls, large domestic investor base, and regulatory mechanisms that insulate the financial system from abrupt external shocks. While this may dampen external volatility, it may also limit the transmission of beneficial global cycles. Policymakers elsewhere may draw lessons from China’s institutional design, although its replicability is limited by broader governance and economic frameworks. South Africa presents a marginal and statistically weak sensitivity to global interest rate changes. The response is neither immediate nor robust, suggesting that its market operates within a moderated global transmission channel. This may be attributed to a hybrid financial architecture—integrated enough to reflect global trends but with domestic stabilizers mitigating excess volatility. For policymakers, this implies that conventional global spillover models may overestimate the risk transmission to South African equities, emphasizing the need for context-specific risk assessments.
Our findings reaffirm that global financial conditions are not transmitted uniformly across emerging markets. The effects depend critically on the structural features of each economy, the composition of market participants, capital mobility, and the degree of regulatory oversight. For international investors, this means that country-specific risk assessments are indispensable when responding to global monetary shifts. For central banks and financial regulators in emerging economies, the results underscore the importance of reinforcing domestic resilience mechanisms to manage the asymmetric and delayed nature of global shock propagation.
Author Contributions
Conceptualization, O.J.-B., J.H.-C., S.L.-E. and D.-T.A.; methodology, O.J.-B.; software, S.L.-E.; validation, O.J.-B. and J.H.-C.; formal analysis, O.J.-B., S.L.-E. and D.-T.A.; investigation, J.H.-C.; data curation, S.L.-E.; writing—original draft preparation, O.J.-B., J.H.-C., S.L.-E. and D.-T.A.; writing—review and editing, O.J.-B., J.H.-C., S.L.-E. and D.-T.A.; visualization, O.J.-B. and S.L.-E. All authors have read and agreed to the published version of the manuscript.
Funding
This research received no external funding.
Institutional Review Board Statement
Not applicable.
Informed Consent Statement
Not applicable.
Data Availability Statement
Data are contained within this paper.
Conflicts of Interest
The authors declare no conflicts of interest.
Appendix A. Robustness with Short-Term (3-Month) G7 Interest Rates
Appendix A.1. Data and Construction of the Short-Term WIR (WIR3M)
We build an alternative World Interest Rate based on 3-month money market rates for the G7 economies (OECD short-term interest rates, monthly averages). For each month, we stack the standardized levels of the seven series and extract the first principal component (PC1) as a common short-term rate. We then compute the first difference in PC1 and standardize it to obtain the shock measure , mirroring our baseline design with 10-year yields.
Figure A1.
G7 short-term (3-month) interest rates, monthly averages (OECD). Series are shown in percent.
Figure A1.
G7 short-term (3-month) interest rates, monthly averages (OECD). Series are shown in percent.

Appendix A.2. Short-Term WIR Level (PC1)
The extracted PC1 tracks the common component of G7 short-term rates and provides a compact proxy for global short-term financial conditions.
Figure A2.
Short-term WIR (PC1 of standardized G7 3-month rates). “WIR (Rescaled Units)” denotes the rescaled PC1 for readability.
Figure A2.
Short-term WIR (PC1 of standardized G7 3-month rates). “WIR (Rescaled Units)” denotes the rescaled PC1 for readability.

Appendix A.3. DLNM Estimates Using
We re-estimate the DLNM specifications for the BRICS using as the exposure. We keep the same lag length (L = 6) and spline settings as in the baseline to enable one-to-one comparison.
Figure A3.
Exposure–lag–response surfaces (DLNM) using short-term WIR shocks for Brazil, China, India, Russia, and South Africa.
Figure A3.
Exposure–lag–response surfaces (DLNM) using short-term WIR shocks for Brazil, China, India, Russia, and South Africa.

Across countries, qualitative patterns are preserved relative to the baseline with 10-year yields: (i) effects concentrate at short lags (0–2), (ii) there are no sign reversals in the main responses, and (iii) magnitudes remain of similar order (differences fall within uncertainty bands). These results indicate that our conclusions are robust to the maturity choice for constructing the global interest rate factor.
Table A1.
ADF for processed variables used in estimation (monthly).
Table A1.
ADF for processed variables used in estimation (monthly).
| Series | Transform | Test | Lag Order | DF Statistic | p-Value | Decision (5%) |
|---|---|---|---|---|---|---|
| ΔWIR (10Y PC1) | first diff (delta_TIM) | ADF | 6 | −3.9608 | 0.0116 | Stationary |
| MSCI Brazil | log-return | ADF | 6 | −6.0936 | <0.01 | Stationary |
| MSCI Russia (EMEA) | log-return | ADF | 5 | −5.6877 | <0.01 | Stationary |
| MSCI India | log-return | ADF | 6 | −5.8064 | <0.01 | Stationary |
| MSCI China | log-return | ADF | 6 | −5.5060 | <0.01 | Stationary |
| MSCI South Africa | log-return | ADF | 5 | −4.8905 | <0.01 | Stationary |
Table A2.
ADF on unprocessed levels (diagnostic; not used in estimation).
Table A2.
ADF on unprocessed levels (diagnostic; not used in estimation).
| Series | Level/Transform | Test | Lag Order | DF Statistic | p-Value | Decision (5%) |
|---|---|---|---|---|---|---|
| WIR (10Y PC1, level) | level | ADF | 6 | −0.2700 | 0.99 | Unit root (non-stationary) |
| MSCI Brazil (level) | level | ADF | 6 | −3.5085 | 0.0427 | Stationary |
| MSCI Russia (level) | level | ADF | 5 | −2.3445 | 0.4319 | Unit root |
| MSCI India (level) | level | ADF | 6 | −2.3016 | 0.4490 | Unit root |
| MSCI China (level) | level | ADF | 6 | −3.3341 | 0.0662 | Not reject at 5% |
| MSCI South Africa (level) | level | ADF | 5 | −2.6839 | 0.2917 | Unit root |
References
- Abdullah, D. A., & Hayworth, S. C. (1993). Macroeconometrics of stock price fluctuations. Quarterly Journal of Business and Economics, 32(1), 50–67. [Google Scholar]
- Abugri, B. A. (2008). Empirical relationship between macroeconomic volatility and stock returns: Evidence from Latin American markets. International Review of Financial Analysis, 17(2), 396–410. [Google Scholar] [CrossRef]
- Alam, M., & Uddin, G. S. (2009). Relationship between Interest Rate and Stock Price: Empirical Evidence from Developed and Developing Countries. International Journal of Business and Management, 4, 43–51. [Google Scholar] [CrossRef]
- Amarasinghe, A. (2015). Dynamic relationship between interest rate and stock price: Empirical evidence from colombo stock exchange. International Journal of Business and Social Science, 6(4). Available online: https://www.ijbssnet.com/journal/index/3104 (accessed on 22 August 2025).
- Attílio, L. A., Faria, J. R., & Prado, M. (2024). The impact of the US stock market on the BRICS and G7: A GVAR approach. Journal of Economic Studies, 51(7), 1481–1506. [Google Scholar] [CrossRef]
- Bahadir, B., & Lastrapes, W. D. (2015). Emerging market economies and the world interest rate. Journal of International Money and Finance, 58, 1–28. [Google Scholar] [CrossRef]
- Bashir, A., & Hassan, A. (2017). Interrelationship among basel capital regulation, risk, and efficiency in Pakistani commercial banks. Business & Economic Review, 9(2), 165–186. [Google Scholar] [CrossRef]
- Battisti, M., Fioroni, T., & Lavezzi, A. M. (2020). World interest rates and inequality: Insight from the Galor-Zeira model. Macroeconomic Dynamics, 24(5), 1042–1072. [Google Scholar] [CrossRef]
- Bekaert, G., & Harvey, C. R. (2000). Foreign speculators and emerging equity markets. Journal of Finance, 55(2), 565–613. [Google Scholar] [CrossRef]
- Bruno, V., & Shin, H. S. (2015). Capital flows and the risk-taking channel of monetary policy. Journal of Monetary Economics, 71, 119–132. [Google Scholar] [CrossRef]
- Bulmash, S. B., & Trivoli, G. W. (1991). Time–lagged interactions between stocks prices and selected economic variables. The Journal of Portfolio Management, 17(4), 61–67. [Google Scholar] [CrossRef]
- Calvo, G. A., Leiderman, L., & Reinhart, C. M. (1996). Inflows of capital to developing countries in the 1990s. Journal of Economic Perspectives, 10(2), 123–139. [Google Scholar] [CrossRef]
- Del Negro, M., Giannone, D., Giannoni, M. P., & Tambalotti, A. (2019). Global trends in interest rates. Journal of International Economics, 118, 248–262. [Google Scholar] [CrossRef]
- Ehrmann, M., & Fratzscher, M. (2009). Global financial transmission of monetary policy shocks. Oxford Bulletin of Economics and Statistics, 71(6), 739–759. [Google Scholar] [CrossRef]
- Eichengreen, B., & Gupta, P. (2015). Tapering talk: The impact of expectations of reduced federal reserve security purchases on emerging markets. Emerging Markets Review, 25, 1–15. [Google Scholar] [CrossRef]
- Gasparrini, A. (2011). Distributed lag linear and non-linear models in R: The package dlnm. Journal of Statistical Software, 43(8), 1–20. [Google Scholar] [CrossRef]
- Georgiadis, G. (2016). Determinants of global spillovers from U.S. monetary policy. Journal of International Money and Finance, 67, 41–61. [Google Scholar] [CrossRef]
- Geske, R., & Roll, R. (1983). The fiscal and monetary linkage between stock returns and inflation. The Journal of Finance, 38(1), 1–33. [Google Scholar] [CrossRef]
- Joaqui-Barandica, O., Oviedo-Gómez, A., & Manotas-Duque, D. F. (2023). Directional predictability between interest rates and the Stoxx 600 Banks index: A quantile approach. Finance Research Letters, 58, 104328. [Google Scholar] [CrossRef]
- Kerbeg, M. A., Haase, G. C., Tessmann, M. S., & Lourenço, T. T. (2025). The effects of interest rates on the BRICS exchange rate: A 2SLS approach. Economics Bulletin, 45(1), 237–242. [Google Scholar]
- Kumar, V., & Dua, P. (2024). What explains foreign portfolio investment inflows to BRICS countries? Economic Analysis and Policy, 82, 32–46. [Google Scholar] [CrossRef]
- Martínez-Cañete, A. R., Márquez-de-la-Cruz, E., & Pérez-Soba, I. (2022). Non-linear cointegration between oil and stock prices: The role of interest rates. Research in International Business and Finance, 59, 101513. [Google Scholar] [CrossRef]
- McCracken, M. W., & Ng, S. (2016). FRED-MD: A Monthly Database for Macroeconomic Research. Journal of Business & Economic Statistics, 34(4), 574–589. [Google Scholar] [CrossRef]
- Miranda-Agrippino, S., & Rey, H. (2020). U.S. monetary policy and the global financial cycle. The Review of Economic Studies, 87(6), 2754–2776. [Google Scholar] [CrossRef]
- Mishkin, F. S. (2008). Challenges for inflation targeting in emerging market countries. Emerging Markets Finance and Trade, 44(6), 5–16. [Google Scholar] [CrossRef]
- Neumeyer, P. A., & Perri, F. (2005). Business cycles in emerging economies: The role of interest rates. Journal of Monetary Economics, 52(2), 345–380. [Google Scholar] [CrossRef]
- Saliba, C., Farmanesh, P., & Athari, S. A. (2023). Does country risk impact the banking sectors’ non-performing loans? Evidence from BRICS emerging economies. Financial Innovation, 9(1), 86. [Google Scholar] [CrossRef] [PubMed]
- Salisu, A. A., Adeleke, I., & Akanni, L. O. (2021). Asymmetric and time-varying behavior of exchange rate and interest rate differential in emerging markets. Emerging Markets Finance and Trade, 57(14), 3944–3959. [Google Scholar] [CrossRef]
- Shambaugh, J. C., & Zhou, H. (2024). Interest rates across the world: Global, regional, and idiosyncratic factors. Journal of Banking and Finance, 163, 107192. [Google Scholar] [CrossRef]
- Sithole, R. P., & Eita, J. H. (2023). An empirical analysis of macroeconomic determinants of credit risk in the banking sectors: Evidence from the BRICS countries. Review of Development Finance, 13(2), 44–58. [Google Scholar]
- Tabash, M. I., AsadUllah, M., Siddiq, Q., Mansour, M., Daniel, L. N., & Al-Absy, M. S. M. (2024). Symmetries or asymmetries: How MSCI index advanced European markets’ exchange rates respond to macro-economic fundamentals. Economies, 12(12), 326. [Google Scholar] [CrossRef]
- Uribe, M., & Yue, V. Z. (2006). Country spreads and emerging countries: Who drives whom? Journal of International Economics, 69(1), 6–36. [Google Scholar] [CrossRef]
- Waheed, F., Rashid, A., Basit, A., & Maroof, L. (2024). Monetary policy reaction function: A Bayesian analysis for the BRICS. PLoS ONE, 19(8), e0307436. [Google Scholar] [CrossRef] [PubMed]
- Zaidi, S. H., & Rupeika-Apoga, R. (2021). Liquidity synchronization, its determinants and outcomes under economic growth volatility: Evidence from emerging Asian economies. Risks, 9(2), 43. [Google Scholar] [CrossRef]
- Zhang, Y., & Hamori, S. (2022). A connectedness analysis among BRICS’s geopolitical risks and the US macroeconomy. Economic Analysis and Policy, 76, 182–203. [Google Scholar] [CrossRef]
Disclaimer/Publisher’s Note: The statements, opinions and data contained in all publications are solely those of the individual author(s) and contributor(s) and not of MDPI and/or the editor(s). MDPI and/or the editor(s) disclaim responsibility for any injury to people or property resulting from any ideas, methods, instructions or products referred to in the content. |
© 2025 by the authors. Licensee MDPI, Basel, Switzerland. This article is an open access article distributed under the terms and conditions of the Creative Commons Attribution (CC BY) license (https://creativecommons.org/licenses/by/4.0/).













