RANFIS-Based Sensor System with Low-Cost Multi-Sensors for Reliable Measurement of VOCs
Abstract
1. Introduction
2. Materials and Methods
2.1. Sensor Module
2.2. Experiments
2.2.1. Setup
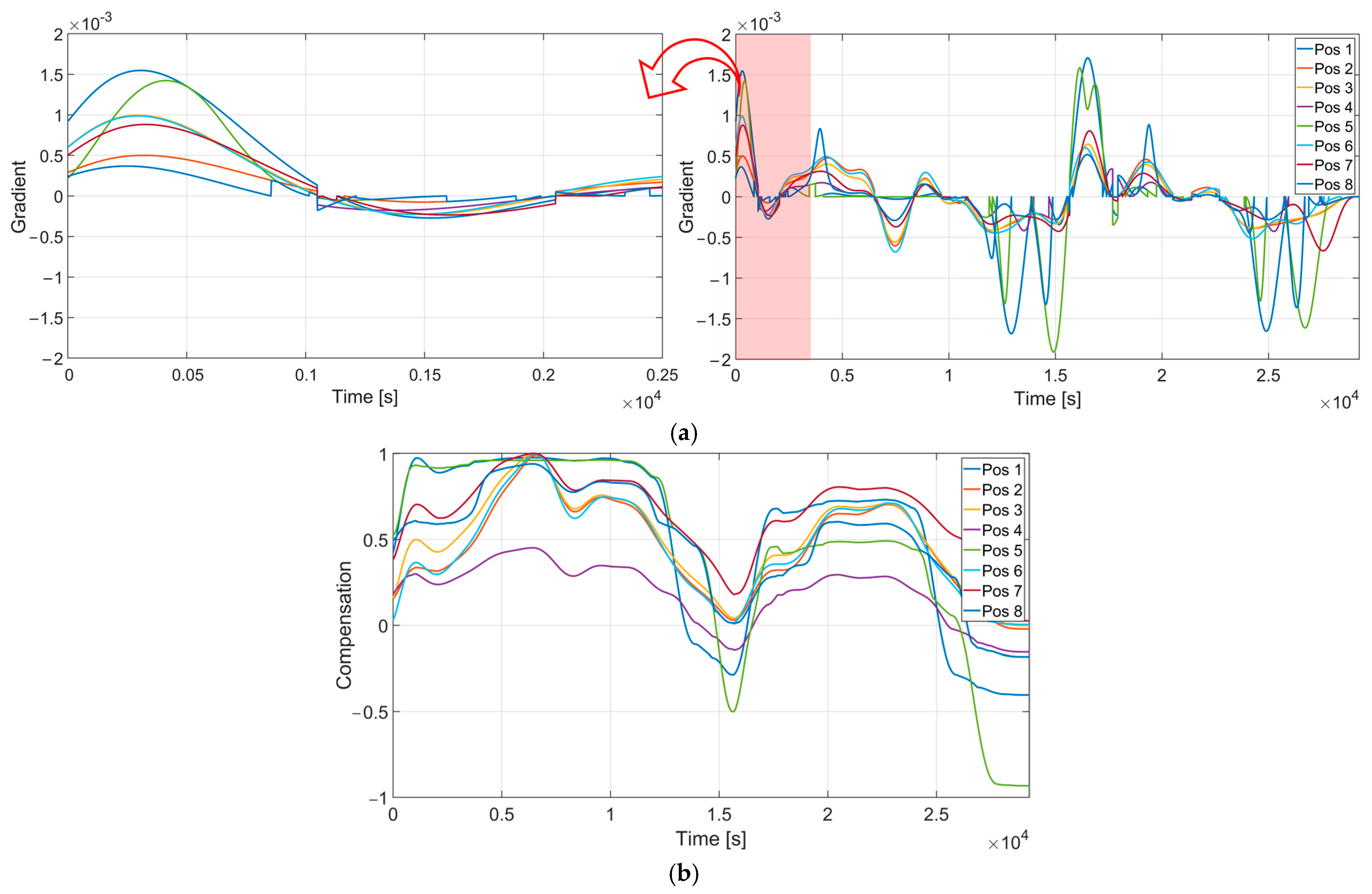
2.2.2. Data Characteristics
2.3. ANFIS Model
2.4. RANFIS Model
3. Results
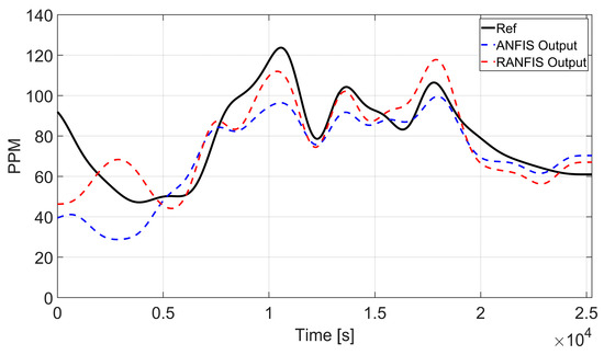
3.1. Evaluation of the ANFIS Model
3.2. Evaluation of the RANFIS Model
4. Discussion
5. Conclusions
5.1. Summary
5.2. Study Limitations
Author Contributions
Funding
Institutional Review Board Statement
Informed Consent Statement
Data Availability Statement
Conflicts of Interest
Appendix A



| Sensor Position | Correlation Coefficient | Initial Value [V] | |
|---|---|---|---|
| Up | Position 1 | 0.84 | 0.82 |
| Left | Position 2 | 0.60 | 0.69 |
| Down | Position 3 | 0.83 | 1.43 |
| Right | Position 4 | 0.82 | 0.73 |
| Up | Position 5 | 0.68 | 1.11 |
| Left | Position 6 | 0.87 | 0.82 |
| Down | Position 7 | 0.68 | 1.24 |
| Right | Position 8 | 0.64 | 0.94 |
| Sensor Position | Correlation Coefficient | Initial Value [V] | |
|---|---|---|---|
| Up | Position 1 | 0.98 | 0.00 |
| Left | Position 2 | 0.97 | 0.02 |
| Down | Position 3 | 0.99 | 0.07 |
| Right | Position 4 | 0.99 | 0.01 |
| Up | Position 5 | 0.99 | 0.01 |
| Left | Position 6 | 0.63 | 0.00 |
| Down | Position 7 | 0.99 | 0.00 |
| Right | Position 8 | 0.99 | 0.00 |






References
- Zheng, K.; Zhao, S.; Yang, Z.; Xiong, X.; Xiang, W. Design and implementation of LPWA-based air quality monitoring system. IEEE Access 2016, 4, 3238–3245. [Google Scholar] [CrossRef]
- Badjagbo, K.; Sauvé, S.; Moore, S. Real-time continuous monitoring methods for airborne VOCs. TrAC Trends Anal. Chem. 2007, 26, 931–940. [Google Scholar] [CrossRef]
- Schütze, A.; Baur, T.; Leidinger, M.; Reimringer, W.; Jung, R.; Conrad, T.; Sauerwald, T. Highly sensitive and selective VOC sensor systems based on semiconductor gas sensors: How to? Environments 2017, 4, 20. [Google Scholar] [CrossRef]
- Song, M.Y.; Chun, H. Species and characteristics of volatile organic compounds emitted from an auto-repair painting workshop. Sci. Rep. 2021, 11, 16586. [Google Scholar] [CrossRef] [PubMed]
- Eklund, B.M.; Nelson, T.P. Evaluation of VOC emission measurement methods for paint spray booths. J. Air Waste Manag. Assoc. 1995, 45, 196–205. [Google Scholar] [CrossRef] [PubMed][Green Version]
- Xu, W.; Cai, Y.; Gao, S.; Hou, S.; Yang, Y.; Duan, Y.; Wu, J. New understanding of miniaturized VOCs monitoring device: PID-type sensors performance evaluations in ambient air. Sens. Actuators B Chem. 2021, 330, 129285. [Google Scholar] [CrossRef]
- Khan, S.; Le Calvé, S.; Newport, D. A review of optical interferometry techniques for VOC detection. Sens. Actuators A Phys. 2020, 302, 111782. [Google Scholar] [CrossRef]
- Kim, J.N.; Kim, H.J. A Chemoresistive Gas Sensor Readout Integrated Circuit with Sensor Offset Cancellation Technique. IEEE Access 2023, 11, 85405–85413. [Google Scholar] [CrossRef]
- Hirobayashi, S.; Kimura, H.; Oyabu, T. Dynamic model to estimate the dependence of gas sensor characteristics on temperature and humidity in environment. Sens. Actuators B Chem. 1999, 60, 78–82. [Google Scholar] [CrossRef]
- Kwon, Y.M.; Oh, B.; Purbia, R.; Chae, H.Y.; Han, G.H.; Kim, S.W.; Baik, J.M. High-performance and self-calibrating multi-gas sensor interface to trace multiple gas species with sub-ppm level. Sens. Actuators B Chem. 2023, 375, 132939. [Google Scholar] [CrossRef]
- Yang, W.; Kuan, B. Experimental investigation of dilute turbulent particulate flow inside a curved 90° bend. Chem. Eng. Sci. 2006, 61, 3593–3601. [Google Scholar] [CrossRef]
- Taheri, A.; Khoshnevis, A.B.; Lakzian, E. The effects of wall curvature and adverse pressure gradient on air ducts in HVAC systems using turbulent entropy generation analysis. Int. J. Refrig. 2020, 113, 21–30. [Google Scholar] [CrossRef]
- Naik, S.; Bryden, I.G. Prediction of turbulent gas-solids flow in curved ducts using the Eulerian-Lagrangian method. Int. J. Numer. Methods Fluids 1999, 31, 579–600. [Google Scholar] [CrossRef]
- Chen, Z.; Zheng, Y.; Chen, K.; Li, H.; Jian, J. Concentration estimator of mixed VOC gases using sensor array with neural networks and decision tree learning. IEEE Sens. J. 2017, 17, 1884–1892. [Google Scholar] [CrossRef]
- Wolfrum, E.J.; Meglen, R.M.; Peterson, D.; Sluiter, J. Metal oxide sensor arrays for the detection, differentiation, and quantification of volatile organic compounds at sub-parts-per-million concentration levels. Sens. Actuators B Chem. 2006, 115, 322–329. [Google Scholar] [CrossRef]
- Topalović, D.B.; Davidović, M.D.; Jovanović, M.; Bartonova, A.; Ristovski, Z.; Jovašević-Stojanović, M. In search of an optimal in-field calibration method of low-cost gas sensors for ambient air pollutants: Comparison of linear, multilinear and artificial neural network approaches. Atmos. Environ. 2019, 213, 640–658. [Google Scholar]
- Spinelle, L.; Gerboles, M.; Villani, M.G.; Aleixandre, M.; Bonavitacola, F. Field calibration of a cluster of low-cost available sensors for air quality monitoring. Part A: Ozone and nitrogen dioxide. Sens. Actuators B Chem. 2015, 215, 249–257. [Google Scholar]
- Yang, J.; Rahardja, S.; Fränti, P. Outlier detection: How to threshold outlier scores? In Proceedings of the International Conference on Artificial Intelligence, Information Processing and Cloud Computing, Wuhan, China, 15–17 December 2019.
- Winsen Sensor—MQ135 Semiconductor Sensor for Air Quality. Available online: https://kr.winsen-sensor.com/product/mq135-semiconductor-sensor-for-air-quality/ (accessed on 27 December 2024).
- Winsen Sensor—MQ138 VOC Gas Sensor. Available online: https://kr.winsen-sensor.com/product/mq138-voc-gas-sensor/ (accessed on 27 December 2024).
- Alphasense—PID Sensors. Available online: https://www.alphasense.com/products/view-by-target-gas/pid-sensors (accessed on 27 December 2024).
- Wandi Co., Ltd. Available online: https://wandi.co.kr/main/page.html?pid=103 (accessed on 27 December 2024).
- LDAR Tools. Available online: https://ldartools.com/phx42fid/ (accessed on 27 December 2024).
- Kim, K.S.; Kim, S.; Jun, T.H. Activated carbon-coated electrode and insulating partition for improved dust removal performance in electrostatic precipitators. Water Air Soil Pollut. 2015, 226, 367. [Google Scholar]
- Kim, S.Y.; Yoon, Y.H.; Kim, K.S. Performance of activated carbon-impregnated cellulose filters for indoor VOCs and dust control. Int. J. Environ. Sci. Technol. 2016, 13, 2189–2198. [Google Scholar] [CrossRef][Green Version]
- Jang, J.S. ANFIS: An adaptive-network-based fuzzy inference system. IEEE Trans. Syst. Man Cybern. 1993, 23, 665–685. [Google Scholar] [CrossRef]











| Low-Cost Sensor | REF Sensor | ||||
|---|---|---|---|---|---|
| Sensor 1 | Sensor 2 | Sensor 3 | |||
| Model | MQ135 [19] | MQ138 [20] | PID-A15 [21] | FIX800 [22] | phx42 [23] |
| Method | MOS | MOS | PID | PID | FID |
| Range [ppm] | 0 to 1000 | 0 to 500 | 0 to 4000 | 0 to 1000 | 0 to 100,000 |
| Average Time [s] | 2 | 2 | 2 | 1 | 1 |
| Cost [$] | 2.31 | 34.82 | 564.59 | 3421.53 | 20,557.94 |
| Other Features | Preheat time 24 h Error - | Preheat time 24 h Error - | Output % | Resolution 0.1 ppm % | Resolution 1 ppm % |
| Sensor Position | Correlation Coefficient | Initial Value [V] | |
|---|---|---|---|
| Up | Position 1 | 0.73 | 0.55 |
| Left | Position 2 | 0.95 | 0.20 |
| Down | Position 3 | 0.91 | 0.06 |
| Right | Position 4 | −0.28 | 0.36 |
| Up | Position 5 | 0.57 | 0.66 |
| Left | Position 6 | 0.96 | 0.03 |
| Down | Position 7 | 0.85 | 0.42 |
| Right | Position 8 | −0.56 | 0.16 |
| SENSOR | Sensor 1 (MQ135) | Sensor 2 (MQ138) | Sensor 3 (PID-A15) | |||
|---|---|---|---|---|---|---|
| RMSE | MAPE | RMSE | MAPE | RMSE | MAPE | |
| All | 30.41 | 38.83 | 20.32 | 20.25 | 9.64 | 9.47 |
| Remove Lowest Correlation | 30.35 | 36.05 | 16.39 | 16.25 | 5.87 | 7.49 |
| Adjusted Outlier | 23.49 | 24.45 | 12.60 | 15.36 | 5.70 | 4.79 |
| Pos 1 | Pos 2 | Pos 3 | Pos 4 | Pos 5 | Pos 6 | Pos 7 | Pos 8 | |
|---|---|---|---|---|---|---|---|---|
| Sensor 1 | 0.00 | 0.00 | 0.00 | 0.12 | 0.14 | 0.00 | 0.00 | 0.60 |
| Sensor 2 | 0.04 | 0.28 | 0.01 | 0.25 | 0.06 | 0.01 | 0.10 | 0.18 |
| Sensor 3 | 0.20 | 0.01 | 0.00 | 0.00 | 0.00 | 0.55 | 0.04 | 0.00 |
| Pos 1 | Pos 2 | Pos 3 | Pos 4 | Pos 5 | Pos 6 | Pos 7 | Pos 8 | |
|---|---|---|---|---|---|---|---|---|
| Sensor 1 | 0.29 | 0.04 | 0.01 | 0.23 | 0.41 | 0.09 | 0.10 | 0.35 |
| Sensor 2 | 0.06 | 0.06 | 0.07 | 0.09 | 0.09 | 0.04 | 0.08 | 0.12 |
| Sensor 3 | 0.07 | 0.06 | 0.03 | 0.04 | 0.04 | 0.12 | 0.04 | 0.04 |
| Sensors | Sensor 1 (MQ135) | Sensor 2 (MQ138) | Sensor 3 (PID-A15) | |||
|---|---|---|---|---|---|---|
| Model | ANFIS | RANFIS | ANFIS | RANFIS | ANFIS | RANFIS |
| RMSE | 29.22 | 3.76 | 15.65 | 11.59 | 5.85 | 4.84 |
| MAPE | 33.45 | 3.37 | 15.53 | 12.07 | 7.44 | 5.93 |
Disclaimer/Publisher’s Note: The statements, opinions and data contained in all publications are solely those of the individual author(s) and contributor(s) and not of MDPI and/or the editor(s). MDPI and/or the editor(s) disclaim responsibility for any injury to people or property resulting from any ideas, methods, instructions or products referred to in the content. |
© 2025 by the authors. Licensee MDPI, Basel, Switzerland. This article is an open access article distributed under the terms and conditions of the Creative Commons Attribution (CC BY) license (https://creativecommons.org/licenses/by/4.0/).
Share and Cite
Kim, K.; Yang, W. RANFIS-Based Sensor System with Low-Cost Multi-Sensors for Reliable Measurement of VOCs. Technologies 2025, 13, 111. https://doi.org/10.3390/technologies13030111
Kim K, Yang W. RANFIS-Based Sensor System with Low-Cost Multi-Sensors for Reliable Measurement of VOCs. Technologies. 2025; 13(3):111. https://doi.org/10.3390/technologies13030111
Chicago/Turabian StyleKim, Keunyoung, and Woosung Yang. 2025. "RANFIS-Based Sensor System with Low-Cost Multi-Sensors for Reliable Measurement of VOCs" Technologies 13, no. 3: 111. https://doi.org/10.3390/technologies13030111
APA StyleKim, K., & Yang, W. (2025). RANFIS-Based Sensor System with Low-Cost Multi-Sensors for Reliable Measurement of VOCs. Technologies, 13(3), 111. https://doi.org/10.3390/technologies13030111

