Low-Temperature Slow Pyrolysis: Exploring Biomass-Specific Biochar Characteristics and Potential for Soil Applications
Abstract
1. Introduction
2. Materials and Methods
2.1. Origin of Residues and Preparation
2.2. Biochar Production and Evaluations
3. Results
3.1. Physicochemical Properties
3.2. Carbon
3.3. Nitrogen
3.4. C/N Ratio
3.5. Phosphorus
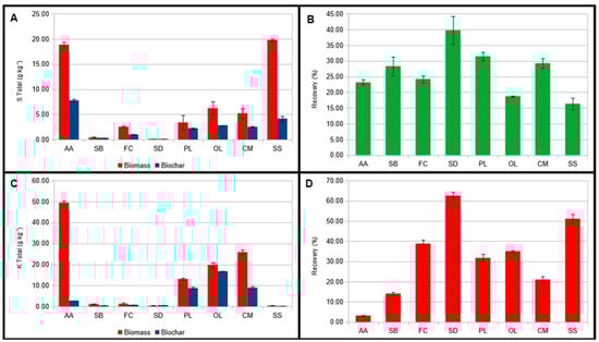
3.6. Potassium and Sulfur
3.7. Other Nutrients and Potentially Toxic Metals (PTMs)
4. Discussion
5. Conclusions
Author Contributions
Funding
Institutional Review Board Statement
Informed Consent Statement
Data Availability Statement
Acknowledgments
Conflicts of Interest
Abbreviations
| AA | Arribadas Algae |
| BC | Biochar |
| BM | Biomass |
| CEC | Cation exchange capacity |
| CM | Chicken manure |
| FC | Filter cake |
| NPBR | Non-plant |
| OL | Sheep bedding |
| PBR | Plant-based residues |
| PL | Poultry litter |
| PTM | Potentially toxic metals |
| SB | Sugarcane bagasse |
| SD | Sawdust |
| SS | Sewage Sludge |
References
- Verma, B.C.; Pramanik, P.; Bhaduri, D. Organic fertilizers for sustainable soil and environmental management. In Nutrient Dynamics for Sustainable Crop Production; Prakash, M., Srivastava, S., Singh, V., Eds.; Springer: Singapore, 2020; pp. 289–313. [Google Scholar] [CrossRef]
- Allam, M.; Radicetti, E.; Quintarelli, V.; Petroselli, V.; Marinari, S.; Mancinelli, R. Influence of Organic and Mineral Fertilizers on Soil Organic Carbon and Crop Productivity under Different Tillage Systems: A Meta-Analysis. Agriculture 2022, 12, 464. [Google Scholar] [CrossRef]
- Delgado, A.; Quemada, M.; Villalobos, F.J.; Mateos, L. Fertilization with phosphorus, potassium and other nutrients. In Principles of Agronomy for Sustainable Agriculture; Villalobos, F.J., Fereres, E., Eds.; Springer: Cham, Switzerland, 2016; pp. 293–307. [Google Scholar] [CrossRef]
- Cordell, D.; Drangert, J.; White, S. The Story of Phosphorus: Global Food Security and Food for Thought. Glob. Environ. Chang. 2009, 19, 292–305. [Google Scholar] [CrossRef]
- Florio, A.; Felici, B.; Migliore, M.; Dell’Abate, M.; Benedetti, A. Nitrogen Losses, Uptake and Abundance of Ammonia Oxidizers in Soil under Mineral and Organo-Mineral Fertilization Regimes. J. Sci. Food Agric. 2016, 96, 2440–2450. [Google Scholar] [CrossRef] [PubMed]
- Zhang, J.B.; Zhu, T.B.; Cai, Z.C.; Qin, S.W.; Muller, C. Effects of Long-Term Repeated Mineral and Organic Fertilizer Applications on Soil Nitrogen Transformations. Eur. J. Soil Sci. 2012, 63, 75–85. [Google Scholar] [CrossRef]
- Blackwell, M.; Darch, T.; Haslam, R. Phosphorus Use Efficiency and Fertilizers: Future Opportunities for Improvements. Front. Agric. Sci. Eng. 2019, 6, 332–340. [Google Scholar] [CrossRef]
- Moretti, B.; Bertora, C.; Grignani, C.; Lerda, C.; Celi, L.; Sacco, D. Conversion from Mineral Fertilisation to MSW Compost Use: Nitrogen Fertiliser Value in Continuous Maize and Test on Crop Rotation. Sci. Total Environ. 2019, 705, 135308. [Google Scholar] [CrossRef]
- Xian, Y.; Chen, Y.; Chen, C.; He, R.; Chen, X.; Chen, Y.; Wang, X. Does Extending Recycling Chain of Using Rice Straw Contribute to Improving Yield and Reducing GHGs Emissions in Paddy Field? An Integrated Analysis Based on Field Research and System Assessment. J. Clean. Prod. 2020, 264, 121508. [Google Scholar] [CrossRef]
- Parra-Orobio, B.; Rotavisky-Sinisterra, M.; Pérez-Vidal, A.; Marmolejo-Rebellón, L.; Torres-Lozada, P. Physicochemical, Microbiological Characterization and Phytotoxicity of Digestates Produced on Single-Stage and Two-Stage Anaerobic Digestion of Food Waste. Sustain. Environ. Res. 2021, 31, 11. [Google Scholar] [CrossRef]
- Cui, H.; Wang, J.; Cai, X.; Li, Z.; Liu, B.; Xing, D. Accelerating Nutrient Release and Pathogen Inactivation from Human Waste by Different Pretreatment Methods. Sci. Total Environ. 2020, 733, 139105. [Google Scholar] [CrossRef]
- Pandey, P.; Lejeune, M.; Biswas, S.; Morash, D.; Weimer, B.; Young, G. A New Method for Converting Food Waste into Pathogen-Free Soil Amendment for Enhancing Agricultural Sustainability. J. Clean. Prod. 2016, 112, 205–213. [Google Scholar] [CrossRef]
- Leng, L.; Huang, H. An Overview of the Effect of Pyrolysis Process Parameters on Biochar Stability. Bioresour. Technol. 2018, 270, 627–642. [Google Scholar] [CrossRef] [PubMed]
- Rodrigues, L.; Budai, A.; Elsgaard, L.; Hardy, B.; Keel, S.; Mondini, C.; Plaza, C.; Leifeld, J. The Importance of Biochar Quality and Pyrolysis Yield for Soil Carbon Sequestration in Practice. Eur. J. Soil Sci. 2023, 74, e13396. [Google Scholar] [CrossRef]
- Manyà, J.J.; Azuara, M.; Manso, J. Biochar Production through Slow Pyrolysis of Different Biomass Materials: Seeking the Best Operating Conditions. Biomass Bioenergy 2018, 117, 115–123. [Google Scholar] [CrossRef]
- Nan, H.; Zhao, L.; Yang, F.; Liu, Y.; Xiao, Z.; Cao, X.; Qiu, H. Different Alkaline Minerals Interacted with Biomass Carbon during Pyrolysis: Which One Improved Biochar Carbon Sequestration? J. Clean. Prod. 2020, 255, 120162. [Google Scholar] [CrossRef]
- da Silva, M.A.; Dias, D.S.; Capela, J.M.V.; Fertonani, I.A.P.; Ribeiro, C.A. Biochar from Pine Cone (Strobilus of Pinus elliottii) by Torrefaction Process: Evaluation of the Adsorptive and Energy Capacity. J. Therm. Anal. Calorim. 2023, 148, 12321–12333. [Google Scholar] [CrossRef]
- Ulyett, J.; Sakrabani, R.; Kibblewhite, M.; Hann, M. Impact of Biochar Addition on Water Retention, Nitrification and Carbon Dioxide Evolution from Two Sandy Loam Soils. Eur. J. Soil Sci. 2014, 65, 96–104. [Google Scholar] [CrossRef]
- Kameyama, K.; Miyamoto, T.; Iwata, Y. The Preliminary Study of Water-Retention Related Properties of Biochar Produced from Various Feedstock at Different Pyrolysis Temperatures. Materials 2019, 12, 1732. [Google Scholar] [CrossRef]
- Yi, S.; Chang, N.; Imhoff, P. Predicting Water Retention of Biochar-Amended Soil from Independent Measurements of Biochar and Soil Properties. Adv. Water Resour. 2020, 142, 103638. [Google Scholar] [CrossRef]
- Jain, M.; Paul, S.; Kalamdhad, A. Recalcitrant Carbon for Composting of Fibrous Aquatic Waste: Degradation Kinetics, Spectroscopic Study and Effect on Physico-Chemical and Nutritional Properties. J. Environ. Manag. 2019, 251, 109568. [Google Scholar] [CrossRef]
- Carneiro, J.; Filho, J.; Nardis, B.; Ribeiro-Soares, J.; Zinn, Y.; Melo, L. Carbon Stability of Engineered Biochar-Based Phosphate Fertilizers. ACS Sustain. Chem. Eng. 2018, 6, 14203–14212. [Google Scholar] [CrossRef]
- Chew, J.; Zhu, L.; Nielsen, S.; Graber, E.; Mitchell, D.; Horvat, J.; Mohammed, M.; Liu, M.; Van Zwieten, L.; Donne, S.; et al. Biochar-Based Fertilizer: Supercharging Root Membrane Potential and Biomass Yield of Rice. Sci. Total Environ. 2020, 713, 136431. [Google Scholar] [CrossRef]
- Schulz, H.; Glaser, B. Effects of Biochar Compared to Organic and Inorganic Fertilizers on Soil Quality and Plant Growth in a Greenhouse Experiment. J. Plant Nutr. Soil Sci. 2012, 175, 410–422. [Google Scholar] [CrossRef]
- Al-Wabel, M.; Al-Omran, A.; El-Naggar, A.; Nadeem, M.; Usman, A. Pyrolysis Temperature-Induced Changes in Characteristics and Chemical Composition of Biochar Produced from Conocarpus Wastes. Bioresour. Technol. 2013, 131, 374–379. [Google Scholar] [CrossRef] [PubMed]
- Nan, H.; Yin, J.; Yang, F.; Luo, Y.; Zhao, L.; Cao, X. Pyrolysis Temperature-Dependent Carbon Retention and Stability of Biochar with Participation of Calcium: Implications to Carbon Sequestration. Environ. Pollut. 2021, 287, 117566. [Google Scholar] [CrossRef]
- Wang, J.; Xiong, Z.; Kuzyakov, Y. Biochar Stability in Soil: Meta-Analysis of Decomposition and Priming Effects. GCB Bioenergy 2016, 8, 512–523. [Google Scholar] [CrossRef]
- Azzi, E.; Li, H.; Cederlund, H.; Karltun, E.; Sundberg, C. Modelling Biochar Long-Term Carbon Storage in Soil with Harmonized Analysis of Decomposition Data. Geoderma 2024, 441, 116761. [Google Scholar] [CrossRef]
- Huang, D.; Luo, H.; Zhang, C.; Zeng, G.; Lai, C.; Cheng, M.; Wang, R.; Deng, R.; Xue, W.; Gong, X.; et al. Nonnegligible Role of Biomass Types and Its Compositions on the Formation of Persistent Free Radicals in Biochar: Insight into the Influences on Fenton-like Process. Chem. Eng. J. 2019, 361, 353–363. [Google Scholar] [CrossRef]
- Buss, W.; Graham, M.; Shepherd, J.G.; Mašek, O. Suitability of Marginal Biomass-Derived Biochars for Soil Amendment. Sci. Total Environ. 2016, 547, 314–322. [Google Scholar] [CrossRef]
- Yadav, K.; Jagadevan, S. Influence of Process Parameters on Synthesis of Biochar by Pyrolysis of Biomass: An Alternative Source of Energy. In Recent Advances in Pyrolysis; IntechOpen: London, UK, 2019. [Google Scholar] [CrossRef]
- Xu, S.; Chen, J.; Peng, H.; Leng, S.; Li, H.; Qu, W.; Hu, Y.; Li, H.; Jiang, S.; Zhou, W.; et al. Effect of Biomass Type and Pyrolysis Temperature on Nitrogen in Biochar, and the Comparison with Hydrochar. Fuel 2021, 291, 120128. [Google Scholar] [CrossRef]
- Nguyen, L.X.; Do, P.; Nguyen, C.H.; Kose, R.; Okayama, T.; Pham, T.N.; Nguyen, P.D.; Miyanishi, T. Properties of Biochars Prepared from Local Biomass in the Mekong Delta, Vietnam. BioResources 2018, 13, 7325–7344. [Google Scholar] [CrossRef]
- Luo, L.; Xu, C.; Chen, Z.; Zhang, S. Properties of Biomass-Derived Biochars: Combined Effects of Operating Conditions and Biomass Types. Bioresour. Technol. 2015, 192, 83–89. [Google Scholar] [CrossRef] [PubMed]
- IBI—International Biochar Initiative. Standardized Product Definition and Product Testing Guidelines for Biochar That Is Used in Soil. Biochar Standards V.2.1 2015, 61p. Available online: https://www.biochar-international.org/wp-content/uploads/2018/04/IBI_Biochar_Standards_V2.1_Final.pdf (accessed on 12 October 2024).
- EBC—European Biochar Certificate. Guidelines for a Sustainable Production of Biochar. Version 10.1 (10 January 2022). 2022. Available online: http://european-biochar.org (accessed on 8 December 2024).
- Nelson, D.W.; Sommers, L.E. Total Carbon, Organic Carbon, and Organic Matter. In Methods of Soil Analysis. Part 3. Chemical Methods; Black, C.A., Ed.; Soil Science of America and American Society of Agronomy: Madison, WI, USA, 1996; pp. 961–1010. [Google Scholar]
- American Public Health Association (APHA). Standard Methods for the Examination of Water and Wastewater, 23rd ed.; American Public Health Association: Washington, DC, USA, 2017. [Google Scholar]
- Bremner, J.M. Nitrogen Total. In Methods of Soil Analysis. Part 3. Chemical Methods; Sparks, D.L., Page, A.L., Helmke, P.A., Loeppert, R.H., Soltanpour, P.N., Tabatai, M.A., Johnston, C.T., Sumner, M.E., Eds.; Soil Science Society of America: Madison, WI, USA, 1996; pp. 1085–1121. [Google Scholar]
- U.S. EPA. United States Environmental Protection Agency (EPA). (n.d.). U.S. EPA Method 3051A: Microwave Assisted Acid Digestion of Sediments, Sludges, and Oils. Available online: https://www.epa.gov/homeland-security-research/us-epa-method-3051a-microwave-assisted-acid-digestion-sediments-sludges (accessed on 1 February 2025).
- Zhang, W.; Zheng, J.; Zheng, P.; Tsang, D.C.W.; Qiu, R. Sludge-Derived Biochar for Arsenic(III) Immobilization: Effects of Solution Chemistry on Sorption Behavior. J. Environ. Qual. 2015, 44, 1119–1126. [Google Scholar] [CrossRef]
- Cely, R.E.; Gasco, G.; Paz-Ferreiro, J.; Mendez, A. Agronomic Properties of Biochar from Grape Pomaces and Vine Shoots: Effect of the Organic Waste Composition and Pyrolysis Conditions. J. Anal. Appl. Pyrolysis 2015, 113, 200–208. [Google Scholar] [CrossRef]
- Domingues, R.R.; Trugilho, P.F.; Silva, C.A.; de Melo Reis, A.F.; Hübner, T.; Levasseur, L.; Chaala, A. Properties of Biochar Derived from Wood and High-Nutrient Biomass with the Aim of Agronomic and Environmental Benefits. PLoS ONE 2017, 12, e0176884. [Google Scholar] [CrossRef] [PubMed]
- Nuagah, J.J.; Takahashi, F.; Kito, K. Upgrading of Biochar Derived from Wood Sawdust via Post-Carbonization at Elevated Temperature. J. Anal. Appl. Pyrolysis 2020, 152, 104903. [Google Scholar] [CrossRef]
- Ali, L.; Palamanit, A.; Techato, K.; Ullah, A.; Chowdhury, M.S.; Phoungthong, K. Characteristics of Biochars Derived from the Pyrolysis and Co-Pyrolysis of Rubberwood Sawdust and Sewage Sludge for Further Applications. Sustainability 2022, 14, 3829. [Google Scholar] [CrossRef]
- Pulka, J.; Manczarski, P.; Stępień, P.; Styczyńska, M.; Koziel, J.A.; Białowiec, A. Waste-to-Carbon: Is the Torrefied Sewage Sludge with High Ash Content a Better Fuel or Fertilizer? Materials 2020, 13, 954. [Google Scholar] [CrossRef] [PubMed]
- Tomczyk, A.; Sokołowska, Z.; Boguta, P. Biochar Physicochemical Properties: Pyrolysis Temperature and Feedstock Kind Effects. Rev. Environ. Sci. Biotechnol. 2020, 19, 191–215. [Google Scholar] [CrossRef]
- Charis, G.; Danha, G.; Muzenda, E. Characterizations of Biomasses for Subsequent Thermochemical Conversion: A Comparative Study of Pine Sawdust and Acacia Tortilis. Processes 2020, 8, 546. [Google Scholar] [CrossRef]
- Yang, H.I.; Lou, K.; Rajapaksha, A.U.; Ok, Y.S.; Chang, S.X. Adsorption of Ammonium in Aqueous Solutions by Pine Sawdust and Wheat Straw Biochars. Environ. Sci. Pollut. Res. 2018, 25, 25638–25647. [Google Scholar] [CrossRef] [PubMed]
- Lou, K.; Rajapaksha, A.U.; Ok, Y.S.; Chang, S.X. Pyrolysis Temperature and Steam Activation Effects on Sorption of Phosphate on Pine Sawdust Biochars in Aqueous Solutions. Chem. Speciat. Bioavailab. 2016, 28, 42–50. [Google Scholar] [CrossRef]
- Lee, Y.-E.; Jeong, Y.; Shin, D.-C.; Ahn, K.-H.; Jung, J.-H.; Kim, I.-T. Fabrication of Mg-Doped Sargassum Biochar for Phosphate and Ammonium Recovery. Sustainability 2021, 13, 12752. [Google Scholar] [CrossRef]
- Awad, A.A.M.; Mohamed, I.A.E.; Sweed, A.A. The potential effect of different types of biochar on chemical and hydrological properties of sandy soil. Ain Shams Eng. J. 2024, 5, 322–350. [Google Scholar] [CrossRef]
- Sweed, A.A.; Awad, A.A.M. Lead Adsorption onto Clay Soil Treated with Sugarcane Organic Waste Biochar. Int. J. Plant Soil Sci. 2020, 32, 51–61. [Google Scholar] [CrossRef]
- Choudhary, T.K.; Khan, K.S.; Hussain, Q.; Muneer, M.; Shah, S.A.A. Feedstock-Induced Changes in Composition and Stability of Biochar Derived from Different Agricultural Wastes. Arab. J. Geosci. 2019, 12, 617. [Google Scholar] [CrossRef]
- Peu, P.; Picard, S.; Girault, R.; Saint Cast, P.; Béline, F. Prediction of Biochemical Methane Potential of Wide Range of Organic Substrates by Near Infrared Spectroscopy. Bioresour. Technol. 2011, 102, 10794–10802. [Google Scholar] [CrossRef]
- Lan, D.-Y.; Zhang, H.; Wu, T.-W.; Lü, F.; Shao, L.-M.; He, P.-J. Repercussions of clinical waste co-incineration in municipal solid waste incinerator on acid gas emission and element distribution in residues. Waste Manag. 2018, 77, 537–544. [Google Scholar] [CrossRef]
- Figueredo, N.A.; Costa, L.M.; Melo, L.C.A.; Siebeneichlerd, A.; Tronto, J. Characterization of biochars from different sources and evaluation of release of nutrients and contaminants. Rev. Ciênc. Agron. 2017, 48, 395–403. [Google Scholar] [CrossRef]
- CONAMA—National Council for the Environment. (2020, August 19). Resolution No. 498 of August 19, 2020. Defines Criteria and Procedures for the Production and Application of Biosolids in Soils and Provides other Provisions. Diário Oficial da União, Brasília, August 21, 2020. Available online: https://conama.mma.gov.br/index.php?option=com_sisconama&task=arquivo.download&id=797 (accessed on 18 February 2025).
- Kumar, A.; Saini, K.; Bhaskar, T. Hydrochar and Biochar: Production, Physicochemical Properties and Techno-Economic Analysis. Bioresour. Technol. 2020, 310, 123442. [Google Scholar] [CrossRef]
- Gaskin, J.W.; Steiner, C.; Harris, K.; Das, K.C.; Bibens, B. Effect of Low-Temperature Pyrolysis Conditions on Biochar for Agricultural Use. Trans. ASABE 2008, 51, 2061–2069. [Google Scholar] [CrossRef]
- Singh, B.; Singh, B.P.; Cowie, A.L. Characterisation and Evaluation of Biochars for Their Application as a Soil Amendment. Aust. J. Soil Res. 2010, 48, 516–525. [Google Scholar] [CrossRef]
- Quaggio, J.A. Acidez e Calagem em Solos Tropicais; Instituto Agronômico: Campinas, Brazil, 2000. [Google Scholar]
- Shetty, R.; Prakash, N.B. Effect of Different Biochars on Acid Soil and Growth Parameters of Rice Plants under Aluminium Toxicity. Sci. Rep. 2020, 10, 12249. [Google Scholar] [CrossRef] [PubMed]
- Hossain, M.Z.; Bahar, M.M.; Sarkar, B.; Donne, S.W.; Ok, Y.S.; Palansooriya, K.N.; Kirkham, M.B.; Chowdhury, S.; Bolan, N. Biochar and Its Importance on Nutrient Dynamics in Soil and Plant. Biochar 2020, 2, 379–420. [Google Scholar] [CrossRef]
- Li, Y.; Xing, B.; Ding, Y.; Han, X.; Wang, S. A critical review of the production and advanced utilization of biochar via selective pyrolysis of lignocellulosic biomass. Biores. Tech. 2020, 312, 123614. [Google Scholar] [CrossRef]
- IPCC. Climate Change 2022: Mitigation of Climate Change; Contribution of Working Group III to the Sixth Assessment Report of the Intergovernmental Panel on Climate Change; Cambridge University Press: Cambridge, UK; New York, NY, USA, 2022. [Google Scholar] [CrossRef]
- IPCC. Generic Methodologies Applicable to Multiple Land-Use Categories. In 2019 Refinement to the 2006 IPCC Guidelines for National Greenhouse Gas Inventories; Calvo Buendia, E., Tanabe, K., Kranjc, A., Baasansuren, J., Fukuda, M., Ngarize, S., Osako, A., Pyrozhenko, Y., Shermanau, P., Federici, S., Eds.; The Intergovernmental Panel on Climate Change (IPCC): Geneva, Switzerland, 2019; Volume 4, pp. Ap4.1–Ap4.5. [Google Scholar]
- Hua, L.; Lu, Z.; Ma, H.; Jin, S. Effect of Biochar on Carbon Dioxide Release, Organic Carbon Accumulation, and Aggregation of Soil. Environ. Prog. Sustain. Energy 2014, 33, 941–946. [Google Scholar] [CrossRef]
- Kelly, C.N.; Benjamin, J.; Calderón, F.C.; Mikha, M.M.; Rutherford, D.W.; Rostad, C.E. Incorporation of biochar carbon into stable soil aggregates: The role of clay mineralogy and other soil characteristics. Pedosphere 2017, 27, 694–704. [Google Scholar] [CrossRef]
- Sun, J.; Lu, X.; Chen, G.; Luo, N.; Zhang, Q.; Li, X. Biochar Promotes Soil Aggregate Stability and Associated Organic Carbon Sequestration and Regulates Microbial Community Structures in Mollisols from Northeast China. Soil 2023, 9, 261–275. [Google Scholar] [CrossRef]
- Boakye, P.; Tran, H.N.; Lee, D.S.; Woo, S.H. Effect of water washing pretreatment on property and adsorption capacity of macroalgae-derived biochar. J. Environ. Manag. 2019, 233, 165–174. [Google Scholar] [CrossRef]
- Spokas, K.A.; Novak, J.M.; Stewart, C.E.; Cantrell, K.B.; Uchimiya, M.; DuSaire, M.G.; Ro, K.S. Qualitative analysis of volatile organic compounds on biochar. Chemosphere 2011, 85, 869–882. [Google Scholar] [CrossRef]
- McBeath, A.V.; Wurster, C.M.; Bird, M.I. Influence of feedstock properties and pyrolysis conditions on biochar carbon stability as determined by hydrogen pyrolysis. Biomass Bioenergy 2015, 73, 155–173. [Google Scholar] [CrossRef]
- Ding, Y.; Liu, Y.; Liu, S.; Li, Z.; Tan, X.; Huang, X.; Zeng, G.; Zhou, L.; Zheng, B. Biochar to Improve Soil Fertility: A Review. Agron. Sustain. Dev. 2016, 36, 36. [Google Scholar] [CrossRef]
- George, P.A.O.; Eras, J.J.C.; Gutierrez, A.S.; Hens, L.; Vandecasteele, C. Residue from Sugarcane Juice Filtration (Filter Cake): Energy Use at the Sugar Factory. Waste Biomass Valorization 2010, 1, 407–413. [Google Scholar] [CrossRef]
- Abbruzzini, T.F.; Zenero, M.D.O.; Andrade, P.A.M.; Andreote, F.D.; Campo, J.; Cerri, C.E.P. Effects of biochar on the emissions of greenhouse gasses from sugarcane residues applied to soils. Agric. Sci. 2017, 8, 869–886. [Google Scholar] [CrossRef]
- Anacleto, L.R.; Roberto, M.M.; Marin-Morales, M.A. Toxicological effects of the waste of the sugarcane industry, used as agicultural fertilizer, on the test system Allium cepa. Chemosphere 2017, 173, 31–42. [Google Scholar] [CrossRef]
- Nabti, E.; Jha, B.; Hartmann, A. Impact of Seaweeds on Agricultural Crop Production as Biofertilizer. Int. J. Environ. Sci. Technol. 2017, 14, 1119–1134. [Google Scholar] [CrossRef]
- Swinscoe, I.; Oliver, D.M.; Ørnsrud, R.; Quilliam, R.S. The microbial safety of seaweed as a feed component for black soldier fly (Hemetia illucens) larvae. Food Microbiol. 2020, 91, 103535. [Google Scholar] [CrossRef] [PubMed]
- Rajkovich, S.; Enders, A.; Hanley, K.; Hyland, C.; Zimmerman, A.R.; Lehmann, J. Corn Growth and Nitrogen Nutrition after Additions of Biochars with Varying Properties to a Temperate Soil. Biol. Fertil. Soils 2012, 48, 271–284. [Google Scholar] [CrossRef]
- Cairo-Cairo, P.; Diaz-Martin, B.; Machado-de-Armas, J.; Rodriguez-Lopez, O. Effects of Poultry Manure on Structure and Some Indicators of Fertility in Tropical Soils. Arch. Agron. Soil Sci. 2023, 69, 2692–2702. [Google Scholar] [CrossRef]
- Kobierski, M.; Bartkowiak, A.; Lemanowicz, J.; Piekarczyk, M. Impact of Poultry Manure Fertilization on Chemical and Biochemical Properties of Soils. Plant Soil Environ. 2017, 63, 558–563. [Google Scholar] [CrossRef]
- Zhang, Y.; Yang, S.; Fu, M.; Cai, J.; Zhang, Y.; Wang, R.; Xu, Z.; Bai, Y.; Jiang, Y. Sheep Manure Application Increases Soil Exchangeable Base Cations in a Semi-Arid Steppe of Inner Mongolia. J. Arid Land 2015, 7, 361–369. [Google Scholar] [CrossRef]






| Ash | Moisture | EC | pH | Mass Yield (Y) | Material | ||||
|---|---|---|---|---|---|---|---|---|---|
| % | dS cm−1 | ||||||||
| BC | BM | BC | BM | BC | BM | BC | BM | % | |
| 36.4 ± 1.38 | 21.5 ± 0.17 | 6.5 ± 0.18 | 7.9 ± 0.25 | 0.2 ± 0.01 | 2.4 ± 0.11 | 7.5 | 6.8 | 55.9 ± 1.52 | AA |
| 6.2 ± 0.62 | 2.6 ± 0.41 | 4.2 ± 0.19 | 3.9 ± 0.85 | 0.1 ± 0.01 | 0.1 ± 0.01 | 5.6 | 5.3 | 33.9 ± 1.39 | SB |
| 1.3 ± 0.00 | 0.5 ± 0.07 | 1.7 ± 0.05 | 3.8 ± 0.06 | <DL | 0.1 ± 0.01 | 5.3 | 3.3 | 61.2 ± 0.74 | SD |
| 54.2 ± 1.60 | 38.2 ± 1.91 | 1.2 ± 1.14 | 3.7 ± 0.07 | 0.1 ± 0.00 | 0.1 ± 0.01 | 8.5 | 8.5 | 35.4 ± 1.01 | FC |
| 44.2 ± 1.43 | 26.0 ± 0.93 | 3.7 ± 0.10 | 6.2 ± 0.24 | 0.1 ± 0.01 | 0.7 ± 0.01 | 8.6 | 7.7 | 47.2 ± 0.57 | PL |
| 22.9 ± 0.53 | 11.3 ± 0.43 | 3.9 ± 1.84 | 6.4 ± 0.36 | 0.3 ± 0.01 | 0.9 ± 0.05 | 9.1 | 7.6 | 41.2 ± 1.22 | OL |
| 51.5 ± 0.49 | 34.1 ± 0.69 | 3.3 ± 0.67 | 6.3 ± 0.21 | 0.1 ± 0.01 | 1.2 ± 0.09 | 9.3 | 7.4 | 60.6 ± 0.92 | CM |
| 77.7 ± 0.36 | 62.9 ± 0.49 | 1.7 ± 0.15 | 4.2 ± 0.19 | 0.1 ± 0.01 | 0.8 ± 0.05 | 6.6 | 4.8 | 77.6 ± 0.01 | SS |
| Remaining P | Total P | Materiais | |
|---|---|---|---|
| Biochar | Biomass | ||
| % | g kg−1 | ||
| * | 2.37 ± 0.12 | 0.99 ± 0.02 | AA |
| * | 0.74 ± 0.02 | 0.22 ± 0.02 | SB |
| * | 0.06 ± 0.00 | 0.01 ± 0.00 | SD |
| 77.42 ± 0.78 | 14.28 ± 0.61 | 11.31 ± 0.40 | FC |
| * | 27.52 ± 1.01 | 13.04 ± 0.33 | PL |
| 93.72 ± 0.62 | 20.75 ± 0.49 | 9.20 ± 0.08 | OL |
| * | 43.46 ± 0.51 | 26.43 ± 0.98 | CM |
| * | 7.00 ± 0.13 | 5.46 ± 0.25 | SS |
| ____________FC____________ | ____________SD____________ | ____________SB____________ | ____________AA____________ | PBR | ||||||||
|---|---|---|---|---|---|---|---|---|---|---|---|---|
| R (%) | BC | BM | R (%) | BC | BM | R (%) | BC | BM | R (%) | BC | BM | |
| Other Nutrients | ||||||||||||
| 82.2 | 29.6 | 22 | 86.1 | 1.8 | 0.7 | 42.2 | 0.9 | 0.7 | * | 111.9 | 46.9 | Ca (g kg−1) |
| 91.5 | 9.7 | 6.5 | * | 1.1 | 0.4 | 56.8 | 0.7 | 0.4 | 89.8 | 18.3 | 11.5 | Mg (g kg−1) |
| * | 9.3 | 4.1 | * | 0.03 | 0 | * | 0.5 | 0.1 | * | 4.9 | 1.2 | Fe (g kg−1) |
| ** | <12.6 | <12.6 | ** | <12.6 | 24.4 | ** | <12.6 | 22.3 | * | 423.5 | 185.7 | B (mg kg−1) |
| * | 38.3 | 26 | * | 3.9 | 0.3 | * | 17.9 | 3.1 | * | 5.9 | 1.6 | Cu (mg kg−1) |
| 84.6 | 626 | 453.8 | 85.2 | 169.3 | 71.1 | 37.8 | 41.3 | 36 | * | 141 | 73.9 | Mn (mg kg−1) |
| ** | <1.3 | <1.3 | ** | <1.3 | <1.3 | ** | <1.3 | <1.3 | ** | <1.3 | <1.3 | Mo (mg kg−1) |
| 64.6 | 19.6 | 18.6 | * | 18.6 | 5.3 | 63.3 | 22.2 | 19.9 | * | 30.1 | 9.6 | Zn (mg kg−1) |
| PTM | ||||||||||||
| ** | <0.4 | <0.4 | ** | <0.4 | <0.4 | ** | <0.4 | <0.4 | ** | 0.6 | <0.4 | Cd (mg kg−1) |
| * | 20.5 | 11.4 | ** | 0.6 | <0.5 | 67.1 | 1.5 | 1.5 | * | 6.3 | 2.9 | Cr (mg kg−1) |
| ** | 1.7 | <1.3 | ** | <1.3 | <1.3 | ** | <1.3 | <1.3 | * | 5.4 | 2.7 | Ni (mg kg−1) |
| ** | <5 | <5 | ** | <5 | <5 | ** | 10.6 | <5 | ** | 7.3 | <5 | Pb (mg kg−1) |
| ____________SS____________ | ____________CM____________ | ____________OL____________ | ____________PL____________ | NPBR | ||||||||
| Loss (%) | BC | BM | Loss (%) | BC | BM | Loss (%) | BC-SB | BM | Loss (%) | BC | BM | |
| Other Nutrients | ||||||||||||
| 17.7 | 3.4 | 14.6 | * | 224.4 | 132.8 | * | 21.7 | 8.3 | 79.4 | 116.6 | 69.9 | Ca (g kg−1) |
| 67.1 | 1.7 | 1.9 | * | 11.6 | 5.6 | * | 11.1 | 3.2 | 80 | 5.3 | 3.1 | Mg (g kg−1) |
| 89.9 | 20.7 | 17.8 | * | 2.8 | 0.53 | 71.2 | 1.4 | 0.7 | * | 1.1 | 0.1 | Fe (g kg−1) |
| ** | <12.6 | <12.6 | * | 38.7 | 29.6 | ** | 26.7 | <12.6 | ** | 39.5 | <12.6 | B (mg kg−1) |
| 81.9 | 167.4 | 157.7 | 65.7 | 68.4 | 63.4 | 89.5 | 30.8 | 14.3 | 96.9 | 58.2 | 40.1 | Cu (mg kg−1) |
| 85.6 | 164 | 147.8 | 92.7 | 577 | 379.1 | * | 255.3 | 106.9 | 85.1 | 361 | 201.7 | Mn (mg kg−1) |
| 41.1 | 3.3 | 6.2 | * | 5.1 | 2.5 | 48.2 | 2.9 | 2.5 | 92.6 | 3.7 | 1.9 | Mo (mg kg−1) |
| 45.7 | 1144.3 | 1933 | 94 | 620.7 | 402.1 | * | 430.3 | 177.4 | 91.3 | 470 | 244.9 | Zn (mg kg−1) |
| PTM | ||||||||||||
| 90 | 1.4 | 1.2 | ** | <0.4 | <0.4 | ** | <0.4 | <0.4 | ** | <0.4 | <0.4 | Cd (mg kg−1) |
| 87.9 | 85.4 | 75 | * | 8.2 | 4.2 | 68 | 1.8 | 1.1 | 98.4 | 6 | 2.9 | Cr (mg kg−1) |
| 93.1 | 14.6 | 12.1 | 82.6 | 3.8 | 2.8 | ** | 2.4 | <1.3 | 76.6 | 2.9 | 1.8 | Ni (mg kg−1) |
| 89.9 | 41.5 | 35.6 | ** | <5 | <5 | ** | <5 | <5 | ** | <5 | <5 | Pb (mg kg−1) |
Disclaimer/Publisher’s Note: The statements, opinions and data contained in all publications are solely those of the individual author(s) and contributor(s) and not of MDPI and/or the editor(s). MDPI and/or the editor(s) disclaim responsibility for any injury to people or property resulting from any ideas, methods, instructions or products referred to in the content. |
© 2025 by the authors. Licensee MDPI, Basel, Switzerland. This article is an open access article distributed under the terms and conditions of the Creative Commons Attribution (CC BY) license (https://creativecommons.org/licenses/by/4.0/).
Share and Cite
da Silva, M.A.; Abdalla Filho, A.L.; Carnier, R.; de Oliveira Santos Marcatto, J.; Saldanha, M.; Coscione, A.R.; de Carvalho, T.A.; Merlotto, G.R.; de Andrade, C.A. Low-Temperature Slow Pyrolysis: Exploring Biomass-Specific Biochar Characteristics and Potential for Soil Applications. Technologies 2025, 13, 100. https://doi.org/10.3390/technologies13030100
da Silva MA, Abdalla Filho AL, Carnier R, de Oliveira Santos Marcatto J, Saldanha M, Coscione AR, de Carvalho TA, Merlotto GR, de Andrade CA. Low-Temperature Slow Pyrolysis: Exploring Biomass-Specific Biochar Characteristics and Potential for Soil Applications. Technologies. 2025; 13(3):100. https://doi.org/10.3390/technologies13030100
Chicago/Turabian Styleda Silva, Matheus Antonio, Adibe Luiz Abdalla Filho, Ruan Carnier, Juliana de Oliveira Santos Marcatto, Marcelo Saldanha, Aline Renee Coscione, Thaís Alves de Carvalho, Gabriel Rodrigo Merlotto, and Cristiano Alberto de Andrade. 2025. "Low-Temperature Slow Pyrolysis: Exploring Biomass-Specific Biochar Characteristics and Potential for Soil Applications" Technologies 13, no. 3: 100. https://doi.org/10.3390/technologies13030100
APA Styleda Silva, M. A., Abdalla Filho, A. L., Carnier, R., de Oliveira Santos Marcatto, J., Saldanha, M., Coscione, A. R., de Carvalho, T. A., Merlotto, G. R., & de Andrade, C. A. (2025). Low-Temperature Slow Pyrolysis: Exploring Biomass-Specific Biochar Characteristics and Potential for Soil Applications. Technologies, 13(3), 100. https://doi.org/10.3390/technologies13030100

