Next Article in Journal
Numerical Study of the Basic Finner Model in Rolling Motion
Previous Article in Journal
Aerodynamic Shape Optimization of Wing–Fuselage Intersection for Minimum Interference Drag
 
 
Font Type:
Arial Georgia Verdana
Font Size:
Aa Aa Aa
Line Spacing:
Column Width:
Background:
Article

Three-Dimensional Adaptive Variable-Power Sliding-Mode Multi-Vehicle Cooperative Guidance Law

School of Mechanical Engineering, Nanjing University of Science and Technology, Nanjing 210094, China
*
Author to whom correspondence should be addressed.
Aerospace 2025, 12(5), 370; https://doi.org/10.3390/aerospace12050370
Submission received: 13 March 2025 / Revised: 16 April 2025 / Accepted: 23 April 2025 / Published: 24 April 2025
(This article belongs to the Section Aeronautics)

Abstract

To address the problem of cooperative multi-vehicle operations targeting critical objectives in three-dimensional space, this paper proposes a variable-power adaptive fast sliding-mode guidance law. First, a dynamic vehicle–target model is established in three-dimensional space by using the projection of the horizontal vehicle–target plane to determine the reference plane. The guidance law design is projected onto the reference plane based on the average consensus convergence control method. This not only drives the estimated deviations to zero to achieve time consistency but also ensures that the estimated time-to-go converges to the actual time-to-go. Additionally, an adaptive input compensation component is designed in the vertical line-of-sight (LOS) direction, driving the aspect angle to converge to zero before the final point is reached. Furthermore, in the vertical reference plane direction, an adaptive variable-power sliding-mode control method is designed based on the traditional sliding-mode control scheme, in which the corresponding power exponent is selected according to the variation exhibited by the sliding-mode values. On the one hand, higher power levels can result in faster convergence; on the other hand, lower power levels can be associated with better stability. Compared with the traditional sliding-mode control technique, the proposed method achieves guaranteed stable convergence at the end of the control process, with a 49% improvement in convergence efficiency. Finally, simulations verify the designed three-dimensional guidance law, demonstrating that it features fast convergence, high stability, and high precision.

1. Introduction

With the development of modern technology, the defense system against vehicles is becoming more and more advanced [1,2]. Achieving precise arrival at critical objectives, such as strategic command centers, poses a significant challenge in the field of autonomous flight vehicles. Due to the limited operational range of a single vehicle and the high technical demands involved in the process, it is difficult for an individual platform to accomplish the intended effectiveness independently [3]. Driven by the aforementioned operational requirements, coordinated multi-vehicle arrival strategies have emerged [4], effectively addressing these issues. Current defense systems exhibit high interception efficiency rates against single vehicles. Therefore, the strategy of using multiple vehicles has been developed [5,6]. The increased costs and high design requirements of significantly improving the penetration ability of a single vehicle make multi-vehicle coordination—which is more cost-effective and simpler in terms of its design—a clearly advantageous approach. As such, designing guidance strategies for the coordinated arrival of multiple vehicles has become a crucial element for realizing coordinated multi-vehicle operations [7,8].
In recent years, cooperative control technology has developed rapidly and has been widely applied in areas such as the coordinated operations of multiple autonomous vehicles targeting critical objectives, and multi-agent interception and tracking tasks in aerial systems [9,10]. Previous research on coordinated multi-vehicle control has largely focused on two-dimensional guidance strategies, which fall short of capturing the full complexity of real-world three-dimensional motion environments. More recently, efforts have been directed toward the design of cooperative guidance laws in three-dimensional space, aiming to bridge this gap [11,12]. Some scholars have explored three-dimensional trajectory planning and flight state modeling, making significant contributions to the development of spatial models for multi-vehicle systems [13,14]. A typical method begins by defining an inertial coordinate system and a line-of-sight (LOS) coordinate system between the vehicle and the objective. Motion parameters from the inertial frame are transformed into the LOS frame via a rotation matrix, forming the foundation for three-dimensional guidance law design [15,16]. This method involves numerous motion parameters, leading to a complex computation process and placing high demands on the onboard processing capability of the vehicle. In contrast, this paper proposes an alternative approach that constructs a reference plane perpendicular to the horizontal base plane, using the initial position of the vehicle as the basis. The three-dimensional motion vector is decomposed into two orthogonal two-dimensional components (one parallel to and one perpendicular to the reference plane). Consistency convergence strategies are then independently designed for each direction, enabling synchronized timing control of the entire vehicle group in three-dimensional space during terminal coordination.
Importantly, the design of cooperative guidance laws relies on the remaining flight time of the associated vehicle [17,18]. According to previous studies, methods for calculating the remaining flight time of vehicles can generally be categorized into two categories. One is based on performing the remaining time estimation via the proportional navigation law [19,20], which depends on an important parameter called the navigation ratio. Currently, the definition of the navigation ratio largely relies on empirical values [21,22], and the remaining time calculation formula based on the proportional navigation law is relatively complex, which is not conducive to miniaturization and integration in engineering applications. The second type of method directly uses the ratio of the relative vehicle–target distance to the relative vehicle–target velocity as the formula for determining the remaining flight time [23]. This method features a simpler structure and higher computational efficiency compared to the conventional approach. In this paper, the second method is employed to estimate the remaining flight time of each vehicle. An acceleration input is designed along the line-of-sight (LOS) direction between the vehicle and the target, directly influencing the relative motion parameters. Through this mechanism, the remaining flight times of all vehicles within the group are driven to converge toward their average value, thereby enabling synchronized arrival at the objective.
However, both methods for calculating the remaining flight time of a vehicle depend on variables related to future control inputs [24]. As a result, it is not possible to obtain an accurate remaining flight time for the vehicle in question until the motion state is stabilized [25]. During the unstable motion phase, the calculated remaining flight time is an estimated value, which deviates from the actual remaining flight time. Previous studies have seldom explored the impact of the discrepancy between estimated and actual remaining flight times on the final mission outcome. This paper addresses this gap by analyzing the variation between the estimated and actual remaining flight times during the vehicle’s flight, thereby enhancing the accuracy of the system control process. When designing cooperative guidance laws for multi-vehicle systems, it is essential not only to ensure consistency in vehicle timing but also to impose constraints on the flight path angle in specific scenarios. For example, when performing tasks such as breaching or precision engagement of high-value targets like storage facilities or strategic command centers, it is necessary to account for penetration before system activation to achieve optimal effectiveness [18,26]. However, vehicles designed for precision engagement have strict requirements for the flight path angle [27], and the vehicle must adjust its aspect angle to zero in the final stages of the mission.
In the literature [28], acceleration inputs have been designed based on the navigation ratio, targeting both the velocity direction and the direction perpendicular to it. The acceleration along the velocity direction primarily adjusts the vehicle’s speed, while the perpendicular acceleration modifies the heading. Through appropriate design, this approach allows for the adjustment of both the attitude and speed of a vehicle at the moment of the mission. However, mitigating terminal oscillations remains challenging, and continuous dual-input control increases the stability requirements of the control system. In order to simplify the input structure of the controller, a method proposed in the literature [29,30] uses the acceleration along the line-of-sight (LOS) direction as a single input to adjust the flight time error and the aspect angle, achieving smooth convergence for the terminal aspect angle. However, when the initial aspect angle is too large, relying solely on LOS-direction acceleration cannot drive the aspect angle to converge to zero before it reaches the target. Therefore, in practical engineering applications, there is an urgent need for a guidance method that is structurally simple, stable in control, and capable of handling large angular deviations. At present, when designing approach laws, sliding-mode control is widely applied due to its strong robustness [31,32], simple structure, and low dependence on the parameters of the employed system model. In the literature [33], a robust sliding-mode control method was proposed; this approach effectively addresses the control oscillations caused by large gain switches during the sliding-mode control process. However, this method has low convergence efficiency, making it difficult to satisfy the rapid convergence requirements of multi-vehicle systems.
In another study [34], a higher-power sliding-mode control method was proposed based on the traditional sliding-mode control strategy, effectively solving the low convergence speed of the existing approach. However, it falls short in terms of ensuring system stability at the terminal stage. However, the method is deficient in ensuring system stability at the terminal stage. Therefore, an adaptive sliding-mode control method is proposed in this paper, which balances the two performance objectives of fast convergence and terminal stability, and effectively solves the above problems. Compared with the previous work, the main highlights of the current study are as follows:
1. In the literature [35], when addressing cooperative guidance in three-dimensional space, the vehicle motion model involves numerous parameters and a complex structure. This paper proposes an alternative approach using a vehicle–target pair and projection points on the horizontal plane to establish a reference vehicle motion plane, which is perpendicular to the horizontal plane. The motion parameters in three-dimensional space are then decomposed into two components: one projected onto the reference plane and the other perpendicular to it. Control methods are designed separately for each component, driving both sets of parameters to converge as desired, thus ensuring arrival time consistency in three-dimensional space.
2. This paper designs a variable-power fast-converging sliding-mode control method to drive the position of a vehicle to quickly converge to the reference plane. In contrast to the sliding-mode control method proposed in the literature [31,36], this method uses a segmentation function, allowing the system to adjust the convergence rate at different convergence stages. When the sliding-mode value exceeds a preset threshold, a higher-order power function is used to increase the convergence rate, driving the vehicle rapidly toward the reference plane. When the sliding-mode value is less than or equal to the preset value, the power order is reduced to achieve better convergence stability.
3. For the guidance law design projected onto the reference plane, each vehicle uses the deviation between its estimated remaining flight time and the average remaining flight time to generate an acceleration input along the line-of-sight (LOS). This input directly modifies the relative speed between the vehicle and the target. This approach offers high adjustment efficiency. This paper demonstrates that once the remaining flight time deviation of a vehicle converges to zero, the relative vehicle–target speed becomes constant, resulting in accurate remaining vehicle mission time and improving both accuracy and consistency in flight time.
The remainder of this paper is organized as follows. The problem statement and proposed solution are presented in Section 2. The engagement kinematic model is presented in Section 3. Section 4 describes the design of the multi-vehicle guidance law in three-dimensional space. Section 5 conducts a performance analysis of the guidance law. The designed guidance law is simulated and verified in Section 6. Finally, the conclusions are presented in Section 7.

2. Problem Statement and Proposed Solution

2.1. Problem Statement

The focus of this study is the design of a cooperative guidance law to enable multiple vehicles to simultaneously arrive at a designated position. To achieve this goal, the arrival time of each vehicle should converge under the guidance of the cooperative law such that time-to-go consistency is attained before mission completion. Accordingly, the following key challenges need to be addressed:
1. Spatial dimension: It is necessary to move beyond the simplified design of guidance laws limited to two-dimensional planes and develop cooperative guidance strategies in three-dimensional space. This extension provides greater practical significance for engineering applications.
2. Control efficiency and convergence stability: Limitations of traditional sliding-mode control, such as low convergence efficiency and poor stability, must be overcome. In terms of efficiency, the control law should ensure that all vehicles achieve convergence within a fixed-time bound. In terms of stability, the control system must maintain terminal stability to ensure the successful completion of the cooperative guidance mission.
3. Control precision: Before the relative velocity r ˙ reaches a steady state, the computed time-to-go cannot accurately represent the actual remaining flight time toward the target. Since the accuracy of time-to-go estimation directly affects the precision of the entire cooperative guidance system, this aspect must be thoroughly investigated and validated.

2.2. Proposed Solution

In previous research, the following three main issues have been identified. Although some scholars have proposed solutions to address these issues, further optimization is required to enhance the performance of the guidance law. This study builds upon those proposed solutions to improve the design and functionality.
1. Two-dimensional limitation: The multi-vehicle cooperative guidance laws designed in earlier works are primarily applicable to two-dimensional planes and have not been effectively extended to three-dimensional scenarios. Even when extended to three-dimensional space, the design often involves an excessive number of parameters, imposing a significant computational burden on vehicle onboard resources. This paper proposes a three-dimensional vector decomposition method, in which the three-dimensional state vector of the vehicle–target system is decomposed into components parallel and perpendicular to a reference plane. Separate control methods are then designed for each component to collaboratively complete the three-dimensional multi-vehicle cooperative guidance task.
2. Fixed-power sliding-mode control: In the design of sliding-mode control methods, earlier studies have adopted fixed-power sliding-mode control to achieve finite-time convergence. This paper introduces an adaptive variable-power term that does not rely on initial variables, further achieving fixed-time convergence. Compared to traditional fixed-power sliding-mode control, the proposed method improves convergence speed by 49% while ensuring stability at the end of the convergence.
3. Accurate estimation of time-to-go: To achieve simultaneous multi-vehicle coordination on a target, a common approach involves designing acceleration inputs to adjust the remaining flight times of the vehicles. Existing methods for estimating vehicle remaining flight time are generally divided into two categories—one calculates the ratio of the vehicle–target distance to the relative velocity, while the other employs the proportional navigation law for estimation. The latter is more complex than the former. However, most studies using the first method overlook the discrepancy between the estimated and actual remaining flight times. This paper proposes a direct adjustment of the relative velocity between the vehicle and the target by designing acceleration inputs along the vehicle–target line. Section 6 demonstrates that when the deviation between the estimated and actual remaining flight times converges to zero, the estimated flight time aligns with the actual remaining flight time. This approach improves the precision of simultaneous multi-vehicle coordination on a target.
This study aims to address the above issues and provide innovative solutions to improve the performance of multi-vehicle cooperative guidance laws in three-dimensional scenarios.

2.3. Other Useful Lemmas

The following are other useful lemmas:
Lemma 1
([37]). Consider the following system:
Y ˙ ( x ) = ξ Y p q ( x ) ω Y h g ( x )
where ξ , ω > 0 , p , q , h , g are positive odd integers that satisfy p > q , h < g . Then Y ( x ) converges to the origin in fixed time, and the settling time is bounded by the following:
T 1 ξ q p q + 1 ω g g h
Lemma 2
([38]). Consider the following system:
W ˙ ( x ) + ϑ W ( x ) + ς W ρ ( x ) 0
where ϑ , ς > 0 and 1 > ρ > 0 . Then W ( x ) will converge to the origin in finite time, and the settling time is bounded by the following:
T 1 ϑ ( 1 ρ ) In ϑ W 1 ρ ( x 0 ) + ς ς
where l n ( x ) represents the logarithmic function with base e, x 0 represents the initial quantity.

3. Engagement Kinematic Model

A three-dimensional scenario is considered in which multiple flight vehicles are guided to reach a fixed target simultaneously. It is assumed that the vehicles are launched from different initial positions, with varying initial directions and motion states. Under the proposed cooperative guidance law, all vehicles are able to reach the designated target position simultaneously, as shown in Figure 1, where T and T represent the target and the projection on the horizontal plane. As shown in Figure 2, M i 0 and M i 0 represent the flight vehicle at the initial moment and the projection on the horizontal plane. Here, M i 0 M i 0 T T is defined as the datum plane orthogonal to the horizontal. For M i , the red line represents the vehicle’s flight path. M i ( t ) , r i ( t ) , and V i ( t ) represent vehicle position, vehicle-to-target distance, and vehicle velocity at time t. During the cooperative flight of a group of vehicles, the initial positions and velocities of each vehicle differ. By designing appropriate input values to regulate the vehicles’ velocities, the model ensures that all vehicles reach the target location simultaneously. In a three-dimensional coordinate system, once the initial position, target position, and initial velocity vector of a vehicle are specified, the time-to-go can be estimated. Therefore, in simulation experiments, the aforementioned parameters must be constrained.
According to this paper’s design of the 3D multi-vehicle cooperative guidance law, the 3D motion vectors of the vehicle will be decomposed here according to the vehicle’s datum plane. Firstly, the problem of consistent convergence of the components projected onto the datum M i 0 M i 0 T T is addressed. Secondly, inputs to the vertical datum are designed to drive the vehicle to converge on the datum M i 0 M i 0 T T until it reaches the target point. Finally, once the motion components in both directions successfully converge to their ideal states, the three-dimensional guidance law can effectively drive the vehicle to accomplish the coherent arrival task. Combining Figure 1 and Figure 2, it can be observed that as the vehicles converge to the reference plane, their trajectories approximate the plane, with each vehicle corresponding solely to this plane. Consequently, the flight paths of the vehicles do not intersect, ensuring that collisions do not occur before reaching the designated target position. This approach achieves effective collision avoidance during coordinated operations without the need for additional control inputs.
The geometric model projected on the datum M i 0 M i 0 T T is shown in Figure 3. M i a represents the vehicle position, and T represents the target; r i a , λ i , γ i , ϕ i , and V i a represent the vehicle-to-target distance, LOS angle, fight-path angle, aspect angle, and vehicle velocity, respectively, all the above parameters are projected on the datum plane.
The relative equations of motion of the vehicle and target projected on the datum plane are [39]
r ˙ i a = V r , i λ ˙ i = V λ , i r i a V ˙ r , i = V λ , i 2 r i a u r , i V ˙ λ , i = V λ , i V r , i r i a u λ , i
where V λ , i and V r , i are the velocity components of the vehicle along and perpendicular to the LOS direction, respectively. u r , i and u λ , i are the acceleration input of the vehicle. The main goal of this paper is to use u r , i to ensure the vehicles can strike the target simultaneously to achieve the best damage effect.
The relative equations of motion of the vehicle and target perpendicular to the datum plane are as follows [40]:
r ˙ i b = V i b V ˙ i b = u i b
where r i b , V i b , and u i b represent vehicle-to-datum distance, velocity, and acceleration of the vehicle perpendicular to the datum plane.

4. Guidance Law Design

Building on insights from previous studies, this paper proposes a new cooperative guidance law. During flight, each vehicle in the swarm exchanges flight status information via the communication topology network, enabling synchronization during the approach to the target. The specific design is as follows: first, the 3D spatial guidance problem is decomposed into two planar problems. The control inputs of the planar guidance law projected on the datum plane are u r , i and u λ , i . Included among these, u r , i is mainly used to adjust the time-to-go to accomplish the arrival time consistency convergence, and u λ , i mainly controls the aspect angle to ensure the normal attitude of the vehicle at the moment of arrival. Here, u λ , i is used as a control input only in the early phase when the angle is too large, and the small-angle correction at the end is done by the components of u r , i alone. The second is to use u i b as the control input to converge the flight position of each vehicle to the datum plane, and with the in-plane guidance law, to accomplish the mission of simultaneous arrival in three-dimensional space.

4.1. Design of Guidance Law Projected on a Datum Plane

Define the deviation between the time-to-go of each vehicle and the average time-to-go:
ε i = t g o , i t ¯ g o
where t ¯ g o = 1 n i = 1 n t g o , i and t ¯ g o represent the mean time-to-go values of all vehicles, and t g o , i represents the time-to-go of the i t h vehicle. When ε i > 0 , it indicates that the i t h vehicle would take longer to reach the target under its current state and thus needs to accelerate to match the group’s average arrival time. Conversely, if ε i < 0 , the vehicle should decelerate. If ε i = 0 , the vehicle can maintain its current state.
Individual vehicles send their time-to-go values to the lead vehicle through the communication network. It calculates the average time-to-go and feeds it back to the vehicles. Each vehicle then calculates the deviation between its own time-to-go and the average time-to-go.
The main design idea is driving the time-to-go deviation ε i to zero. However, the calculation of t g o , i depends on variables of unknown future states, and the exact mathematical expression for ε i can only be obtained after the vehicle guidance law has been determined. Therefore, the exact mathematical expression for ε i cannot be obtained until the vehicle guidance law has been determined. Thus, the estimated time-to-go is used in the design of the guidance law. The estimated time-to-go can be expressed as t ^ g o , i , and the estimated time-to-go deviation can be expressed as ε ^ i . Inspired by the above discussion, in the next section, a new LOS-based distributed cooperative guidance law is designed to allow ε ^ i 0 .
Note the relationship between the estimated time-to-go and the true time-to-go after ε ^ i 0 will be further demonstrated in later sections to obtain a more accurate arrival time.
Define the estimated time-to-go:
t ^ g o , i = r i a V r , i
where V r , i = V i a cos ϕ i . It is essential to focus solely on the estimated time-to-go of each vehicle, even if the vehicles’ departure times are not synchronized. The appropriate inputs are required to ensure that the estimated remaining flight time is synchronized, enabling the completion of simultaneous arrival tasks. Here, the estimated deviation of the time-to-go of each vehicle with respect to the swarm will be introduced. The estimated deviation of time-to-go can be expressed as follows:
ε ^ i = r i a V r , i 1 n i = 1 n t g o , i
Next, the acceleration along the LOS direction is designed to drive ε ^ i to zero. u r , i is designed as follows:
u r , i = V λ , i 2 r i a + k 1 V r , i 2 r i a ε ^ i
where k 1 > 0 , V λ , i = V i a sin ϕ i .
Theorem 1.
Consider the i t h vehicle system Equation (5), the cooperative guidance law Equation (10) ensures that ε ^ i = 0 before the multi-vehicle system reaches the target, thereby achieving the simultaneous arrival of multiple vehicles at the target.
Proof. 
Differentiating t ^ g o , i , we obtain the following:
t ^ ˙ g o , i = r i a V r , i 2 V λ , i 2 r i a u r , i 1
The calculation of the average remaining flight time of the fleet t ¯ g o is as follows:
t ¯ g o = 1 n i = 1 n t ^ g o , i
where n represents the number of vehicles. Differentiating t ¯ g o , we have the following:
t ¯ ˙ g o = 1 n i = 1 n t ^ ˙ g o , i = 1 + 1 n i = 1 n r i a V r , i 2 V λ , i 2 r i a u r , i
The combined Equation (10) can be written as follows:
t ¯ ˙ g o = 1 n i = 1 n t ^ ˙ g o , i = 1 1 n k 1 i = 1 n ε ^ i
The derivative of Equation (9) can then be obtained as follows:
ε ^ ˙ i = t ^ ˙ g o , i t ¯ ˙ g o = k 1 ε ^ i 1 n k 1 i = 1 n ε ^ i
Using variance as the Lyapunov function, we have the following:
V L 1 = 1 n i = 1 n ( t ^ g o , i t ¯ g o ) 2
When V L 1 0 , it means that the time of each vehicle can converge at the same time, maintaining stable convergence, and that each vehicle can arrive at the same time. Using Lyapunov stability theory, we can prove that the design methods proposed above drive the variance V L 1 to zero. Differentiating V L 1 yields the following:
V ˙ L 1 = 2 n i = 1 n [ ( t ^ g o , i t ¯ g o ) ( t ^ ˙ g o , i t ¯ ˙ g o ) ] = 2 n { i = 1 n [ ( t ^ g o , i t ¯ g o ) t ^ ˙ g o , i ] i = 1 n [ ( t ^ g o , i t ¯ g o ) t ¯ ˙ g o ] } = 2 n i = 1 n [ ( t ^ g o , i t ¯ g o ) t ^ ˙ g o , i ]
It is worth noting that the sum of the differences between the individual elements of an array and the average of the array is zero. Then, we have the following:
i = 1 n ( t ^ g o , i t ¯ g o ) = 0
The combined Equations (9) and (17) can be written as follows:
V ˙ L 1 = 2 n i = 1 n [ ( t ^ g o , i t ¯ g o ) t ^ ˙ g o , i ] = 2 n i = 1 n [ ( t ^ g o , i t ¯ g o ) ( 1 k 1 ε ^ i ) ] = 2 k 1 n i = 1 n [ ( t ^ g o , i t ¯ g o ) ε ^ i ] = 2 k 1 n i = 1 n [ ε ^ i 2 ] = 2 k 1 V L 1
When ε ^ i 2 0 , it follows that V ˙ L 1 0 . Moreover, V ˙ L 1 = 0 holds if and only if ε ^ i 2 = 0 . It can be proven that ε ^ i 2 = 0 is the single stable equilibrium point of V L 1 . At any ε ^ i 2 0 , the moment must be unstable because ε j > 0 , j { 1 , 2 , 3 , , n } must exist, ε i < 0 , i { 1 , 2 , 3 , , n } must exist, and the equilibrium could be broken. Therefore, ε i = 0 is the only stable equilibrium point. This proves that the guidance law can drive the vehicle swarm to complete simultaneous arrival and achieve maximum damage efficacy.    □
The convergence of ε ^ i was demonstrated in the previous sections, aside from driving to ε ^ i zero. It is also necessary to nullify the relative velocity orthogonal to the LOS V λ , i at the final moment. The relative velocity orthogonal to the LOS is as follows:
V r , i = V i a cos ϕ i V λ , i = V i a sin ϕ i
According to the planar engagement geometry model, we have the following:
ϕ i = γ i λ i
Differentiating the flight-path angle and the LOS angle, we obtain the following [37]:
γ ˙ i = V ˙ r , i sin ϕ i V i a
λ ˙ i = V λ , i r i a = V i a sin ϕ i r i a
and taking the derivative of ϕ i gives the following:
ϕ ˙ i = γ ˙ i λ ˙ i = V ˙ r , i sin ϕ i V i a V i a sin ϕ i r i a
Following the results of the proof above, the system state can converge to zero under the action of u r , i = V λ , i 2 r i a + k 1 V r , i 2 r i a ε ^ i . Driven by the control inputs of u r , i , the estimated deviation of time-to-go can also converge to zero, and Equations (11) to (19) complete this part of the proof. When ε ^ i = 0 , then u r , i can be considered as follows:
u r , i = V λ , i 2 r i a
Combining Equations (5) and (24) yields V ˙ r , i = 0 , then we have the following:
ϕ ˙ i = V i a sin ϕ i r i a
When ϕ i > 0 holds, then ϕ ˙ i < 0 can be obtained. On the other hand, when ϕ i < 0 holds, then ϕ ˙ i > 0 can be obtained. If and only if ϕ i = 0 , ϕ ˙ i = 0 can be obtained. In other words, the aspect angle will gradually converge to zero, while u λ , i converges to zero as well. This ensures that the vehicle arrives at the strike position squarely on target.
The convergence process of u r , i driving ϕ i is essentially the action of u r , i on the components of velocity in the perpendicular direction, denoted as follows:
u , i = u r , i sin ϕ i = V λ , i 2 r i a + k 1 V r , i 2 r i a ε ^ i sin ϕ i
When ϕ i is small, u , i can smoothly drive ϕ i to zero. However, at the time of the vehicle launch, ϕ i can have a relatively large initial value. In this case, convergence cannot be accomplished by u , i alone, and the design u λ , i is supplemented as a compensating term.
u λ , i = V λ , i V r , i r i a + k 2 V λ , i
where k 2 > 0 .
Theorem 2.
Consider the i t h vehicle system in Equation (5); the guidance law in Equation (28) guarantees ϕ i = 0 at the moment of arrival at the target position.
Proof. 
The following demonstrates the stability of the compensation term using the combined Equations (5) and (28):
V ˙ λ , i = V λ , i V r , i r i a + V λ , i V r , i r i a k 2 V λ , i = k 2 V λ , i
Consider the Lyapunov function:
V L 2 = 1 2 V λ , i 2
Differentiating Equation (30), we have the following:
V ˙ L 2 = V ˙ λ , i V λ , i = k 2 V λ , i 2 = 2 k 2 V L 2
Referring to the description of V L 1 above, u λ , i can drive ϕ i to converge to zero and can be parametrized to correct it for large angles. Compensatory inputs will pose a greater arithmetic challenge to the system due to the valuable on-board computational resources. For this analysis, an angular threshold is defined to streamline the computational process. When ϕ i is greater than the threshold, the compensatory term input is activated, and when ϕ i is less than the threshold, the compensatory input is turned off, and u r , i performs the end-convergence control.    □
Remark 1.
In the control process of the vehicle, when the vehicle–target distance is equal to zero, the control command tends to infinity, resulting in the system being out of control. However, from the perspective of the entire control process, when r i a = 0 , the simultaneous arrival task has been completed, and the vehicle has already reached the target position. Therefore, any control abnormality caused by the distance being zero does not affect the completion of the overall control task [41].

4.2. Design of Planar Convergence Law Perpendicular to the Datum Plane

The distance and velocity components in the vertical direction of the datum are r i b and V i b . The vehicle will stabilize on the datum only when both r i b and V i b reach zero. For this type of control problem, many scholars in previous studies have chosen the sliding-mode method. However, traditional sliding-mode control is inefficient, and in a multi-vehicle cooperative scenario, the system must achieve convergence within a short time to avoid negatively impacting the final performance.
During the flight of a coordinated multi-vehicle operation, the shorter the time it takes for the vehicles to converge on the datum plane, the better the collision avoidance performance within the group. Ideally, if each vehicle has been moving steadily on the datum plane since departure, they will only meet at the target point. At the beginning of the launch, the distance between vehicles is substantial, and the probability of collision is low. As the vehicle–target distance decreases and the vehicle–vehicle distance narrows, the possibility of a vehicle collision increases. So, the faster the convergence to the datum plane, the stronger the collision avoidance performance.
Therefore, this paper designs an improved variable-power sliding-mode control method based on the traditional sliding-mode method as follows:
u i b = 1 k b 1 τ 1 V i b τ 1 1 k b 2 si g α ( s i ) + k b 3 si g β ( s i ) + V i b
where s i = r i b + k b 1 si g τ 1 ( V i b ) , r i b represents the vehicle-to-datum distance, V i b is the velocity of the vehicle perpendicular to the datum plane, k b 1 , k b 2 , k b 3 > 0 , 1 < τ 1 < 2 , 0 < β < 1 , si g k ( x ) = x k sign ( x ) , s i g n ( x ) = 1 , x > 0 0 , x = 0 1 , x < 0 and α is a parameter that varies according to specific conditions:
α = 1 , s i < s Δ m , s i s Δ , m > 1
where s Δ and m are positive constants before the launch of the vehicle. When s i > s Δ , the power can be set as m. When the sliding surface is about to converge to zero, then the power number is reduced to a constant one. In this way, both the rate of convergence in the early stage can be guaranteed, and the stability of the performance at the end of convergence can be guaranteed.
Remark 2.
The primary innovation in the design of the variable-power sliding-mode method lies in the application of adaptive segmented control. By presetting a threshold value s Δ , high-power sliding-mode control is applied in the early stage to drive the system to converge to the threshold s Δ within a fixed-time boundary. In the later stage, low-power sliding-mode control is employed to further converge the threshold s Δ to zero, also within a fixed-time boundary. The combination of these two control segments ultimately achieves the desired overall control effect.
Theorem 3.
Consider the i t h vehicle system in Equation (6), under the designed control input in Equation (32), the r i b and V i b are guaranteed to converge to zero within the fixed-time boundary:
T b T b 1 + T b 2 = 1 k b 2 ( 1 β ) In 2 k b 2 V L 3 1 β 2 ( s Δ ) + 2 k b 3 2 k b 3 + 1 k b 2 1 m 1 + 1 2 k b 3 β + 1 1 β
Proof. 
Consider the Lyapunov function:
V L 3 = s i 2
Combined with Equation (32), differentiating Equation (34) yields the following:
V ˙ L 3 = 2 s i s ˙ i = 2 s i k b 2 si g α ( s i ) k b 3 si g β ( s i ) = 2 k b 2 s i α + 1 2 k b 3 s i β + 1
When s i s Δ , α = m , m > 1
V ˙ L 3 = 2 k b 2 V L 3 m + 1 2 2 k b 3 V L 3 β + 1 2
Lemma 1 yields the following:
T b 1 1 k b 2 1 m 1 + 1 2 k b 3 β + 1 1 β
When s i < s Δ ,
V ˙ L 3 = 2 k b 2 s i 2 2 k b 3 s i β + 1
Lemma 2 yields the following:
T b 2 1 k b 2 ( 1 β ) In 2 k b 2 V L 3 1 β 2 s Δ + 2 k b 3 2 k b 3
It is worth noting that while Equation (39) can only yield finite-time convergence, the initial value is fixed for the second control segment, so fixed-time convergence can be obtained as well. Therefore, the convergence time of the vertically oriented vehicle group state is satisfied:
T b T b 1 + T b 2 = 1 k b 2 ( 1 β ) In 2 k b 2 V L 3 1 β 2 ( s Δ ) + 2 k b 3 2 k b 3 + 1 k b 2 1 m 1 + 1 2 k b 3 β + 1 1 β
We should note that T b 1 represents the length of time for the system to converge to zero at high powers, but it switches to low power control at s i = s Δ so the actual T b 1 is much smaller.    □

5. Performance Analysis

5.1. Accuracy of Time Estimates

As detailed in the preceding paragraphs, the proof has been completed, showing that ε ^ i converges rapidly and stably to zero. It is important to emphasize that for both time and deviation, the estimates are utilized throughout the analysis. A discussion of the convergence of the true remaining flight time deviations is needed next. Combining Equations (5) and (10), we have the following:
V ˙ r , i = k 1 V r , i 2 r i a ε ^ i
It is easy to see that when ε ^ i 0 , V ˙ r , i = 0 . This means that V r , i remains constant from this moment on, so the calculated estimated time-to-go of the vehicle is the real value, that is t ^ g o , i = t g o , i , ε ^ i = ε i . As a result, the cluster, driven by the designed cooperative guidance law, is able to accurately accomplish the mission of simultaneous arrival.

5.2. Collision Avoidance Performance

In the multi-vehicle coordinated combat scenario, some scholars have already focused on the vehicle collision problem in the coordinated control process, and the debris generated by the collision of multiple vehicles during the coordinated operation is likely to lead to the failure of the entire mission. In this paper, during the design of the guidance law, the vehicle and the target are first assumed to have coplanar projection points on the horizontal plane, which is defined as the datum plane; thus, as long as the vertical datum direction is appropriately designed within the sliding-mode convergence law, the vehicle can be guided to converge onto the datum plane, the datum plane target can be intersected, and, therefore, the vehicle can be guided through the convergence law to achieve collision avoidance performance. It is important to note here that, as shown in Section 6, the vehicle does not complete its convergence to the datum plane within 13 s. As a result, during this transitional stage, there is still a risk of collision between the vehicles. In the early stages of guidance, when the distance between the vehicles and the vehicle–target distance is large, there is sufficient adjustable space, making the implementation of a collision avoidance strategy relatively straightforward.

6. Example Scenario

In this section, the results of the simulation are reported to illustrate the effectiveness of the proposed guidance law. Five vehicles are designed to approach a stationary target simultaneously in a three-dimensional scenario using the cooperative guidance law designed in this paper. The initial position of the target by the coordinates 15,000 m, 15,000 m, and 5000 m, and the initial state information of each vehicle is shown in Table 1 and Table 2. Regarding the selection of the system control input parameters, referring to the existing research, reference [38] studied the fixed power sliding-mode control method; some of the parameters were similar to those used in this paper, such as k b 1 > 0 , k b 3 > 0 , 0 < τ 1 < 1 , and 0 < β < 1 . For the newly designed terms, k b 2 and α , their approximate value ranges can still be referred to from existing studies. As a power term, it has a large influence on the control input, and during the process of simulation and debugging, it was found that when the value α is too large, the acceleration input of the vehicle will be more than the control boundary of the conventional vehicle, which is not in line with the actual engineering application. After repeated simulation and debugging, the final selection of the control parameters is shown in Table 2, and the corresponding simulation results are reflected in this section. The three-dimensional variable-power sliding-mode guidance algorithm is summarized in Algorithm 1, and the algorithm flowchart is shown in Figure 4.
Algorithm 1: Three-dimensional variable-power sliding-mode guidance algorithm.
   Initialization:
        Step 1: Initialize the states of all units r i a , λ i , γ i , ϕ i , V i a , r i b , V i b
        Step 2: Set the control gains k 1 , k 2 , k b 1 , k b 2 , k b 3 , α , β
   Main Loop:
   For each iteration t:
                   For each unit i:
        Step 3: Calculate time-to-go: t ^ g o , i ( t ) = r i a ( t ) V r , i ( t )
        Step 4: Calculate deviation of time-to-go: ε ^ i ( t ) = t ^ g o , i ( t ) t ¯ g o ( t )
        Step 5: Calculate the sliding mode: s i ( t ) = r i b ( t ) + k b 1 si g τ 1 [ V i b ( t ) ]
        Step 6: Compute the guidance command:
u r , i ( t ) = V λ , i 2 ( t ) r i a ( t ) + k 1 V r , i 2 ( t ) r i a ( t ) ε ^ i ( t )
u λ , i = V λ , i V r , i r i a + k 2 V λ , i
u i b ( t ) = 1 k b 1 τ 1 V i b ( t ) τ 1 1 k b 2 si g α [ s i ( t ) ] + k b 3 si g β [ s i ( t ) ] + V i b ( t )
        Step 7: Update the state:
r i a ( t + 1 ) = r i a ( t ) + Δ t V r , i ( t )
V r , i ( t + 1 ) = V r , i ( t ) + Δ t V λ , i 2 ( t ) r i a ( t ) Δ t u r , i ( t )
V λ , i ( t + 1 ) = V λ , i ( t ) + Δ t V λ , i ( t ) V r , i ( t ) r i a ( t ) Δ t u λ , i ( t )
r i b ( t + 1 ) = r i b ( t ) + Δ t V i b ( t )
V i b ( t + 1 ) = V i b ( t ) + Δ t u i b ( t )
                   End for
   End for
Remark 3.
The parameter selection in this paper is mainly based on the following three aspects: (1) determining the basic range of parameters according to the constraints specified in the theorems; (2) referring to relevant literature to narrow down the selection range based on the empirical findings of other researchers; and (3) tuning the parameters through simulation experiments to determine specific values suitable for the proposed control framework.
From the simulation results in Figure 5, the guidance law can effectively enable simultaneous approaches to a stationary target. As shown in Figure 5a, the trajectory of a vehicle in three-dimensional space can indicate that the cluster is capable of flying to a specified position under the control of the guidance law. Figure 5b shows that the multi-vehicle system achieves range-to-go consistency before reaching the target. The total action time is 58.2 s. The time consistency of multiple vehicles approaching the same target is achieved when the three-dimensional trajectories of the vehicles intersect at the same point, and the relative vehicle–target distances converge to zero simultaneously in the time dimension. In other words, the three-dimensional space multi-vehicle cooperative guidance law designed in this paper is effective.
Figure 6 and Figure 7 show the motion parameters projected onto the datum plane and in the direction perpendicular to the datum plane. As shown in Figure 6, Figure 6a represents the vehicle’s deviation of time-to-go, which is one of the important parameter inputs for designing a guidance law. Figure 6b is the input of the LOS direction. Here, one can basically see that the input acceleration values of the vehicles are all within ±150 m/s2, which aligns with the acceleration modulation range of conventional vehicles. According to the performance analysis in the subsection above, the simulation result in Figure 6c verifies that V ˙ r , i = 0 when ε ^ i converges to zero. Figure 6d represents the input of the LOS vertical direction. In the paper, a threshold value of 0.3 rad is set, and it is clear from the simulation results that the inputs of the five vehicles change at a certain point in time. Figure 6e,f represent the velocities of the LOS vertical direction and aspect angle. When the vehicle arrives at the target position, the aspect angle can converge to zero, completing the adjustment of the vehicle’s approach attitude. Figure 7a represents the input perpendicular to the datum plane. At approximately 2.2 s, the input value stabilizes. Combining Figure 7b,c, the velocity of the vehicle to the datum and the distance to the datum complete the convergence to zero at about 12.3 s. The convergence time T b is 36.55 s based on theoretical parameterization, and the simulation results in a convergence time of 12.3 s, which verifies the correctness of the theory. In other words, after this moment, the vehicles are stabilized on their respective data, and the data only meet at the endpoint; the vehicles do not interfere with each other and do not collide until they reach the endpoint.
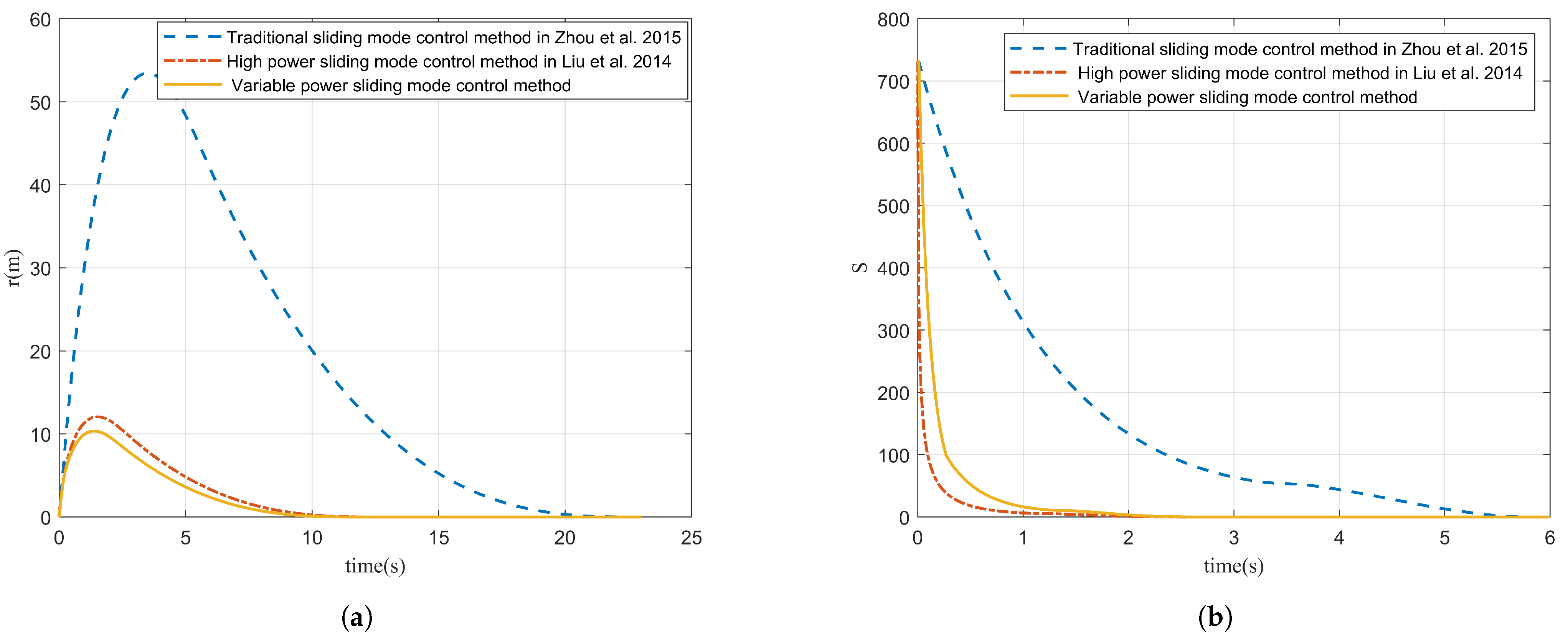
In order to more intuitively compare the advantages of the variable-power sliding-mode control method designed in this paper over the traditional sliding-mode control method [38], additional simulation comparisons were carried out for verification. Figure 8a,b present a comparison between the variable-power sliding-mode control method proposed in this paper and the traditional as well as high-order sliding-mode control methods designed by other researchers. According to the design idea of this paper, the sliding-mode controller drives the vehicle to converge onto the reference plane. Figure 8a illustrates the convergence process toward the reference plane. As shown in the figure, the traditional sliding-mode control method achieves convergence with r = 0 at approximately 20.5 s, whereas the proposed variable-power sliding-mode control method achieves convergence at around 10.4 s. Compared to the traditional method, the convergence time is reduced by 10.1 s, representing an improvement in efficiency of approximately 49%. As discussed in Section 4, the convergence and stabilization of the distance to the reference plane indicate the completion of the convergence control process. The convergence time of the high-power sliding-mode control [42] is basically the same as that of the variable-power sliding-mode control, but the high-power sliding-mode requires about 12 m of action distance during convergence, whereas the variable-power sliding-mode achieves convergence within the same action time, and less than 10 m of action distance can be completed.
The variable-power sliding-mode fixed-time convergence control method designed in this paper further improves the control performance of the system compared to existing fixed-time control methods. First, unlike fixed-power sliding-mode fixed-time convergence control methods, this approach employs variable-power terms, adopting different control laws at different control stages. At the early stage, when the sliding-mode value is large, a high-power convergence is used. In the later stage, as the target value is approached, a low-power smooth convergence is applied. This achieves a smaller convergence time boundary compared to fixed-power methods. Second, in terms of chattering, the si g k ( x ) = x k sign ( x ) function is introduced to overcome the discrete jumps at zero inherent in the sign function, which cause high-frequency chattering. This enhances the stability of the system control during the fixed-time convergence process. As shown in Figure 9, a comparison between two existing fixed-time convergence control methods and the proposed variable-power fixed-time control method demonstrates that the proposed method not only mitigates chattering but also ensures the system’s convergence rate while maintaining the smoothness of the convergence in the final stage.

7. Conclusions

This paper addresses the problem of multiple vehicles simultaneously approaching a stationary target in three-dimensional space. A novel method is proposed to solve the three-dimensional (3D) guidance problem, utilizing the vehicle–target position to define a reference plane. This reference plane allows the decomposition of the 3D vectors into two two-dimensional (2D) vectors, effectively decoupling the complex 3D problem into two simpler 2D plane problems. Within this framework, control inputs are designed along the line-of-sight (LOS) direction in the reference plane to ensure consistency in time-to-go, while adaptive compensation inputs are applied perpendicular to the LOS direction to adjust the vehicle’s aspect angle, thereby achieving the optimal approach posture upon reaching the target. Theoretical analysis demonstrates that this method ensures a high level of accuracy in time consistency. Furthermore, a variable-power sliding-mode control method is introduced, based on traditional sliding-mode control, which not only guarantees rapid convergence but also improves the stability of terminal control. Finally, simulations were conducted to validate the performance of the proposed guidance law. Future work will focus on the development of guidance laws for maneuvering targets, aiming to enhance the applicability of the method. The next step will be to further develop the three-dimensional space cooperative guidance law for multiple vehicles, targeting maneuvering targets, based on the time consistency and angle convergence control methods presented in this paper.

Author Contributions

Conceptualization: J.L. and H.Y.; methodology: J.L.; software, T.L.; validation: X.Y., C.L. and H.Z.; formal analysis: J.L. and P.L.; investigation: H.Z. All authors have read and agreed to the published version of the manuscript.

Funding

This research was funded by Chinese PhD graduates participating in the funding project 2023M731676.

Data Availability Statement

All necessary data are described in this manuscript.

Conflicts of Interest

The authors declare no conflicts of interest.

Abbreviations

The following abbreviations are used in this manuscript:
LOSline-of-sight
2Dtwo-dimensional
3Dthree-dimensional

References

  1. Kang, H.; Wang, P.; Wei, S.; Song, S. Three-dimensional impact-time-constrained proportional navigation guidance using range-varying gain. Aerosp. Sci. Technol. 2023, 140, 108419. [Google Scholar] [CrossRef]
  2. Cevher, F.Y.; Leblebicioğlu, M.K. Cooperative Guidance Law for High-Speed and High-Maneuverability Air Targets. Aerospace 2023, 10, 155. [Google Scholar] [CrossRef]
  3. Wu, Z.; Fang, Y.; Fu, W.; Wang, Z.; Ma, W. Three-Dimensional Cooperative Mid-Course Guidance Law Against the Maneuvering Target. IEEE Access 2020, 8, 18841–18851. [Google Scholar] [CrossRef]
  4. He, Z.; Fan, S.; Wang, J.; Wang, P. Distributed observer-based fixed-time cooperative guidance law against maneuvering target. Int. J. Robust Nonlinear Control 2024, 34, 27–53. [Google Scholar] [CrossRef]
  5. Yu, J.; Shi, Z.; Dong, X.; Li, Q.; Lv, J.; Ren, Z. Impact time consensus cooperative guidance against the maneuvering target: Theory and experiment. IEEE Trans. Aerosp. Electron. Syst. 2023, 59, 4590–4603. [Google Scholar] [CrossRef]
  6. Li, A.; Hu, X.; Yang, S.; Dong, K. Adaptive Terminal Time and Impact Angle Constraint Cooperative Guidance Strategy for Multiple Vehicles. Drones 2024, 8, 134. [Google Scholar] [CrossRef]
  7. Wang, Z.; Fang, Y.; Fu, W.; Ma, W.; Wang, M. Prescribed-time cooperative guidance law against manoeuvring target with input saturation. Int. J. Control 2023, 96, 1177–1189. [Google Scholar] [CrossRef]
  8. Cao, W.; Huang, J.; Chang, S. Data-Driven-Method-Based Guidance Law for Impact Time and Angle Constraints. Aerospace 2024, 11, 540. [Google Scholar] [CrossRef]
  9. Wang, Y.; Wang, H.; Lin, D.; Wang, W. Nonlinear modified bias proportional navigation guidance law against maneuvering targets. J. Frankl. Inst. 2022, 359, 2949–2975. [Google Scholar] [CrossRef]
  10. Yao, D.; Xia, Q. Finite-Time Convergence Guidance Law for Hypersonic Morphing Vehicle. Aerospace 2024, 11, 680. [Google Scholar] [CrossRef]
  11. Dong, F.; Zhang, X.; Tan, P. Non-singular terminal sliding mode cooperative guidance law under impact angle constraint. J. Frankl. Inst. 2024, 361, 107079. [Google Scholar] [CrossRef]
  12. Han, T.; Shin, H.S.; Hu, Q.; Tsourdos, A.; Xin, M. Differentiator-based incremental three-dimensional terminal angle guidance with enhanced robustness. IEEE Trans. Aerosp. Electron. Syst. 2022, 58, 4020–4032. [Google Scholar] [CrossRef]
  13. Wang, X.; Hongqian, L.U.; Huang, X.; Yang, Y.; Zuo, Z. Three-dimensional time-varying sliding mode guidance law against maneuvering targets with terminal angle constraint. Chin. J. Aeronaut. 2022, 35, 303–319. [Google Scholar] [CrossRef]
  14. Ali, Z.A.; Han, Z.; Masood, R.J. Collective Motion and Self-Organization of a Swarm of UAVs: A Cluster-Based Architecture. Sensors 2021, 21, 3820. [Google Scholar] [CrossRef]
  15. Li, H.; Tao, H.; Wang, J.; He, S. Three-Dimensional Optimal Homing Guidance Without Terminal Maneuverability Advantage. J. Guid. Control Dyn. 2023, 46, 1774–1784. [Google Scholar] [CrossRef]
  16. Fan, Y.; Qiu, B.; Liu, L.; Yang, Y. Global fixed-time trajectory tracking control of underactuated USV based on fixed-time extended state observer. ISA Trans. 2023, 132, 267–277. [Google Scholar] [CrossRef]
  17. Markham, K.C. Solutions of Linearized Proportional Navigation Equation for Missile with First-Order Lagged Dynamics. J. Guid. Control Dyn. 2024, 47, 589–596. [Google Scholar] [CrossRef]
  18. Paul, N.; Ghose, D. Longitudinal-acceleration-based guidance law for maneuvering targets inspired by hawk’s attack strategy. J. Guid. Control Dyn. 2023, 46, 1437–1447. [Google Scholar] [CrossRef]
  19. Tahk, M.J.; Jeong, E.T.; Lee, C.H.; Yoon, S.J. Attitude Hold Proportional Navigation Guidance for Interceptors with Off-Axis Seeker. J. Guid. Control Dyn. 2024, 47, 1015–1025. [Google Scholar] [CrossRef]
  20. Liu, J.Y.; Wang, G.; Fu, Q.; Yue, S.H.; Wang, S.Y. Task assignment in ground-to-air confrontation based on multiagent deep reinforcement learning. Def. Technol. 2023, 19, 210–219. [Google Scholar] [CrossRef]
  21. Jeon, I.S.; Karpenko, M.; Lee, J.I. Connections between proportional navigation and terminal velocity maximization guidance. J. Guid. Control Dyn. 2020, 43, 383–388. [Google Scholar] [CrossRef]
  22. Sun, G.; Wen, Q.; Xu, Z.; Xia, Q. Impact time control using biased proportional navigation for missiles with varying velocity. Chin. J. Aeronaut. 2020, 33, 956–964. [Google Scholar] [CrossRef]
  23. Zhang, P.; Zhang, X. Multiple missiles fixed-time cooperative guidance without measuring radial velocity for maneuvering targets interception. ISA Trans. 2022, 126, 388–397. [Google Scholar] [CrossRef] [PubMed]
  24. Chunyan, W.; Weilin, W.; Wei, D.; Jianan, W.; Deng, F. Multiple-stage spatial–temporal cooperative guidance without time-to-go estimation. Chin. J. Aeronaut. 2024, 37, 399–416. [Google Scholar]
  25. Yu, Z.; Li, Y.; Pei, B.; Lv, M.; Xu, W. Nonsingular fixed-time fault-tolerant attitude control for tailless flying wing aircraft with time-varying flight envelope constraints. Int. J. Robust Nonlinear Control 2023, 33, 3420–3439. [Google Scholar] [CrossRef]
  26. Wang, Y.; Li, C.; Wang, X. A multi-source information fusion layer counting method for penetration fuze based on TCN-LSTM. Def. Technol. 2024, 33, 463–474. [Google Scholar] [CrossRef]
  27. Accary, A.; Benniou, H.; Malecot, Y.; Briffaut, M.; Daudeville, L. Saturation ratio influence on perforation and penetration of concrete subjected to missile impact: A DEM approach. Comput. Part. Mech. 2024, 11, 805–814. [Google Scholar] [CrossRef]
  28. Li, H.; Liu, Y.; Li, K.; Liang, Y. Analytical Prescribed Performance Guidance with Field-of-View and Impact-Angle Constraints. J. Guid. Control Dyn. 2024, 47, 728–741. [Google Scholar] [CrossRef]
  29. Fossen, T.I.; Aguiar, A.P. A uniform semiglobal exponential stable adaptive line-of-sight (ALOS) guidance law for 3-D path following. Automatica 2024, 163, 111556. [Google Scholar] [CrossRef]
  30. Fossen, T.I. An adaptive line-of-sight (ALOS) guidance law for path following of aircraft and marine craft. IEEE Trans. Control Syst. Technol. 2023, 31, 2887–2894. [Google Scholar] [CrossRef]
  31. Li, X.H.; Zhang, Z.B.; An, J.P.; Zhou, X.; Hu, G.X.; Zhang, G.H.; Man, W.X. Adaptive sliding mode control of modular self-reconfigurable spacecraft with time-delay estimation. Def. Technol. 2022, 18, 2170–2180. [Google Scholar] [CrossRef]
  32. Cheng, J.; Xie, L.; Zhang, D.; Yan, H. Novel event-triggered protocol to sliding mode control for singular semi-Markov jump systems. Automatica 2023, 151, 110906. [Google Scholar] [CrossRef]
  33. Homaeinezhad, M.R.; FotoohiNia, F. Robust nonlinear model predictive sliding mode control algorithm for saturated uncertain multivariable mechanical systems. J. Vib. Control 2023, 29, 1524–1538. [Google Scholar] [CrossRef]
  34. Yodwong, B.; Guilbert, D.; Kaewmanee, W.; Phattanasak, M.; Hinaje, M.; Vitale, G. Improved Sliding Mode-Based Controller of a High Voltage Ratio DC–DC Converter for Electrolyzers Supplied by Renewable Energy. IEEE Trans. Ind. Electron. 2023, 71, 8831–8840. [Google Scholar] [CrossRef]
  35. Li, G.; Wu, Y. Adaptive cooperative guidance with seeker-less followers: A position coordination-based framework. ISA Trans. 2023, 143, 168–176. [Google Scholar] [CrossRef]
  36. Chen, W.; Hu, Y.; Gao, C.; An, R. Trajectory tracking guidance of interceptor via prescribed performance integral sliding mode with neural network disturbance observer. Def. Technol. 2024, 32, 412–429. [Google Scholar] [CrossRef]
  37. Yu, H.; Dai, K.; Li, H.; Zou, Y.; Ma, X.; Ma, S.; Zhang, H. Distributed cooperative guidance law for multiple missiles with input delay and topology switching. J. Frankl. Inst. 2021, 358, 9061–9085. [Google Scholar] [CrossRef]
  38. Zhou, J.; Yang, J. Smooth Sliding Mode Control for Missile Interception with Finite-Time Convergence. J. Guid. Control Dyn. 2015, 38, 1311–1318. [Google Scholar] [CrossRef]
  39. Zhang, N.; Gai, W.; Zhang, G.; Zhang, J. An active disturbance rejection control guidance law based collision avoidance for unmanned aerial vehicles. Aerosp. Sci. Technol. 2018, 77, S1270963817323015. [Google Scholar] [CrossRef]
  40. Li, G.; Lü, J.; Zhu, G.; Liu, K. Distributed observer-based cooperative guidance with appointed impact time and collision avoidance. J. Frankl. Inst. 2021, 358, 6976–6993. [Google Scholar] [CrossRef]
  41. Dong, W.; Wang, C.; Wang, J.; Zuo, Z.; Shan, J. Fixed-time terminal angle-constrained cooperative guidance law against maneuvering target. IEEE Trans. Aerosp. Electron. Syst. 2021, 58, 1352–1366. [Google Scholar] [CrossRef]
  42. Liu, J.; Laghrouche, S.; Wack, M. Observer-Based High Order Sliding Mode Control of Unity Power Factor in Three-Phase AC/DC Converter for Hybrid Electric Vehicle Applications. Int. J. Control 2014, 87, 1117–1130. [Google Scholar] [CrossRef]
Figure 1. Multi-vehicle diagram.
Figure 1. Multi-vehicle diagram.
Aerospace 12 00370 g001
Figure 2. Vehicle flight status diagram.
Figure 2. Vehicle flight status diagram.
Aerospace 12 00370 g002
Figure 3. Planar dynamics diagram (projected on the datum).
Figure 3. Planar dynamics diagram (projected on the datum).
Aerospace 12 00370 g003
Figure 4. Algorithm flowchart.
Figure 4. Algorithm flowchart.
Aerospace 12 00370 g004
Figure 5. Simulation results under the guidance law. (a) Trajectories in (X,Y,Z) space. (b) Range-to-go in 3D space. (c) Velocity in 3D space.
Figure 5. Simulation results under the guidance law. (a) Trajectories in (X,Y,Z) space. (b) Range-to-go in 3D space. (c) Velocity in 3D space.
Aerospace 12 00370 g005
Figure 6. Simulation results projected on a datum plane. (a) Deviation of time-to-go. (b) Input of the LOS direction. (c) Velocity of the LOS direction. (d) Input of the LOS vertical direction. (e) Velocity of the LOS vertical direction. (f) aspect angle.
Figure 6. Simulation results projected on a datum plane. (a) Deviation of time-to-go. (b) Input of the LOS direction. (c) Velocity of the LOS direction. (d) Input of the LOS vertical direction. (e) Velocity of the LOS vertical direction. (f) aspect angle.
Aerospace 12 00370 g006
Figure 7. Simulation results perpendicular to the datum plane. (a) Input. (b) Velocity. (c) Range to datum plane.
Figure 7. Simulation results perpendicular to the datum plane. (a) Input. (b) Velocity. (c) Range to datum plane.
Aerospace 12 00370 g007
Figure 8. Comparison of traditional and variable-power sliding-mode [38,42]. (a) Range to datum plane. (b) Change in sliding-mode value.
Figure 8. Comparison of traditional and variable-power sliding-mode [38,42]. (a) Range to datum plane. (b) Change in sliding-mode value.
Aerospace 12 00370 g008
Figure 9. Comparison of control inputs for the system convergence process [23,36].
Figure 9. Comparison of control inputs for the system convergence process [23,36].
Aerospace 12 00370 g009
Table 1. Simulation parameters.
Table 1. Simulation parameters.
ParameterValue
k 1 3.5
k 2 0.1
k b 1 2
k b 2 0.1
k b 3 1
τ 1 1.4
β 0.4
m1.6
s Δ 150
Table 2. Initial state information.
Table 2. Initial state information.
VehiclePosition (m, m, m) V i a (m/s) V i b (m/s) ϕ i (rad)
1(3000, 2000, 4980)35050−0.39
2(10,000, 1440, 4950)320400.60
3(7500, 1300, 5030)270−400.51
4(4000, 1000, 5015)40030−0.55
5(5000, 1200,5 050)330−200.62
Disclaimer/Publisher’s Note: The statements, opinions and data contained in all publications are solely those of the individual author(s) and contributor(s) and not of MDPI and/or the editor(s). MDPI and/or the editor(s) disclaim responsibility for any injury to people or property resulting from any ideas, methods, instructions or products referred to in the content.

Share and Cite

MDPI and ACS Style

Li, J.; Lu, T.; Liu, P.; Yu, H.; Li, C.; Zhang, H.; Yu, X. Three-Dimensional Adaptive Variable-Power Sliding-Mode Multi-Vehicle Cooperative Guidance Law. Aerospace 2025, 12, 370. https://doi.org/10.3390/aerospace12050370

AMA Style

Li J, Lu T, Liu P, Yu H, Li C, Zhang H, Yu X. Three-Dimensional Adaptive Variable-Power Sliding-Mode Multi-Vehicle Cooperative Guidance Law. Aerospace. 2025; 12(5):370. https://doi.org/10.3390/aerospace12050370

Chicago/Turabian Style

Li, Jian, Tan Lu, Peng Liu, Hang Yu, Changsheng Li, He Zhang, and Xiaohao Yu. 2025. "Three-Dimensional Adaptive Variable-Power Sliding-Mode Multi-Vehicle Cooperative Guidance Law" Aerospace 12, no. 5: 370. https://doi.org/10.3390/aerospace12050370

APA Style

Li, J., Lu, T., Liu, P., Yu, H., Li, C., Zhang, H., & Yu, X. (2025). Three-Dimensional Adaptive Variable-Power Sliding-Mode Multi-Vehicle Cooperative Guidance Law. Aerospace, 12(5), 370. https://doi.org/10.3390/aerospace12050370

Note that from the first issue of 2016, this journal uses article numbers instead of page numbers. See further details here.

Article Metrics

Back to TopTop