Abstract
Accurate prediction of the on-orbit positions of Low Earth Orbit (LEO) satellites is essential for mission success, operational efficiency, and safety. Nevertheless, the non-stationary nature of orbital data and sensor noise presents significant challenges for accurate prediction. To address these challenges, we propose a novel forecasting model, EMD-ICA-DLinear, which combines trend-residual representation with EMD-ICA in an innovative manner. By integrating the TSR (Trend, Seasonality, and Residual) framework with the EMD-ICA dual perspective, this approach provides a comprehensive understanding of time series data and outperforms traditional models in capturing subtle nonlinear relationships. When predicting the orbital position of the Fengyun-3C satellite, the model uses MSE and MAE as evaluation metrics. Experimental results indicate that the proposed EMD-ICA-DLinear hybrid model achieves MSE and MAE values of 0.1101 and 0.1567, respectively, when predicting the orbital position of the Fengyun-3C satellite 6 h in advance, representing reductions of 37.87% and 19.85% compared to the best baseline model, TimesNet. This advancement enhances satellite orbit prediction accuracy, supports operational stability, and enables timely adjustments, thereby improving mission efficiency and safety.
1. Introduction
Recently, the role of Low Earth Orbit (LEO) satellites in enhancing Global Navigation Satellite System (GNSS) services has been increasingly recognized. These satellites are capable of providing resilient Positioning, Navigation, and Timing (PNT) services [1,2,3]. Typically orbiting at altitudes ranging from several hundred kilometers to approximately 1500 km [4], LEO satellites enhance the Precision Orbit Determination (POD) of GNSS satellites by improving satellite geometric distribution [5]. Compared to Medium Earth Orbit (MEO) GNSS satellites, LEO satellites have a signal strength that is 30 decibels [6] stronger and operate at much faster speeds (approximately 7 km/s), resulting in rapid geometric changes and significantly reduced convergence times for Precise Point Positioning (PPP) and PPP-Real Time Kinematic (PPP-RTK) positioning [2,7,8]. Leveraging these advantages, several LEO satellite constellation projects designed specifically for navigation have been initiated, such as Xona PULSAR [9] and CentiSpace [10]. The CentiSpace project successfully launched two test satellites, S3/S4, in September 2022 [11]. With the significant reduction in launch costs, numerous private space exploration companies, including SpaceX, have shown great interest in launching LEO satellites. SpaceX plans to regularly launch 60 satellites per month, with a goal of deploying up to 30,000 satellites [12]. However, this large-scale satellite deployment also increases the risk of collisions between satellites and space debris, which could lead to property damage and even endanger human life. Therefore, accurate satellite orbit prediction is crucial for preventing these risks.
The accuracy of satellite orbit prediction typically relies on the precision of the force models acting on the satellite and the time span of the prediction. In scenarios where orbit precision requirements are not stringent, common analytical methods include the two-body model and the Simplified General Perturbation 4 (SGP4) model, among others (Morales et al., 2019) [13]. These methods primarily account for gravitational influences while neglecting or simplifying non-gravitational effects, leading to a daily predicted orbit accuracy that is generally in the order of kilometers for satellites below 500 km in orbit (Liu et al., 2018; Mortlock and Kassas, 2021) [14,15]. Traditional orbit prediction algorithms mainly rely on statistical and physical methods [16,17,18], but in recent years, the introduction of machine learning and deep learning methods [19,20,21,22] has provided new possibilities for improving prediction accuracy. Some studies employ classical machine learning frameworks but are limited by the use of simulated datasets, which fail to fully consider the irregular patterns that occur during actual satellite operations. For instance, Peng and Bai [23] found that physics-based prediction models failed to utilize historical data of the space environment and on-orbit space objects, leading to an insufficient capture of prediction error patterns. To address this, they proposed the use of Support Vector Machine (SVM) models to identify and learn patterns of orbit prediction errors from historical data, demonstrating the superiority of SVM over traditional models and noting that performance can be further enhanced by increasing the amount of training data.
Other studies have explored the use of Recurrent Neural Network (RNN)-based models for predicting satellite orbits and space objects [24] Furthermore, several studies have applied Long Short-Term Memory (LSTM) models, significantly reducing orbit prediction errors [24,25,26,27,28,29]. For instance, Kim, B., and Kim, J. [25] proposed an adjustment method combining Long Short-Term Memory networks (LSTMs) for dealing with data discontinuities in the International GNSS Service (IGS) Real-Time Service (RTS) orbit corrections. Researchers focused on addressing the discontinuities in RTS data following data loss, especially when changes in the Data Update Cycle (IOD) occur. Through experiments, they demonstrated that the LSTM combined with the IOD adjustment method outperformed polynomial prediction methods in long-term prediction accuracy and showed a significant improvement in positioning accuracy for predicting RTS orbit corrections. Cai et al. [26] proposed an enhanced forecast model that integrates Long Short-Term Memory (LSTM) neural networks and self-attention mechanisms for predicting Satellite Clock Bias (SCB) [27]. Researchers compared and analyzed the performance of the proposed model with Convolutional Neural Networks (CNNs) and LSTM models [28]. Experimental results indicated that the LSTM-Attention model significantly improved prediction accuracy in 12 h and 24 h forecasting tasks, with improvements of 49.67% and 62.51% (12-h forecasting task) and 68.41% and 71.16% (24-h forecasting task) compared to CNN and LSTM models, respectively. Zhang et al. [29] proposed an empirical atmospheric density calibration model based on Long Short-Term Memory (LSTM) neural networks for calibrating the NRLMSISE-00 density model. Researchers used onboard accelerometer data from the CHAMP satellite as the primary input and calibrated it through the LSTM network. Experimental results showed that the LSTM-NRL model effectively reduced the root mean square error of model density by over 40% during different periods and under various space weather conditions. Additionally, the LSTM-NRL model demonstrated significant transfer performance when applied to the GRACE satellite orbit.
Recently, the application of Transformer models in the field of orbit prediction has gained increasing attention, demonstrating exceptional performance in natural language processing (NLP) and time series forecasting [30]. Since its introduction in 2017, the Transformer has been favored for its robust parallel processing capabilities, allowing for independent calculations of all elements in a sequence. Its core attention mechanism captures the interactions between all positions in the input sequence, providing a more comprehensive context compared to earlier time series models. Building on this, deep learning and Transformer models have made significant progress in the field of time series prediction. For instance, the PatchTST model effectively enhances the performance of long-term time series forecasting by introducing patch and channel-independent structures [31]. Concurrently, other Transformer-based models have achieved efficient and accurate predictions for long sequences through self-attention mechanisms and generative decoder technologies [32]. With the deepening understanding of neural networks, more efficient forecasting models have emerged, such as TimesNet and LightTS. The TimesNet model [33] transforms traditional one-dimensional time series data into two-dimensional tensors, leveraging multi-period analysis to capture periodic and aperiodic changes within time series. This model embeds intra-period changes within the columns of the two-dimensional tensor and inter-period changes within the rows, enabling a fine distinction and processing of these two types of changes. TimesNet employs a two-dimensional kernel to model these variations, allowing for more accurate predictions of time series data, especially when complex multi-periodicity and non-linear relationships are present [33]. The LightTS model [34] addresses large-scale time series data through lightweight data dimensionality reduction and sequence modeling strategies. This approach utilizes an efficient feature extraction mechanism to identify key patterns and dynamics, significantly reducing the time and computational resources required for data processing [34]. While ensuring forecasting accuracy, LightTS optimizes the algorithm, reduces computational complexity, and is suitable for use in environments with limited resources. Despite the performance of these methods in specific scenarios, they still face limitations in computational efficiency and handling complex spatial environments and multi-scale spatial representations [35]. Therefore, exploring how to combine deep learning with spatiotemporal modeling techniques to improve the accuracy and robustness of space target trajectory prediction has become an urgent issue that needs to be addressed [35]. The introduction of the DLinear model [36] provides a fresh perspective on the application of Transformers in time series forecasting. This model challenges the effectiveness of Transformers and stands out for its simplicity and efficiency. DLinear employs Direct Multi-Step (DMS) prediction and time series decomposition techniques, breaking down the sequence into trend and residual components, which are then modeled separately by two single-layer linear networks to accomplish the forecasting task. In many cases, DLinear demonstrates superior performance compared to the structurally complex Transformer models.
Despite the significant achievements of previous DLinear-based forecasting models, there is still potential for further improvement. This paper proposes an EMD-ICA-DLinear model for orbit prediction. The model utilizes EMD-ICA for the decomposition and independent component analysis of orbital data, as well as DLinear’s decomposition of trends and residuals, providing two perspectives to explore historical data. Compared to single decomposition and single independent components, it can better extract nonlinear relationships from the data, ensuring the accuracy of predictions. To validate the applicability of the EMD-ICA-DLinear model, we conducted experiments using the actual orbit data of Fengyun 3C. The experimental results show that the EMD-ICA-DLinear model demonstrated extremely high precision in the orbit prediction of Fengyun 3C, with a reduction of 37.87% in Mean Squared Error (MSE) and 19.85% in Mean Absolute Error (MAE) compared to the benchmark model TimesNet. Additionally, the model also showed significant efficiency improvements, reducing execution time and the requirement for model parameters [36].
The organization of this paper is as follows. Section 2 introduces the DLinear model, the EMD algorithm, Independent Component Analysis (ICA), and the underlying fundamental concepts. In Section 3, the datasets used and the data processing procedures are described. Section 4 presents the forecasting results obtained through comparative experiments, followed by a comprehensive discussion of these findings. Finally, Section 5 provides conclusions for this paper.
2. Materials and Methods
2.1. Problem Formulation
In this research, we address the challenge of time series forecasting by focusing on a dataset of dimensionality m. Our goal is to utilize a historical dataset spanning h time steps to predict the subsequent k time steps of the series, denoted as Y. Here, Y represents the predicted outcomes for the future time steps, which are derived from the input historical data X. To enhance the predictive performance of the function, we delve into the extraction of deep feature representations from the historical data X, mapping the raw m-dimensional signals into a d-dimensional latent space at each time stamp. We have developed a nonlinear embedding function that incorporates Empirical Mode Decomposition and Independent Component Analysis, designed to capture the intricate patterns within the historical data and to augment the predictive model by integrating advanced feature representations H. This integration refines the predictive accuracy for future time steps. Specifically, the final step feature representation from the historical data is employed as an enriched input to the predictive model, enabling it to make more precise predictions based on a comprehensive understanding of the context. This approach not only refines the feature extraction process but also enhances the overall performance of the predictive framework through the utilization of sophisticated feature representations.
2.2. EID Feature Representation
The combination of Empirical Mode Decomposition (EMD) and Independent Component Analysis (ICA) provides a sophisticated analytical framework for examining time series data. Initially, EMD preprocesses the time series by decomposing it into Intrinsic Mode Functions (IMFs), each capturing a unique oscillatory mode. Following this, ICA is applied to the IMFs to dissect and identify the underlying independent components, which are crucial for uncovering the intricacies of the data. This integrated approach is particularly beneficial for time series analysis involving complex environmental and climatic variables, offering a nuanced perspective that may be missed by traditional methods. The synergistic application of EMD and ICA allows for a detailed exploration of data, elucidating both oscillatory patterns and the independent factors that contribute to observed trends.
In this study, we have integrated data processing techniques from the DLinear framework, decomposing the data into trend and residual components. This approach leverages two robust analytical perspectives: the Error Independence (EI) analysis and the Trend-Seasonality-Residual (TSR) analysis. As illustrated in Figure 1 and Figure 2, this multi-view methodology serves as a powerful tool for comprehensive and multidimensional analysis of time series data, particularly in scenarios where complex environmental and climatic factors play a significant role and traditional techniques fail to capture intricate dynamics. Not only does this method enhance the accuracy of predictions, but it also facilitates a deeper understanding of the data, which is crucial for both scientific research and practical applications.
Figure 1.
Schematic of the TSR-EI model, illustrating our multi-perspective approach to time series forecasting.
Figure 2.
Multi-perspective time series forecasting model, integrating trend, seasonality, residual analysis, and EMD-ICA encoders.
2.3. DLinear
Zeng et al. [36] presented a novel and precision-enhanced time series forecasting framework, DLinear, in 2022 [36]. Despite its minimalistic architecture, which is constituted by a decomposition module and a duo of linear networks, DLinear has outperformed the more complex transformer models in predictive accuracy. Within the forecasting paradigm of DLinear, the initial step involves the disassembly of the input sequence X into a pair of constituents: the trend component and the residual component , with the relationship . Subsequently, distinct single-layer linear networks are deployed to forecast these decomposed components in an isolated manner. The foundational configuration of DLinear is delineated in Figure 3a. Subsequently, the model integrates the predictions from these two linear networks to produce the ultimate forecast, represented as [36].
Figure 3.
Schematic of the DLinear architecture. (a) Architectural layout of the DLinear framework; (b) design of linear single-layer networks.
2.4. EMD Algorithm
Empirical Mode Decomposition (EMD) represents a sophisticated signal processing method, ideally tailored for the analysis of time series data that exhibit non-linear and non-stationary behaviors. This technique enables the disassembly of intricate time series into a set of Intrinsic Mode Functions (IMFs), which encapsulate the signal’s intrinsic characteristics across a spectrum of local time scales. Post-decomposition, the original signal is reconstructed as a sum of these IMFs, often resulting in a more refined and smoother representation of the underlying trend. The decomposition process is illustrated in Figure 4. The core steps of the EMD process can be succinctly described as follows:
Figure 4.
EMD decomposition data diagram.
- (1)
- In signal processing, the original time series is denoted as . The first step is to identify the local extrema of , which include both the local maxima and minima. We then use cubic spline interpolation to construct the upper and lower envelopes, denoted as and , respectively, to capture the signal’s variations. The arithmetic mean of these envelopes, , is calculated to provide an initial estimate of the intrinsic mode functions within the signal. This mean envelope, , is crucial for initiating the Empirical Mode Decomposition (EMD) process, which aims to decompose the non-linear and non-stationary time series into its constituent intrinsic mode functions. In the context of signal processing, represents the upper envelope of the original time series, denotes the lower envelope, and signifies the mean envelope.
- (2)
- The original signal is processed by subtracting the mean envelope, yielding a new signal that is devoid of the low-frequency components. .
- (3)
- First, we need to clarify the following. Upper envelope: constructed by connecting the local maxima of the time series, it represents the upper boundary of the signal. Lower envelope: constructed by connecting the local minima of the time series, it represents the lower boundary of the signal. The initial residue, often referred to as , frequently exhibits non-smooth characteristics, which do not satisfy the criteria for an Intrinsic Mode Function (IMF). An IMF is defined by the condition that the count of extrema and zero-crossings must differ by no more than one across the entire signal, and the mean value of the upper and lower envelopes at any given moment must be zero. The upper envelope and the lower envelope are constructed using cubic spline interpolation to capture the signal’s variations. The arithmetic mean of these envelopes, , is calculated to provide an initial estimate of the intrinsic mode functions within the signal. This mean envelope, , is crucial for initiating the Empirical Mode Decomposition (EMD) process, which aims to decompose the non-linear and non-stationary time series into its constituent intrinsic mode functions. This process is iteratively repeated until the k-th iteration results in an that meets these specifications. Consequently, the first IMF, denoted as , is extracted from the original signal, encapsulating its predominant oscillatory component.
- (4)
- The original signal is detracted by the first intrinsic mode function , resulting in a new signal from which the high-frequency component has been eliminated: .
- (5)
- The procedure for extracting subsequent Intrinsic Mode Functions (IMFs) entails reiterating the initial extraction process, which was employed to derive the first IMF , on the residual . This recursive application successively yields the second IMF , followed by subsequent IMFs. The process continues iteratively until the n-th order IMF or the residual either satisfies a preset termination condition or the residual becomes a monotonic function or a constant. Upon reaching this stage, the Empirical Mode Decomposition (EMD) is considered complete, and the signal is fully decomposed into the sum of its IMFs and the final residual, expressed as , where represents the underlying trend or the average behavior of the signal.
2.5. ICA Algorithm
Independent components (denoted as, ) directly recover from the observed time series data (X). These independent factors represent fine-grained, high-frequency variations that are typically not captured by broader trends or seasonal patterns [37]. ICA decomposes the time series into statistically independent components [38], uncovering potential latent variables that generate the observed data.
From the perspective of Independent Component Analysis (ICA), we propose that the independent components extracted provide a more granular and refined comprehension of the underlying data dynamics as opposed to the more general insights obtained through the traditional time series approach. In this investigation, we delve into the utilization of nonlinear Independent Component Analysis (nICA) to decompose high-dimensional datasets and isolate the underlying, independent components. The conventional linear ICA methods frequently encounter challenges when dealing with datasets that exhibit intricate, nonlinear relationships, highlighting the necessity for employing nonlinear transformations to achieve efficient separation of the constituent sources. Within our analytical framework, we assume that the time series data conform to the overarching nonlinear mixing model as delineated in reference [38]. In this context, it signifies the m-th observed variable out of a total of n variables, and can be articulated as:
In this context, the variable m serves as an index for the observed variables, while represents the source signals and denotes the coefficients of the mixing matrix. The source signals , for j = 1, 2, …, n, are initially subjected to a linear combination, which is then followed by a nonlinear transformation via the function to yield the observed variables .
2.6. Overall Architecture of the EMD-ICA-DLinear Model
In this section, we present the EMD-ICA-DLinear model, which is designed to enhance the diversity and robustness of feature representation in time series analysis. The architecture is illustrated in Figure 5.
Figure 5.
Architectural overview of the EMD-ICA-DLinear Decomposition Model.
In our model, we smooth out cyclical fluctuations by adjusting moving averages to highlight long-term trends. For an input sequence of length L, where , we initially apply the EMD-ICA method to decompose multivariate time series data into residual components and independent components . Subsequently, the DLinear model further decomposes these components into trend parts and residual parts . The decomposition process is as follows:
Based on the EMD-ICA principle diagram shown in Figure 1, and the overall process of feature representation learning using EMD-ICA presented in Figure 2, we define H as an integration of seasonal, trend, residual, remainder parts, and independent components. The comprehensive feature representation can be expressed by the following formula:
Here, the semicolon ; denotes the concatenation operation of feature vectors. After obtaining the feature representation H, it effectively captures the nonlinear relationships in the raw data. Subsequently, this feature representation is directly used in the DLinear model for predicting the processed data. The DLinear model combines these features through only two single-layer linear networks; this linear combination strategy effectively captures the complex dynamics in time series, including long-term trends and short-term fluctuations. To enhance the model’s generalization capability and prevent overfitting, we introduce an L2 regularization term in the DLinear model. L2 regularization reduces model complexity by penalizing large weight values, thus avoiding overfitting.
By integrating the EMD-ICA and DLinear models, our approach is capable of comprehensively understanding and predicting time series data, particularly excelling in handling data with complex dynamics and nonlinear characteristics. This method not only enhances the accuracy of forecasts but also strengthens the model’s comprehension of the intrinsic structure of the data, thereby providing a novel perspective and tool for the analysis of time series orbital data.
3. Design of the Experiment
3.1. Data Source
In our study, we utilized the satellite orbit data from the Fengyun Satellite Remote Sensing Data Service Network, which can be accessed at the Fengyun Satellite Remote Sensing Data Service Network. This data source provides comprehensive orbit information for the Fengyun-3C satellite, enabling us to conduct detailed analyses of its trajectory and dynamics. The orbit data are derived from a combination of multi-sensor measurements, including laser ranging, GPS-based positioning, and ground tracking stations. These techniques collectively ensure high-precision orbit determination with an expected accuracy of ±10 m for the satellite’s position. This level of precision is critical for our analysis, as it allows us to use the provided data as a reliable benchmark for evaluating the accuracy of our orbit prediction models.
To enhance our simulation, we integrated geomagnetic data from the German Research Center for Geosciences, including the HPO and AP indices. These indices were instrumental in evaluating the space environment’s influence on satellite operations and enabled us to predict orbital behavior under fluctuating geomagnetic conditions with greater accuracy. By combining these data sources, we were able to develop a more robust model for understanding and predicting the satellite’s behavior in its operational environment.
3.2. Evaluation Metrics
In this research, we utilize four metrics to assess the performance of our model by quantifying the errors between the predicted and actual values: MSE, RMSE, MAE, and MAPE. MSE corresponds to the expectation of squared (quadratic) error. MAE corresponds to the expectation of the absolute error. RMSE corresponds to the square root of the expectation of squared (quadratic) error. MAPE corresponds to the expectation of absolute percentage error. The formulas are as follows:
In the above four evaluation indicators, refers to the actual value and refers to the predicted value of the model. The smaller the value of the two evaluation indicators, the better the prediction effect.
3.3. Experimental Configuration
Initially, it is essential to clarify the division of the dataset, which is segmented into three distinct subsets: the training set comprises the first 60% of the data, consisting of 8539 samples; the validation set includes the subsequent 20%, totaling 2875 samples; and the test set encompasses the final 20%, also comprising 2875 samples. The dataset contains satellite orbital position data, including parameters such as satellite altitude and orbital inclination. These orbital parameters are crucial for accurately predicting satellite trajectories and dynamics. To ensure the consistency and comparability of our experiments, all procedures were conducted under identical conditions, as detailed in Table 1. Additionally, to guarantee the authenticity and validity of our experimental outcomes, we constructed a dataset designed to simulate the challenges of long-term forecasting in an environment closely resembling real space conditions.
Table 1.
Environmental configuration.
In our comparative analysis, our model is evaluated alongside DLinear, TimesNet, LightTS, and various Transformer-based architectures. The configuration of our model is as follows: Sequence Length: The input data are divided into sequences, each comprising 96 time steps. This means that the model processes 96 consecutive data points at a time to capture temporal dependencies. Label Length: For each input sequence, the model is trained to predict the subsequent 48 time steps. These 48 time steps are referred to as the “label” or target sequence, representing the future values that the model aims to forecast. Loss Function: The Mean Squared Error (MSE) is used as the loss function. MSE measures the average squared difference between the predicted values and the actual values, providing a quantitative measure of prediction accuracy. Optimizer: The Adam optimizer is employed to facilitate the training process. Adam is a widely used optimization algorithm that adapts the learning rate for each parameter based on the magnitude of the gradient, which helps in efficient convergence. Training Regimen: The training process uses a batch size of 32, meaning that the model updates its parameters after processing 32 samples at a time. The training is conducted over 7 epochs, where each epoch represents a full pass through the entire training dataset. Additionally, a dropout rate of 0.2 is applied to randomly drop 20% of the neurons during training, which helps prevent overfitting by reducing the model’s reliance on any single neuron. Early Stopping Criterion: To avoid unnecessary training iterations and further mitigate overfitting, an early stopping criterion is implemented. Training is halted if there is no improvement in performance over three consecutive epochs. Model Architecture: The model incorporates 8 attention heads, which is indicative of a multi-headed attention mechanism. This mechanism allows the model to focus on different parts of the input sequence simultaneously, capturing various patterns and dependencies within the data. The model dimension is set to 16, which likely denotes the number of features or the dimensionality of the model’s internal processing capabilities. Attention Factor: The attention factor is meticulously set to 5. This parameter is used to fine-tune the model’s focus on relevant input aspects. Specifically, it controls the degree to which the model attends to different parts of the input sequence. A higher attention factor allows the model to concentrate more on specific features, potentially improving its ability to capture subtle patterns in the data. However, setting this factor requires careful consideration to balance between capturing sufficient detail and avoiding overfitting to noise in the data.
3.4. Analysis of EMD and ICA
3.4.1. Decomposition Results
In this study, we employed the PyEMD package to implement Empirical Mode Decomposition (EMD). EMD was applied to Fengyun-3C satellite datasets. The decomposition results are presented in Figure 6, respectively. The Fengyun-3C satellite datasets were decomposed into 10 intrinsic mode functions (IMFs). It can be observed that the datasets became smoother post-EMD decomposition, indicating the effective extraction of oscillatory modes and the isolation of the underlying trends within the data.
Figure 6.
EMD decomposition subsequence plot of the Fengyun-3C satellite.
3.4.2. Employing Independent Component Analysis (ICA) to Decompose and Analyze the Residuals for Independent Component Extraction
In our Python illustrative module, we employ Independent Component Analysis (ICA) on the Intrinsic Mode Functions (IMFs) derived from Empirical Mode Decomposition (EMD). This approach is designed to thoroughly investigate the intrinsic structure and dynamic characteristics of the data. The EMD pre-processing step ensures that the data meet the independence assumption of ICA, thereby establishing a robust foundation for subsequent in-depth analysis. Building upon this solid foundation, we integrate the FastICA algorithm variant. This enables us to efficiently extract independent source signals from the mixed observational data, significantly enhancing our capability to handle complex nonlinear mixture models. Furthermore, by incorporating sparsity regularization, we align the latent space more closely with the linearly mixed signals.
Figure 7 vividly illustrates the independent components obtained through the application of ICA analysis to the residuals of the Fengyun-3C satellite datasets. This clearly highlights the remarkable effectiveness of our proposed method in uncovering the underlying components of the data. These independent components not only reveal the latent and previously unobserved structures within the data but also provide a wealth of valuable information for further data analysis and feature engineering. In this manner, we can accurately identify and separate noise and outliers present in the data, while also extracting features that are highly beneficial for prediction and pattern recognition tasks. This approach substantially deepens the model’s understanding of the data’s intrinsic structure, offering a novel perspective and a powerful set of tools for the fields of time-series analysis and complex signal processing.
Figure 7.
Independent Component Analysis (ICA) of the Fengyun-3C satellite.
3.5. Comparative Experiments
3.5.1. Ablation Experiment
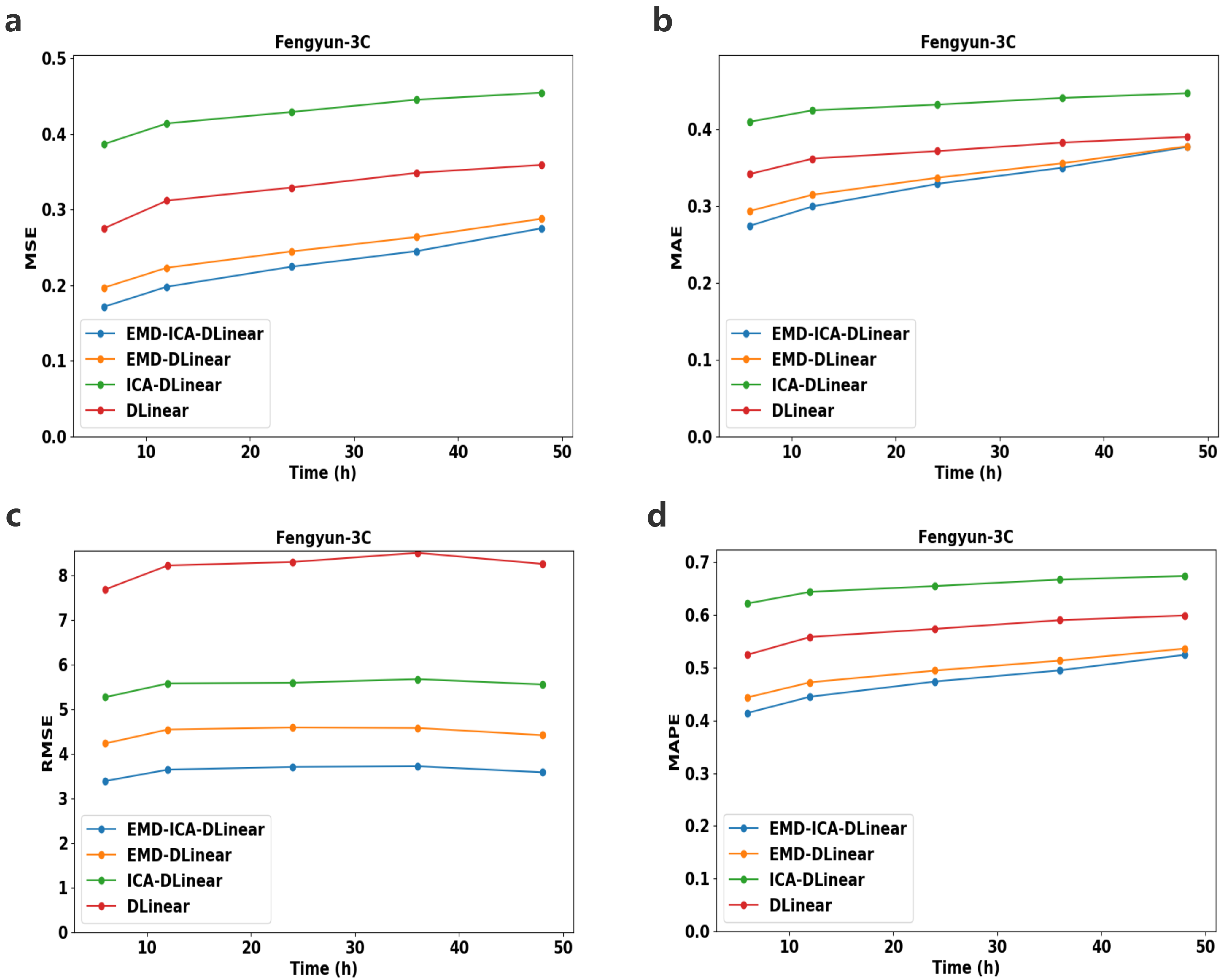
We performed predictive analyses on the standardized Fengyun-3C satellite dataset using a variety of models, including EMD-DLinear, ICA-DLinear, DLinear, and our proposed EMD-ICA-DLinear model, to forecast the satellite’s future positions at 6, 12, 24, and 48 h in advance. To evaluate the performance of these models, we utilized four metrics: Mean Squared Error (MSE), Mean Absolute Error (MAE), Root Mean Squared Error (RMSE), and Mean Absolute Percentage Error (MAPE). The detailed results of these experiments are summarized in Table 2. Additionally, Figure 8 and Figure 9 provide a visual comparison of the 6 h forecast errors and corresponding metrics for each model, offering a clear illustration of their predictive accuracies.
Table 2.
The Impact of Various Components on the Forecasting Model at Different Time Steps.
Figure 8.
Error analysis of 6 h forecasts for the Fengyun-3C satellite dataset.
Figure 9.
Comparative plots of the results obtained for EMD-ICA-DLinear (blue), EMD-ICA (orange), ICA-DLinear (green), DLinear (red) models for predicting 6 h, 12 h, 24 h, 36 h, and 48 h results at Fengyun-3C satellite dataset. (a) MSE; (b) MAE; (c) RMSE; (d) MAPE.
As depicted in Table 2 and Figure 9, our model achieved the lowest values for both MSE, MAE and MAPE across the 6–48 h forecasting period. The error plot presented in Figure 8 effectively demonstrates the overall trend between our predicted values and the actual values. Compared to the original DLinear model, the method utilizing Empirical Mode Decomposition (EMD) alone showed a slight improvement. However, when employing the EMD-VICA-DLinear model, the predictive accuracy was further enhanced, particularly at the 6 h forecast, likely due to the progressive nature of time series prediction. Additionally, an examination of Figure 8 reveals that the solitary utilization of Independent Component Analysis (ICA) is associated with an increase in both the Mean Squared Error (MSE) and Mean Absolute Error (MAE) of the model. This could be attributed to the non-Gaussian characteristics not being prominent in the original dataset, which does not align with the independence assumptions of ICA, thereby hindering its effectiveness in signal separation. ICA, which primarily emphasizes signal independence, may fail to adequately capture the trends and seasonal information present in time series data, thereby limiting its performance in this task. Therefore, combining EMD’s noise reduction and component extraction capabilities with ICA’s independent component analysis, followed by prediction through the DLinear model, can more effectively reduce forecasting errors and enhance the model’s predictive accuracy.
3.5.2. Multi-Step Forecasting Results Across Various Models
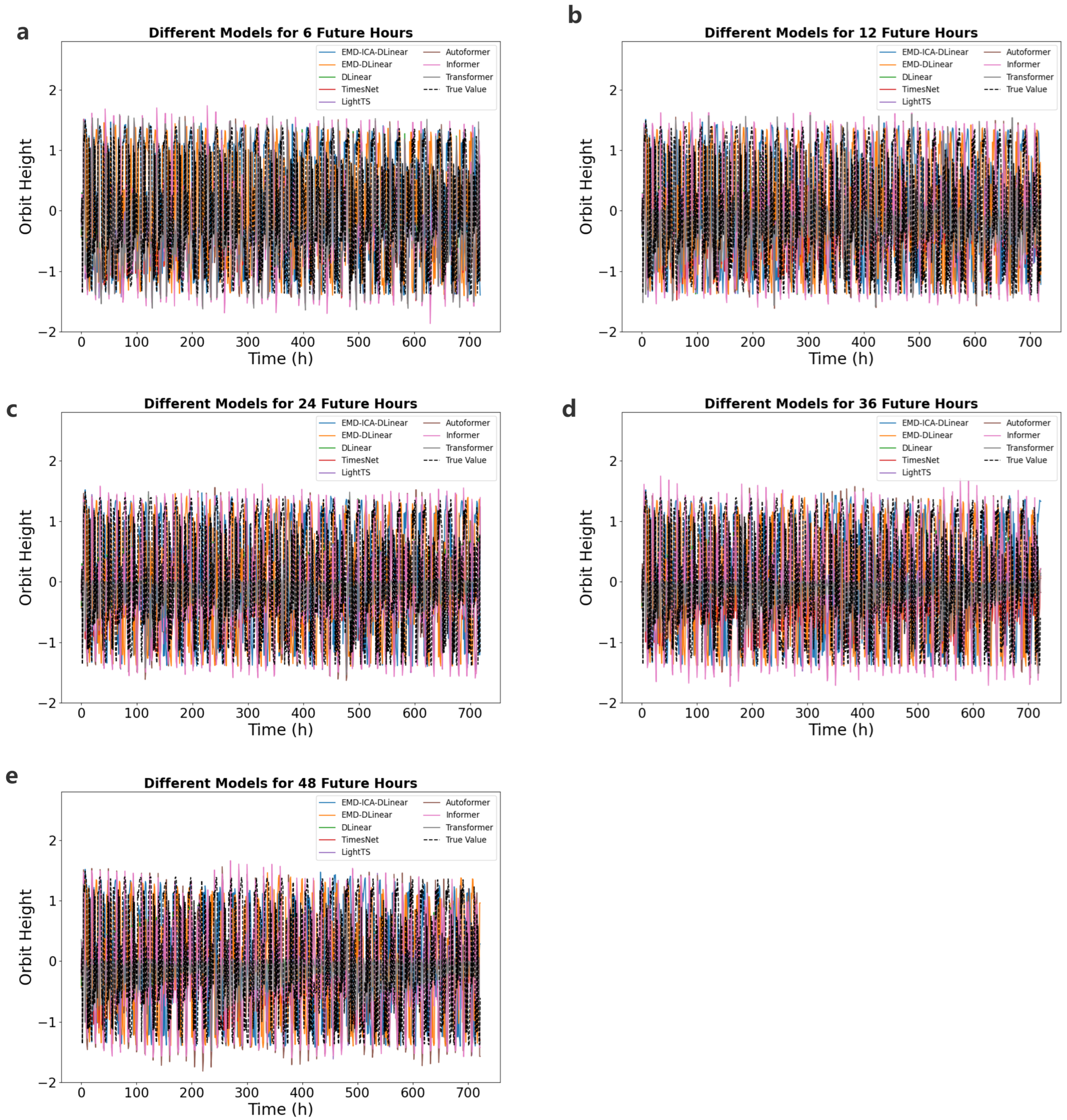
Our model was benchmarked against state-of-the-art forecasting models, including advanced variants of the Transformer, TimesNet (2023), and LightTS (2022). Table 3 documents the error statistics for each model on the Fengyun-3C satellite datasets. Table 4 presents the average runtime of the models across datasets. Figure 10 presents a comparative analysis of MSE and MAE for forecast horizons ranging from 6 to 48 h across these datasets. Additionally, Figure 11 illustrates the error profiles for the 48 h forecast horizon. Specifically, we focus on the Z-component of the satellite’s position, which corresponds to the cross-track direction, defined as the direction perpendicular to the orbital plane. In Figure 12, we compare the predicted and actual positions of the satellite in the cross-track direction (Z-component) for each model.
Table 3.
Error measures of multi-step predictions of Fengyun-3C satellite dataset by different models.
Table 4.
Average time required for multiple predictions across datasets.
Figure 10.
Comparative plots of the results obtained for EMD-ICA-DLinear (blue), EMD-ICA (orange), DLinear (green), TimesNet (red), LightTS (purple), Autoformer (brown), Informer (pink), Transformer (gray) models for predicting 6 h, 12 h, 24 h, 36 h, and 48 h results at Fengyun-3C satellite dataset. (a) MSE; (b) MAE.
Figure 11.
Error plot for 48-h forecasts by various models on the Fengyun-3C satellite dataset.
Figure 12.
Predictions of satellite’s position perpendicular to the orbital plane of Fengyun-3C satellite by different models for several future hours (a) 6 h, (b) 12 h, (c) 24 h, (d) 36 h and (e) 48 h.
4. Discussion
In Table 3, it is observable that when the number of forecast steps is low, all models demonstrate commendable performance, with the DLinear model exhibiting superior predictive accuracy compared to its counterparts. Furthermore, as the number of steps increases, the disparity in performance becomes more pronounced. Specifically, for the Fengyun-3C satellite dataset, at a forecast horizon of 48 h, the MSE for the Autoformer, Informer, and Transformer models are 0.3507, 0.3401, and 0.9649, respectively, whereas the DLinear model records an MSE of 0.2903. The rationale behind this phenomenon can be attributed to the autoregressive nature of the Transformer model, which relies on the output of the previous step for each subsequent prediction. This process can introduce cumulative errors that amplify with an increasing number of steps. In contrast, the DLinear model adopts a direct approach to forecasting future values, thereby achieving independence between prediction steps and effectively mitigating the potential for error accumulation that arises from dependency on prior outputs. Additionally, the DLinear model enhances the precision of its forecasts through the implementation of data preprocessing techniques such as trend removal and seasonal adjustment. These methods serve to reduce the influence of noise and non-linear trends within the data. Collectively, these strategies endow the DLinear model with a higher degree of accuracy and reliability in the context of time series forecasting tasks. Zeng et al. [36] conducted a study on the prediction of time series data and found that the DLinear model outperformed the Transformer model in terms of predictive accuracy, which is consistent with the findings of the present study. Recognizing the advantages of the DLinear model, this research has opted to utilize the DLinear model for further investigation.
Upon examination of Table 3, it is evident that the predictive accuracy is substantially enhanced when the original orbital data are decomposed using the Empirical Mode Decomposition (EMD) method. The EMD-DLinear model demonstrates a significant improvement in forecasting performance across various datasets compared to the DLinear model. Specifically, within the Fengyun-3C satellite dataset, the EMD-DLinear model experiences a decline of 23.53%, 11.61%, and 12.56% in the MSE, MAE, and MAPE metrics. The application of EMD technology effectively mitigates the non-stationarity of the raw signals, thereby enhancing the precision of predictions. This allows the EMD-DLinear model to more efficiently process and forecast challenging time series data. The EMD-DLinear model’s approach to handling data, which includes the removal of trends and adjustment for seasonality, further diminishes the impact of noise and non-linear trends within the data. Consequently, this model exhibits superior accuracy and reliability in the domain of time series forecasting.
Further, we subjected the Intrinsic Mode Functions (IMFs) obtained from the decomposition to Independent Component Analysis (ICA). To focus on more pronounced data trends, we opted to exclude these overly smooth components from our analysis. By employing this approach, we retained the components with stronger trends, which are considered to be more representative of the underlying patterns in the space dataset. The EMD-ICA-DLinear model demonstrated significant advantages in predictive performance across multiple datasets compared to the DLinear model and other benchmark models. In the 6 h forecast for the Fengyun 3C satellite dataset, MSE, MAE, and MAPE were decreased by 37.73%, 19.52%, and 21.07%, respectively. In contrast, the EMD-ICA-DLinear model achieved the lowest MSE and MAE across all forecast periods in the datasets, significantly outperforming all aforementioned models. Particularly, in the 6-step forecast for the space dataset and Fengyun 3C satellite dataset, compared to the TimesNet model, MSE and MAE were reduced by 48.27%, 26.91%, and 37.87%, 19.85%, respectively. A comprehensive analysis indicates that the EMD-ICA-DLinear model has a distinct advantage in terms of predictive accuracy, especially in multi-step forecasting scenarios, where it significantly enhances the precision of the forecast outcomes.
To visually distinguish between predicted and actual values more intuitively, we have applied appropriate scaling to the original actual values. Figure 12 illustrates the performance of various models in orbit prediction. When the number of prediction steps is small, all models can fairly capture the overall characteristics of the orbital position and accurately forecast the peaks and troughs with minimal phase shift. However, as the prediction period extends, models such as Informer, Autoformer, TimesNet, and LightTS exhibit noticeable phase shifts in the forecasting of peaks and troughs due to the impact of non-stationarity. In contrast, the EMD-ICA-DLinear model provides more precise predictions, significantly reducing the phase shift phenomenon. Among all models, the EMD-ICA-DLinear model stands out for its exceptional performance, and the stability of its predictive curve further attests to the model’s superior ability to handle non-stationary data. The error plots also indicate that the predictive accuracy of the EMD-ICA-DLinear model is likely leading among its peers.
Figure 10 depicts a comparison of the MSE and MAE between the EMD-ICA-DLinear model and other models across various forecast durations. The results indicate that within the 6–48 h prediction range, the EMD-ICA-DLinear model consistently maintained the lowest MSE and MAE values. Moreover, as the prediction horizon increased, the EMD-ICA-DLinear model exhibited the slowest rate of increase in both MSE and MAE. Notably, at a forecast step of 12 h, the EMD-ICA-DLinear model demonstrated significantly lower MSE and MAE compared to other models, showcasing its exceptional accuracy. Figure 11 presents error plots for the four datasets under 48 h forecast durations across various models. These plots reveal that the EMD-ICA-DLinear model consistently exhibits lower predictive errors and higher trend consistency across all datasets, demonstrating the model’s exceptional generalization capabilities. This capability implies that the EMD-ICA-DLinear model not only performs admirably on a single dataset but also provides reliable forecasts under diverse orbital dynamic conditions. Consequently, it can be inferred that the application of the EMD-ICA-DLinear model in orbit prediction is highly effective and robust, indicating its practical utility and potential for broad application. Additionally, Table 2 illustrates that alongside the enhancement in accuracy, our model maintains a high level of operational efficiency. When compared to the precision-oriented TimesNet and LightTS models, significant time savings were achieved in the average computational time for the four datasets at a 48 h forecast horizon, with reductions of 96.82% and 43.51%, respectively.
5. Conclusions
In space technology, satellite orbit prediction techniques are essential for achieving precise navigation and ensuring the safe operation of spacecraft. However, the inherent complexity of orbital dynamics poses a persistent challenge to achieving accurate satellite orbit prediction. To improve the accuracy of orbit position forecasting, this study introduces a hybrid model called EMD-ICA-DLinear. The performance of Transformer, Informer, Autoformer, TimesNet, LightTS, DLinear, EMD-DLinear, and EMD-ICA-DLinear models was evaluated on widely recognized benchmark datasets, including the Fengyun 3C satellite orbit dataset. The findings of this study are summarized as follows:
Our proposed EMD-ICA-DLinear model demonstrates significant improvements in predicting the orbital position of the Fengyun-3C satellite compared to the TimesNet model. Specifically, the Mean Squared Error (MSE) is reduced by 37.87%, and the Mean Absolute Error (MAE) is reduced by 19.85%.In the 6 h prediction, our model achieves an MSE of 0.1101 and an MAE of 0.1567. For long-term predictions (48 h), the MSE and MAE are 0.1716 and 0.1945, respectively. These results highlight the stability and accuracy of our model across different time scales.
The Transformer, Informer, and Autoformer models demonstrated strong performance in short-term forecasts; however, their accuracy declined rapidly as the forecast horizon extended.
The TimesNet, LightTS, and DLinear models generally surpassed the aforementioned models in forecasting accuracy, with their superiority becoming increasingly pronounced in long-term predictions. The DLinear model maintained high forecasting accuracy while also exhibiting superior operational efficiency.
Empirical Mode Decomposition (EMD) was employed to reduce the non-stationarity of raw orbital position data, thereby enhancing predictive accuracy. The integration of EMD with the DLinear model significantly improved predictive precision compared to the standalone DLinear model. Additionally, applying Independent Component Analysis (ICA) to the Intrinsic Mode Functions (IMFs) derived from EMD enabled a deeper exploration of the signals’ intrinsic structure and characteristics, further enhancing the accuracy of orbital position predictions.
In this study, the EMD-ICA-DLinear model exhibited superior forecasting performance, achieving the lowest Mean Squared Error (MSE) and Mean Absolute Error (MAE) metrics across all compared models within the 6 to 48 h forecast horizon. The model effectively captured trends and extreme variations in satellite orbits, even over extended forecast horizons.
Despite these achievements, this study is subject to certain limitations. First, due to cost constraints, in-situ space data measurements were not feasible, leading to a reliance on simulated data. Future research will aim to further validate the model’s predictive performance using real-world space data.
Author Contributions
Conceptualization, Y.G.; investigation, Y.G.; resources, Y.G.; data curation, Y.G.; methodology, B.W.; software, B.W.; validation, Y.G. and Z.Z.; formal analysis, Z.Z.; writing—original draft preparation, B.W.; writing—review and editing, B.W.; visualization, Z.Z.; supervision, B.W.; project administration, Y.G.; funding acquisition, Y.G.; investigation, Z.Z.; resources, Z.Z.; data curation, Z.Z. All authors have read and agreed to the published version of the manuscript.
Funding
This research was funded by the Open Fund Project of Key Laboratory of Intelligent Space TTC & O (Space Engineering University), Ministry of Education, No. CYK2024-02-06 and Shandong Key Laboratory of Space Debris Monitoring and Low-orbit Satellite Networking, No. CK-2024-0050.
Institutional Review Board Statement
Not applicable.
Informed Consent Statement
Not applicable.
Data Availability Statement
For this study, the satellite orbit data were obtained from the Fengyun Satellite Remote Sensing Data Service Network, which can be accessed at https://satellite.nsmc.org.cn/DataPortal/cn/home/index.html (accessed on 15 March 2022). The geomagnetic indices were provided by the German Research Centre for Geosciences (GFZ), and more information can be found on their website at https://www.gfz-potsdam.de/ (accessed on 15 March 2022). All experimental procedures can be accessed remotely via desktop connection at IP address 192.168.12.2.2. Please note that the IP address provided is for internal use and may not be accessible from external networks. For more information on data access or for questions regarding data availability, please contact the corresponding author.
Acknowledgments
We would like to extend our sincere gratitude to the Fengyun Satellite Remote Sensing Data Service Network for providing us with accurate satellite orbit data, which has been essential for our study’s analysis of satellite dynamics. The data provided by this service have been crucial for our in-depth investigation and understanding of satellite behavior. Additionally, we express our special thanks to the German Research Centre for Geosciences (GFZ) for supplying us with key indices such as the geomagnetic indices. These indices have been invaluable for our analysis of the Earth’s magnetic field variations and their potential impacts on satellite orbits. Our appreciation is particularly extended to the GFZ Data Services for not only providing a wealth of geomagnetic data but also for their user-friendly platform that has facilitated efficient data acquisition and processing. We would also like to acknowledge the scientific staff at GFZ, whose expertise and profound understanding of geophysical phenomena have offered us guidance and advice of great value.
Conflicts of Interest
The authors declare no conflicts of interest.
References
- Reid, T.G.R.; Neish, A.M.; Walter, T.; Enge, P.K. Broadband LEO Constellations for Navigation. Navig. J. Inst. Navig. 2018, 65, 205–220. [Google Scholar] [CrossRef]
- Wang, K.; El-Mowafy, A.; Wang, W.; Yang, L.; Yang, X. Integrity monitoring of PPP-RTK positioning. Part II: LEO augmentation. Remote Sens. 2022, 14, 1599. [Google Scholar] [CrossRef]
- Wang, K.; Sun, B.; Qin, W.; Mi, X.; El-Mowafy, A.; Yang, X. A method of real-time long-baseline time transfer based on the PPP-RTK. Adv. Space Res. 2022, 71, 1363–1376. [Google Scholar] [CrossRef]
- Montenbruck, O.; Gill, E. Around the world in a hundred minutes. In Satellite Orbits, 1st ed.; Springer: Berlin/Heidelberg, Germany, 2000; pp. 1–13. [Google Scholar] [CrossRef]
- Zhang, Y.; Li, Z.; Wang, Z.; Li, R.; Yuan, H. The improvement of BDS Observation Geometry with LEO constellations in Orbit Determination. Measurement 2021, 177, 109228. [Google Scholar] [CrossRef]
- GPS World Staff. PNT Roundup: Iridium Constellation Provides Low-Earth Orbit Satnav Service. GPS World. 12 January 2017. Available online: https://www.gpsworld.com/iridium-constellation-provides-low-earth-orbit-satnav-service/ (accessed on 12 February 2023).
- Ge, H.; Li, B.; Ge, M.; Zang, N.; Nie, L.; Shen, Y.; Schuh, H. Initial assessment of precise point positioning with LEO enhanced global navigation satellite systems (LeGNSS). Remote Sens. 2018, 10, 984. [Google Scholar] [CrossRef]
- Li, X.; Ma, F.; Li, X.; Lv, H.; Bian, L.; Jiang, Z.; Zhang, X. LEO constellation-augmented multi-GNSS for rapid PPP convergence. J. Geod. 2018, 93, 749–764. [Google Scholar] [CrossRef]
- Reid, T.; Banville, S.; Chan, B.; Gunning, K.; Manning, B.; Marathe, T.; Neish, A.; Perkins, A.; Sibois, A. PULSAR: A New Generation of Commercial Satellite Navigation. In ION GNSS+2022; The Institute of Navigation: Denver, CO, USA, 2023; pp. 11–15. [Google Scholar]
- Yang, L. The Centispace-1: A LEO Satellite-Based Augmentation System; UNOOSA: Bengaluru, India, 2019. [Google Scholar]
- Xinhua. China Launches New Test Satellites via Kuaizhou 1A Carrier Rocket. China Daily. 2022. Available online: https://www.chinadaily.com.cn/a/202209/06/WS6316b9eca310fd2b29e76371.html (accessed on 28 January 2023).
- Allen, B. SpaceX Launches Starlink Satellites. 2024. Available online: https://earthsky.org/spaceflight/spacex-starlink-launches-june-2024/ (accessed on 13 July 2024).
- Morales, J.J.; Khalife, J.; Cruz, U.S.; Kassas, Z.M. Orbit modeling for simultaneous tracking and navigation using LEO satellite signals. In Proceedings of the ION GNSS+ 2019, Institute of Navigation, Missouri, FL, USA, 16–20 September 2019; pp. 2090–2099. [Google Scholar] [CrossRef]
- Liu, X.; Yuan, B.; Meng, Z. Microsat autonomous orbit propagation method based on SGP4 model and GPS data. In Proceedings of the 2018 IEEE CSAA Guidance, Navigation and Control Conference, Xiamen, China, 10–12 August 2018; pp. 1–6. [Google Scholar] [CrossRef]
- Morlock, T.; Kassas, Z.M. Assessing machine learning for LEO satellite orbit determination in simultaneous tracking and navigation. In Proceedings of the 2021 IEEE Aerospace Conference (50100), Big Sky, MT, USA, 6–13 March 2021; pp. 1–8. [Google Scholar] [CrossRef]
- Kelecy, T.; Jah, M. Analysis of orbital prediction accuracy improvements using high fidelity physical solar radiation pressure models for high area-to-mass ratio objects. In Proceedings of the Fifth European Conference on Space Debris, Darmstadt, Germany, 30 March–2 April 2009; Volume 5. [Google Scholar]
- Puente, C.; Sáenz-Nuño, M.A.; Villa-Monte, A.; Olivas, J.A. Satellite Orbit Prediction Using Big Data and Soft Computing Techniques to Avoid Space Collisions. Mathematics 2021, 9, 2040. [Google Scholar] [CrossRef]
- Peng, H.; Bai, X. Gaussian Processes for improving orbit prediction accuracy. Acta Astronaut. 2019, 161, 44–456. [Google Scholar] [CrossRef]
- Proenca, P.F.; Gao, Y. Deep Learning for Spacecraft Pose Estimation from Photorealistic Rendering. In Proceedings of the 2020 IEEE International Conference on Robotics and Automation (ICRA), Paris, France, 31 May–31 August 2020; pp. 6007–6013. [Google Scholar] [CrossRef]
- Saxena, A.; Baraha, S.; Sahoo, A.K. Improved Orbit Prediction using Gradient Boost Regression Tree. In Proceedings of the 2023 International Conference on Microwave, Optical, and Communication Engineering (ICMOCE), Bhubaneswar, India, 26–28 May 2023; pp. 1–4. [Google Scholar] [CrossRef]
- Peng, H.; Bai, X. Improving orbit prediction accuracy through supervised machine learning. Adv. Space Res. 2018, 61, 2628–2646. [Google Scholar] [CrossRef]
- Peng, H.; Bai, X. Artificial Neural Network–Based Machine Learning Approach to Improve Orbit Prediction Accuracy. J. Spacecr. Rocket. 2018, 55, 1248–1260. [Google Scholar] [CrossRef]
- Peng, H.; Bai, X. Exploring Capability of Support Vector Machine for Improving Satellite Orbit Prediction Accuracy. J. Aerosp. Inf. Syst. 2018, 15, 366–381. [Google Scholar] [CrossRef]
- Qu, Z.; Wei, C. A PSO-LSTM-based Method for Spatial Target Orbit Phase Prediction. In Proceedings of the 2023 4th International Conference on Computer Vision, Image and Deep Learning (CVIDL), Zhuhai, China, 12–14 May 2023; pp. 358–362. [Google Scholar] [CrossRef]
- Kim, B.; Kim, J. Prediction of IGS RTS Orbit Correction Using LSTM Network at the Time of IOD Change. Sensors 2022, 22, 9421. [Google Scholar] [CrossRef] [PubMed]
- Cai, C.; Liu, M.; Li, P.; Li, Z.; Lv, K. Enhancing satellite clock bias prediction in BDS with LSTM-attention model. GPS Solut. 2024, 28, 92. [Google Scholar] [CrossRef]
- He, S.; Liu, J.; Zhu, X.; Dai, Z.; Li, D. Research on modeling and predicting of BDS-3 satellite clock bias using the LSTM neural network model. GPS Solut. 2023, 27, 108. [Google Scholar] [CrossRef]
- Shi, Z.; Zhao, F.Y.; Wang, X.; Jin, Z.H. Moving target trajectory prediction based on Dropout-LSTM and Bayesian inference for long-time multi-satellite observation. Int. J. Remote. Sens. 2021, 42, 8572–8596. [Google Scholar] [CrossRef]
- Zhang, Y.; Yu, J.J.; Chen, J.Y.; Sang, J.Z. An Empirical Atmospheric Density Calibration Model Based on Long Short-Term Memory Neural Network. Atmosphere 2021, 12, 925. [Google Scholar] [CrossRef]
- Vaswani, A.; Shazeer, N.; Parmar, N.; Uszkoreit, J.; Jones, L.; Gomez, A.N.; Kaiser, L.; Polosukhin, I. Attention is All you Need. In Proceedings of the 2017 Conference on Neural Information Processing Systems, Long Beach, CA, USA, 4–9 December 2017; Advances in Neural Information Processing Systems. Guyon, I., Luxburg, U.V., Bengio, S., Wallach, H., Fergus, R., Vishwanathan, S., Garnett, R., Eds.; Curran Associates, Inc.: Long Beach, CA, USA, 2017; Volume 30. [Google Scholar]
- Yi, H.J.; Zhang, S.C.; An, D.Z.; Liu, Z.Y. PatchesNet: PatchTST-based multi-scale network security situation prediction. Knowl.-Based Syst. 2024, 299, 112037. [Google Scholar] [CrossRef]
- Huang, X.H.; Chen, N.J.; Deng, Z.Y.; Huang, S.Q. Multivariate time series anomaly detection via dynamic graph attention network and Informer. Appl. Intell. 2024, 54, 7636–7658. [Google Scholar] [CrossRef]
- Wu, H.; Hu, T.; Liu, Y.; Zhou, H.; Wang, J.; Long, M. Time: Temporal 2D-Variation Modeling for General Time Series Analysis. arXiv 2022, arXiv:2210.02186. [Google Scholar]
- Campos, D.; Zhang, M.; Guo, C.; Jensen, C.S. LightTS: Lightweight Time Series Classification with Adaptive Ensemble Distillation—Extended Version. Atmosphere 2021, 12, 925. [Google Scholar] [CrossRef]
- Shi, Z.Y.; Chen, Y.Z.; Liu, J.C.; Liang, C.Q.; Liang, C. Physics-Informed Spatiotemporal Learning Framework for Urban Traffic State Estimation. J. Transp. Eng. Part -Syst. 2023, 149, 04023056. [Google Scholar] [CrossRef]
- Zeng, A.; Chen, M.; Zhang, L.; Xu, Q. Are Transformers Effective for Time Series Forecasting? arXiv 2022, arXiv:2205.13504. [Google Scholar] [CrossRef]
- Forootan, E.; Kusche, J.; Talpe, M.; Shum, C.K.; Schmidt, M. Developing a Complex Independent Component Analysis (CICA) Technique to Extract Non-stationary Patterns from Geophysical Time Series. Surv. Geophys. 2018, 39, 435–465. [Google Scholar] [CrossRef]
- Hyvärinen, A.; Oja, E. Independent Component Analysis: Algorithms and Applications. Neural Netw. 2000, 13, 411–430. [Google Scholar] [CrossRef]
Disclaimer/Publisher’s Note: The statements, opinions and data contained in all publications are solely those of the individual author(s) and contributor(s) and not of MDPI and/or the editor(s). MDPI and/or the editor(s) disclaim responsibility for any injury to people or property resulting from any ideas, methods, instructions or products referred to in the content. |
© 2025 by the authors. Licensee MDPI, Basel, Switzerland. This article is an open access article distributed under the terms and conditions of the Creative Commons Attribution (CC BY) license (https://creativecommons.org/licenses/by/4.0/).











