Numerical Study on the Influence of Suction near Expansion Corner on Separation Bubble
Abstract
1. Introduction
2. Flow Configuration and Numerical Detail
2.1. Model Configuration and Numerical Methods
2.2. Numerical Verification
3. Results and Discussion
3.1. Suction Upstream of the Shoulder Point
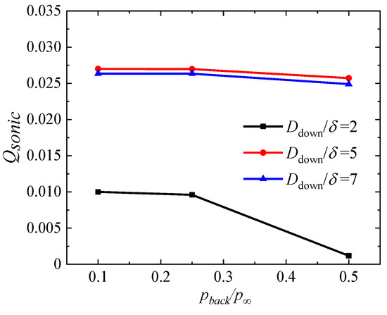
3.2. Suction Downstream of the Shoulder Point
4. Conclusions
Author Contributions
Funding
Data Availability Statement
Conflicts of Interest
References
- Délery, J.; Dussauge, J.P. Some physical aspects of shock wave/boundary layer interactions. Shock Waves 2009, 19, 453–468. [Google Scholar] [CrossRef]
- Lu, P.J.; Jain, L.T. Numerical Investigation of Inlet Buzz Flow. J. Propuls. Power 1988, 14, 90–100. [Google Scholar] [CrossRef]
- Trapier, S.; Duveau, P.; Deck, S. Experimental study of supersonic inlet buzz. AIAA J. 2006, 44, 2354–2365. [Google Scholar] [CrossRef]
- Soltani, M.R.; Younsi, J.S.; Farahani, M. Effects of boundary-layer bleed parameters on supersonic intake performance. J. Propuls. Power 2015, 31, 826–836. [Google Scholar] [CrossRef]
- Giepman, R.H.M.; Schrijer, F.F.J.; Van Oudheusden, B.W. A parametric study of laminar and transitional oblique shock wave reflections. J. Fluid Mech. 2018, 844, 187–215. [Google Scholar] [CrossRef]
- Grossman, I.J.; Bruce, P.J.K. Confinement effects on regular–irregular transition in shock-wave–boundary-layer interactions. J. Fluid Mech. 2018, 853, 171–204. [Google Scholar] [CrossRef]
- Xue, L.; Schrijer, F.F.; Van Oudheusden, B.W.; Wang, C.; Shi, Z.; Cheng, K. Theoretical study on regular reflection of shock wave–boundary layer interactions. J. Fluid Mech. 2020, 899, A30. [Google Scholar] [CrossRef]
- Morris, M.J.; Sajben, M.; Kroutil, J.C. Experimental investigation of normal-shock/turbulent-boundary-layer interactions with and without mass removal. AIAA J. 1992, 30, 359–366. [Google Scholar] [CrossRef]
- Matheis, J.; Hickel, S. On the transition between regular and irregular shock patterns of shock-wave/boundary-layer interactions. J. Fluid Mech. 2015, 776, 200–234. [Google Scholar] [CrossRef]
- Korkegi, R.H. Comparison of shock-induced two-and three-dimensional incipient turbulent seperation. AIAA J. 1975, 13, 534–535. [Google Scholar] [CrossRef]
- Souverein, L.J.; Bakker, P.G.; Dupont, P. A scaling analysis for turbulent shock-wave/boundary-layer interactions. J. Fluid Mech. 2013, 714, 505–535. [Google Scholar] [CrossRef]
- Thomas, F.O.; Putnam, C.M.; Chu, H.C. On the mechanism of unsteady shock oscillation in shock wave/turbulent boundary layer interactions. Exp. Fluids 1994, 18, 69–81. [Google Scholar] [CrossRef]
- Adler, M.C.; Gaitonde, D.V. Dynamic linear response of a shock/turbulent-boundary-layer interaction using constrained perturbations. J. Fluid Mech. 2018, 840, 291–341. [Google Scholar] [CrossRef]
- Manisankar, C.; Verma, S.B. Control of separation shock unsteadiness in an incident-shock-induced interaction. Shock Waves 2023, 33, 81–97. [Google Scholar] [CrossRef]
- Chapman, D.R.; Kuehn, D.M.; Larson, H.K. Investigation of Separated Flows in Supersonic and Subsonic Streams with Emphasis on the Effect of Transition; No. NACA-TR-1356; NASA: Washington, DC, USA, 1958. Available online: https://ntrs.nasa.gov/citations/19930092343 (accessed on 2 January 2025).
- Zhou, Y.Y.; Zhao, Y.L.; Zhao, Y.X. A study on the separation length of shock wave/turbulent boundary layer interaction. Int. J. Aerosp. Eng. 2019, 2019, 8323787. [Google Scholar] [CrossRef]
- Dupont, P.; Haddad, C.; Debieve, J.F. Space and time organization in a shock induced boundary layer. J. Fluid Mech. 2006, 559, 255–277. [Google Scholar] [CrossRef]
- Wang, Z.Q.; Zhao, Y.L.; Zhao, Y.X.; Fan, X.Q. Prediction of massive separation of unstarted inlet via free-interaction theory. AIAA J. 2015, 53, 1108–1112. [Google Scholar]
- Huang, H.X.; Tan, H.J.; Sun, S.; Sheng, F.J. Unthrottled flows with complex background waves in curved isolators. AIAA J. 2017, 55, 2942–2955. [Google Scholar] [CrossRef]
- Guo, Y.; Tan, H.; Zhang, Y.; Li, X.; Xue, H.; Luo, Z.; Huang, H. On incident shock wave/boundary layer interactions under the influence of expansion corner. J. Fluid Mech. 2024, 988, A28. [Google Scholar] [CrossRef]
- Li, X.; Zhang, Y.; Tan, H.; Jin, Y.; Li, C. Comparative study on single-incident and dual-incident shock wave/turbulent boundary layer interactions with identical total deflection angle. J. Fluid Mech. 2022, 940, A7. [Google Scholar] [CrossRef]
- Li, X.; Zhang, Y.; Tan, H.; Sun, S.; Yu, H.; Jin, Y.; Zhou, J. Separation length scaling for dual-incident shock wave-turbulent boundary layer interactions with different shock wave distances. J. Fluid Mech. 2023, 960, A9. [Google Scholar] [CrossRef]
- Sathianarayanan, A.; Verma, S.B. Experimental investigation of an incident shock-induced interaction near an expansion corner. J. Spacecr. Rocket. 2017, 54, 769–773. [Google Scholar] [CrossRef]
- Lin, J.; Howard, F.; Bushnell, D.; Selby, G. Investigation of several passive and active methods for turbulent flow separation control. In Proceedings of the 21st Fluid Dynamics, Plasma Dynamics and Lasers Conference, Seattle, WA, USA, 18–20 June 1990. [Google Scholar]
- Bur, R.; Corbel, B. Experimental study of transonic interaction with shock and boundary-layer control. In Proceedings of the Fluids 2000 Conference and Exhibit, Denver, CO, USA, 19–22 June 2000. [Google Scholar]
- Green, J.E. Interactions between shock waves and turbulent boundary layers. Prog. Aerosp. Sci. 1970, 11, 235–340. [Google Scholar] [CrossRef]
- Akatsuka, J.; Watanabe, Y.; Murakami, A.; Honami, S. Porous bleed model for boundary condition of CFD analysis. In Proceedings of the 3rd AIAA Flow Control Conference, San Francisco, CA, USA, 5–8 June 2006. [Google Scholar]
- Davis, D.; Vyas, M.; Slater, J. Research on supersonic inlet bleed. In Proceedings of the 50th AIAA Aerospace Sciences Meeting including the New Horizons Forum and Aerospace Exposition, Nashville, TN, USA, 9–12 January 2012. [Google Scholar]
- Eichorn, M.; Barnhart, P.; Davis, D.; Vyas, M.; Slater, J. Effect of boundary-layer bleed hole inclination angle and scaling on flow coefficient behavior. In Proceedings of the 51st AIAA Aerospace Sciences Meeting including the New Horizons Forum and Aerospace Exposition, Grapevine, TX, USA, 7–10 January 2013. [Google Scholar]
- Oorebeek, J.M.; Babinsky, H.; Ugolotti, M.; Orkwis, P.; Duncan, S. Experimental and computational investigations of a normal-hole-bled supersonic boundary layer. AIAA J. 2015, 53, 3726–3736. [Google Scholar] [CrossRef]
- Giehler, J.; Grenson, P.; Bur, R. Parameter influence on porous bleed performance for supersonic turbulent flows. J. Propuls. Power 2024, 40, 74–93. [Google Scholar] [CrossRef]
- Choe, Y.; Kim, C.; Kim, K. Effects of optimized bleed system on supersonic inlet performance and buzz. J. Propuls. Power 2020, 36, 211–222. [Google Scholar] [CrossRef]
- Rodi, P.E.; Emami, S.; Trexler, C.A. Unsteady pressure behavior in a ramjet/scramjet inlet. J. Propuls. Power 1996, 12, 486–493. [Google Scholar] [CrossRef]
- Albertson, C.; Emami, S.; Trexler, C. Mach 4 test results of a dual-flowpath, turbine based combined cycle inlet. In Proceedings of the 14th AIAA/AHI Space Planes and Hypersonic Systems and Technologies Conference, Canberra, Australia, 6–9 November 2006. [Google Scholar]
- Zhang, Y.; Tan, H.J.; Sun, S.; Chen, H.; Li, C.H. Experimental and numerical investigation of a fluidically variable hypersonic inlet. AIAA J. 2017, 55, 2597–2606. [Google Scholar] [CrossRef]
- Saravanan, R.; Desikan, S.L.N.; Francise, K.J.; Kalimuthu, R. Experimental investigation of start/unstart process during hypersonic intake at Mach 6 and its control. Aerosp. Sci. Technol. 2021, 113, 106688. [Google Scholar] [CrossRef]
- Alfonsi, G. Reynolds-Averaged Navier-Stocks Equations for Turbulence Modeling. Appl. Mech. Rev. 2009, 62, 933–944. [Google Scholar] [CrossRef]
- Wilcox, D.C. Turbulence Modeling for CFD; DCW Industries: La Canada, CA, USA, 1998. [Google Scholar]
- Slater, J.W. Improvements in modeling 90-degree bleed holes for supersonic inlet. J. Propuls. Power 2012, 28, 773–781. [Google Scholar] [CrossRef]
- Oorebeek, J.; Babinsky, H. Flow physics of a normal-hole bled supersonic turbulent boundary layer. In Proceedings of the 51st AIAA Aerospace Science Meeting Including the New Horizons Forum and Aerospace Exposition, Grapevine, TX, USA, 7–10 January 2013. [Google Scholar]

















| h (mm) | α1 (deg.) | β1 (deg.) | D (mm) | αEc (deg.) | Ma | Re (m−1) | T0 (K) | p0 (kpa) |
|---|---|---|---|---|---|---|---|---|
| 42 | 10 | 29.6 | 29.4 | 12 | 2.73 | 9.2 × 106 | 287 ± 1.5 | 100.5 ± 0.3 |
| ΔPE/p∞ | ΔPI/p∞ | PS/p∞ | ΔPR/p∞ | ΔPS/p∞ | ||
|---|---|---|---|---|---|---|
| Base | 0.40 | 0.39 | 1.00 | 0.83 | 0 | |
| Dup = 10δ | pback/p∞ = 0.5 | 0.42 | 0.35 | 0.95 | 0.89 | 0.05 |
| pback/p∞ = 0.25 | 0.44 | 0.37 | 0.95 | 0.89 | 0.05 | |
| pback/p∞ = 0.1 | 0.46 | 0.37 | 0.93 | 0.91 | 0.07 | |
| Dup = 2δ | pback/p∞ = 0.5 | 0.43 | 0.34 | 0.95 | 0.89 | 0.05 |
| pback/p∞ = 0.25 | 0.46 | 0.35 | 0.93 | 0.91 | 0.07 | |
| pback/p∞ = 0.1 | 0.48 | 0.35 | 0.91 | 0.93 | 0.09 | |
| Dup = 0δ | pback/p∞ = 0.5 | - | 0.38 | 0.95 | 0.89 | 0.05 |
| pback/p∞ = 0.25 | - | 0.34 | 0.90 | 0.94 | 0.10 | |
| pback/p∞ = 0.1 | - | 0.33 | 0.88 | 0.96 | 0.12 | |
| pback/p∞ | pback/p0 | , g/s | Qsonic |
|---|---|---|---|
| Ma = 2.73 (current CFD) | |||
| 0.50 | 0.020 | 16.9 | 0.016 |
| 0.25 | 0.010 | 19.8 | 0.018 |
| 0.10 | 0.004 | 20.2 | 0.019 |
| Ma = 2.5 (Experiment data from ref. [40]) | |||
| 0.43 | 0.025 | 11 | 0.024 |
| Ma = 2.5 (CFD data from ref. [30]) | |||
| 0.43 | 0.025 | 12.5 | 0.023 |
| Ddown = 2δ | Ddown = 5δ | Ddown = 7δ | |
|---|---|---|---|
| , g/s | 10.66 | 28.65 | 27.92 |
| Qsonic | 0.010 | 0.027 | 0.026 |
Disclaimer/Publisher’s Note: The statements, opinions and data contained in all publications are solely those of the individual author(s) and contributor(s) and not of MDPI and/or the editor(s). MDPI and/or the editor(s) disclaim responsibility for any injury to people or property resulting from any ideas, methods, instructions or products referred to in the content. |
© 2025 by the authors. Licensee MDPI, Basel, Switzerland. This article is an open access article distributed under the terms and conditions of the Creative Commons Attribution (CC BY) license (https://creativecommons.org/licenses/by/4.0/).
Share and Cite
Zhang, Y.; Wang, S.; Yang, D.; Dong, B. Numerical Study on the Influence of Suction near Expansion Corner on Separation Bubble. Aerospace 2025, 12, 89. https://doi.org/10.3390/aerospace12020089
Zhang Y, Wang S, Yang D, Dong B. Numerical Study on the Influence of Suction near Expansion Corner on Separation Bubble. Aerospace. 2025; 12(2):89. https://doi.org/10.3390/aerospace12020089
Chicago/Turabian StyleZhang, Yaowen, Shaozhan Wang, Dangguo Yang, and Bin Dong. 2025. "Numerical Study on the Influence of Suction near Expansion Corner on Separation Bubble" Aerospace 12, no. 2: 89. https://doi.org/10.3390/aerospace12020089
APA StyleZhang, Y., Wang, S., Yang, D., & Dong, B. (2025). Numerical Study on the Influence of Suction near Expansion Corner on Separation Bubble. Aerospace, 12(2), 89. https://doi.org/10.3390/aerospace12020089

