Abstract
For a special bilaterally symmetric airfoil (BSA), this paper designs an active flow control scheme based on the Co-Flow Jet (CFJ) and adaptive morphing technology, and establishes a numerical simulation method which is suitable for simulating aerodynamic characteristics. The accuracy and effectiveness of the numerical method has been verified through benchmark cases. This study investigates the effects of jet intensity, suction slot position and angle, and deflection angles of the leading and TE flap on the aerodynamic performance parameters and flow field structure of the bilaterally symmetric airfoil. The results show that the adaptive morphing technology can significantly improve the equivalent lift coefficient and equivalent lift-to-drag ratio of the bilaterally symmetric airfoil, without obviously increasing the CFJ power consumption coefficient. Selecting an appropriate CFJ intensity can achieve a relatively high equivalent lift-to-drag ratio with a low compressor power requirement. Moving the suction slot rearward can increase the lift coefficient, and placing it on the trailing edge (TE) flap can more efficiently delay flow separation, reduce power consumption, and increase the equivalent lift-to-drag ratio. The suction slot angle has little effect on the lift coefficient, but a larger suction slot angle can enhance the equivalent lift-to-drag ratio. Increasing the TE flap deflection angle enhances both the lift coefficient and drag coefficient, as well as the power consumption coefficient at high angles of attack. But it has little effect on the maximum equivalent lift-to-drag ratio. Increasing the leading edge flap deflection angle can improve the maximum equivalent lift-to-drag ratio while increasing the angle of attack corresponding to it. Overall, choosing a CFJ and adaptive morphing parameters by considering different factors can enhance the aerodynamic performance of the bilaterally symmetric airfoil.
1. Introduction
In recent years, due to the growing interest in the development and utilization of near-space, aerospace research has focused on the design of wide-speed-range vehicles that can perform horizontal takeoff and landing, and be reused for multiple missions between the ground and near-space. The bidirectional flying wing vehicle, first proposed by Zha et al. in 2010, provides a new aerodynamic design approach to resolve the conflict between the aerodynamic requirements for high-speed and low-speed flight in the design of wide-speed-range vehicles [1]. The bidirectional flying wing vehicle operates in two flight modes: subsonic and supersonic. The transition between these two modes is achieved by rotating the fuselage 90°, which enables the vehicle to achieve excellent flight performance across a wide speed range [2,3]. However, the current bidirectional flying wing vehicle still faces several technical challenges, such as transonic wave drag, the mode transition, flight stability, and takeoff and landing difficulties [4]. The highly symmetric shape of the bidirectional flying wing means that both its high-speed and low-speed airfoils are strictly bilaterally symmetric about the 50% chord length (c) axis, with the maximum wing thickness and camber position located at the symmetry plane. This article refers to the airfoil as the Bilateral Symmetry Airfoil (BSA). Compared to conventional airfoils, this type of airfoil has less lift during the takeoff and landing phases. As the airflow over the upper surface passes through the symmetry plane, subsequent expansion leads to deceleration and increased pressure, making flow separation more likely to occur. Therefore, achieving lift augmentation, drag reduction, overcoming stall, and improving the takeoff and landing performance to enable short takeoff and landing (STOL) capabilities remain the key problems in the development of the bidirectional flying wing vehicle.
Currently, using high-lift devices is one of the effective methods to achieve STOL capabilities. However, traditional high-lift devices not only increase the structure weight but also may affect the aerodynamic profile coordination of the aircraft and lead to increased drag. Therefore, it is difficult for these devices to meet increasingly stringent STOL requirements [5,6]. Under these circumstances, adaptive morphing (or smart morphing) wings can be considered an effective solution to the limitations of traditional mechanical high-lift devices [5,6,7,8,9,10,11,12,13,14]. Adaptive morphing wings eliminate the structural complexity and additional weight introduced by traditional hinge mechanisms, instead using advanced technologies such as hinge-less, gap-free shape memory alloys [5,6,7,8], allowing for real-time adjustments of the wing shape. For example, leading edge morphing [9,11,12] TE flap deformation [10,11,12] and other shape changes on the airfoil surface [13] can be implemented to adapt to different flight conditions by adjusting aerodynamic characteristics in real time. Adaptive morphing wings not only enhance lift but also reduce structural weight and drag, making them a future direction worthy of academic attention for the development of high-lift devices in aviation.
Active flow control (AFC) has attracted much attention in recent years as an effective method for improving the aerodynamic performance of aircraft. AFC achieves flow control by directly applying appropriate disturbance modes and coupling them with the intrinsic modes of the flow. By introducing localized energy inputs, AFC can achieve effective local or global flow modifications, such as delaying flow separation, enhancing performance near the stall point, and increasing lift coefficients, thereby effectively improving the flight performance of the aircraft [15]. AFC methods include circulation control [16], synthetic jets and plasma jets [17,18], and CFJ control [19,20,21,22,23,24,25,26,27,28,29,30,31,32,33,34]. The CFJ active control method was proposed by Zha in 2006 [19]. Current research shows that CFJ, as a zero-net mass flux (ZNMF) AFC method, does not require additional air source input and has demonstrated excellent performance in lift enhancement, drag reduction, and improving flow separation on airfoil surfaces [20]. The CFJ airfoil features an injection slot and a suction slot on the upper surface, typically with the injection slot positioned near the leading edge (LE) tip and the suction slot located at the trailing edge. Together with a compressor inside the airfoil, they form the airflow delivery system for the CFJ. A portion of the mass flow from the upper surface is drawn in through the suction slot at the TE flap, pressurized by the internal compressor, and then injected tangentially from the injection slot at the LE flap. The compressor compensates for the total pressure difference between the injection and suction slots, ensuring zero-net mass flow. This jet helps overcome the adverse pressure gradient at high angles of attack, suppressing flow separation while adding extra positive circulation [21,22,23]. In many types of conventional airfoils, CFJ airfoils have been proven effective in lift augmentation, drag reduction, and delaying flow separation caused by increasing the angle of attack. Since CFJ is a ZNMF flow control method, its power requirement is relatively low, making CFJ particularly advantageous in improving aerodynamic performance and increasing cruise efficiency during low-speed flight conditions [24,25,26].
Using only LE/TE flap deflection devices to improve the performance of large aircraft at high angles of attack presents challenges, including increased structural design complexity and the need to address flow separation induced by deflection, which negatively impacts flight performance. Therefore, researchers have also explored combining CFJ technology with high-lift devices as a potential method to enhance the takeoff and landing performance of large aircraft. Zhang [27] applied CFJ technology on a two-dimensional vertical stabilizer with a TE flap, positioning the suction slot ahead of the deflection control surface of the TE flap to mitigate flow separation during control surface deflection. Xu and Zha [28] conducted a similar study using numerical simulations for a three-dimensional case, demonstrating the suppression effect of CFJ technology on flow separation over the deflection control surface of a 3D vertical stabilizer. Kewei Xu [29] also compared the effectiveness of placing the CFJ suction slot on the TE flap versus positioning it ahead of the TE flap deflection point. Since CFJ performs better under severe adverse pressure gradients (APG), using CFJ on the TE flap is more effective than using it on the main body of the airfoil. In addition to control surfaces, some studies have directly applied CFJ to airfoil wings. Ruochen W [30] combined an adaptive morphing TE flap with CFJ technology on a NACA2412 airfoil. Compared to the baseline, CFJ increased the lift coefficient and equivalent lift-to-drag ratio by 32.1% and 93.8%, respectively, at an angle of attack of 4°. Furthermore, Zhao [31] attempted to combine machine reinforcement learning with CFJ airfoils to develop a closed-loop control framework for CFJ airfoils, enabling real-time response to complex and varying flight conditions.
To date, numerous studies have investigated the use of CFJ in multiple operating conditions, targeting different airfoils and various conditions to improve the aerodynamic characteristics of aircraft during cruise. These studies prove the feasibility and effectiveness of CFJ in enhancing airfoil and aircraft aerodynamic performance. However, most current research is limited to applications on control surfaces [27,28,29] or on conventional airfoils [30,32,33,34]. In order to enhance the aerodynamic performance of the bilaterally symmetric airfoil during takeoff and landing phases, this paper designs an active flow control scheme combining CFJ and adaptive morphing technology to investigate the effects of different influencing factors on the aerodynamic characteristics and flow field structure of the bilaterally symmetric airfoil.
The structure of this paper is as follows: Section 2 introduces the BSA model studied in this paper, and the modeling methods for CFJ and adaptive morphing, describes the grid generation strategy and boundary condition setup, and explains the basic concepts and parameters of CFJ. Section 3 presents the numerical simulation methods used for the calculations, and the proposed numerical method is validated using benchmark cases with extensive experimental data to prove its reliability. Section 4 is the main research part of this paper, which will study the influence of various factors on the aerodynamic characteristics of the bilaterally symmetric CFJ airfoil. Section 5 presents the conclusions and summarizes the findings.
2. Models and Parameters
2.1. Bilaterally Symmetric CFJ High-Lift Airfoil
This paper establishes an aerodynamic optimization platform for the bidirectional flying wing based on a surrogate model, optimizing the aerodynamic shape of the bidirectional flying wing. The optimized low-speed mode airfoil of the bidirectional flying wing is used as the research object in this study. This airfoil is bilaterally symmetric about the 50% chord length axis, with the maximum thickness occurring at the symmetry plane, equal to 0.12 times the chord length. The BSA is similar to the cross-section of a high-speed wave rider, enabling superior aerodynamic performance during high-speed flight in the bidirectional flying wing mode after mode transition.
To enhance the aerodynamic performance of the BSA during takeoff and landing phases, an active flow control scheme based on adaptive morphing and CFJ technology is designed, as shown in Figure 1. Due to the high bilateral symmetry of the BSA, the LE and TE flap deflection length are identical at 0.25c, i.e., xl = 0.25c and xt = 0.75c. To ensure better flow attachment on the airfoil surface, a 0.7%c height depression was designed on the upper surface compared to the original airfoil, creating a flow channel on the upper surface (as shown in the blue box). The parameter representing the position of the injection slot is xj, while the content within the red box in Figure 1 shows the definitions of the injection slot angle βj and injection slot width lj. Correspondingly, the parameter xs determines the position of the suction slot, and the βs and ls in the purple box, respectively, represent the angle and width of the suction slot. Based on research experience in the field, it is generally found that CFJ airfoils achieve optimal flow control effects when the suction slot width ls is twice the height of the injection slot lj [35,36]. Therefore, the front injection slot height is set to lj = 0.7%c, and the rear suction slot width is set to ls = 1.4%c. In addition, it is necessary to set the angle of the injection slot so that the jet is tangent to the upper surface, so the parameter βj is fixed [37].
Figure 1.
Schematic diagram of bilaterally symmetric CFJ airfoil LE and TE flap deflection.
2.2. Computational Grid and Boundary Conditions
The computational grid of the bilaterally symmetric CFJ airfoil is shown in Figure 2. Structured grids are used in the near-boundary layer region, boundary layer region, and CFJ channel region, with the grid in the CFJ channel further refined to accurately capture the jet flow topology. The remaining flow field regions are filled with unstructured grids. The combination of structured and unstructured grids helps to achieve a good balance between quickly generating grids and accurately reflecting flow field characteristics. The total number of grids is approximately 240,000, with a y plus value of 1, and the height of the first layer grid in the boundary layer is 7.5 × 10−6 m. The grid has been validated for independence.
Figure 2.
The computational grid of the bilaterally symmetric CFJ airfoil.
The boundary conditions for the computational grid are shown in Figure 3. A velocity inlet and a pressure outlet are used for the far field, with each direction extending 30 times the chord length of the airfoil. No-slip wall boundary conditions are applied to the airfoil’s deflected surface, LE and TE flap, jet channel, and suction channel. The injection slot and suction slot are assigned mass flow outlet and mass flow inlet boundary conditions, respectively. Since the entire pressurization system does not generate additional mass flow, it is classified as a zero-mass flow system, meaning the mass flow rates at the injection slot and suction slot are identical.
Figure 3.
Boundary conditions of the computational grid.
2.3. Basic Concepts and Parameters of CFJ
This section introduces several key parameters related to the CFJ, which are defined by Zha, who proposed the CFJ [21].
- Jet momentum coefficient
In jet flow control methods, the jet momentum coefficient (Cmu) is commonly used to describe the strength of the jet. The formula is as follows:
where is the jet mass flow rate, is the jet velocity at the outlet, is the free-stream density, is the free-stream velocity, and is the reference area. For a two-dimensional airfoil, the reference area is the airfoil chord length.
- b.
- Jet power consumption coefficient
The power consumption of the pressurization system within the CFJ airfoil can be represented by the ratio of the total pressure at the suction slot to the total pressure at the injection slot :
where is the specific heat at constant pressure, is the jet slot mass flow rate, is the suction slot pressure, is the injection slot pressure, is the total temperature at the suction slot, and is the efficiency of the pressurization system, which is usually assumed to be 100%. is the specific heat ratio of air, with a standard value of 1.4.
The non-dimensional form of the power consumption coefficient can be expressed as
- c.
- Equivalent lift and drag coefficients
When applying the CFJ method to an airfoil, a reaction force is generated. This reaction force is challenging to calculate directly in numerical simulations and thus needs to be computed using a formula. This formula is derived through strict mathematical derivations, incorporating parameters such as jet momentum and pressures at the suction and injection slots. The formula is as follows:
where and are the components of the CFJ reaction force in the drag and lift directions, respectively; and are the injection velocity at the injection slot and suction velocity at the suction slot, respectively; and are the areas of the suction slot and injection slot, respectively; and are the static pressures at the injection slot and suction slot, respectively; and are the angles between the injection/suction slot and the chord line; and and are the deflection angles of the LE and TE flap of the airfoil, respectively.
By combining the lift force and drag force on the airfoil surface from the simulation results, the equivalent lift and drag coefficients of the CFJ airfoil can be further obtained:
- d.
- Equivalent lift-to-drag ratio
When evaluating the aerodynamic efficiency of a CFJ airfoil, the energy input of the pressurization system must be considered to obtain an equivalent lift-to-drag ratio. The equivalent lift-to-drag ratio takes into account both the aerodynamic performance benefits of the airfoil and the power consumption of the pressurization system, making it an important metric for evaluating the aerodynamic efficiency of the CFJ airfoil. The expression for the equivalent lift-to-drag ratio of the CFJ airfoil is as follows:
3. Numerical Simulation Method and Validation
3.1. Numerical Simulation Method
Compared to non-conservative governing equations, conservative governing equations are better at ensuring the conservation of physical parameters in the flow field [38]. The numerical simulation method used in this paper employs the following conservation-type: RANS (Reynolds-Averaged Navier–Stokes) equations, based on an Arbitrary Lagrangian-Eulerian (ALE) formulation, as the governing equations [39]:
where is the conserved variable, and represent the convective flux and viscous flux, respectively, and and denote the velocity and normal vector of the control surface boundary .
This paper adopts the SST turbulence model proposed by Menter to close the RANS equations. The SST model combines the turbulence model, suitable for simulating near-wall flows, and the turbulence model for free-stream flows. The transport equations are as follows:
where and represent the turbulent kinetic energy and turbulent dissipation rate, respectively; is the effective diffusion coefficient; is the production term; is the dissipation term; and is the user-defined source term.
To reduce computational costs, this paper uses the finite volume method (FVM) to solve the flow governing equations and turbulence models separately. The SIMPLEC algorithm is employed to solve the pressure–velocity coupling equations, while the second-order upwind scheme and third-order MUSCL scheme are used to discretize the flow governing equations and the turbulence equations, respectively. Parallel computing techniques, implicit residual smoothing, and other methods are applied to accelerate the convergence of the numerical calculations.
The “second-order upwind” scheme is the default format for solving the discretized control equation, and it can produce good results for the solution of most types of flow. Compared to second-order schemes, higher-order schemes such as the “QUICK” scheme and the “third-order MUSCL” scheme can provide better accuracy in certain special fluid dynamics problems, and the latter has a broader grid applicability. The reason why we choose the high-order third-order MUSCL scheme to discretize the turbulence equations is that we plan to extend the two-dimensional airfoil study to three-dimensional flying wing models in our subsequent research. And the “third-order MUSCL” scheme’s higher accuracy better meets our research needs in describing three-dimensional lateral flow. The validity and accuracy of the numerical computation method formed in the following section will be verified through examples.
3.2. ADVINT Active Flow Control Validation Case
The ADVINT 5% active flow control case is selected to validate the accuracy and feasibility of the numerical method used in this study for active flow control problems. Due to the large amount of reliable experimental data from the ADVINT 5% scaled airfoil wind tunnel test, and given that the airfoil in this test and the research object in this paper share similar flap deflection characteristics, we believe that using this case for calculation can validate the accuracy of the calculation method proposed in this paper for simulating the flow separation phenomenon on the trailing edge of the deflected airfoil with the jet.
The ADVINT 5% scaled airfoil has a chord length of 14 inches and features an LE flap and a simple TE flap. The injection slot is located at x/c = 0.64, with the jet direction tangent to the airfoil surface and a width of 0.02 inches. The computational grid is shown in Figure 4. A structured grid is used, with approximately 370,000 cells, a y plus value of 1, and a first-layer grid height of 3.2 × 10−5 m.
Figure 4.
The computational grid of the ADVINT 5% scaled airfoil.
The freestream velocity is set to 20 m/s, with the TE simple flap deflected by 40° and an angle of attack of 11°. Simulations are conducted for jet intensities of 5.71 × 10−3 and 9.61 × 10−2. Figure 5 shows the comparison between the calculated results and experimental results for the chordwise surface pressure coefficient of the airfoil [40]. The calculated results show good agreement with the experimental data, with only slight deviations near the injection slot.
Figure 5.
Comparison of calculated and experimental pressure coefficient results for ADVINT 5% scaled airfoil.
3.3. NACA6415 CFJ Validation Case
The CFJ is a relatively novel active flow control method. Currently, most of the research on it is still based on numerical simulation methods, and there are no publicly available and authoritative wind tunnel test data for comparison and validation. Therefore, to validate the accuracy of the numerical method used for predicting the flow field in this study, comparisons were made with the high-precision numerical simulation data from the Flow-Acoustic-Structure Interaction Package (FASIP) [25].
The test model is an NACA6415 CFJ airfoil, as shown in Figure 6. The airfoil chord length is 12 inches, with the front injection slot located at 0.075c, an injection slot size of 0.65%c, the rear suction slot located at 0.885c chord length, and a suction slot size of 1.3%c.
Figure 6.
NACA6415 CFJ airfoil.
Based on the given case, the freestream velocity is set to Ma = 0.3, with a corresponding Reynolds number of 2.0779 × 105 and the jet momentum coefficient Cmu of 0.08. The lift and drag coefficients were calculated for angles of attack ranging from 0° to 25° in 5° increments. The comparison of the calculated results with those from FASIP is shown in Figure 7. It can be observed that the current numerical method demonstrates high accuracy, with only minor discrepancies at high angles of attack. These discrepancies are within an acceptable range, indicating that the numerical method used in this study can reliably predict changes in the CFJ flow field.
Figure 7.
Comparison of calculated and experimental lift and drag coefficients for NACA6415 CFJ airfoil.
4. Results and Discussion
This chapter investigates the effects of jet intensity, suction slot parameters, and TE/LE flap deflection angles on the aerodynamic characteristics and flow field structure of the bilaterally symmetric smart morphing airfoil. The main focus of this study is to improve the aerodynamic performance of the airfoil during the takeoff and landing phases by combining smart morphing and CFJ technology. Therefore, the freestream velocity for the selected conditions is set to Ma = 0.2. Figure 8 illustrates different configurations of the BSA: Case A represents the BSA model using a CFJ for flow control, and Case B represents the BSA model combining smart morphing high-lift devices with CFJ control. The airfoil without CFJ control (baseline) serves as the reference. In the figure, both the LE and TE flap deflections for smart morphing are set to 20°.
Figure 8.
Schematic of bilaterally symmetric airfoils.
4.1. Aerodynamic Characteristics of the Bilaterally Symmetric Airfoil at Different Jet Intensities
This section comparatively studies the influence of the variation in jet momentum coefficients (Cmu) in Case A and Case B of Figure 8 on the aerodynamic characteristics of the airfoil, by leaving the other parameters of CFJ airfoil unchanged, namely the injection slot position xj = 0.02c, suction slot position xs = 0.80c, and the suction slot angle βs = 75°.
Figure 9 shows the aerodynamic performance comparison of the bilaterally symmetric airfoil with and without morphing at different jet intensities. As shown in Figure 9a, the BSA with a morphing LE flap and trailing exhibits an increase in lift, which is attributed to the increased camber caused by the LE flap and TE flap morphing. Unlike conventional airfoils where flap deflection typically results in intensified flow separation, leading to a reduced stall margin and a decrease in the angle of attack corresponding to maximum lift coefficient CLmax, at a lower Cmu, the reduction in the angle of attack corresponding to CLmax is only 1–2° after deflection, and at a higher Cmu, it remains almost unchanged.
Figure 9.
Comparison of aerodynamic characteristics of bilaterally symmetric airfoil with/without morphing and different jet intensities.
From Figure 9b, it can be seen that when the flap is not deflected, the drag coefficient Cd is relatively large, and as the Cmu increases, the difference in the drag coefficient Cd between the two airfoil types becomes larger. Figure 9c shows that as the jet intensity increases, the power consumption of the internal pressurization system of the CFJ airfoil increases. When Cmu is relatively low, the power consumption coefficient Pc is largely unaffected by changes in angle of attack and flap deflection angle. However, for the non-morphing airfoil, the power consumption coefficient Pc increases sharply at high angles of attack. This is caused by a significant drop in the total pressure at the suction slot for the non-morphing airfoil at high angles of attack.
From Figure 9d, it can be observed that as the Cmu increases, the maximum equivalent lift-to-drag ratio Ke of both airfoils decreases, with the maximum value for the smart morphing airfoil being noticeably greater than that of the non-morphing airfoil. Overall, using a smart morphing wing combined with CFJ technology provides superior aerodynamic performance for the bilaterally symmetric airfoil. However, it should be noted that although a higher Cmu offers an advantage in lift enhancement efficiency, the increase in the power consumption coefficient Pc may have an adverse effect on the equivalent lift-to-drag ratio Ke.
Figure 10 and Figure 11 show the Mach number contour and streamline diagrams of the two airfoil types at a jet intensity Cmu = 0.035/0.1 and an angle of attack of 10°, respectively. From Figure 10, it can be seen that due to the relatively low jet intensity, the airflow on the non-deflected airfoil separates at the LE flap and reattaches in the subsequent flow, followed by another separation at the TE flap under high-angle-of-attack conditions. In contrast, Case B, due to the increased camber caused by the deflection of the LE and TE flap, accelerates the flow over the upper surface, allowing it to more effectively overcome the adverse pressure gradient, with no flow separation at the LE flap and a relatively smaller separation region at the TE flap. When Cmu = 0.035, compared to Case A, the wing in Case B, which incorporates flap deflection and increased camber, achieves a 102% increase in lift. Additionally, the fluid Mach number at a measurement probe located at 1% of the chord length behind the suction slot and 0.1% of the chord above the upper surface increases by 93%. When Cmu = 0.1, the lift enhancement ratio is 90.2%, and the Mach number increases at the measurement probe by 53%. This indicates that the aerodynamic gain from the flap deflection/increased camber of the airfoil is more effective at a lower Cmu. Figure 9a,b illustrate that CL and Ke curves for the same Cmu but different cases show a pronounced difference when Cmu is small and converge as Cmu increases. The curve patterns align well with the flow field characteristics.
Figure 10.
Mach number contour and streamline diagrams of different airfoils (Cmu = 0.035, α = 10°).
Figure 11.
Mach number contour and streamline diagrams of different airfoils (Cmu = 0.1, α = 10°).
For conventional airfoils, flap deflection increases the effective angle of attack, which exacerbates TE flap flow separation. However, as noted in the introduction, the unique airfoil of the BSA experiences significant separation even without flap deflection. This occurs because the maximum thickness is located at the symmetrical axis of the airfoil in the middle of the wing, causing the subsequent flow to expand and slow down more dramatically, leading to separation. This phenomenon is clearly observed in Figure 10a, where the sharp leading edge and thicker midsection of the airfoil result in a noticeably smaller flow speed on the upper surface of the airfoil and a separation on the upper surface of the trailing edge. In Figure 10b, when the flap is deflected, it can be observed that the separated vortex on the upper surface of the trailing edge does not grow larger, as seen with conventional airfoils. Instead, flap deflection increases the camber of the airfoil and the flow speed on the upper surface of the airfoil, effectively suppressing trailing edge separation.
From Figure 11, it can be observed that with the higher jet intensity, the airflow speed over the upper surface of the airfoil increases, enabling the flow to overcome a larger adverse pressure gradient. The flow separation region on the upper surface of both airfoils is reduced, with only a small separation vortex near the TE tip, as shown in the zoomed-in view of Figure 11. This minor vortex has negligible effects on the overall flow field and the aerodynamic characteristics of the airfoil. Unless the jet intensity is further increased to fully eliminate separation, a small degree of separation at the trailing edge is unavoidable but can be disregarded. Under the current operating condition of Cmu = 0.1, it can be assumed that the flow separation is effectively suppressed.
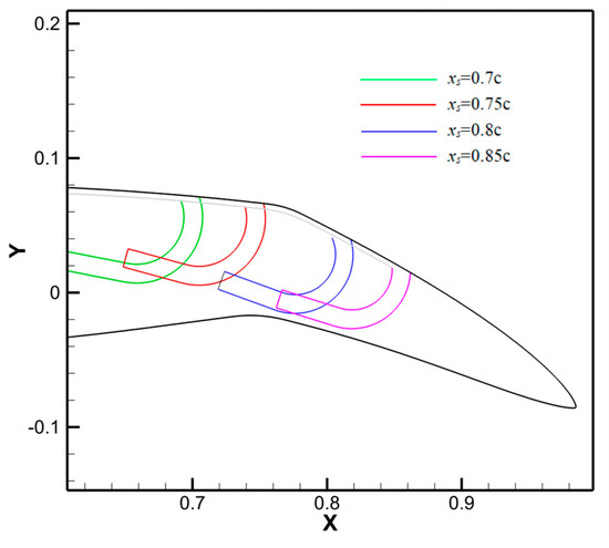
4.2. Aerodynamic Characteristics of the Bilaterally Symmetric Airfoil with Different Suction Slot Positions
The position of the CFJ suction slot is a critical parameter in the CFJ active flow control method. A schematic of different suction slot positions is shown in Figure 12. The four suction slot positions are defined as follows: xs = 0.7c, located ahead of the TE flap; xs = 0.75c, at the TE flap deflection point; xs = 0.8c and xs = 0.85c, situated on the TE flap. In these scenarios, all other parameters remain unchanged: flap deflection angles— βL = βT = 20°; the injection slot position—xj = 0.02c; the suction slot angle—βs = 75°; and jet momentum coefficients—Cmu = 0.035.
Figure 12.
Schematic of bilaterally symmetric airfoils with different suction slot positions.
Figure 13 shows a comparison of the aerodynamic performance parameters for airfoils with different suction slot positions and the baseline airfoil without CFJ control. From Figure 13a, it can be seen that, compared to the baseline airfoil, CFJ increases the lift coefficient CL of the bilaterally symmetric airfoil. As the suction slot position moves rearward, the maximum lift coefficient CLmax of the airfoil increases. From Figure 13b, it can be observed that CFJ effectively reduces the drag of the bilaterally symmetric airfoil. At low angles of attack, the drag coefficient CD of the airfoil remains almost unchanged with different suction slot positions, while at high angles of attack, the drag coefficient CD increases as the suction slot moves rearward. Figure 13c,d show that when the suction slot position is at xs = 0.8c, CFJ achieves a higher lift gain and a lower drag, with the CFJ system’s power consumption coefficient Pc being the lowest and the equivalent lift-to-drag ratio Ke being the highest.
Figure 13.
Comparison of aerodynamic characteristics of bilaterally symmetric airfoils with different suction slot positions.
Figure 14 shows the Mach number contours and streamline diagrams for bilaterally symmetric airfoils with different suction slot positions at an angle of attack of 4°. It can be observed that, at a low angle of attack, the flow separation region of the bilaterally symmetric airfoil is relatively small. When xs ≥ 0.80c, the suction slot is located on the deflected TE flap, and the CFJ has a better suppression effect on flow separation over the TE flap, resulting in a smaller TE separation vortex.
Figure 14.
Mach number contours and streamline diagrams of airfoils with different suction slot positions (Cmu = 0.035, α = 4°).
The observed phenomenon can be explained as follows: when the suction slot is moved backward, the jet has a greater impact on the upper surface, resulting in an increased airflow speed. According to the definition of circulation and the Kutta–Joukowski theorem, increasing the flow velocity and changing the fluid path over the surface of an object enhances circulation and lift. An increase in circulation also shifts the leading- and trailing-edge stagnation points downward on the airfoil surface [41], promoting better adherence of the airflow to the upper trailing surface. Furthermore, the jet’s energy contribution to the main flow helps the fluid overcome a larger adverse pressure gradient, thereby delaying flow separation.
Figure 15 shows the Mach number contours and streamline diagrams for bilaterally symmetric airfoils with different suction slot positions at an angle of attack of 10°. From the local streamline diagrams of the TE flap, it can be observed that at higher angles of attack, the TE flow separation phenomenon of the bilaterally symmetric airfoil becomes more severe. When the suction slot is positioned ahead of the TE flap deflection point, the local diagram of the suction slot shows that the airflow velocity at the suction slot is higher, with a large vortex formed in front of the suction channel, resulting in lower total pressure at the suction slot. This leads to an increase in the power consumption coefficient Pc and a decrease in the equivalent lift-to-drag ratio Ke.
Figure 15.
Mach number contours and streamline diagrams of airfoils with different suction slot positions (Cmu = 0.035, α = 10°).
Furthermore, the current intensity of the CFJ has limited influence on the flow field downstream of the suction slot, making it difficult to suppress flow separation over the TE flap. When xs = 0.85, to maintain zero mass flow for the CFJ, airflow needs to be drawn in over a large area, leading to the formation of a vortex at the rear wall of the suction channel, which further reduces the total pressure at the suction slot and increases Pc. Due to the suction slot being positioned too far back, the current CFJ intensity struggles to maintain flow attachment downstream, and the airflow almost immediately separates after passing the suction slot.
Figure 16 shows the pressure coefficient distribution curves of airfoils with different suction slot positions at various angles of attack. From the figure, it can be seen that the airflow accelerates along the LE flap deflection, creating a suction peak at the LE, and further accelerates to form a second suction peak near the TE flap deflection (approximately after 0.75c). Compared to the baseline airfoil, the use of CFJ control effectively increases the pressure difference between the upper and lower surfaces, thereby providing a lift gain.
Figure 16.
Pressure coefficient distribution of airfoils with different suction slot positions (Cmu = 0.035, α = 4°/10°).
When xs = 0.7c or 0.75c, the suction slot is positioned before the second suction peak. Under different angles of attack, the airfoil exhibits a relatively smaller suction peak on the surface, and the static pressure at the suction slot is also relatively low, which negatively affects the lift gain provided by CFJ and increases the power consumption coefficient Pc. On the other hand, when xs = 0.80c or 0.85c, the suction slot is located after the TE flap suction peak, resulting in a certainly higher suction peak compared to when the suction slot is positioned before the peak. This phenomenon explains the higher lift coefficient observed when xs = 0.8c or 0.85c.
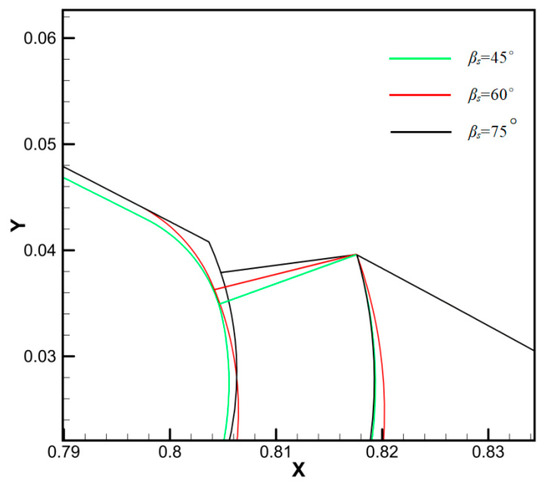
4.3. Aerodynamic Characteristics of the Bilaterally Symmetric Airfoil with Different Suction Slot Angles
Figure 17 shows a schematic of bilaterally symmetric airfoils with different suction slot angles. The suction slot angle is also a key parameter for the CFJ. The suction slot angle βs is set to 45°, 60°, and 75°, respectively. In this scenario, all other parameters remain unchanged: the flap deflection angles βL = βT = 20°, injection slot position xj = 0.02c, and suction slot position xs = 0.80c, jet momentum coefficients Cmu = 0.035.
Figure 17.
Schematic of bilaterally symmetric airfoils with different suction slot angles.
Figure 18 shows a comparison of the aerodynamic characteristics of bilaterally symmetric airfoils with different suction slot angles. As seen in Figure 18a, as the suction slot angle βs increases, the lift coefficient CL of the airfoil remains largely unchanged, while the drag coefficient CD in Figure 18b decreases. And the curve changes in Figure 18c,d show the power consumption coefficient Pc and the equivalent lift-to-drag ratio Ke increase as βs increases. The trend of CD can be derived from Formulas (4) and (5) in Section 2.3. Increasing βs enhances the reaction force provided by the CFJ system, thereby reducing the drag. However, increasing βs reduces the angle between the cross-sectional area of the suction slot and the tangential direction of the free stream, leading to increased power consumption by the compressor. Since the reduction in the drag coefficient CD is greater than the increase in the power consumption coefficient PC, the bilaterally symmetric airfoil with a larger suction slot angle still exhibits the best aerodynamic efficiency.
Figure 18.
Comparison of aerodynamic characteristics of bilaterally symmetric airfoils with different suction slot angles.
Figure 19 and Figure 20 show the Mach number contours and streamline diagrams of bilaterally symmetric airfoils with different suction slot angles. From the figures, it can be observed that, compared to the airfoil without CFJ, CFJ significantly accelerates the flow velocity over the upper surface of the smart morphing airfoil and effectively suppresses TE flow separation. Within the entire selected range of angles of attack, the Mach number distribution and flow field characteristics of the bilaterally symmetric airfoil are largely unaffected by changes in the suction slot angle.
Figure 19.
Mach number contours and streamline diagrams of airfoils with different suction slot angles (Cmu = 0.035, α = 4°).
Figure 20.
Mach number contours and streamline diagrams of airfoils with different suction slot angles (Cmu = 0.035, α = 10°).
4.4. Aerodynamic Characteristics of the Bilaterally Symmetric Airfoil with Different TE Flap Deflection Angles
TE flap deflection changes the overall camber of the airfoil, affecting the severity of flow separation when the airflow reaches the TE flap, thereby influencing the aerodynamic characteristics. Figure 21 shows a schematic of bilaterally symmetric airfoils with different TE flap deflection angles. The TE flap deflection angles are set to βT = 15°, 20°, 25°, and 30°, respectively. All other parameters remain unchanged: the LE flap deflection angles βL = 20°, injection slot position xj = 0.02c, suction slot position xs = 0.80c, suction slot angle βs = 75°, and jet momentum coefficients Cmu = 0.035.
Figure 21.
Schematic of bilaterally symmetric airfoils with different TE flap deflection angles.
Figure 22 shows a comparison of the aerodynamic characteristics of bilaterally symmetric airfoils with different TE flap deflection angles. As seen in Figure 22a,b, increasing the TE flap deflection angle increases the airfoil camber, resulting in an increase in both the maximum lift coefficient CLmax and drag coefficient CD, while the angle of attack corresponding to the maximum lift coefficient α-CLmax decreases. As can be observed from Figure 22c, as the angle of attack increases, the power consumption coefficient Pc of the bilaterally symmetric airfoil first decreases and then increases. The increase in Pc at high angles of attack is caused by the reduction in total pressure at the suction slot. Therefore, with larger TE flap deflection angles, the angle of attack at which Pc starts to increase becomes smaller. Figure 22d shows that the maximum equivalent lift-to-drag ratio Kemax of the airfoil remains largely unaffected by changes in the TE flap deflection angle; however, increasing the deflection angle reduces the angle of attack corresponding to the maximum equivalent lift-to-drag ratio α-Kemax.
Figure 22.
Comparison of aerodynamic characteristics of bilaterally symmetric airfoils with different TE flap deflection angles.
Figure 23 and Figure 24 show the Mach number contours and streamline diagrams of airfoils with different TE flap deflection angles. As shown in the figures, as the TE flap deflection angle increases, the airflow velocity over the upper surface of the airfoil also increases, resulting in a higher lift coefficient CL. At high angles of attack, flow separation occurs over the TE flap, and as the deflection angle increases, the separation intensifies and the separation vortex size becomes larger, leading to a greater reduction in the lift coefficient CL. Additionally, the separation region moves closer to the suction slot, causing a reduction in the total pressure at the suction slot, which in turn leads to a sharp increase in the power consumption coefficient Pc.
Figure 23.
Mach number contours and streamline diagrams of airfoils with different TE flap deflection angles (Cmu = 0.035, α = 4°).
Figure 24.
Mach number contours and streamline diagrams of airfoils with different TE flap deflection angles (Cmu = 0.035, α = 10°).
4.5. Aerodynamic Characteristics of the Bilaterally Symmetric Airfoil with Different LE Flap Deflection Angles
LE flap deflection increases the overall camber of the airfoil and also changes the acceleration of the airflow approaching the LE and the position of the stagnation point, affecting the aerodynamic characteristics. Figure 25 shows a schematic of bilaterally symmetric airfoils with different LE flap deflection angles. The LE flap deflection angles are set to βL = 15°, 20°, 25°, and 30°, respectively. All other parameters remain unchanged: the TE flap deflection angles βT = 20°, injection slot position xj = 0.02c, suction slot position xs = 0.80c, suction slot angle βs = 75°, and jet momentum coefficients Cmu = 0.035.
Figure 25.
Schematic of bilaterally symmetric airfoils with different LE flap deflection angles.
Figure 26 compares the aerodynamic characteristics of bilaterally symmetric airfoils with different LE flap deflection angles. The lift coefficient curve in Figure 26a shows the following trends: at low angles of attack, as the LE flap deflection angle increases, the lift coefficient CL decreases, while at high angles of attack, the lift coefficient CL increases with an increasing βL. In Figure 26b, except for the case of βL = 30°, where the drag coefficient CD is high and the lift coefficient CL is low at small angles of attack, the drag coefficient CD decreases as βL increases in the other cases. The power consumption coefficient Pc in Figure 26c is lowest at βL = 20°; for other cases, Pc increases with a larger βL. Figure 26d shows the trend in equivalent lift-to-drag ratio: at βL = 15°, the maximum equivalent lift-to-drag ratio Kemax is notedly lower than in other cases, while the differences in Kemax for other LE flap deflection angles are relatively small. However, an increase in βL results in an increase in the angle of attack corresponding to the maximum equivalent lift-to-drag ratio α-Kemax. In summary, selecting an appropriate βL can achieve good aerodynamic performance at an ideal angle of attack with a lower power consumption coefficient.
Figure 26.
Comparison of aerodynamic characteristics of bilaterally symmetric airfoils with different LE flap deflection angles.
Figure 27 shows the Mach number contours, streamline diagrams, and local total pressure contours for airfoils with different LE flap deflection angles at α = 4°. As seen in the figure, increasing the LE flap deflection angle intensifies the acceleration of the airflow over the LE, resulting in a higher velocity at the deflection point and thereby increasing the lift coefficient CL. Additionally, the increase in airflow velocity helps to suppress TE flow separation. Moreover, increasing the LE flap deflection angle causes the stagnation point to move towards the upper surface, forming a high-pressure region on the upper surface of the LE. When βL = 30°, this results in increased drag and decreased lift. It can also be observed that the larger the LE flap deflection angle, the greater the total pressure at the injection slot, which requires more compressor power. When βL = 15°, the low-pressure area at the suction slot is obviously larger compared to the other cases, resulting in a larger pressure difference across the CFJ and higher power consumption. Overall, at βL = 20°, the total pressure difference is smaller, and the power consumption coefficient Pc is the lowest among the four cases.

Figure 27.
Mach number contours, streamline diagrams, and local total pressure contours of airfoils with different LE flap deflection angles (Cmu = 0.035, α = 4°).
5. Conclusions
- Smart morphing technology can enhance the aerodynamic lift coefficient CL and equivalent lift-to-drag ratio Ke of the bilaterally symmetric airfoil without greatly increasing the CFJ power consumption coefficient Pc. Increasing the jet intensity accelerates the flow over the airfoil upper surface, suppresses flow separation, increases the lift coefficient CL, and decreases the drag coefficient CD. However, it also causes a huge increase in the power consumption coefficient Pc, reducing the maximum equivalent lift-to-drag ratio Ke.
- As the suction slot position moves rearward, the airfoil surface circulation increases and flow separation decreases slightly. When the suction slot is moved onto the TE flap, the suppression effect on flow separation improves. The lift coefficient CL increases slightly as the suction slot moves rearward, while the drag coefficient CD remains relatively unchanged. When the suction slot is located at xs = 0.8c, the power consumption coefficient Pc is minimized, and the bilaterally symmetric airfoil achieves optimal equivalent lift-to-drag ratio Ke.
- The suction slot angle has little effect on the lift coefficient CL of the airfoil, but increasing the suction slot angle increases the reaction force at the LE injection slot, slightly reducing drag. At the same time, increasing the suction slot angle reduces the angle between the suction channel cross-section and the tangential boundary layer, increasing the CFJ power consumption coefficient Pc. Considering these two opposing factors, a larger suction slot angle is more advantageous for enhancing the aerodynamic performance of the airfoil.
- Increasing the TE flap deflection angle increases the airfoil camber, which improves the lift coefficient CL at low angles of attack and increases the drag coefficient CD. Additionally, larger TE flap deflection angles exacerbate TE flow separation at high angles of attack, increasing the power consumption coefficient Pc of CFJ and reducing the angles of attack corresponding to CLmax and Kemax. However, the magnitude of the maximum equivalent lift-to-drag ratio Kemax is largely unaffected by changes in the TE flap deflection angle.
- At low angles of attack, as the LE flap deflection angle increases, the stagnation point moves from the lower surface to the upper surface, resulting in an increase in the drag coefficient CD and a decrease in the lift coefficient CL. At higher angles of attack, increasing the LE flap deflection angle suppresses TE flow separation, thereby increasing the lift coefficient CL. The maximum equivalent lift-to-drag ratio Kemax and the angle of attack corresponding to it both increase with the LE flap deflection angle.
Author Contributions
Conceptualization, Z.L. and H.C.; methodology, Z.L.; validation, Z.L.; formal analysis, H.C.; investigation, Z.L. and H.C.; resources, Z.L.; data curation, Z.L.; writing—original draft preparation, Z.L.; writing—review and editing, H.C.; visualization, Z.L.; supervision, H.C.; funding acquisition, H.C. All authors have read and agreed to the published version of the manuscript.
Funding
This work was supported by the Fundamental Research Funds for the Central Universities (Grant No. 1011-YAH21001).
Data Availability Statement
Data are contained within the article.
Conflicts of Interest
The authors declare that there are no conflicts of interest.
References
- Zha, G.; Im, H.; Espinal, D. Toward zero sonic-boom and high efficiency supersonic flight, part I: A novel concept of supersonic bi-directional flying wing. In Proceedings of the 48th AIAA Aerospace Sciences Meeting Including the New Horizons Forum and Aerospace Exposition, Orlando, FL, USA, 4–7 January 2010; p. 1013. [Google Scholar]
- Espinal, D.; Lee, B.; Sposato, H.; Kinard, D.; Dominguez, J.; Zha, G.C.; Im, H. Supersonic bi-directional flying wing, Part II: Conceptual design of a high speed civil transport. In Proceedings of the 48th AIAA Aerospace Sciences Meeting Including the New Horizons Forum and Aerospace Exposition, Orlando, FL, USA, 4–7 January 2010; p. 1393. [Google Scholar]
- Nieto, A.; Perez, K.; Rojas, M.; Rodriguez, O.; Fernandez, O.; Salman, S.; Zha, G. Towards high efficiency hypersonic flight-hypersonic bi-directional flying wing. In Proceedings of the 50th AIAA Aerospace Sciences Meeting including the New Horizons Forum and Aerospace Exposition, Nashville, TN, USA, 9–12 January 2012; p. 398. [Google Scholar]
- Zhang, X.; Feng, X.Q. Study on drag and sonic boom of supersonic bi-directional flying wing. J. Northwest. Polytech. Univ. 2014, 32, 517–522. [Google Scholar]
- Zhu, L.Q.; Sun, G.K.; Li, H.; Dong, M.L. Intelligent and flexible morphing wing technology: A review. J. Mech. Eng. 2018, 54, 28–42. [Google Scholar] [CrossRef]
- Koreanschi, A.; Gabor, O.S.; Acotto, J.; Brianchon, G.; Portier, G.; Botez, R.M.; Mamou, M.; Mebarki, Y. Optimization and design of an aircraft’s morphing wing-tip demonstrator for drag reduction at low speed, Part I–Aerodynamic optimization using genetic, bee colony and gradient descent algorithms. Chin. J. Aeronaut. 2017, 30, 149–163. [Google Scholar] [CrossRef]
- Zhang, W.; Nie, X.T.; Gao, X.Y.; Chen, W.H. Conceptual design and numerical studies of active flow control aerofoil based on shape-memory alloy and macro fibre composites. Aeronaut. J. 2021, 125, 830–846. [Google Scholar] [CrossRef]
- Sun, J.; Guan, Q.; Liu, Y.; Leng, J. Morphing aircraft based on smart materials and structures: A state-of-the-art review. J. Intell. Mater. Syst. Struct. 2016, 27, 2289–2312. [Google Scholar] [CrossRef]
- Kan, Z.; Li, D.; Shen, T.; Xiang, J.; Zhang, L. Aerodynamic characteristics of morphing wing with flexible leading-edge. Chin. J. Aeronaut. 2020, 33, 2610–2619. [Google Scholar] [CrossRef]
- Lyu, Z.; Martins, J.R. Aerodynamic shape optimization of an adaptive morphing trailing-edge wing. J. Aircr. 2015, 52, 1951–1970. [Google Scholar] [CrossRef]
- Abbadi, M.; Lo, S.; Yao, Y.; Daniel, D. Aerodynamic Performance Optimisation of an Aerofoil With Combined Leading-Edge and Trailing-Edge Morphing Transformations. In Proceedings of the AIAA Aviation Forum and Ascend, Las Vegas, NV, USA, 29 July–2 August 2024; p. 4435. [Google Scholar]
- Li, D.; Zhao, S.; Da Ronch, A.; Xiang, J.; Drofelnik, J.; Li, Y.; Zhang, L.; Wu, Y.; Kintscher, M.; Monner, H.P.; et al. A review of modelling and analysis of morphing wings. Prog. Aerosp. Sci. 2018, 100, 46–62. [Google Scholar] [CrossRef]
- Dong, Y.; Boming, Z.; Jun, L. A changeable aerofoil actuated by shape memory alloy springs. Mater. Sci. Eng. A 2008, 485, 243–250. [Google Scholar] [CrossRef]
- Meguid, S.A.; Su, Y.; Wang, Y. Complete morphing wing design using flexible-rib system. Int. J. Mech. Mater. Des. 2017, 13, 159–171. [Google Scholar] [CrossRef]
- Kral, L.D. Active flow control technology. ASME Fluids Eng. Tech. Brief 2000, 1–28. [Google Scholar]
- Wood, N.; Nielsen, J. Circulation control airfoils-past, present, future. In Proceedings of the 23rd Aerospace Sciences Meeting, Reno, NV, USA, 14–17 January 1985; p. 204. [Google Scholar]
- Zaccara, M.; Paolillo, G.; Greco, C.S.; Astarita, T.; Cardone, G. Flow control of wingtip vortices through synthetic jets. Exp. Therm. Fluid Sci. 2022, 130, 110489. [Google Scholar] [CrossRef]
- Leschziner, M.A.; Lardeau, S. Simulation of slot and round synthetic jets in the context of boundary-layer separation control. Philos. Trans. R. Soc. A Math. Phys. Eng. Sci. 2011, 369, 1495–1512. [Google Scholar] [CrossRef] [PubMed]
- Zha, G.C.; Paxton, C.D. Novel Flow Control Method for Airfoil Performance Enhancement Using Co-Flow Jet; American Institute of Aeronautics and Astronautics: Reston, VA, USA, 2006; Volume 2006, pp. 293–314. [Google Scholar]
- Zha, G.C.; Carroll, B.F.; Paxton, C.D.; Conley, C.A.; Wells, A. High-performance airfoil using coflow jet flow control. AIAA J. 2007, 45, 2087–2090. [Google Scholar] [CrossRef]
- Zha, G.C.; Gao, W.; Paxton, C.D. Jet effects on coflow jet airfoil performance. AIAA J. 2007, 45, 1222–1231. [Google Scholar] [CrossRef]
- Zha, G.; Gao, W. Analysis of jet effects on co-flow jet airfoil performance with integrated propulsion system. In Proceedings of the 44th AIAA Aerospace Sciences Meeting and Exhibit, Reno, NV, USA, 9–12 January 2006; p. 102. [Google Scholar]
- Zha, G. Fluid Systems That Include a Co-Flow Jet. U.S. Patent EP3476720A1, 1 May 2019. [Google Scholar]
- Wang, Y.; Zha, G. Study of Mach number effect for 2D co-flow jet airfoil at cruise conditions. In Proceedings of the AIAA Aviation 2019 Forum, Dallas, TX, USA, 17–21 June 2019; p. 3169. [Google Scholar]
- Lefebvre, A.; Dano, B.; Bartow, W.B.; Difronzo, M.; Zha, G. Performance and energy expenditure of coflow jet airfoil with variation of mach number. J. Aircr. 2016, 53, 1757–1767. [Google Scholar] [CrossRef]
- Balaji, K.; Wessley, G.J.J. Studies on the enhancement of aerodynamic performance in aerofoils using co-flow jet: A comprehensive review. Aerosp. Syst. 2023, 6, 1–14. [Google Scholar] [CrossRef]
- Zhang, J.; Xu, K.; Yang, Y.; Ren, Y.; Patel, P.; Zha, G. Aircraft control surfaces using co-flow jet active flow control airfoil. In Proceedings of the 2018 Applied Aerodynamics Conference, Atlanta, Georgia, 25–29 June 2018; p. 3067. [Google Scholar]
- Xu, K.; Zha, G. High control authority 3d aircraft control surfaces using co-flow jet. In Proceedings of the AIAA Aviation 2019 Forum, Dallas, TX, USA, 17–21 June 2019; p. 3168. [Google Scholar]
- Xu, K.; Zha, G. Enhancing aircraft control surface effectiveness by co-flow jet flap at low energy expenditure. Aerosp. Sci. Technol. 2023, 133, 108145. [Google Scholar] [CrossRef]
- Ruochen, W.; Xiaoping, M.A.; Zhang, G.; Ying, P.; Wang, X. Numerical investigation of co-flow jet airfoil with parabolic flap. Chin. J. Aeronaut. 2023, 36, 78–95. [Google Scholar]
- Zhao, Y.R.; Xu, H.Y.; Xie, Z.Y. Closed-loop Flow Control Method Based on Deep Reinforcement Learning using a Co-Flow Jet. J. Appl. Fluid Mech. 2024, 17, 816–827. [Google Scholar]
- Julian, J.; Iskandar, W.; Wahyuni, F.; Bunga, N.T. Characterization of the Co-Flow jet effect as one of the flow control devices. J. Asiimetrik J. Ilm. Rekayasa Dan Inov. 2022, 4, 185–192. [Google Scholar] [CrossRef]
- Jiang, H.; Yao, W.; Xu, M. Experimental design for a novel co-flow jet airfoil. Adv. Aerodyn. 2023, 5, 30. [Google Scholar] [CrossRef]
- Zha, G.; Ren, Y.; Fredericks, W.; Whiteside, S. Design and Testing of Deflected Slipstream Airfoil for VTOL Hover Enabled by CoFlow Jet. In Proceedings of the AIAA Aviation Forum and Ascend, Las Vegas, NV, USA, 29 July–2 August 2024; p. 4420. [Google Scholar]
- Xu, J.H.; Li, K.; Song, W.P.; Yang, X.D. Influence of co-flow jet key parameters on airfoil aerodynamic performance at low Reynolds number. Acta Aeronaut. Astronaut. Sin. 2018, 39, 88–102. [Google Scholar]
- Wang, B.; Haddoukessouni, B.; Levy, J.; Zha, G.C. Numerical investigations of injection-slot-size effect on the performance of coflow jet airfoils. J. Aircr. 2008, 45, 2084–2091. [Google Scholar] [CrossRef]
- Zha, G.C.; Paxton, C.D.; Conley, C.A.; Wells, A.; Carroll, B.F. Effect of injection slot size on the performance of coflow jet airfoil. J. Aircr. 2006, 43, 987–995. [Google Scholar] [CrossRef]
- Fu, Z.; Aydogan, F.; Wagner, R.J. Conservative conservation equations: Numerical approach and code-to-code benchmarks. Prog. Nucl. Energy 2015, 81, 169–183. [Google Scholar] [CrossRef]
- Souli, M.; Ouahsine, A.; Lewin, L. ALE formulation for fluid–structure interaction problems. Comput. Methods Appl. Mech. Eng. 2000, 190, 659–675. [Google Scholar] [CrossRef]
- Nagib, H.; Kiedaisch, J.; Rienhard, P.; Demanett, B. Active flow control for high lift airfoils: Separation versus circulation control. In Proceedings of the 45th AIAA Aerospace Sciences Meeting and Exhibit, Reno, NV, USA, 8–11 January 2007; p. 1119. [Google Scholar]
- Yamaguchi, H. Engineering Fluid Mechanics; Springer: New York, NY, USA, 2008; Volume 85. [Google Scholar]
Disclaimer/Publisher’s Note: The statements, opinions and data contained in all publications are solely those of the individual author(s) and contributor(s) and not of MDPI and/or the editor(s). MDPI and/or the editor(s) disclaim responsibility for any injury to people or property resulting from any ideas, methods, instructions or products referred to in the content. |
© 2025 by the authors. Licensee MDPI, Basel, Switzerland. This article is an open access article distributed under the terms and conditions of the Creative Commons Attribution (CC BY) license (https://creativecommons.org/licenses/by/4.0/).