Tropical Glaciation and Glacio-Epochs: Their Tectonic Origin in Paleogeography
Abstract
1. Introduction
- (a)
- Land iceline
- (b)
- Sea iceline
- (c)
- pCO2
- (d)
- Clouds
2. Methodology
2.1. Thermodynamic Closure
2.2. Box Configuration
3. Results
3.1. Radiative Forcing
3.2. Temperature
3.3. Land Iceline
3.4. Sea Iceline
3.5. Deep Time Climate
4. Discussion
5. Conclusions
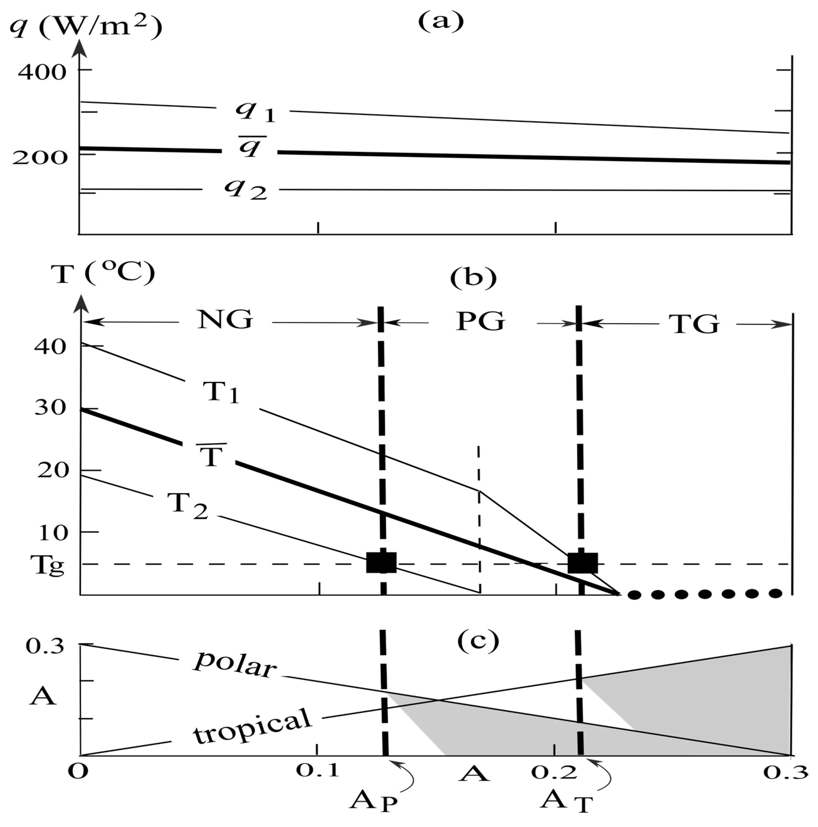
- If seeded by mountain glaciers, the ice sheet would advance on sea level until it is halted by above-freezing summer SAT. Since this glacial marking temperature (GMT) equals the cozonal SST on account of a convective troposphere, the land iceline abuts an open ocean.
- Increasing the tropical land would block the brighter tropical sun to cool the globe and the crossings of the tropical/polar temperatures with the GMT define the thresholds that divide non/polar/tropical-glacial regimes.
- Tropical glaciation is plausible when the landmass is concentrated in the tropics by Precambrian supercontinents characterized by orogenic highlands—despite considerable uncertainty in the model parameters.
- Since tropical glaciation is a forced continuum, there is no need to invoke runaway ice–albedo feedback, which conflicts with the mostly ice-free proterozoic when its trigger threshold is well exceeded by the dimmer sun.
- The ocean heat transport would deter the sea-ice advance, thus thwarting the runaway ice-albedo feedback, which, however, has no import on tropical glaciation—a fundamentally land phenomenon.
- Given the chronology of paleogeography, the model provides a unified account of the faint young Sun paradox, Precambrian tropical glaciations, and Phanerozoic glacio-epochs, in adherence to the uniformitarian principle.
Funding
Data Availability Statement
Acknowledgments
Conflicts of Interest
Appendix A
| Tropical land area | |
| Total land area ( | |
| Threshold for polar glaciation | |
| Threshold for tropical glaciation | |
| Atmospheric absorption ( ([57], their Figure 14.1) | |
| Bo | Bowen ratio ( ([57], their Figure 14.1) |
| Cloud albedo of box-i () | |
| Specific heat of surface air | |
| Drag coefficient ( | |
| Ocean heat transport | |
| Sea ice cover | |
| Solar irradiance of box-i () | |
| SW flux reaching the surface of box-i () | |
| Absorbed SW flux of box-i | |
| Global absorbed SW flux | |
| Convective flux | |
| LW flux at the surface | |
| Land reflectance | |
| Global sensitivity [] | |
| Local sensitivity | |
| Glacial marking temperature ( | |
| SST (same as summer SAT) of box-i | |
| Annual SAT of box-i | |
| Maximum global SST | |
| Surface turbulent wind ( ([58], his Figure 4.7) | |
| Latitudinal distance [ | |
| Air–sea exchange coefficient ( | |
| Air density ( | |
| Atmospheric entropy production | |
| Oceanic entropy production |
References
- Evans, D.A.D. A fundamental Precambrian–Phanerozoic shift in earth’s glacial style? Tectonophys 2003, 375, 353–385. [Google Scholar] [CrossRef]
- Trindade, R.I.F.; Macouin, M. Palaeolatitude of glacial deposits and palaeogeography of neoproterozoic ice ages. Comptes Rendus. Géosci. 2007, 339, 200–211. [Google Scholar] [CrossRef]
- Sohl, L.E.; Christie-Blick, N.; Kent, D.V. Paleomagnetic polarity reversals in Marinoan (ca. 600 Ma) glacial deposits of Aus-tralia: Implications for the duration of low-latitude glaciation in Neoproterozoic time. Geol Soc Am Bull. 1999, 111, 1120–1139. [Google Scholar] [CrossRef]
- Kirschvink, J.L. Late Proterozoic low-latitude global glaciation: The snowball Earth. In The Proterozoic Biosphere: A Multidisciplinary Study; Schopf, J.W., Klein, C., Eds.; Cambridge University Press: Cambridge, UK, 1992; pp. 51–52. [Google Scholar]
- Hoffman, P.F.; Kaufman, A.J.; Halverson, G.P.; Schrag, D.P. A Neoproterozoic snowball earth. Science 1998, 281, 1342–1346. [Google Scholar] [CrossRef] [PubMed]
- Harland, W.B. Origins and assessment of snowball Earth hypotheses. Geol. Mag. 2007, 144, 633–642. [Google Scholar] [CrossRef]
- Kennedy, M.J.; Christie-Blick, N.; Sohl, L.E. Are Proterozoic cap carbonates and isotopic excursions a record of gas hydrate destabilization following Earth’s coldest intervals? Geology 2001, 29, 443–446. [Google Scholar] [CrossRef]
- Fairchild, I.J.; Kennedy, M.J. Neoproterozoic glaciation in the Earth System. J. Geol. Soc. 2007, 164, 895–921. [Google Scholar] [CrossRef]
- Christie-Blick, N.; Sohl, L.E.; Kennedy, M.J. Considering a Neoproterozoic snowball earth. Science 1999, 284, 1087. [Google Scholar] [CrossRef]
- Condon, D.J.; Prave, A.R.; Benn, D.I. Neoproterozoic glacial-rainout intervals: Observations and implications. Geology 2002, 30, 35–38. [Google Scholar] [CrossRef]
- Chumakov, N.M. A problem of total glaciations on the Earth in the Late Precambrian. Stratigr. Geol. Correl. 2008, 16, 107–119. [Google Scholar] [CrossRef]
- Allen, P.A.; Etienne, J.L. Sedimentary challenge to Snowball Earth. Nat. Geosci. 2008, 1, 817–825. [Google Scholar] [CrossRef]
- Budyko, M.I. The effect of solar radiation variations on the climate of the Earth. Tellus 1969, 21, 611–619. [Google Scholar] [CrossRef]
- Ou, H.-W. Northern Hemisphere Glaciation: Its tectonic origin in the Neogene uplift. Glacies 2024, 1, 19–34. [Google Scholar] [CrossRef]
- Ohmura, A. New temperature distribution maps for Greenland. Z. Gletscherkunde Glazialgeol. 1987, 23, 1–45. [Google Scholar]
- Poulsen, C.J. Absence of a Runaway Ice-Albedo Feedback in the Neoproterozoic. Geology 2003, 31, 473–476. [Google Scholar] [CrossRef]
- Hyde, W.T.; Crowley, T.J.; Baum, S.K.; Peltier, W.R. Neoproterozoic ‘snowball Earth’ simulations with a coupled climate/ice-sheet model. Nature 2000, 405, 425–429. [Google Scholar] [CrossRef]
- Abbot, D.S.; Voigt, A.; Koll, D. The Jormungand global climate state and implications for Neoproterozoic glaciations. J. Geophys. Res. Atmos. 2011, 116, D18103. [Google Scholar] [CrossRef]
- Braun, C.; Hörner, J.; Voigt, A.; Pinto, J.G. Ice-free tropical waterbelt for Snowball Earth events questioned by uncertain clouds. Nat. Geosci. 2022, 15, 489–493. [Google Scholar] [CrossRef]
- Hörner, J.; Voigt, A.; Braun, C. Snowball Earth initiation and the thermodynamics of sea ice. J. Adv. Model Earth Syst. 2022, 14, e2021MS002734. [Google Scholar] [CrossRef]
- Lozier, M.S. Deconstructing the conveyer belt. Science 2010, 328, 1507–1511. [Google Scholar] [CrossRef] [PubMed]
- Liu, T.; Ou, H.-W.; Liu, X.; Chen, D. On the role of eddy mixing in the subtropical ocean circulation. Front. Mar. Sci. 2022, 9, 832992. [Google Scholar] [CrossRef]
- Pierrehumbert, R.T.; Abbot, D.S.; Voigt, A.; Koll, D. Climate of the Neoproterozoic. Annu. Rev. Earth Planet Sci. 2011, 39, 417–460. [Google Scholar] [CrossRef]
- Crowley, T.J.; North, G.R. Paleoclimatology; Oxford University Press: Oxford, UK, 1991; p. 339. [Google Scholar]
- Boucot, A.J.; Gray, J. A critique of Phanerozoic climatic models involving changes in the CO2 content of the atmosphere. Earth Sci. Rev. 2001, 56, 1–59. [Google Scholar] [CrossRef]
- Baum, M.; Fu, M.M.; Bourguet, S. Sensitive dependence of global climate to continental geometry. Geophys. Res. Lett. 2022, 49, e2022GL098843. [Google Scholar] [CrossRef]
- Donnadieu, Y.; Godderis, Y.; Ramstein, G.; Nedelec, A.; Meert, J. A ‘snowball Earth’ climate triggered by continental break-up through changes in runoff. Nature 2004, 428, 303–306. [Google Scholar] [CrossRef] [PubMed]
- Young, G.M. Climatic catastrophes in Earth history: Two great Proterozoic glacial episodes. Geol. J. 2013, 48, 1–21. [Google Scholar] [CrossRef]
- Berner, R.A.; Caldeira, K. The need for mass balance and feedback in the geochemical carbon cycle. Geology 1997, 25, 955–956. [Google Scholar] [CrossRef]
- Goddéris, Y.; Donnadieu, Y. A sink-or a source-driven carbon cycle at the geological timescale? Relative importance of palaeogeography versus solid Earth degassing rate in the Phanerozoic climatic evolution. Geol. Mag. 2019, 156, 355–365. [Google Scholar] [CrossRef]
- Pierrehumbert, R.T. High levels of atmospheric carbon dioxide necessary for the termination of global glaciation. Nature 2004, 429, 646–649. [Google Scholar] [CrossRef]
- Sheldon, N.D.; Mitchell, R.L.; Dzombak, R.M. Reconstructing Precambrian pCO2 and pO2 Using Paleosols; Cambridge University Press: Cambridge, UK, 2021. [Google Scholar] [CrossRef]
- Feulner, G. The faint young Sun problem. Rev. Geophys. 2012, 50, RG2006. [Google Scholar] [CrossRef]
- Charnay, B.; Wolf, E.T.; Marty, B.; Forget, F. Is the faint young Sun problem for Earth solved? Space Sci. Rev. 2020, 216, 1–29. [Google Scholar] [CrossRef]
- Kasting, J.F. Earth’s early atmosphere. Science 1993, 259, 920–926. [Google Scholar] [CrossRef]
- Goldblatt, C.; Zahnle, K.J. Clouds and the faint young Sun paradox. Clim. Past 2001, 7, 203–220. [Google Scholar] [CrossRef]
- Ou, H.-W. Possible bounds on the earth’s surface temperature: From the perspective of a conceptual global-mean model. J. Clim. 2001, 14, 2976–2988. [Google Scholar] [CrossRef]
- Ou, H.-W. Meridional thermal field of a coupled ocean-atmosphere system: A conceptual model. Tellus 2006, 58, 404–415. [Google Scholar] [CrossRef]
- Ou, H.-W. Hemispheric symmetry of planetary albedo: A corollary of nonequilibrium thermodynamics. Atmosphere 2023, 14, 1243. [Google Scholar] [CrossRef]
- Goddéris, Y.; Ramstein, G.; Le Hir, G. The Precambrian Climate. Paleoclimatology 2021, 2021, 343–358. [Google Scholar] [CrossRef]
- Eyles, N. Glacio-epochs and the supercontinent cycle after∼ 3.0 Ga: Tectonic boundary conditions for glaciation. Palaeogeogr. Palaeoclim. Palaeoecol. 2008, 258, 89–129. [Google Scholar] [CrossRef]
- Barron, E.J.; Sloan, I.I.J.L.; Harrison, C.G. Potential significance of land-sea distribution and surface albedo variations as a climatic forcing factor: 180 m.y. to the present. Palaeogeogr. Palaeoclim. Palaeoecol. 1980, 30, 17–40. [Google Scholar] [CrossRef]
- Dewar, R.C. Maximum entropy production and the fluctuation theorem. J. Phys. A Math. Gen. 2005, 38, L371–L381. [Google Scholar] [CrossRef]
- Kleidon, A. Non-equilibrium thermodynamics and maximum entropy production in the Earth system: Applications and implications. Naturwissenschaften 2009, 96, 1–25. [Google Scholar] [CrossRef] [PubMed]
- Ozawa, H.; Ohmura, A.; Lorenz, R.D.; Pujol, T. The second law of thermodynamics and the global climate system: A review of the maximum entropy production principle. Rev. Geophys. 2003, 41, 10182003. [Google Scholar] [CrossRef]
- Evans, D.J.; Searle, D.J. The fluctuation theorem. Adv. Phys. 2002, 51, 1529. [Google Scholar] [CrossRef]
- Ou, H.-W. Thermohaline circulation: A missing equation and its climate change implications. Clim. Dyn. 2018, 50, 641–653. [Google Scholar] [CrossRef]
- Wang, G.M.; Sevick, E.M.; Mittag, E.; Searles, D.J.; Evans, D.J. Experimental demonstration of violations of the Second Law of Thermodynamics for small systems and short time scales. Phys. Rev. Lett. 2002, 89, 050601/1–050601/4. [Google Scholar] [CrossRef] [PubMed]
- Hogg, A.M.; Gayen, B. Ocean gyres driven by surface buoyancy forcing. Geophys. Res. Lett. 2020, 47, e2020GL088539. [Google Scholar] [CrossRef]
- Colin de Verdière, A. Buoyancy driven planetary flows. J. Mar. Res. 1988, 46, 215–265. [Google Scholar] [CrossRef]
- Paltridge, G. Global dynamics and climate-a system of minimum entropy exchange. Q. J. R. Meteorol. Soc. 1975, 101, 475–484. [Google Scholar] [CrossRef]
- Ou, H.-W. A theory of orbital-forced glacial cycles: Resolving Pleistocene puzzles. J. Mar. Sci. Eng. 2023, 11, 564. [Google Scholar] [CrossRef]
- Lucarini, V.; Fraedrich, K.; Ragone, F. New results on the thermodynamic properties of the climate system. J. Atmos. Sci. 2011, 68, 2438–2458. [Google Scholar] [CrossRef]
- Stephens, G.L.; O’Brien, D.; Webster, P.J.; Pilewski, P.; Kato, S.; Li, J.L. The albedo of Earth. Rev. Geophys. 2015, 53, 141–163. [Google Scholar] [CrossRef]
- Donohoe, A.; Battisti, D.S. Atmospheric and surface contributions to planetary albedo. J. Clim. 2011, 24, 4402–4418. [Google Scholar] [CrossRef]
- Milankovitch, M. Canon of Insolation and The Ice-Age Problem. K. Serbische Akad. Beogr. Spec. Publ. 1941, 132, 166–188. [Google Scholar]
- Peixoto, J.P.; Oort, A.H. Physics of Climate; American Institute of Physics: New York, NY, USA, 1992. [Google Scholar]
- Hartmann, D.L. Global Physical Climatology; Academic Press: New York, NY, USA, 2015; p. 411. [Google Scholar]
- Meehl, G.A.; Senior, C.A.; Eyring, V.; Flato, G.; Lamarque, J.F.; Stouffer, R.J.; Taylor, K.E.; Schlund, M. Context for interpreting equilibrium climate sensitivity and transient climate response from the CMIP6 Earth system models. Sci. Adv. 2020, 6, eaba1981. [Google Scholar] [CrossRef]
- Scotese, C.R.; Song, H.; Mills, B.J.; van der Meer, D.G. Phanerozoic paleotemperatures: The earth’s changing climate during the last 540 million years. Earth Sci. Rev. 2021, 215, 103503. [Google Scholar] [CrossRef]
- Ou, H.-W. Two-Step Glaciation of Antarctica: Its Tectonic Origin in Seaway Opening and West Antarctica Uplift. Glacies 2024, 1, 80–91. [Google Scholar] [CrossRef]
- Kucera, M.; Weinelt, M.; Kiefer, T.; Pflaumann, U.; Hayes, A.; Weinelt, M.; Chen, M.T.; Mix, A.C.; Barrows, T.T.; Cortijo, E.; et al. Reconstruction of sea-surface temperatures from assemblages of planktonic foraminifera: Multi-technique approach based on geographically constrained calibration data sets and its application to glacial Atlantic and Pacific Oceans. Quat. Sci. Rev. 2005, 24, 951–998. [Google Scholar] [CrossRef]
- Tang, M.; Chu, X.; Hao, J.; Shen, B. Orogenic quiescence in Earth’s middle age. Science 2021, 371, 728–731. [Google Scholar] [CrossRef]
- Evans, D.; Raub, T. Neoproterozoic glacial palaeolatitudes: A global update. Geol. Soc. Lond. Mem. 2011, 36, 93–112. [Google Scholar] [CrossRef]
- Crowley, T.J.; Baum, S.K. Effect of decreased solar luminosity on late Precambrian ice extent. J. Geophys. Res. 1993, 98, 16723–16732. [Google Scholar] [CrossRef]
- Hoffman, P.F.; Abbot, D.S.; Ashkenazy, Y.; Benn, D.I.; Brocks, J.J.; Cohen, P.A.; Cox, G.M.; Creveling, J.R.; Donnadieu, Y.; Erwin, D.H.; et al. Snowball Earth climate dynamics and Cryogenian geology–geobiology. Sci. Adv. 2017, 3, e1600983. [Google Scholar] [CrossRef] [PubMed]
- Zhou, C.M.; Huyskens, M.H.; Lang, X.G.; Xiao, S.H.; Yin, Q.Z. Calibrating the terminations of Cryogenian global glaciations. Geology 2019, 47, 251–254. [Google Scholar] [CrossRef]
- Eyles, N.; Januszczak, N. ‘Zipper-rift’: A tectonic model for Neoproterozoic glaciations during the breakup of Rodinia after 750 Ma. Earth Sci. Rev. 2004, 65, 1–73. [Google Scholar] [CrossRef]
- Williams, D.M.; Kasting, J.F.; Frakes, L.A. Low-latitude glaciation and rapid changes in the Earth’s obliquity explained by obliquity–oblateness feedback. Nature 1998, 396, 453–455. [Google Scholar] [CrossRef]
- de Vernal, A.; Eynaud, F.; Henry, M.; Hillaire-Marcel, C.; Londeix, L.; Mangin, S.; Matthiessen, J.; Mar-ret, F.; Radi, T.; Rochon, A.; et al. Reconstruction of sea surface conditions at middle to high latitudes of the Northern Hemisphere during the Last Glacial Maximum (LGM) based on dinoflagellate cyst assemblages. Quat. Sci. Rev. 2005, 24, 897–924. [Google Scholar] [CrossRef]
- Poulsen, C.J.; Pierrehumbert, R.T.; Jacob, R.L. Impact of ocean dynamics on the simulation of the Neoproterozoic “snowball Earth”. Geophys. Res. Lett. 2001, 28, 1575–1578. [Google Scholar] [CrossRef]
- Li, Z.X.; Evans, D.A.D.; Halverson, G.P. Neoproterozoic glaciations in a revised global palaeogeography from the breakup of Rodinia to the assembly of Gondwanaland. Sediment Geol. 2013, 294, 219–232. [Google Scholar] [CrossRef]
- Nance, R.D.; Murphy, J.B.; Santosh, M. The supercontinent cycle: A retrospective essay. Gondwana Res. 2014, 25, 4–29. [Google Scholar] [CrossRef]
- Stern, R.J.; Miller, N.R. Neoproterozoic Glaciation—Snowball Earth Hypothesis. In Encyclopedia of Geology, 2nd ed.; Elsevier: Amsterdam, The Netherlands, 2001; pp. 546–556. [Google Scholar] [CrossRef]
- Murphy, J.B.; Strachan, R.A.; Quesada, C. Pannotia to Pangaea: Neoproterozoic and Paleozoic Orogenic Cycles in the Circum-Atlantic Region: A Celebration of the Career of Damian Nance; Murphy, J.B., Strachan, R.A., Quesada, C., Eds.; Special Publications 503; Geological Society: London, UK, 2021; Volume 1. [Google Scholar] [CrossRef]
- Hearing, T.W.; Harvey, T.H.; Williams, M.; Leng, M.J.; Lamb, A.L.; Wilby, P.R.; Gabbott, S.E.; Pohl, A.; Donnadieu, Y. An early Cambrian greenhouse climate. Sci. Adv. 2018, 5, eaar5690. [Google Scholar] [CrossRef] [PubMed]
- Scotese, C.R.; McKerrow, W.S. Ordovician Plate Tectonic Reconstructions; Geological Survey of Canada Paper 90-9; Geological Survey of Canada: Ottawa, ON, Canada, 1991; pp. 271–282. [Google Scholar] [CrossRef]
- Marcilly, C.M.; Maffre, P.; Le Hir, G.; Pohl, A.; Fluteau, F.; Goddéris, Y.; Donnadieu, Y.; Heimdal, T.H.; Torsvik, T.H. Understanding the early Paleozoic carbon cycle balance and climate change from modelling. Earth Planet Sci. Lett. 2022, 594, 117717. [Google Scholar] [CrossRef]
- Evans, D.A. Stratigraphic, geochronological, and paleomagnetic constraints upon the Neoproterozoic climatic paradox. Am. J. Sci. 2000, 300, 347–433. [Google Scholar] [CrossRef]
- Etienne, J.L.; Allen, P.A.; Rieu, R.; Le Guerroué, E. Neoproterozoic glaciated basins: A critical review of the Snowball Earth hypothesis by comparison with Phanerozoic glaciations. In Glacial Sedimentary Processes and Products; Hambrey, M.J., Christoffersen, P., Glasser, N.F., Hubbard, B., Eds.; Wiley: Hoboken, NJ, USA, 2007; pp. 343–399. [Google Scholar] [CrossRef]
- Zhu, R.; Zhao, P.; Zhao, L. Tectonic evolution and geodynamics of the Neo-Tethys Ocean. Sci. China Earth Sci. 2022, 65, 1–24. [Google Scholar] [CrossRef]
- Barron, E.J.; Peterson, W.H.; Pollard, D.; Thompson, S. Past climate and the role of ocean heat transport: Model simulations for the Cretaceous. Paleoceanography 1993, 8, 785–798. [Google Scholar] [CrossRef]
- Fischer, A.G. Long-term climate oscillations recorded in stratigraphy. In Climate in Earth History; National Academies Press: Washington, DC, USA, 1982; pp. 97–104. [Google Scholar]
- Rahmstorf, S.; Crucifix, M.; Ganopolski, A.; Goosse, M.; Kamenkovich, I.; Knutti, R.; Lohmann, G.; Marsh, R.; Mysak, L.A.; Wang, Z.; et al. Thermohaline circulation hysteresis: A model intercomparison. Geophys. Res. Lett. 2005, 32, L23605. [Google Scholar] [CrossRef]
- Dalan, F.; Stone, P.H.; Kamenkovich, I.V.; Scott, J.R. Sensitivity of the ocean’s climate to diapycnal diffusivity in an EMIC. Part I: Equilibrium state. J. Clim. 2005, 18, 2460–2481. [Google Scholar] [CrossRef]
- Ferrari, R.; Ferreira, D. What processes drive the ocean heat transport? Ocean. Model 2011, 38, 171–186. [Google Scholar] [CrossRef]
- Kunz, T.; Fraedrich, K.; Kirk, E. Optimisation of simplified GCMs using circulation indices and maximum entropy production. Clim. Dyn. 2008, 30, 803–813. [Google Scholar] [CrossRef]
- Voigt, A.; Abbot, D.S.; Pierrehumbert, R.T.; Marotzke, J. Initiation of a Marinoan Snowball Earth in a state-of-the-art atmosphere-ocean general circulation model. Clim. Past 2011, 7, 249–263. [Google Scholar] [CrossRef]
- Yang, J.; Peltier, W.; Hu, Y. The initiation of modern “soft Snowball” and “hard Snowball” climates in CCSM3. Part I: The influence of solar luminosity, CO2 concentration and the sea-ice/snow albedo parameterization. J. Clim. 2012, 25, 2711–2736. [Google Scholar] [CrossRef]
- Abbot, D.S.; Voigt, A.; Branson, M.; Pierrehumbert, R.T.; Pollard, D.; Le Hir, G.; Koll, D.D.B. Clouds and Snowball Earth deglaciation. Geophys. Res. Lett. 2012, 39, L20711. [Google Scholar] [CrossRef]
- Yan, M.; Yang, J. Fine cloud structures on a hard snowball Earth. J. Geophys. Res. Atmos. 2024, 129, e2023JD040688. [Google Scholar] [CrossRef]




Disclaimer/Publisher’s Note: The statements, opinions and data contained in all publications are solely those of the individual author(s) and contributor(s) and not of MDPI and/or the editor(s). MDPI and/or the editor(s) disclaim responsibility for any injury to people or property resulting from any ideas, methods, instructions or products referred to in the content. |
© 2025 by the author. Licensee MDPI, Basel, Switzerland. This article is an open access article distributed under the terms and conditions of the Creative Commons Attribution (CC BY) license (https://creativecommons.org/licenses/by/4.0/).
Share and Cite
Ou, H.-W. Tropical Glaciation and Glacio-Epochs: Their Tectonic Origin in Paleogeography. Climate 2025, 13, 9. https://doi.org/10.3390/cli13010009
Ou H-W. Tropical Glaciation and Glacio-Epochs: Their Tectonic Origin in Paleogeography. Climate. 2025; 13(1):9. https://doi.org/10.3390/cli13010009
Chicago/Turabian StyleOu, Hsien-Wang. 2025. "Tropical Glaciation and Glacio-Epochs: Their Tectonic Origin in Paleogeography" Climate 13, no. 1: 9. https://doi.org/10.3390/cli13010009
APA StyleOu, H.-W. (2025). Tropical Glaciation and Glacio-Epochs: Their Tectonic Origin in Paleogeography. Climate, 13(1), 9. https://doi.org/10.3390/cli13010009

