Functional Analysis of Organic Acids on Different Oilseed Rape Species in Phytoremediation of Cadmium Pollution
Abstract
1. Introduction
2. Materials and Methods
2.1. Soil, Plant and Organic Acids
2.2. Experiment Design
2.3. Sample Collection
2.4. Soil Physicochemical Analysis
2.5. Translocation Factor
2.6. Determination of Biochemical Parameters
2.7. Statistical Analysis
3. Results
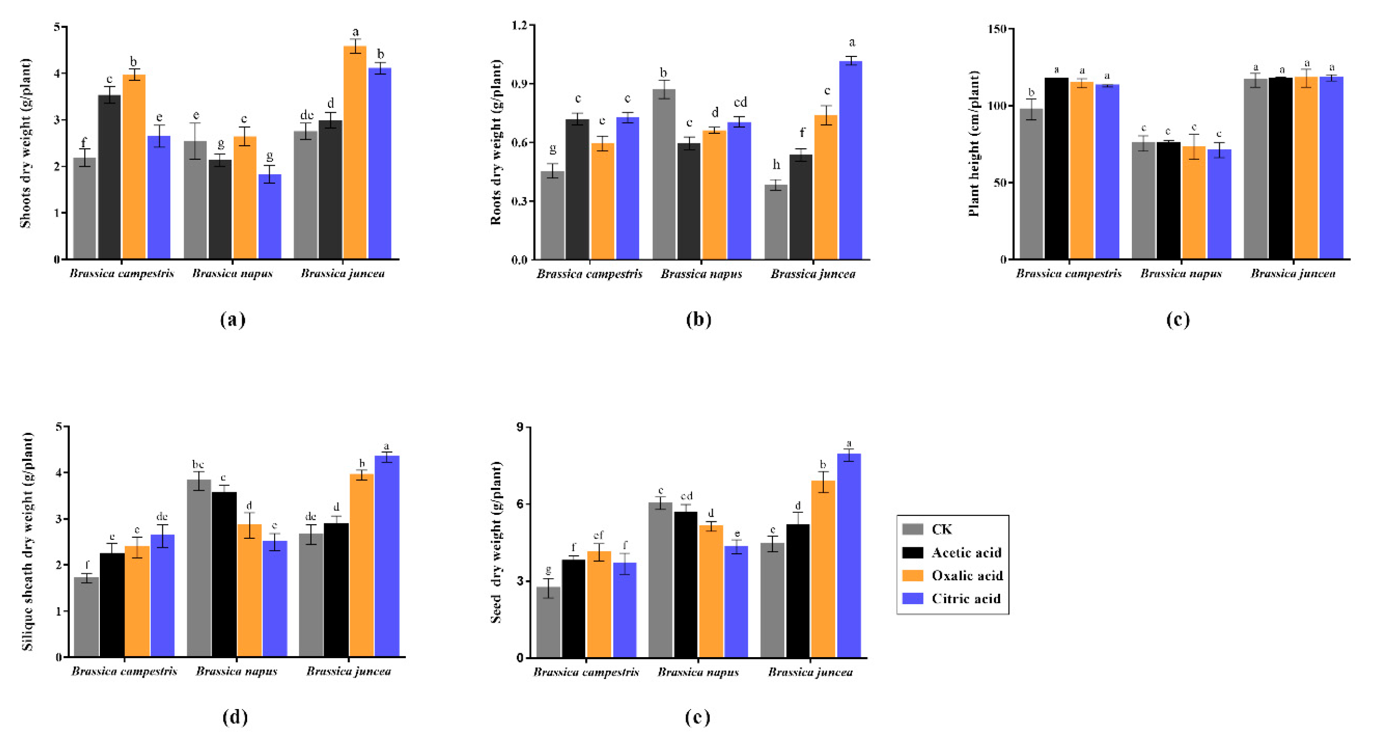
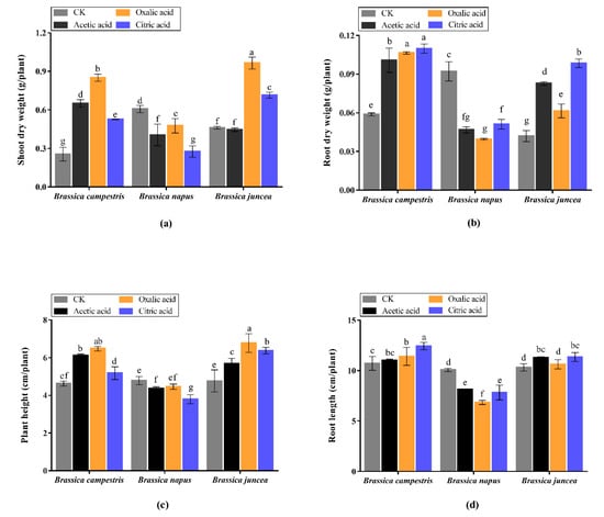
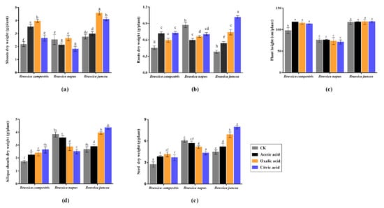
3.1. Effect of Cadmium Combined with Organic Acids on the Growth of Rapeseed
3.2. Effects of Cadmium Combined with Organic Acids on Plant Antioxidant System and Chlorophyll Content
3.3. Effects of Organic Acids on the Cadmium Accumulation
4. Discussion
4.1. Effect of Organic Acids and Cadmium on the Growth of Rapeseed
4.2. Effects of Organic Acids and Cadmium on Antioxidant System in Rapeseed
4.3. Effect of Organic Acids on the Absorption of Cadmium by Rapeseed
5. Conclusions
Author Contributions
Funding
Acknowledgments
Conflicts of Interest
References
- Lapworth, D.J.; Baran, N.; Stuart, M.E.; Ward, R.S. Emerging organic contaminants in groundwater: A review of sources, fate and occurrence. Environ. Pollut. 2012, 163, 287–303. [Google Scholar] [CrossRef]
- Chen, N.C.; Zheng, Y.J.; He, X.F.; Li, X.F.; Zhang, X.X. Analysis of the Report on the national general survey of soil contamination. J. Agro-Environ. Sci. 2017, 52, 36–62. [Google Scholar]
- Li, J.T.; Baker, A.J.M.; Ye, Z.H.; Wang, H.B.; Shu, W.S. Phytoextraction of Cd–Contaminated Soils: Current Status and Future Challenges. Crit. Rev. Environ. Sci. Technol. 2012, 42, 2113–2152. [Google Scholar] [CrossRef] [PubMed]
- Wang, S.L.; Xu, X.R.; Sun, Y.X.; Liu, J.L.; Li, H.B. Heavy metal pollution in coastal areas of South China: A review. Mar. Pollut. Bull. 2013, 76, 7–15. [Google Scholar] [CrossRef] [PubMed]
- Misaelides, P. Application of natural zeolites in environmental remediation: A short review. Micropor. Mesopor. Mat. 2011, 144, 15–18. [Google Scholar] [CrossRef]
- Gill, R.A.; Zang, L.L.; Ali, B.; Farooq, M.A.; Cui, P.; Yang, S.; Ali, S.; Zhou, W.J. Chromium–induced physio–chemical and ultrastructural changes in four cultivars of Brassica napus L. Chemosphere 2015, 120, 154–164. [Google Scholar] [CrossRef] [PubMed]
- Zhang, J.P.; Zhang, X.F. Primary Exploration on the Harm of Cadmium Pollution to Human Body. Value Eng. 2013, 5, 41–45. [Google Scholar]
- Zhao, Q.L.; Zhang, N.D.; Lu, W.R. Research review and prospect on soil heavy metals pollution II—research focus and analysis based on three major disciplines. Environ. Sci. Technol. 2010, 33, 102–107. [Google Scholar]
- Mudgal, V.; Madaan, N.; Mudgal, A. Heavy metals in plants: Phytoremediation: Plants used to remediate heavy metal pollution. Biol. J. N. Am. 2010, 3, 40–46. [Google Scholar]
- Qiu, Q.; Wang, Y.T.; Yang, Z.Y.; Xin, J.L.; Yuan, J.G.; Wang, J.B.; Xin, G.R. Responses of Different Chinese Flowering Cabbage (Brassica parachinensis L.) Cultivars to Cadmium and Lead Stress: Screening for Cd + Pb Pollution–Safe Cultivars. Acta Hydrochim. Hydrobiol. 2011, 39, 925–932. [Google Scholar]
- Kou, P.L.; Xing, Y.; Gielen, G.; Bolan, N.; Yong, S.O.; Niazi, N.K.; Song, X.; Guo, D.Y.; Chen, X.; Zhang, X.K. Effect of bamboo and rice straw biochars on the mobility and redistribution of heavy metals (Cd, Cu, Pb and Zn) in contaminated soil. J. Environ. Manag. 2017, 186, 285–292. [Google Scholar]
- Jun, L.X.; Bai, F.H. Subcellular distribution and chemical forms of cadmium in two hot pepper cultivars differing in cadmium accumulation. J. Agric. Food Chem. 2014, 62, 508–515. [Google Scholar]
- Brooks, R.R.; Lee, J.; Reeves, R.D.; Jaffre, T. Detection of nickeliferous rocks by analysis of herbarium specimens of indicator plants. J. Geochem. Explor. 1977, 7, 49–57. [Google Scholar] [CrossRef]
- Kumar, P.B.; Dushenkov, V.; Motto, H.; Raskin, I. Phytoextraction: The use of plants to remove heavy metals from soils. Environ. Sci. Technol. 1995, 29, 1232–1238. [Google Scholar] [CrossRef]
- Fei, W.X.; Rong, S.B.; Chu, M.G. Advances in Phytoremediation of Soil Polluted by Heavy Metals Such as Cadmium by Oilseed Rape Planting. J. Anhui Agric. Sci. 2018, 6, 12–20. [Google Scholar]
- Zhang, X.D.; Zhao, K.X.; Yang, Z.M. Identification of genomic ATP binding cassette (ABC) transporter genes and Cd–responsive ABCs in Brassica napus. Gene 2018, 664, 139–151. [Google Scholar] [CrossRef]
- Li, Y.R. Effects of Organic Acid and EDTA on the Physiological and Biochemical Characteristics of Rice in Cadmium–contaminated Soil. J. Anhui Agric. Sci. 2010, 34, 52–60. [Google Scholar] [CrossRef]
- Zhang, R.Q.; Huang, Q.Q.; Yan, T.Y.; Yang, J.F.; Li, M. Effects of intercropping mulch on the content and composition of soil dissolved organic matter in apple orchard on the loess plateau. J. Environ. Manag. 2019, 250, 52–60. [Google Scholar] [CrossRef]
- Jacobson, B.E.; Lockitch, G. Direct determination of selenium in serum by graphite–furnace atomic absorption spectrometry with deuterium background correction and a reduced palladium modifier: Age–specific reference ranges. Clin. Chem. 2019, 12, 4–11. [Google Scholar] [CrossRef]
- Conklin, A.R. Introduction to soil chemistry: Analysis and instrumentation. Soil Sci. Soc. Am. J. 2014, 78, 1823–1828. [Google Scholar]
- Taghadomi, S.; Masoumi, A.A.; Sadeghi, M.; Zekri, M. Integration of wavelet network and image processing for determination of total pigments in bitter orange (Citrus aurantium L.) peel during ripening. J. Food Process Eng. 2019, 42, 13121–13128. [Google Scholar] [CrossRef]
- Dai, J.H.; Han, C. A Comparative Study on Two–way ANOVA. Stat. Decis. 2018, 56, 54–62. [Google Scholar]
- Guan, D.L.; Ding, R.R.; Hu, X.Y.; Yang, X.R.; Xu, S.Q.; Gu, W.; Zhang, M. Cadmium–induced genome–wide DNA methylation changes in growth and oxidative metabolism in Drosophila melanogaster. BMC Genom. 2019, 20, 356. [Google Scholar] [CrossRef]
- Blenda, M.E.; Jaqueline, C.; Rafael, M.S.; José, S. Accumulation of arsenic, lead, copper, and zinc, and synthesis of phytochelatins by indigenous plants of a mining impacted area. Environ. Sci. Pollut. Res. 2013, 20, 3946–3955. [Google Scholar]
- Chu, J.J.; Zhu, F.; Chen, X.Y.; Liang, H.Z.; Wang, R.J. Effects of cadmium on photosynthesis of Schima superba young plant detected by chlorophyll fluorescence. Environ. Sci. Pollut. Res. 2018, 96, 251–260. [Google Scholar] [CrossRef]
- Anwarzeb, K.; Sardar, K.; Muhammad, A.K.; Zahir, Q.; Muhammad, W. The uptake and bioaccumulation of heavy metals by food plants, their effects on plants nutrients, and associated health risk: A review. Environ. Sci. Pollut. Res. 2015, 22, 13772–13799. [Google Scholar]
- Mohamed, A.A.; Castagna, A.; Ranieri, A.; Toppi, L.S.D. Cadmium tolerance in Brassica juncea roots and shoots is affected by antioxidant status and phytochelatin biosynthesis. Plant Physiol. Biochem. 2012, 57, 15–22. [Google Scholar] [CrossRef] [PubMed]
- Liu, G.H.; Ren, J.; Gang, H.U.; Qin, S.; Fan, C.W. Effects of Low Molecular Organic Acids on the Removing of Pb, Cd in Calcareous Soils. Hubei Agric. Sci. 2018, 56, 45–53. [Google Scholar]
- Liu, W.T.; Zhou, Q.X.; Zhang, Z.N.; Tao, H.; Zhang, C. Evaluation of cadmium phytoremediation potential in Chinese cabbage cultivars. J. Agric. Food Chem. 2011, 59, 8324–8330. [Google Scholar] [CrossRef] [PubMed]
- Liu, W.T.; Zhou, Q.X.; Zhang, Y.L.; Shu, H.W. Lead accumulation in different Chinese cabbage cultivars and screening for pollution–safe cultivars. J. Environ. Manag. 2010, 91, 781–788. [Google Scholar] [CrossRef]
- Dias, M.C.; Monteiro, C.; Moutinho, J.; Correia, C.; Conceio, S. Cadmium toxicity affects photosynthesis and plant growth at different levels. Acta Physiol. Plant. 2012, 35, 1281–1289. [Google Scholar] [CrossRef]
- Kurtyka, R.; Burdach, Z.; Siemieniuk, A.; Karcz, W. Single and combined effects of Cd and Pb on the growth, medium pH, membrane potential and metal contents in maize (Zea mays L.) coleoptile segments. Ecotoxicol. Environ. Saf. 2018, 161, 8–16. [Google Scholar] [CrossRef]
- Aditi, S.B.; Gagan, P.S.S.; Vinod, K.; Renu, B. Mitigating Cadmium Toxicity in Plants by Phytohormones. Cadmium Toxic. Tolerance Plants 2019, 34, 375–396. [Google Scholar]
- Pereira, A.S.; Dorneles, A.O.S.; Bernardy, K.; Sasso, V.M.; Bernardy, D.; Possebom, G.; Rossato, L.V.; Dressler, V.L.; Tabaldi, L.A. Selenium and silicon reduce cadmium uptake and mitigate cadmium toxicity in Pfaffia glomerata (Spreng.) Pedersen plants by activation antioxidant enzyme system. Environ. Sci. Pollut. Res. 2018, 56, 125–132. [Google Scholar] [CrossRef] [PubMed]
- Santos, L.R.; Batista, B.L.; Lobato, A.K.S. Brassinosteroids mitigate cadmium toxicity in cowpea plants. Photosynthetica 2018, 123, 123–131. [Google Scholar] [CrossRef]
- Agrawal, S.B.; Mishra, S. Effects of supplemental ultraviolet–B and cadmium on growth, antioxidants and yield of Pisum sativum L. Ecotoxicol. Environ. Saf. 2009, 72, 610–618. [Google Scholar] [CrossRef]
- Chen, J.R.; Shafi, M.; Wang, Y.; Wu, J.S.; Ye, Z.Q.; Liu, C.; Zhong, B.; Guo, L.Z.; He, L.Z.; Liu, D. Organic acid compounds in root exudation of Moso Bamboo ( Phyllostachys pubescens ) and its bioactivity as affected by heavy metals. Environ. Sci. Pollut. Res. Int. 2016, 23, 20977–20984. [Google Scholar] [CrossRef]
- Zhao, X.Q.; Wang, M.; Tang, H.; Huang, D.; Sun, J. Study on the Remediation of Cd Pollution by the Biomineralization of Urease–Producing Bacteria. Int. J. Environ. Res. Public Health 2019, 457, 268. [Google Scholar] [CrossRef]
- Wang, R.B.; Ye, Z.X.; Jin, X.G.; Li, H.J.; Sun, H.L.; Chang, G.H. Advances in Research on Soil Pollution Phytoremediation. J. Green Sci. Technol. 2019, 82, 567–579. [Google Scholar]
- Wu, L.P.; Bai, W.Y.; Wen, K.J.; Li, K.; Wei, S. Heavy metals dissolution characteristics in incineration slag by leaching with simulated root system organic acids. Chin. J. Environ. Eng. 2018, 12, 2220–2230. [Google Scholar]







| Ph | Organic Matter (G/Kg) | Total Nitrogen (G/Kg) | Total Phosphorous (G/Kg) | Total Potassium (G/Kg) | Cd (Mg/Kg) |
|---|---|---|---|---|---|
| 6.9 ± 0.20 | 308.59 ± 17.35 | 11.20 ± 0.26 | 2.46 ± 0.31 | 13.11 ± 0.56 | 3.45 ± 0.17 |
© 2020 by the authors. Licensee MDPI, Basel, Switzerland. This article is an open access article distributed under the terms and conditions of the Creative Commons Attribution (CC BY) license (http://creativecommons.org/licenses/by/4.0/).
Share and Cite
Li, S.; Le, S.; Wang, X.; Bai, J.; Wang, R.; Zhao, Y. Functional Analysis of Organic Acids on Different Oilseed Rape Species in Phytoremediation of Cadmium Pollution. Plants 2020, 9, 884. https://doi.org/10.3390/plants9070884
Li S, Le S, Wang X, Bai J, Wang R, Zhao Y. Functional Analysis of Organic Acids on Different Oilseed Rape Species in Phytoremediation of Cadmium Pollution. Plants. 2020; 9(7):884. https://doi.org/10.3390/plants9070884
Chicago/Turabian StyleLi, Shi, Sixiu Le, Xin Wang, Jiuyuan Bai, Rui Wang, and Yun Zhao. 2020. "Functional Analysis of Organic Acids on Different Oilseed Rape Species in Phytoremediation of Cadmium Pollution" Plants 9, no. 7: 884. https://doi.org/10.3390/plants9070884
APA StyleLi, S., Le, S., Wang, X., Bai, J., Wang, R., & Zhao, Y. (2020). Functional Analysis of Organic Acids on Different Oilseed Rape Species in Phytoremediation of Cadmium Pollution. Plants, 9(7), 884. https://doi.org/10.3390/plants9070884

