Nitrogen Fertilization Coupled with Zinc Foliar Applications Modulate the Production, Quality, and Stress Response of Sideritis cypria Plants Grown Hydroponically Under Excess Copper Concentrations
Abstract
1. Introduction
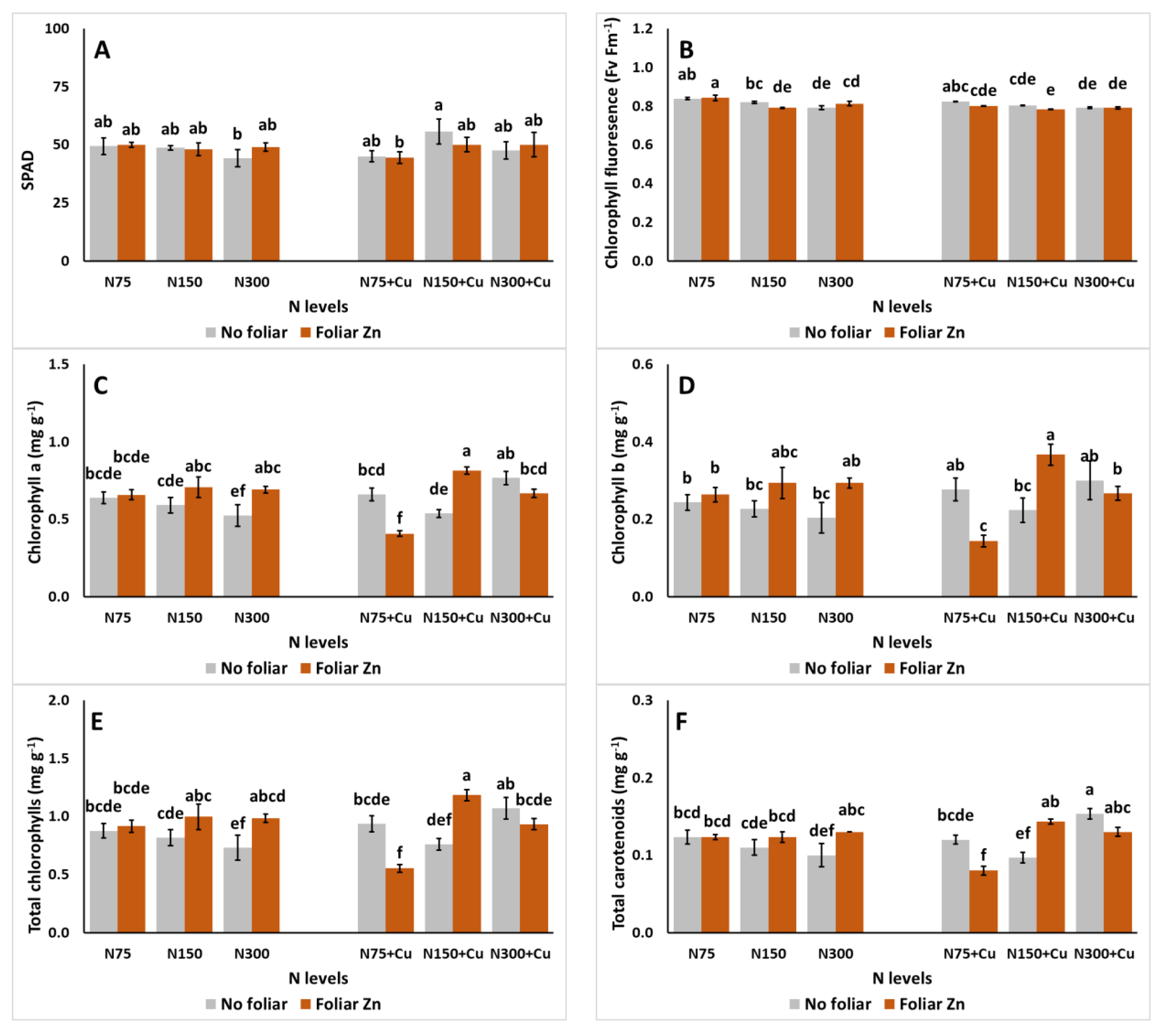
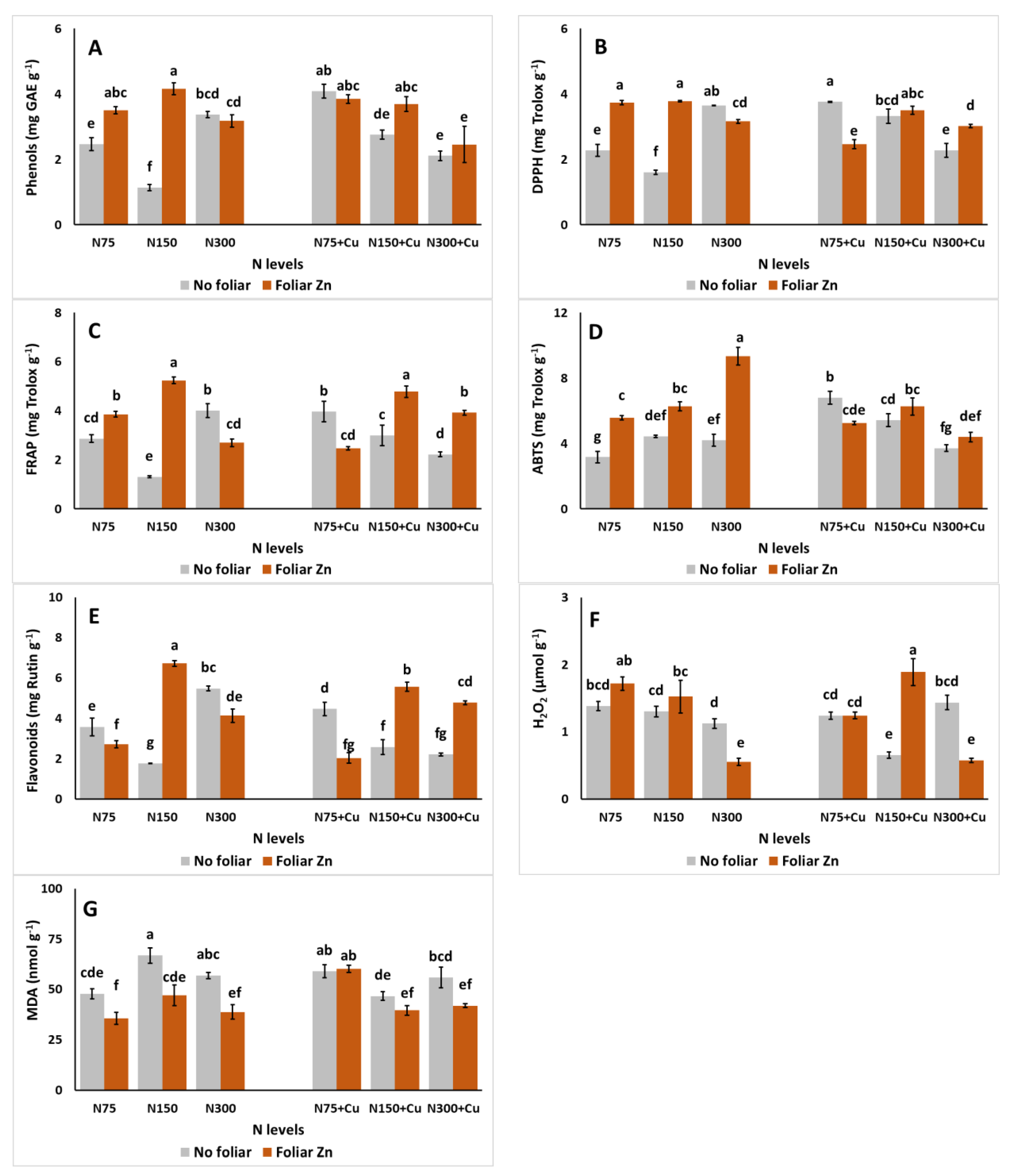
2. Results
3. Discussion
4. Materials and Methods
4.1. Plant Materials and Experimental Site
4.2. Agronomic Parameters
4.3. Leaf Phytochemistry Features
4.4. Plant-Tissue Ion Concentration Analysis
4.5. Total Phenols, Total Flavonoids, Antioxidants, and Stress Indicators
4.6. Statistical Methods
5. Conclusions
Supplementary Materials
Author Contributions
Funding
Data Availability Statement
Conflicts of Interest
References
- Neocleous, D.; Ntatsi, G. Seasonal Variations of Antioxidants and Other Agronomic Features in Soilless Production of Selected Fresh Aromatic Herbs. Sci. Hortic. 2018, 234, 290–299. [Google Scholar] [CrossRef]
- Maggini, R.; Kiferle, C.; Guidi, L.; Pardossi, A.; Raffaelli, A. Growing Medicinal Plants in Hydroponic Culture. Acta Hortic. 2012, 952, 697–704. [Google Scholar] [CrossRef]
- Nchu, F.; Matanzima, Y.; Laubscher, C.P. Prospects of N Fertilization in Medicinal Plants Cultivation. In Nitrogen in Agriculture—Updates; InTech: London, UK, 2018. [Google Scholar]
- Maggini, R.; Tzortzakis, N.; Currey, C.J. Editorial: Soilless Culture for Vegetative Biomass Production and Specialized Metabolites: Medicinal, Aromatic, and Edible Plants. Front. Plant Sci. 2022, 13, 887487. [Google Scholar] [CrossRef] [PubMed]
- Chrysargyris, A.; Tzortzakis, N. Tailor-Made Hydroponic Recipes for the Production of High Quality Medicinal and Aromatic Plants. Acta Hortic. 2021, 1321, 87–94. [Google Scholar] [CrossRef]
- Aneva, I.; Zhelev, P.; Kozuharova, E.; Danova, K.; Nabavi, S.F.; Behzad, S. Genus Sideritis, Section Empedoclia in Southeastern Europe and Turkey—Studies in Ethnopharmacology and Recent Progress of Biological Activities. DARU J. Pharm. Sci. 2019, 27, 407–421. [Google Scholar] [CrossRef] [PubMed]
- Sarikurkcu, C.; Locatelli, M.; Mocan, A.; Zengin, G.; Kirkan, B. Phenolic Profile and Bioactivities of Sideritis perfoliata L.: The Plant, Its Most Active Extract, and Its Broad Biological Properties. Front. Pharmacol. 2020, 10, 1642. [Google Scholar] [CrossRef] [PubMed]
- González-Burgos, E.; Carretero, M.E.; Gómez-Serranillos, M.P. Sideritis spp.: Uses, Chemical Composition and Pharmacological Activities—A Review. J. Ethnopharmacol. 2011, 135, 209–225. [Google Scholar] [CrossRef] [PubMed]
- Lytra, K.; Tomou, E.-M.; Chrysargyris, A.; Drouza, C.; Skaltsa, H.; Tzortzakis, N. Traditionally Used Sideritis cypria Post.: Phytochemistry, Nutritional Content, Bioactive Compounds of Cultivated Populations. Front. Pharmacol. 2020, 11, 650. [Google Scholar] [CrossRef]
- Chrysargyris, A.; Tzortzakis, N. Nitrogen, Phosphorus, and Potassium Requirements to Improve Sideritis cypria Growth, Nutrient and Water Use Efficiency in Hydroponic Cultivation. Heliyon 2025, 11, e40755. [Google Scholar] [CrossRef] [PubMed]
- Chrysargyris, A.; Kloukina, C.; Vassiliou, R.; Tomou, E.-M.E.-M.; Skaltsa, H.; Tzortzakis, N. Cultivation Strategy to Improve Chemical Profile and Anti-Oxidant Activity of Sideritis perfoliata L. subsp. perfoliata. Ind. Crops Prod. 2019, 140, 111694. [Google Scholar] [CrossRef]
- Hao, D.; Luan, Y.; Wang, Y.; Xiao, P. Unveiling Nitrogen Fertilizer in Medicinal Plant Cultivation. Agronomy 2024, 14, 1647. [Google Scholar] [CrossRef]
- Ahmadi, F.; Samadi, A.; Rahimi, A. Improving Growth Properties and Phytochemical Compounds of Echinacea purpurea (L.) Medicinal Plant Using Novel Nitrogen Slow Release Fertilizer under Greenhouse Conditions. Sci. Rep. 2020, 10, 13842. [Google Scholar] [CrossRef] [PubMed]
- Sun, J.; Li, W.; Zhang, Y.; Guo, Y.; Duan, Z.; Tang, Z.; Abozeid, A. Metabolomics Analysis Reveals Potential Mechanisms in Bupleurum L. (Apiaceae) Induced by Three Levels of Nitrogen Fertilization. Agronomy 2021, 11, 2291. [Google Scholar] [CrossRef]
- Khammar, A.A.; Moghaddam, M.; Asgharzade, A.; Sourestani, M.M. Nutritive Composition, Growth, Biochemical Traits, Essential Oil Content and Compositions of Salvia officinalis L. Grown in Different Nitrogen Levels in Soilless Culture. J. Soil Sci. Plant Nutr. 2021, 21, 3320–3332. [Google Scholar] [CrossRef]
- Zhao, H.; Li, X.; Jiang, Y. Response of Nitrogen Losses to Excessive Nitrogen Fertilizer Application in Intensive Greenhouse Vegetable Production. Sustainability 2019, 11, 1513. [Google Scholar] [CrossRef]
- Li, B.-B.; Roley, S.S.; Duncan, D.S.; Guo, J.; Quensen, J.F.; Yu, H.-Q.; Tiedje, J.M. Long-Term Excess Nitrogen Fertilizer Increases Sensitivity of Soil Microbial Community to Seasonal Change Revealed by Ecological Network and Metagenome Analyses. Soil Biol. Biochem. 2021, 160, 108349. [Google Scholar] [CrossRef]
- Sabah Alhasan, A.; Kadhem Abbas, M.; Al-Ameri, M.; Tareq Al-Ameri, D. Growth and Yield Response of Basil (Ocimum basilicum L.) to Different Rates of Urea Fertilizer Under Field Conditions. IOP Conf. Ser. Earth Environ. Sci. 2020, 553, 012044. [Google Scholar] [CrossRef]
- He, C.E.; Lu, L.L.; Jin, Y.; Wei, J.H.; Christie, P. Effects of Nitrogen on Root Development and Contents of Bioactive Compounds in Salvia miltiorrhiza Bunge. Crop Sci. 2013, 53, 2028–2039. [Google Scholar] [CrossRef]
- Amin, H.; Arain, B.A.; Jahangir, T.M.; Abbasi, A.R.; Mangi, J.; Abbasi, M.S.; Amin, F. Copper (Cu) Tolerance and Accumulation Potential in Four Native Plant Species: A Comparative Study for Effective Phytoextraction Technique. Geol. Ecol. Landsc. 2021, 5, 53–64. [Google Scholar] [CrossRef]
- Hawkesford, M.J.; Cakmak, I.; Coskun, D.; De Kok, L.J.; Lambers, H.; Schjoerring, J.K.; White, P.J. Functions of Macronutrients. In Marschner’s Mineral Nutrition of Plants; Elsevier: Amsterdam, The Netherlands, 2023; pp. 201–281. [Google Scholar]
- Asle-Mohammadi, Z.; Kharazmi, M.; Sheikhi, H.; Mohammadkhani, N.; Nicola, S. Foliar Application of Fe, Zn, and Mn as a Practical Strategy to Alleviate the Soil Cu Toxicity and Stimulate the Physiological and Biochemical Properties of Peppermint (Mentha piperita L.). J. Soil Sci. Plant Nutr. 2024, 24, 371–388. [Google Scholar] [CrossRef]
- Keller, A.A.; Adeleye, A.S.; Conway, J.R.; Garner, K.L.; Zhao, L.; Cherr, G.N.; Hong, J.; Gardea-Torresdey, J.L.; Godwin, H.A.; Hanna, S.; et al. Comparative Environmental Fate and Toxicity of Copper Nanomaterials. NanoImpact 2017, 7, 28–40. [Google Scholar] [CrossRef]
- Ibrahim, M.; Chee Kong, Y.; Mohd Zain, N. Effect of Cadmium and Copper Exposure on Growth, Secondary Metabolites and Antioxidant Activity in the Medicinal Plant Sambung Nyawa (Gynura procumbens (Lour.) Merr). Molecules 2017, 22, 1623. [Google Scholar] [CrossRef] [PubMed]
- Adamczyk-Szabela, D.; Wolf, W.M. The Influence of Copper and Zinc on Photosynthesis and Phenolic Levels in Basil (Ocimum basilicum L.), Borage (Borago officinalis L.), Common Nettle (Urtica dioica L.) and Peppermint (Mentha piperita L.). Int. J. Mol. Sci. 2024, 25, 3612. [Google Scholar] [CrossRef] [PubMed]
- Kuziemska, B.; Trębicka, J.; Wysokinski, A. Uptake and Utilization of Nitrogen from Organic Fertilizers Influenced by Different Doses of Copper. Agronomy 2021, 11, 1219. [Google Scholar] [CrossRef]
- Huo, K.; Shangguan, X.; Xia, Y.; Shen, Z.; Chen, C. Excess Copper Inhibits the Growth of Rice Seedlings by Decreasing Uptake of Nitrate. Ecotoxicol. Environ. Saf. 2019, 190, 110105. [Google Scholar] [CrossRef]
- Suganya, A.; Saravanan, A.; Manivannan, N. Role of Zinc Nutrition for Increasing Zinc Availability, Uptake, Yield, and Quality of Maize (Zea mays L.) Grains: An Overview. Commun. Soil Sci. Plant Anal. 2020, 51, 2001–2021. [Google Scholar] [CrossRef]
- Behtash, F.; Abedini, F.; Ahmadi, H.; Mosavi, S.B.; Aghaee, A.; Morshedloo, M.R.; Lorenzo, J.M. Zinc Application Mitigates Copper Toxicity by Regulating Cu Uptake, Activity of Antioxidant Enzymes, and Improving Physiological Characteristics in Summer Squash. Antioxidants 2022, 11, 1688. [Google Scholar] [CrossRef] [PubMed]
- Jahani, F.; Tohidi-Moghadam, H.R.; Larijani, H.R.; Ghooshchi, F.; Oveysi, M. Influence of Zinc and Salicylic Acid Foliar Application on Total Chlorophyll, Phenolic Components, Yield and Essential Oil Composition of Peppermint (Mentha piperita L.) under Drought Stress Condition. Arab. J. Geosci. 2021, 14, 691. [Google Scholar] [CrossRef]
- Balandrán-Valladares, M.I.; Cruz-Alvarez, O.; Jacobo-Cuellar, J.L.; Hernández-Rodríguez, O.A.; Flores-Córdova, M.A.; Parra-Quezada, R.Á.; Sánchez-Chávez, E.; Ojeda-Barrios, D.L. Changes in Nutrient Concentration and Oxidative Metabolism in Pecan Leaflets at Different Doses of Zinc. Plant Soil Environ. 2021, 67, 33–39. [Google Scholar] [CrossRef]
- Cui, X.; He, H.; Hu, S.; Zhang, B.; Cai, H. Synergistic Interaction between Copper and Nitrogen-Uptake, Translocation, and Distribution in Rice Plant. Plants 2022, 11, 2612. [Google Scholar] [CrossRef] [PubMed]
- Maqbool, M.A.; Beshir, A. Zinc Biofortification of Maize (Zea mays L.): Status and Challenges. Plant Breed. 2019, 138, 1–28. [Google Scholar] [CrossRef]
- Romera, F.J.; Lan, P.; Rodríguez-Celma, J.; Pérez-Vicente, R. Editorial: Nutrient Interactions in Plants. Front. Plant Sci. 2021, 12, 782505. [Google Scholar] [CrossRef] [PubMed]
- Chatzigianni, M.; Alkhaled, B.; Livieratos, I.; Stamatakis, A.; Ntatsi, G.; Savvas, D. Impact of Nitrogen Source and Supply Level on Growth, Yield and Nutritional Value of Two Contrasting Ecotypes of Cichorium spinosum L. Grown Hydroponically. J. Sci. Food Agric. 2017, 98, 1615–1624. [Google Scholar] [CrossRef] [PubMed]
- Marschner, P. Marschner’s Mineral Nutrition of Higher Plants, 3rd ed.; Academic Press: Cambridge, MA, USA, 2011; pp. 1–651. [Google Scholar] [CrossRef]
- Balamurugan, S.; Thiyagarajan, G.; Manivasagaperumal, R.; Vijayarengan, P. Effect of Copper on Growth, Dry Matter Yield and Nutrient Content of Vigna radiata (L.) Wilczek. J. Phytol. 2011, 3, 53–62. [Google Scholar]
- Moeen-ud-din, M.; Wang, S.; Yang, S.; Wang, J. The Combined Effects of Copper and Zinc on Arabidopsis Involve Differential Regulation of Chlorophyll Synthesis and Photosystem Function. Plant Physiol. Biochem. 2024, 216, 109160. [Google Scholar] [CrossRef] [PubMed]
- Irmes, K.; Kristó, I.; Szentpéteri, L.; Rácz, A.; Vályi-Nagy, M.; Kassai, M.K.; Valentinyi, K.V.; Tar, M. The Effect of Foliar Zinc Application on the Leaf Chlorophyll Concentrations and Grain Yields of the Winter Wheat (Triticum aestivum L.) in the Field Experiments of Two Seasons. Agronomy 2023, 13, 1640. [Google Scholar] [CrossRef]
- Hawkesford, M.; Horst, W.; Kichey, T.; Lambers, H.; Schjoerring, J.; Møller, I.S.; White, P.J. Functions of Macronutrients. In Marschner’s Mineral Nutrition of Higher Plants, 3rd ed.; Elsevier: Amsterdam, The Netherlands, 2012; pp. 135–189. [Google Scholar] [CrossRef]
- Yruela, I. Copper in Plants: Acquisition, Transport and Interactions. Funct. Plant Biol. 2009, 36, 409. [Google Scholar] [CrossRef] [PubMed]
- White, P.J.; Broadley, M.R. Physiological Limits to Zinc Biofortification of Edible Crops. Front. Plant Sci. 2011, 2, 80. [Google Scholar] [CrossRef] [PubMed]
- El-Sherbeny, S.E.; El-Saadany, S.S.; Youssef, A.A.; El-Massry, R.A.; El-Newary, S.A. Response of Portulaca oleracea L. Plants to Various Fertilizers Ratios on Growth, Yield and Chemical Composition under Egyption Conditions. World J. Pharm. Sci. 2015, 3, 2297–2307. [Google Scholar]
- Cun, Z.; Wu, H.M.; Zhang, J.Y.; Shuang, S.P.; Hong, J.; An, T.X.; Chen, J.W. High Nitrogen Inhibits Biomass and Saponins Accumulation in a Medicinal Plant Panax Notoginseng. PeerJ 2023, 11, e14933. [Google Scholar] [CrossRef]
- Alinejad Elahshah, A.; Moradi, H.; Sadeghi, H. Boron and Zinc Foliar Application Enhanced the Morphophysiological Responses and Mineral Absorption in the Hydroponically Grown ‘Aromas’ Strawberry. J. Plant Nutr. 2023, 46, 3487–3498. [Google Scholar] [CrossRef]
- Kutman, U.B.; Yildiz, B.; Cakmak, I. Improved Nitrogen Status Enhances Zinc and Iron Concentrations Both in the Whole Grain and the Endosperm Fraction of Wheat. J. Cereal Sci. 2011, 53, 118–125. [Google Scholar] [CrossRef]
- Xue, Y.; Yan, W.; Gao, Y.; Zhang, H.; Jiang, L.; Qian, X.; Cui, Z.; Zhang, C.; Liu, S.; Wang, H.; et al. Interaction Effects of Nitrogen Rates and Forms Combined With and Without Zinc Supply on Plant Growth and Nutrient Uptake in Maize Seedlings. Front. Plant Sci. 2021, 12, 722752. [Google Scholar] [CrossRef] [PubMed]
- Kumar, S.; Kumar, S.; Mohapatra, T. Interaction Between Macro- and Micro-Nutrients in Plants. Front. Plant Sci. 2021, 12, 665583. [Google Scholar] [CrossRef]
- Ranade-Malvi, U. Interaction of Micronutrients with Major Nutrients with Special Reference to Potassium. Karnataka J. Agric. Sci. 2011, 24, 106–109. [Google Scholar]
- Yan, G.; Luo, X.; Huang, B.; Wang, H.; Xing, Y.; Wang, Q. Imbalance in Nitrogen and Phosphorus Allocation between Tree Roots and Leaves Induced by Nitrogen Addition. Sci. Total Environ. 2025, 958, 177925. [Google Scholar] [CrossRef] [PubMed]
- Li, L.; Liu, B.; Gao, X.; Li, X.; Li, C. Nitrogen and Phosphorus Addition Differentially Affect Plant Ecological Stoichiometry in Desert Grassland. Sci. Rep. 2019, 9, 18673. [Google Scholar] [CrossRef] [PubMed]
- Ait Ali, N.; Bernal, M.P.; Ater, M. Tolerance and Bioaccumulation of Copper in Phragmites australis and Zea mays. Plant Soil 2002, 239, 103–111. [Google Scholar] [CrossRef]
- Saleem, M.H.; Kamran, M.; Zhou, Y.; Parveen, A.; Rehman, M.; Ahmar, S.; Malik, Z.; Mustafa, A.; Ahmad Anjum, R.M.; Wang, B.; et al. Appraising Growth, Oxidative Stress and Copper Phytoextraction Potential of Flax (Linum usitatissimum L.) Grown in Soil Differentially Spiked with Copper. J. Environ. Manag. 2020, 257, 109994. [Google Scholar] [CrossRef] [PubMed]
- Chrysargyris, A.; Maggini, R.; Incrocci, L.; Pardossi, A.; Tzortzakis, N. Copper Tolerance and Accumulation on Pelargonium graveolens L’Hér. Grown in Hydroponic Culture. Plants 2021, 10, 1663. [Google Scholar] [CrossRef]
- Shahriaripour, R.; Tajabadipour, A. Zinc Nutrition of Pistachio: Interaction of Zinc with Other Trace Elements. Commun. Soil Sci. Plant Anal. 2010, 41, 1885–1888. [Google Scholar] [CrossRef]
- European Food Safety Authority (EFSA) Review of the Existing Maximum Residue Levels for Copper Compounds According to Article 12 of Regulation (EC) No 396/2005. EFSA J. 2018, 16, e05212. [CrossRef]
- Rai, S.; Singh, P.K.; Mankotia, S.; Swain, J.; Satbhai, S.B. Iron Homeostasis in Plants and Its Crosstalk with Copper, Zinc, and Manganese. Plant Stress 2021, 1, 100008. [Google Scholar] [CrossRef]
- Waters, B.M.; Armbrust, L.C. Optimal Copper Supply Is Required for Normal Plant Iron Deficiency Responses. Plant Signal. Behav. 2013, 8, e26611. [Google Scholar] [CrossRef] [PubMed]
- Fatemi, H.; Zaghdoud, C.; Nortes, P.A.; Carvajal, M.; Martínez-Ballesta, M.D.C. Differential Aquaporin Response to Distinct Effects of Two Zn Concentrations after Foliar Application in Pak Choi (Brassica rapa L.) Plants. Agronomy 2020, 10, 450. [Google Scholar] [CrossRef]
- Guardiola-Márquez, C.E.; Martínez-Ballesta, M.d.C.; García-Sánchez, C.V.; Bojorquez-Rodríguez, E.M.; Jacobo-Velázquez, D.A.; Martínez-Hernández, G.B. Effects of Foliar and Root Application of Zn and Fe Bio-Nanofertilizers on the Glucosinolate, Zn and Fe Contents of Pak Choi (Brassica rapa subsp. Chinensis) Grown under Hydroponic and Pot Cultivation. Sci. Hortic. 2024, 338, 113654. [Google Scholar] [CrossRef]
- Montoya, M.; Vallejo, A.; Recio, J.; Guardia, G.; Alvarez, J.M. Zinc–Nitrogen Interaction Effect on Wheat Biofortification and Nutrient Use Efficiency. J. Plant Nutr. Soil Sci. 2020, 183, 169–179. [Google Scholar] [CrossRef]
- Mleczek, M.; Budka, A.; Gąsecka, M.; Budzyńska, S.; Drzewiecka, K.; Magdziak, Z.; Rutkowski, P.; Goliński, P.; Niedzielski, P. Copper, Lead and Zinc Interactions during Phytoextraction Using Acer platanoides L.—A Pot Trial. Environ. Sci. Pollut. Res. 2023, 30, 27191–27207. [Google Scholar] [CrossRef] [PubMed]
- Adrees, M.; Ali, S.; Rizwan, M.; Ibrahim, M.; Abbas, F.; Farid, M.; Zia-ur-Rehman, M.; Irshad, M.K.; Bharwana, S.A. The Effect of Excess Copper on Growth and Physiology of Important Food Crops: A Review. Environ. Sci. Pollut. Res. 2015, 22, 8148–8162. [Google Scholar] [CrossRef]
- García-López, J.I.; Niño-Medina, G.; Olivares-Sáenz, E.; Lira-Saldivar, R.H.; Barriga-Castro, E.D.; Vázquez-Alvarado, R.; Rodríguez-Salinas, P.A.; Zavala-García, F. Foliar Application of Zinc Oxide Nanoparticles and Zinc Sulfate Boosts the Content of Bioactive Compounds in Habanero Peppers. Plants 2019, 8, 254. [Google Scholar] [CrossRef]
- Vojodi Mehrabani, L.; Kamran, R.V.; Hassanpouraghdam, M.B.; Pessarakli, M. Zinc Sulfate Foliar Application Effects on Some Physiological Characteristics and Phenolic and Essential Oil Contents of Lavandula stoechas L. Under Sodium Chloride (NaCl) Salinity Conditions. Commun. Soil Sci. Plant Anal. 2017, 48, 1860–1867. [Google Scholar] [CrossRef]
- Umair Hassan, M.; Aamer, M.; Umer Chattha, M.; Haiying, T.; Shahzad, B.; Barbanti, L.; Nawaz, M.; Rasheed, A.; Afzal, A.; Liu, Y.; et al. The Critical Role of Zinc in Plants Facing the Drought Stress. Agriculture 2020, 10, 396. [Google Scholar] [CrossRef]
- Chrysargyris, A.; Panayiotou, C.; Tzortzakis, N. Nitrogen and Phosphorus Levels Affected Plant Growth, Essential Oil Composition and Antioxidant Status of Lavender Plant (Lavandula angustifolia Mill.). Ind. Crops Prod. 2016, 83, 577–586. [Google Scholar] [CrossRef]
- Rehman, M.; Saleem, M.H.; Fahad, S.; Maqbool, Z.; Peng, D.; Deng, G.; Liu, L. Medium Nitrogen Optimized Boehmeria nivea L. Growth in Copper Contaminated Soil. Chemosphere 2021, 266, 128972. [Google Scholar] [CrossRef]
- Shehzadi, N.; Mahmood, A.; Kaleem, M.; Chishti, M.S.; Bashir, H.; Hashem, A.; Abd-Allah, E.F.; Shahid, H.; Ishtiaq, A. Zinc and Nitrogen Mediate the Regulation of Growth, Leading to the Upregulation of Antioxidant Aptitude, Physio-Biochemical Traits, and Yield in Wheat Plants. Sci. Rep. 2024, 14, 12897. [Google Scholar] [CrossRef]
- Chrysargyris, A.; Tzortzakis, N. Optimising Fertigation of Hydroponically Grown Sowthistle (Sonchus oleraceus L.): The Impact of the Nitrogen Source and Supply Concentration. Agric. Water Manag. 2023, 289, 108528. [Google Scholar] [CrossRef]
- Chrysargyris, A.; Michailidi, E.; Tzortzakis, N. Physiological and Biochemical Responses of Lavandula angustifolia to Salinity Under Mineral Foliar Application. Front. Plant Sci. 2018, 9, 489. [Google Scholar] [CrossRef]
- Richardson, A.D.; Duigan, S.P.; Berlyn, G.P. An Evaluation of Noninvasive Methods to Estimate Foliar Chlorophyll Content. New Phytol. 2002, 153, 185–194. [Google Scholar] [CrossRef]
- Wellburn, A.R.A.R. The Spectral Determination of Chlorophylls a and b, as Well as Total Carotenoids, Using Various Solvents with Spectrophotometers of Different Resolution. J. Plant Physiol. 1994, 144, 307–313. [Google Scholar] [CrossRef]
- Chrysargyris, A.; Papakyriakou, E.; Petropoulos, S.; Tzortzakis, N. The Combined and Single Effect of Salinity and Copper Stress on Growth and Quality of Mentha spicata Plants. J. Hazard. Mater. 2019, 368, 584–593. [Google Scholar] [CrossRef]
- Chrysargyris, A.; Charalambous, S.; Xylia, P.; Litskas, V.; Stavrinides, M.; Tzortzakis, N. Assessing the Biostimulant Effects of a Novel Plant-Based Formulation on Tomato Crop. Sustainability 2020, 12, 8432. [Google Scholar] [CrossRef]





| N | Cu | Zn | N × Cu | N × Zn | Cu × Zn | N × Cu × Zn | |
|---|---|---|---|---|---|---|---|
| FW (g) | ns | ns | ns | ns | ns | ns | ns |
| DM (%) | *** | *** | ** | ns | ns | ns | ns |
| SPAD | ns | ns | ns | ns | ns | ns | ns |
| Fv Fm−1 | *** | *** | ns | ns | ** | ns | ns |
| Chl a (mg g−1) | * | ns | ns | ** | *** | * | *** |
| Chl b (mg g−1) | ns | ns | ns | ns | ** | ns | * |
| Total Chl (mg g−1) | * | ns | ns | * | *** | * | ** |
| Total Car (mg g−1) | * | ns | ns | *** | *** | * | *** |
| Leaf N (g kg−1) | *** | ns | ** | *** | ** | ns | ns |
| Leaf P (g kg−1) | ns | ns | *** | ns | *** | ns | ns |
| Leaf K (g kg−1) | *** | ns | ns | ns | ns | ns | ns |
| Leaf Na (g kg−1) | *** | *** | *** | *** | *** | ns | ns |
| Leaf Fe (mg kg−1) | *** | ns | ns | * | ns | ns | ns |
| Leaf Cu (mg kg−1) | ns | *** | ns | ns | * | * | *** |
| Leaf Zn (mg kg−1) | * | ns | ns | ns | * | ns | ns |
| Root N (g kg−1) | *** | *** | ns | *** | *** | *** | ns |
| Root P (g kg−1) | *** | ns | *** | *** | *** | ns | * |
| Root K (g kg−1) | *** | *** | *** | ** | *** | *** | *** |
| Root Na (g kg−1) | *** | *** | *** | ** | *** | ns | *** |
| Root Fe (mg kg−1) | ns | ns | * | ns | * | ns | ns |
| Root Cu (mg kg−1) | * | *** | ns | ** | * | ns | * |
| Root Zn (mg kg−1) | *** | ns | ** | ** | *** | ns | ** |
| Phenols (mg GAE g−1) | *** | ns | *** | *** | *** | *** | *** |
| DPPH (mg Trolox g−1) | ns | ns | *** | *** | *** | *** | *** |
| FRAP (mg Trolox g−1) | ns | ns | *** | * | *** | * | *** |
| ABTS (mg Trolox g−1) | ns | ns | *** | *** | *** | *** | ** |
| Flavonoids (mg Rutin g−1) | *** | ** | *** | *** | *** | ns | *** |
| H2O2 (μmol g−1) | *** | ns | ns | * | *** | ns | *** |
| MDA (nmol g−1) | ns | Ns | *** | *** | ns | * | ns |
Disclaimer/Publisher’s Note: The statements, opinions and data contained in all publications are solely those of the individual author(s) and contributor(s) and not of MDPI and/or the editor(s). MDPI and/or the editor(s) disclaim responsibility for any injury to people or property resulting from any ideas, methods, instructions or products referred to in the content. |
© 2025 by the authors. Licensee MDPI, Basel, Switzerland. This article is an open access article distributed under the terms and conditions of the Creative Commons Attribution (CC BY) license (https://creativecommons.org/licenses/by/4.0/).
Share and Cite
Tzortzakis, N.; Neofytou, G.; Chrysargyris, A. Nitrogen Fertilization Coupled with Zinc Foliar Applications Modulate the Production, Quality, and Stress Response of Sideritis cypria Plants Grown Hydroponically Under Excess Copper Concentrations. Plants 2025, 14, 691. https://doi.org/10.3390/plants14050691
Tzortzakis N, Neofytou G, Chrysargyris A. Nitrogen Fertilization Coupled with Zinc Foliar Applications Modulate the Production, Quality, and Stress Response of Sideritis cypria Plants Grown Hydroponically Under Excess Copper Concentrations. Plants. 2025; 14(5):691. https://doi.org/10.3390/plants14050691
Chicago/Turabian StyleTzortzakis, Nikolaos, Giannis Neofytou, and Antonios Chrysargyris. 2025. "Nitrogen Fertilization Coupled with Zinc Foliar Applications Modulate the Production, Quality, and Stress Response of Sideritis cypria Plants Grown Hydroponically Under Excess Copper Concentrations" Plants 14, no. 5: 691. https://doi.org/10.3390/plants14050691
APA StyleTzortzakis, N., Neofytou, G., & Chrysargyris, A. (2025). Nitrogen Fertilization Coupled with Zinc Foliar Applications Modulate the Production, Quality, and Stress Response of Sideritis cypria Plants Grown Hydroponically Under Excess Copper Concentrations. Plants, 14(5), 691. https://doi.org/10.3390/plants14050691
