Use of Uncrewed Aerial System (UAS)-Based Crop Features to Perform Growth Analysis of Energy Cane Genotypes
Abstract
1. Introduction
2. Results
2.1. Temporal UAS-Based Canopy Cover and Canopy Height
2.2. Five-Parameter Logistic Growth Function Analysis
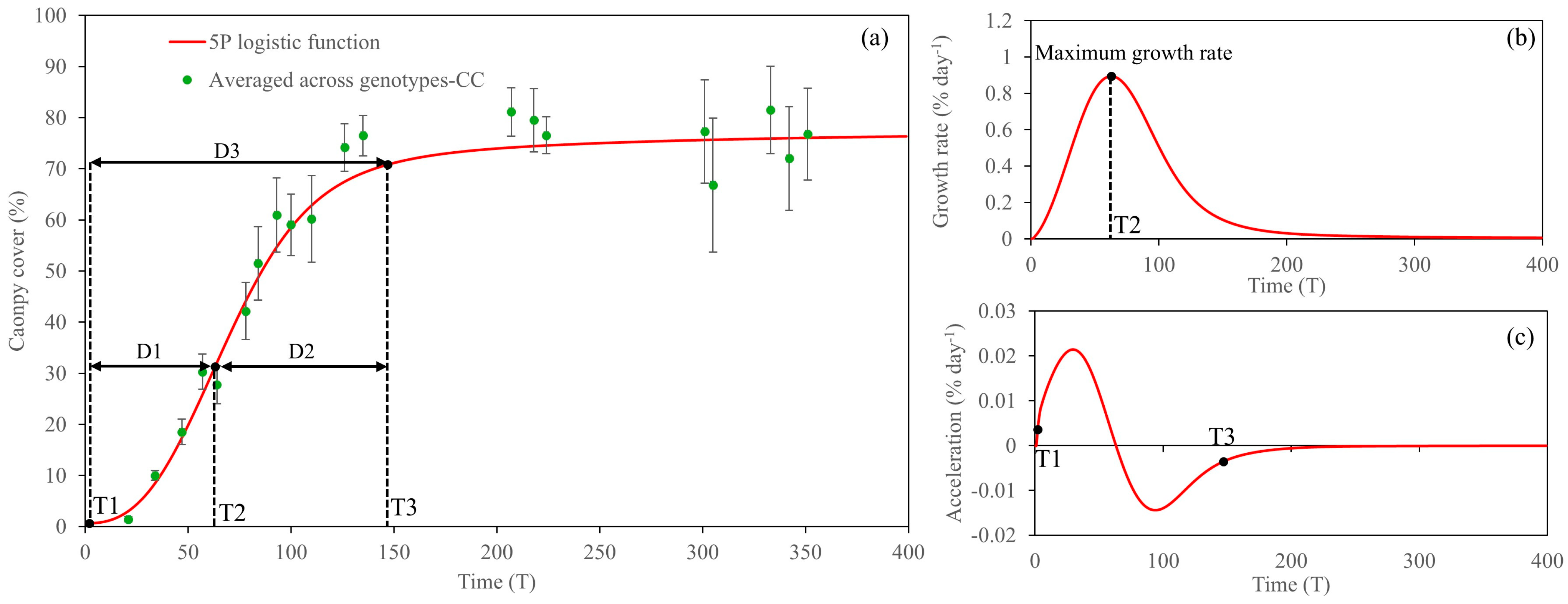
2.2.1. Canopy Cover-Based Growth Analysis
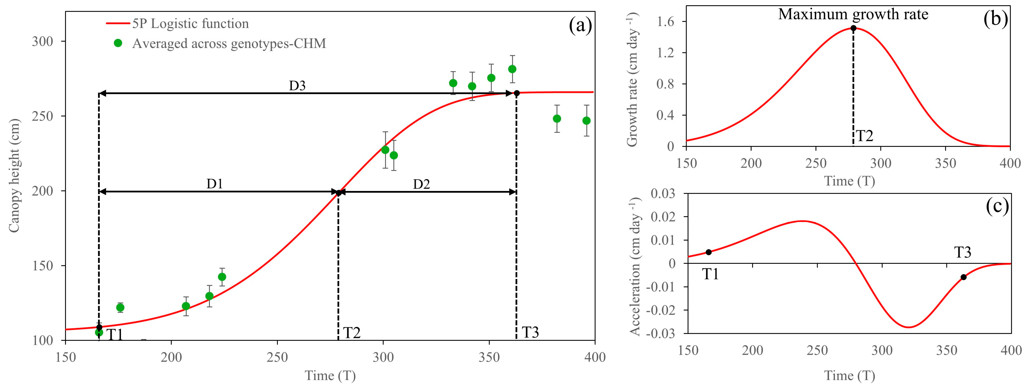
2.2.2. Canopy Height-Based Growth Analysis
- Before cold burn
- After a cold burn
2.2.3. Weed-Competitive Genotype Identification
2.3. Dry Biomass, Fresh Yield, and Their Relationship with Temporal Canopy Features and Growth Parameters
2.3.1. Analysis of Variance and Mean Comparison
2.3.2. Association Between Temporal Canopy Features and Growth Parameters with Biomass and Yield
- Correlation of temporal canopy features and dry biomass at different growth stages
- Correlation of temporal canopy features and growth parameters with fresh yield
3. Discussion
3.1. Temporal UAS-Based Canopy Cover and Canopy Height
3.2. Five-Parameter Logistic Growth Function Analysis
3.3. Dry Biomass, Fresh Yield, and Their Relationship with Temporal Canopy Features and Growth Parameters
3.4. Limitation and Future Research
4. Materials and Methods
4.1. Study Area and Experimental Design
4.2. Uncrewed Aerial System-Based Phenotyping Pipeline
4.2.1. Image Acquisition
4.2.2. Image Processing
4.2.3. CC and CH Extraction
4.3. Dry Biomass and Fresh Yield Data Collection
4.4. Data Analysis
5. Conclusions
Author Contributions
Funding
Data Availability Statement
Acknowledgments
Conflicts of Interest
References
- Antar, M.; Lyu, D.; Nazari, M.; Shah, A.; Zhou, X.; Smith, D.L. Biomass for a Sustainable Bioeconomy: An Overview of World Biomass Production and Utilization. Renew. Sustain. Energy Rev. 2021, 139, 110691. [Google Scholar] [CrossRef]
- Boschiero, B.N.; de Castro, S.G.Q.; da Rocha, A.E.Q.; Franco, H.C.J.; Carvalho, J.L.N.; Soriano, H.L.; dos Santos, J.A.; Bressiani, J.A.; Kölln, O.T. Biomass Production and Nutrient Removal of Energy Cane Genotypes in Northeastern Brazil. Crop. Sci. 2019, 59, 379–391. [Google Scholar] [CrossRef]
- Cholula, U.; da Silva, J.A.; Marconi, T.; Thomasson, J.A.; Solorzano, J.; Enciso, J. Forecasting Yield and Lignocellulosic Composition of Energy Cane Using Unmanned Aerial Systems. Agronomy 2020, 10, 718. [Google Scholar] [CrossRef]
- Chiluwal, A.; Singh, H.P.; Sainju, U.; Khanal, B.; Whitehead, W.F.; Singh, B.P. Spacing Effect on Energy Cane Growth, Physiology, and Biomass Yield. Crop. Sci. 2018, 58, 1371–1384. [Google Scholar] [CrossRef]
- Shields, S.; Boopathy, R. Ethanol Production from Lignocellulosic Biomass of Energy Cane. Int. Biodeterior. Biodegrad. 2011, 65, 142–146. [Google Scholar] [CrossRef]
- Pokhrel, P.; Rajan, N.; Jifon, J.; Rooney, W.; Jessup, R.; da Silva, J.; Enciso, J.; Attia, A. Agronomic Performance of the Lignocellulosic Feedstock Crop Energy Cane in the Texas Rolling Plains. Agron. J. 2020, 112, 3816–3831. [Google Scholar] [CrossRef]
- Bhandari, M. High-Throughput Field Phenotyping in Wheat Using Unmanned Aerial Systems (UAS). Ph.D. Thesis, Texas A&M University, College Station, TX, USA, 2020. [Google Scholar]
- Hilty, J.; Muller, B.; Pantin, F.; Leuzinger, S. Plant Growth: The What, the How, and the Why. New Phytol. 2021, 232, 25–41. [Google Scholar] [CrossRef]
- de Carvalho, E.X.; Menezes, R.S.C.; de Sá Barreto Sampaio, E.V.; Neto, D.E.S.; Tabosa, J.N.; de Oliveira, L.R.; Simões, A.L.; Sales, A.T. Allometric Equations to Estimate Sugarcane Aboveground Biomass. Sugar Tech. 2019, 21, 1039–1044. [Google Scholar] [CrossRef]
- Tanger, P.; Klassen, S.; Mojica, J.P.; Lovell, J.T.; Moyers, B.T.; Baraoidan, M.; Naredo, M.E.B.; McNally, K.L.; Poland, J.; Bush, D.R.; et al. Field-Based High Throughput Phenotyping Rapidly Identifies Genomic Regions Controlling Yield Components in Rice. Sci. Rep. 2017, 7, 42839. [Google Scholar] [CrossRef]
- Khuimphukhieo, I.; Bhandari, M.; Enciso, J.; da Silva, J. Estimating Sugarcane Yield and Its Components Using Unmanned Aerial Systems (Uas)-Based High Throughput Phenotyping (Htp). SSRN 2024. [Google Scholar] [CrossRef]
- Sumesh, K.C.; Ninsawat, S.; Som-ard, J. Integration of RGB-Based Vegetation Index, Crop Surface Model and Object-Based Image Analysis Approach for Sugarcane Yield Estimation Using Unmanned Aerial Vehicle. Comput. Electron. Agric. 2021, 180, 105903. [Google Scholar] [CrossRef]
- Khuimphukhieo, I.; Marconi, T.; Enciso, J.; da Silva, J.A. The Use of UAS-Based High Throughput Phenotyping (HTP) to Assess Sugarcane Yield. J. Agric. Food Res. 2023, 11, 100501. [Google Scholar] [CrossRef]
- Heinen, M. Analytical Growth Equations and Their Genstat 5 Equivalents. Neth. J. Agric. Sci. 1999, 47, 67–89. [Google Scholar] [CrossRef]
- Tessmer, O.L.; Jiao, Y.; Cruz, J.A.; Kramer, D.M.; Chen, J. Functional Approach to High-Throughput Plant Growth Analysis. BMC Syst. Biol. 2013, 7 (Suppl. 6). [Google Scholar] [CrossRef] [PubMed]
- Paine, C.E.T.; Marthews, T.R.; Vogt, D.R.; Purves, D.; Rees, M.; Hector, A.; Turnbull, L.A. How to Fit Nonlinear Plant Growth Models and Calculate Growth Rates: An Update for Ecologists. Methods Ecol. Evol. 2012, 3, 245–256. [Google Scholar] [CrossRef]
- Gottschalk, P.G.; Dunn, J.R. The Five-Parameter Logistic: A Characterization and Comparison with the Four-Parameter Logistic. Anal. Biochem. 2005, 343, 54–65. [Google Scholar] [CrossRef]
- Xiangxiang, W.; Quanjiu, W.; Jun, F.; Lijun, S.; Xinlei, S. Logistic Model Analysis of Winter Wheat Growth on China’s Loess Plateau. Can. J. Plant Sci. 2014, 94, 1471–1479. [Google Scholar] [CrossRef]
- Li, Y.-R. Growth and Development of Sugarcane (Saccharum Spp. Hybrid) and Its Relationship with Environmental Factors. In Agro-Industrial Perspectives on Sugarcane Production under Environmental Stress; Springer Nature Singapore: Singapore, 2022; pp. 1–11. [Google Scholar] [CrossRef]
- Som-ard, J.; Atzberger, C.; Izquierdo-Verdiguier, E.; Vuolo, F.; Immitzer, M. Remote Sensing Applications in Sugarcane Cultivation: A Review. Remote Sens. 2021, 13, 4040. [Google Scholar] [CrossRef]
- Zhao, Y.; Della Justina, D.; Kazama, Y.; Rocha, J.V.; Graziano, P.S.; Lamparelli, R.A.C. Dynamics Modeling for Sugar Cane Sucrose Estimation Using Time Series Satellite Imagery; Neale, C.M.U., Maltese, A., Eds.; SPIE: Bellingham, WA, USA, 2016; p. 99980J. [Google Scholar] [CrossRef]
- Cock, J. Sugarcane Growth and Development. Sugar Cane International. 2003, 105, 540–552. [Google Scholar]
- Bull, T. The Sugarcane Plant. In Manual of Cane Growing; Hogarth, M., Allsopp, P., Eds.; Bureau of Sugar Experimental Stations: Indooroopilly, QLD, Australia, 2000; pp. 91–108. Available online: https://elibrary.sugarresearch.com.au/items/be693217-196d-427d-96aa-d5f78f2a1834 (accessed on 12 February 2025).
- Gregorczyk, A. The Logistic Function—Its Application to the Description and Prognosis of Plant Growth. Acta Soc. Bot. Pol. 1991, 60, 67–76. [Google Scholar] [CrossRef]
- Aharon, S.; Peleg, Z.; Argaman, E.; Ben-David, R.; Lati, R.N. Image-Based High-Throughput Phenotyping of Cereals Early Vigor and Weed-Competitiveness Traits. Remote Sens. 2020, 12, 3877. [Google Scholar] [CrossRef]
- Olofsdotter, M. Getting Closer to Breeding for Competitive Ability and the Role of Allelopathy: An Example from Rice (Oryza sativa). Weed Technol. 2001, 15, 798–806. [Google Scholar] [CrossRef]
- Bansal, T.; Dhillon, B.S.; Kumar, V.; Sagwal, P.; Bhatia, D. Assessing Weed Competitive Abilities of Rice Genotypes in Direct-Seeded Rice Using Purple Rice as Model Weed. Indian. J. Weed Sci. 2024, 56, 73–79. [Google Scholar] [CrossRef]
- Knoll, J.E.; Anderson, W.F.; Missaoui, A.; Hale, A.; Hanna, W.W. Biomass Production and Stability of Five Energycane Cultivars at Two Latitudes in Georgia. Agrosystems Geosci. Environ. 2021, 4, e20146. [Google Scholar] [CrossRef]
- Mason, P.J.; Furtado, A.; Marquardt, A.; Hodgson-Kratky, K.; Hoang, N.V.; Botha, F.C.; Papa, G.; Mortimer, J.C.; Simmons, B.; Henry, R.J. Variation in Sugarcane Biomass Composition and Enzymatic Saccharification of Leaves, Internodes and Roots. Biotechnol. Biofuels 2020, 13, 201. [Google Scholar] [CrossRef]
- Zhao, D.; Irey, M.; LaBorde, C.; Hu, C. Identifying Physiological and Yield-Related Traits in Sugarcane and Energy Cane. Agron. J. 2017, 109, 927–937. [Google Scholar] [CrossRef]
- Zhou, X.; Liu, C.; Xue, Y.; Akbar, A.; Jia, S.; Zhou, Y.; Zeng, D. Radiometric Calibration of a Large-Array Commodity CMOS Multispectral Camera for UAV-Borne Remote Sensing. Int. J. Appl. Earth Obs. Geoinf. 2022, 112, 102968. [Google Scholar] [CrossRef]
- Bhandari, M.; Chang, A.; Jung, J.; Ibrahim, A.M.H.; Rudd, J.C.; Baker, S.; Landivar, J.; Liu, S.; Landivar, J. Unmanned Aerial System-based High-throughput Phenotyping for Plant Breeding. Plant Phenome J. 2023, 6, e20058. [Google Scholar] [CrossRef]
- Patrignani, A.; Ochsner, T.E. Canopeo: A Powerful New Tool for Measuring Fractional Green Canopy Cover. Agron. J. 2015, 107, 2312–2320. [Google Scholar] [CrossRef]
- Shepherd, M.J.; Lindsey, L.E.; Lindsey, A.J. Soybean Canopy Cover Measured with Canopeo Compared with Light Interception. Agric. Environ. Lett. 2018, 3, 180031. [Google Scholar] [CrossRef]
- Hale, G.A.; Cox, R.D.; Ritchie, G. Canopy Detection beyond the Field: Colored Backgrounds Impact Precision of Canopeo. Sens. Bio-Sens. Res. 2023, 42, 100587. [Google Scholar] [CrossRef]













| Genotypes | Canopy Cover Growth Parameters | |||
|---|---|---|---|---|
| D1 (Days) | D2 (Days) | D3 (Days) | Max. Rate (% Day−1) (T2) | |
| Ho02-113 | 64.50 ± 5.19 | 86.75 ± 3.77 | 151.25 ± 7.41 | 0.89 ± 0.05 |
| TCP10-4928 | 60.50 ± 4.20 | 68.25 ± 7.41 | 128.75 ± 11.32 | 0.87 ± 0.06 |
| TH16-13 | 60.75 ± 4.27 | 77.50 ± 9.32 | 138.25 ± 7.71 | 0.96 ± 0.01 |
| TH16-16 | 56.00 ± 9.56 | 73.75 ± 5.50 | 129.75 ± 5.43 | 1.19 ± 0.05 |
| TH16-18 | 59.00 ± 4.24 | 74.25 ± 10.07 | 133.25 ± 8.53 | 1.10 ± 0.16 |
| TH16-22 | 60.00 ± 12.11 | 85.75 ± 2.75 | 145.75 ± 14.86 | 0.84 ± 0.07 |
| TH16-24 | 59.75 ± 8.05 | 66.75 ± 10.93 | 126.50 ± 13.86 | 0.82 ± 0.14 |
| F-test | ns | * | * | ** |
| LSD0.05 | − | 12.29 | 16.02 | 0.14 |
| Genotypes | Canopy Height Growth Parameters | |||
|---|---|---|---|---|
| D1 (Days) | D2 (Days) | D3 (Days) | Max. Rate (cm Day−1) (T2) | |
| Ho02-113 | 59.50 ± 9.14 | 77.0 ± 8.60 | 136.50 ± 13.86 | 1.66 ± 0.26 |
| TCP10-4928 | 66.25 ± 2.06 | 71.0 ± 2.94 | 137.25 ± 2.63 | 1.64 ± 0.13 |
| TH16-13 | 50.75 ± 5.79 | 72.50 ± 2.08 | 123.25 ± 7.80 | 2.17 ± 0.29 |
| TH16-16 | 58.25 ± 5.37 | 70.25 ± 10.04 | 128.50 ± 9.29 | 1.99 ± 0.25 |
| TH16-18 | 63.00 ± 1.15 | 68.00 ± 11.57 | 131.00 ± 12.24 | 1.89 ± 0.19 |
| TH16-22 | 61.75 ± 2.63 | 64.75 ± 6.55 | 126.50 ± 9.14 | 2.26 ± 0.17 |
| TH16-24 | 56.50 ± 5.06 | 66.25 ± 10.99 | 122.75 ± 7.50 | 1.84 ± 0.05 |
| F-test | ** | ns | ns | ** |
| LSD0.05 | 6.89 | − | − | 0.29 |
| Genotypes | Canopy Height Growth Parameters | |||
|---|---|---|---|---|
| D1 (Days) | D2 (Days) | D3 (Days) | Max. Rate (cm Day−1) (T2) | |
| Ho02-113 | 121.50 ± 11.26 | 102.00 ± 15.44 | 223.50 ± 26.66 | 1.27 ± 0.05 |
| TCP10-4928 | 112.00 ± 16.67 | 86.00 ± 22.07 | 198.00 ± 38.58 | 1.50 ± 0.31 |
| TH16-13 | 106.00 ± 4.89 | 76.25 ± 4.34 | 182.25 ± 9.10 | 1.62 ± 0.17 |
| TH16-16 | 108.50 ± 11.35 | 77.75 ± 14.97 | 186.25 ± 26.27 | 1.75 ± 0.34 |
| TH16-18 | 108.00 ± 8.71 | 77.00 ± 13.11 | 185.00 ± 21.78 | 1.80 ± 0.27 |
| TH16-22 | 105.25 ± 9.70 | 74.75 ± 12.23 | 180.00 ± 21.83 | 1.73 ± 0.18 |
| TH16-24 | 116.50 ± 5.80 | 88.00 ± 7.39 | 204.50 ± 13.17 | 1.56 ± 0.09 |
| F-test | ns | ns | ns | ns |
| LSD0.05 | − | − | − | − |
| Parameters | Value | Unit |
|---|---|---|
| PH | 8.00 | − |
| Conductivity | 551.00 | umho/cm |
| Nitrate | 41.33 | mg/kg |
| Phosphorus | 31.67 | mg/kg |
| Potassium | 443.00 | mg/kg |
| Calcium | 9566.33 | mg/kg |
| Magnesium | 603.67 | mg/kg |
| Sulfur | 119.33 | mg/kg |
| Ground Measurement | Phenological Stage | Days After Planting | Methods |
|---|---|---|---|
| Dry biomass | Tillering | 93 | Manual harvesting |
| Dry biomass | Elongation | 218 | Manual harvesting |
| Dry biomass | Early maturity | 305 | Manual harvesting |
| Fresh yield (final yield) | Late maturity | 460 | Mechanical harvesting |
Disclaimer/Publisher’s Note: The statements, opinions and data contained in all publications are solely those of the individual author(s) and contributor(s) and not of MDPI and/or the editor(s). MDPI and/or the editor(s) disclaim responsibility for any injury to people or property resulting from any ideas, methods, instructions or products referred to in the content. |
© 2025 by the authors. Licensee MDPI, Basel, Switzerland. This article is an open access article distributed under the terms and conditions of the Creative Commons Attribution (CC BY) license (https://creativecommons.org/licenses/by/4.0/).
Share and Cite
Khuimphukhieo, I.; Zhao, L.; Ghansah, B.; Scott, J.L.L.; Fernandez-Montero, O.; da Silva, J.A.; Foster, J.L.; Li, H.; Bhandari, M. Use of Uncrewed Aerial System (UAS)-Based Crop Features to Perform Growth Analysis of Energy Cane Genotypes. Plants 2025, 14, 654. https://doi.org/10.3390/plants14050654
Khuimphukhieo I, Zhao L, Ghansah B, Scott JLL, Fernandez-Montero O, da Silva JA, Foster JL, Li H, Bhandari M. Use of Uncrewed Aerial System (UAS)-Based Crop Features to Perform Growth Analysis of Energy Cane Genotypes. Plants. 2025; 14(5):654. https://doi.org/10.3390/plants14050654
Chicago/Turabian StyleKhuimphukhieo, Ittipon, Lei Zhao, Benjamin Ghansah, Jose L. Landivar Scott, Oscar Fernandez-Montero, Jorge A. da Silva, Jamie L. Foster, Hua Li, and Mahendra Bhandari. 2025. "Use of Uncrewed Aerial System (UAS)-Based Crop Features to Perform Growth Analysis of Energy Cane Genotypes" Plants 14, no. 5: 654. https://doi.org/10.3390/plants14050654
APA StyleKhuimphukhieo, I., Zhao, L., Ghansah, B., Scott, J. L. L., Fernandez-Montero, O., da Silva, J. A., Foster, J. L., Li, H., & Bhandari, M. (2025). Use of Uncrewed Aerial System (UAS)-Based Crop Features to Perform Growth Analysis of Energy Cane Genotypes. Plants, 14(5), 654. https://doi.org/10.3390/plants14050654

