A Green and Innovative Waste Valorization Approach for Extraction of Flavonoids from Grapefruit Peels by Microwave-Assisted Pressurized CO2-H2O Extraction
Abstract
1. Introduction
2. Materials and Methods
2.1. Chemicals
2.2. Raw Material and Sample Preparation
2.3. Experimental Section
2.3.1. Conventional Extraction (CE)
2.3.2. Microwave-Assisted Pressurized CO2-H2O Extraction
2.3.3. Total Flavonoid Content
2.3.4. Total Phenolic Content
2.3.5. Ferric Reducing Antioxidant Power (FRAP) Assay
2.3.6. Cupric Reducing Antioxidant Activity (CUPRAC) Assay
2.3.7. 2,2-Diphenyl-1-picrylhydrazyl (DPPH) Radical Scavenging Activity
2.3.8. Qualitative Identification of Phytochemicals
2.3.9. Quantitative Identification of Phytochemicals
2.4. Statistical Analysis
3. Results and Discussion
3.1. Box-Behnken Design and Optimization
3.1.1. Model Fitting
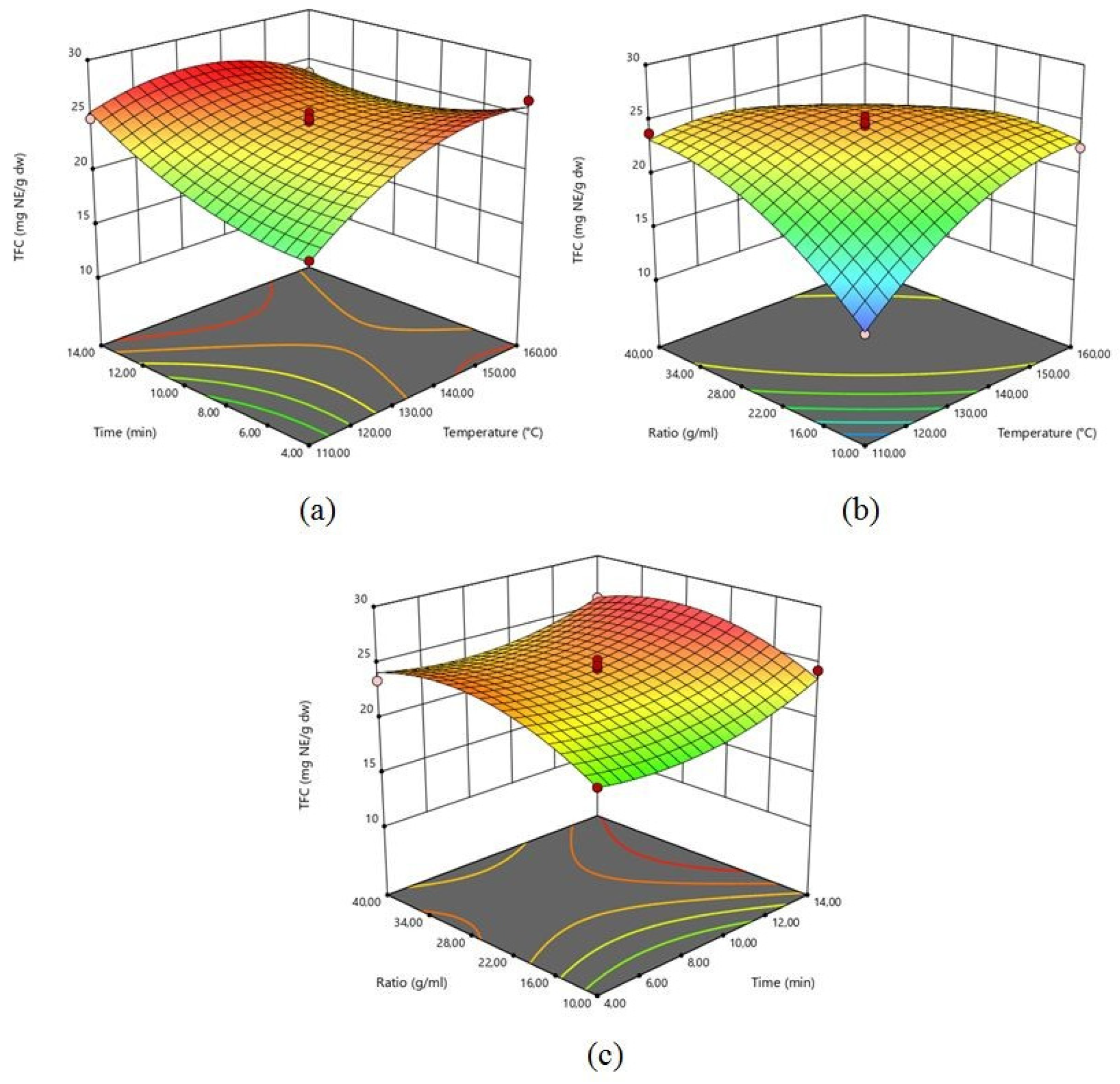
3.1.2. Effect of MWP-CO2-H2O Process Parameters on TFC
3.1.3. Optimization of MWP-CO2-H2O Extraction Conditions and Model Verification
3.2. Comparison of MWP-CO2-H2O and CE Methods
3.3. Quantitative Evaluation of Individual Phytochemicals of Grapefruit Peel Extracts Obtained from MWP-CO2-H2O and Conventional Extraction Methods
4. Conclusions
Supplementary Materials
Author Contributions
Funding
Data Availability Statement
Conflicts of Interest
References
- Suri, S.; Singh, A.; Nema, P.K. Current applications of citrus fruit processing waste: A scientific outlook. Appl. Food Res. 2022, 2, 100050. [Google Scholar] [CrossRef]
- Fu, Y.; Yang, Z.; Xia, Y.; Xing, Y.; Gui, X. Adsorption of ciprofloxacin pollutants in aqueous solution using modified waste grapefruit peel. Energy Sour. Part A Recovery Util. Environ. Eff. 2021, 43, 225–234. [Google Scholar] [CrossRef]
- Foreign Agricultural Service, U.S. Department of Agriculture. Production—Grapefruit. Available online: https://fas.usda.gov/data/production/commodity/0572220 (accessed on 25 January 2024).
- Garcia-Castello, E.M.; Rodriguez-Lopez, A.D.; Mayor, L.; Ballesteros, R.; Conidi, C.; Cassano, A. Optimization of conventional and ultrasound assisted extraction of flavonoids from grapefruit (Citrus paradisi L.) solid wastes. LWT-Food Sci. Technol. 2015, 64, 1114–1122. [Google Scholar] [CrossRef]
- Wilkins, M.R.; Widmer, W.W.; Rohmann, K.G.; Cameron, R.G. Hydrolysis of grapefruit peel waste with cellulase and pectinase enzymes. Bioresour. Technol. 2007, 98, 1596–1601. [Google Scholar] [CrossRef] [PubMed]
- Mahato, N.; Sharma, K.; Sinha, M.; Cho, M.H. Citrus waste derived nutra-/pharmaceuticals for health benefits: Current trends and future perspectives. J. Funct. Foods 2018, 40, 307–316. [Google Scholar] [CrossRef]
- Zema, D.A.; Calabrò, P.S.; Folino, A.; Tamburino, V.; Zappia, G.; Zimbone, S.M. Valorisation of citrus processing waste: A review. Waste Manag. 2018, 80, 252–273. [Google Scholar] [CrossRef]
- Kim, I.J.; Jeong, D.; Kim, S.R. Upstream processes of citrus fruit waste biorefinery for complete valorization. Bioresour. Technol. 2022, 362, 127776. [Google Scholar] [CrossRef]
- Gómez-Mejía, E.; Rosales-Conrado, N.; León-González, M.E.; Madrid, Y. Citrus peels waste as a source of value-added compounds: Extraction and quantification of bioactive polyphenols. Food Chem. 2019, 295, 289–299. [Google Scholar] [CrossRef]
- Khan, M.K.; Dangles, O. A comprehensive review on flavanones, the major citrus polyphenols. J. Food Compos. Anal. 2014, 33, 85–104. [Google Scholar] [CrossRef]
- Shilpa, V.S.; Shams, R.; Dash, K.K.; Pandey, V.K.; Dar, A.H.; Ayaz Mukarram, S.; Harsányi, E.; Kovács, B. Phytochemical properties, extraction, and pharmacological benefits of naringin: A review. Molecules 2023, 28, 5623. [Google Scholar] [CrossRef] [PubMed]
- Peterson, J.J.; Beecher, G.R.; Bhagwat, S.A.; Dwyer, J.T.; Gebhardt, S.E.; Haytowitz, D.B.; Holden, J.M. Flavanones in grapefruit, lemons, and limes: A compilation and review of the data from the analytical literature. J. Food Compos. Anal. 2006, 19, 74–80. [Google Scholar] [CrossRef]
- Alam, M.A.; Subhan, N.; Rahman, M.M.; Uddin, S.J.; Reza, H.M.; Sarker, S.D. Effect of citrus flavonoids, naringin and naringenin, on metabolic syndrome and their mechanisms of action. Adv. Nutr. 2014, 5, 404–417. [Google Scholar] [CrossRef]
- Orsat, V.; Routray, W. Dominguez, G., Muñoz, M.J.G., Eds.; Microwave-assisted extraction of flavonoids. In Water Extraction of Bioactive Compounds from Plants to Drug Development; Elsevier: Amsterdam, The Netherlands, 2017; pp. 221–244. [Google Scholar]
- de Castro, M.L.; Priego-Capote, F. Lebovka, N., Vorobiev, E., Chemat, F., Eds.; Microwave-assisted extraction. In Enhancing Extraction Processes in the Food Industry; CRC Press: Boca Raton, FL, USA, 2011; pp. 85–122. [Google Scholar]
- Chan, C.H.; Yusoff, R.; Ngoh, G.C.; Kung, F.W.L. Microwave-assisted extractions of active ingredients from plants. J. Chromatogr. A 2011, 1218, 6213–6225. [Google Scholar] [CrossRef]
- Hazal, F.; Özbek, H.N.; Göğüş, F.; Koçak Yanık, D. The green novel approach in hydrolysis of pistachio shell into xylose by microwave-assisted high-pressure CO2/H2O. J. Sci. Food Agric. 2024, 104, 116–124. [Google Scholar] [CrossRef]
- Öztürk, T.; Özbek, H.N.; Koçak Yanık, D. Environmentally Friendly Approach to Pectin Extraction from Grapefruit Peel: Microwave-Assisted High-Pressure CO2/H2O. Foods 2024, 13, 476. [Google Scholar] [CrossRef] [PubMed]
- Tomasi, I.T.; Santos, S.C.; Boaventura, R.A.; Botelho, C.M. Optimization of microwave-assisted extraction of phenolic compounds from chestnut processing waste using response surface methodology. J. Clean. Prod. 2023, 395, 136452. [Google Scholar] [CrossRef]
- Huang, R.; Wu, W.; Shen, S.; Fan, J.; Chang, Y.; Chen, S.; Ye, X. Evaluation of colorimetric methods for quantification of citrus flavonoids to avoid misuse. Anal. Methods 2018, 10, 2575–2587. [Google Scholar] [CrossRef]
- Singleton, V.L.; Orthofer, R.; Lamuela-Raventos, R.M. Analysis of total phenols and other oxidation substrates and antioxidants by means of Folin-Ciocalteu reagent. Methods Enzymol. 1999, 299, 152–178. [Google Scholar] [CrossRef]
- Benzie, I.F.F.; Strain, J.J. The ferric reducing ability of plasma (FRAP) as a measure of “antioxidant power”: The FRAP assay. Anal. Biochem. 1996, 239, 70–76. [Google Scholar] [CrossRef]
- Apak, R.; Güçlü, K.; Özyürek, M.; Karademir, S.E. Novel total antioxidant capacity index for dietary polyphenols and vitamins C and E, using their cupric ion reducing capability in the presence of neocuproine: CUPRAC method. J. Agric. Food Chem. 2004, 52, 7970–7981. [Google Scholar] [CrossRef]
- Brand-Williams, W.; Cuvelier, M.E.; Berset, C.L.W.T. Use of a free radical method to evaluate antioxidant activity. LWT-Food Sci. Technol. 1995, 28, 25–30. [Google Scholar] [CrossRef]
- Ozdemirli, N.; Kamiloglu, S. Changes in the bioaccessibility of citrus polyphenols during industrial freezing process. Int. J. Food Sci. Technol. 2023, 58, 5819–5828. [Google Scholar] [CrossRef]
- Weremfo, A.; Abassah-Oppong, S.; Adulley, F.; Dabie, K.; Seidu-Larry, S. Response surface methodology as a tool to optimize the extraction of bioactive compounds from plant sources. J. Sci. Food Agric. 2023, 103, 26–36. [Google Scholar] [CrossRef]
- Liyana-Pathirana, C.; Shahidi, F. Optimization of extraction of phenolic compounds from wheat using response surface methodology. Food Chem. 2005, 93, 47–56. [Google Scholar] [CrossRef]
- Bezerra, M.A.; Santelli, R.E.; Oliveira, E.P.; Villar, L.S.; Escaleira, L.A. Response surface methodology (RSM) as a tool for optimization in analytical chemistry. Talanta 2008, 76, 965–977. [Google Scholar] [CrossRef] [PubMed]
- Xiao, W.; Han, L.; Shi, B. Microwave-assisted extraction of flavonoids from Radix Astragali. Sep. Purif. Technol. 2008, 62, 614–618. [Google Scholar] [CrossRef]
- Nayak, B.; Dahmoune, F.; Moussi, K.; Remini, H.; Dairi, S.; Aoun, O.; Khodir, M. Comparison of microwave, ultrasound and accelerated-assisted solvent extraction for recovery of polyphenols from Citrus sinensis peels. Food Chem. 2015, 187, 507–516. [Google Scholar] [CrossRef] [PubMed]
- Alara, O.R.; Abdurahman, N.H.; Olalere, O.A. Optimization of microwave-assisted extraction of flavonoids and antioxidants from Vernonia amygdalina leaf using response surface methodology. Food Bioprod. Process. 2018, 107, 36–48. [Google Scholar] [CrossRef]
- García-Martín, J.F.; Feng, C.H.; Domínguez-Fernández, N.M.; Álvarez-Mateos, P. Microwave-Assisted Extraction of Polyphenols from Bitter Orange Industrial Waste and Identification of the Main Compounds. Life 2023, 13, 1864. [Google Scholar] [CrossRef]
- Krishnan, R.Y.; Rajan, K.S. Microwave assisted extraction of flavonoids from Terminalia bellerica: Study of kinetics and thermodynamics. Sep. Purif. Technol. 2016, 157, 169–178. [Google Scholar] [CrossRef]
- Özbek, H.N.; Koçak Yanık, D.; Fadıloğlu, S.; Göğüş, F. Optimization of microwave-assisted extraction of bioactive compounds from pistachio (Pistacia vera L.) hull. Sep. Sci. Technol. 2020, 55, 289–299. [Google Scholar] [CrossRef]
- Alchera, F.; Ginepro, M.; Giacalone, G. Microwave-assisted extraction (MAE) of bioactive compounds from blueberry by-products using a sugar-based NADES: A novelty in green chemistry. LWT-Food Sci. Technol. 2024, 192, 115642. [Google Scholar] [CrossRef]
- Dahmoune, F.; Nayak, B.; Moussi, K.; Remini, H.; Madani, K. Optimization of microwave-assisted extraction of polyphenols from Myrtus communis L. leaves. Food Chem. 2015, 166, 585–595. [Google Scholar] [CrossRef] [PubMed]
- Romano, R.; De Luca, L.; Aiello, A.; Rossi, D.; Pizzolongo, F.; Masi, P. Bioactive compounds extracted by liquid and supercritical carbon dioxide from citrus peels. Int. J. Food Sci. Technol. 2022, 57, 3826–3837. [Google Scholar] [CrossRef]
- Ciğeroğlu, Z.; Kırbaşlar, Ş.İ.; Şahin, S.; Köprücü, G. Optimization and kinetic studies of ultrasound-assisted extraction on polyphenols from Satsuma Mandarin (Citrus unshiu Marc.) leaves. Iran. J. Chem. Chem. Eng. 2017, 36, 163–171. [Google Scholar] [CrossRef]
- Azahar, S.S.; Raja, P.B.; Ibrahim, M.N.M.; Awang, K.; Zakeyuddin, M.S.; Hamidon, T.S.; Hussin, M.H. Extraction of flavonoids from Butterfly blue pea (Clitoria ternatea) flower as carbon steel corrosion inhibitor in CO2 environment: Experimental and theoretical approaches. J. Mol. Liq. 2024, 396, 124056. [Google Scholar] [CrossRef]
- Stabrauskiene, J.; Marksa, M.; Ivanauskas, L.; Viskelis, P.; Viskelis, J.; Bernatoniene, J. Citrus × paradisi L. fruit waste: The impact of eco-friendly extraction techniques on the phytochemical and antioxidant potential. Nutrients 2023, 15, 1276. [Google Scholar] [CrossRef]
- Khan, M.K.; Abert-Vian, M.; Fabiano-Tixier, A.S.; Dangles, O.; Chemat, F. Ultrasound-assisted extraction of polyphenols (flavanone glycosides) from orange (Citrus sinensis L.) peel. Food Chem. 2010, 119, 851–858. [Google Scholar] [CrossRef]
- Wang, Z.; Mei, X.; Chen, X.; Rao, S.; Ju, T.; Li, J.; Yang, Z. Extraction and recovery of bioactive soluble phenolic compounds from brocade orange (Citrus sinensis) peels: Effect of different extraction methods thereon. LWT-Food Sci. Technol. 2023, 173, 114337. [Google Scholar] [CrossRef]
- Boateng, I.D. Mechanisms, capabilities, limitations, and economic stability outlook for extracting phenolics from agro-byproducts using emerging thermal extraction technologies and their combinative effects. Food Bioproc. Tech. 2024, 17, 1109–1140. [Google Scholar] [CrossRef]
- Kaanin-Boudraa, G.; Brahmi, F.; Wrona, M.; Nerín, C.; Moudache, M.; Mouhoubi, K.; Madani, K.; Boulekbache-Makhlouf, L. Response surface methodology and UPLC-QTOF-MSE analysis of phenolic compounds from grapefruit (Citrus × paradisi) by-products as novel ingredients for new antioxidant packaging. LWT-Food Sci. Technol. 2021, 151, 112158. [Google Scholar] [CrossRef]
- Nishad, J.; Saha, S.; Dubey, A.K.; Varghese, E.; Kaur, C. Optimization and comparison of non-conventional extraction technologies for Citrus paradisi L. peels: A valorization approach. J. Food Sci. Technol. 2019, 56, 1221–1233. [Google Scholar] [CrossRef]
- M’hiri, N.; Ioannou, I.; Boudhrioua, N.M.; Ghoul, M. Effect of different operating conditions on the extraction of phenolic compounds in orange peel. Food Bioprod. Process. 2015, 96, 161–170. [Google Scholar] [CrossRef]
- Williamson, G.; Plumb, G.W.; Garcia-Conesa, M.T. Gross, G.G., Hemingway, R.W., Yoshida, T., Branham, S.J., Eds.; Glycosylation, esterification, and polymerization of flavonoids and hydroxycinnamates: Effects on antioxidant properties. In Plant Polyphenols 2: Chemistry, Biology, Pharmacology, Ecology; Springer: Boston, MA, USA, 1999; pp. 483–494. [Google Scholar]
- Park, Y.S.; Cvikrová, M.; Martincová, O.; Ham, K.S.; Kang, S.G.; Park, Y.K.; Namiesnik, J.; Rombolà, A.D.; Jastrzebski, Z.; Gorinstein, S. In vitro antioxidative and binding properties of phenolics in traditional, citrus and exotic fruits. Food Res. Int. 2015, 74, 37–47. [Google Scholar] [CrossRef]
- Zeković, Z.; Vladić, J.; Vidović, S.; Adamović, D.; Pavlić, B. Optimization of microwave-assisted extraction (MAE) of coriander phenolic antioxidants–response surface methodology approach. J. Sci. Food Agric. 2016, 96, 4613–4622. [Google Scholar] [CrossRef] [PubMed]
- Goulas, V.; Manganaris, G.A. Exploring the phytochemical content and the antioxidant potential of Citrus fruits grown in Cyprus. Food Chem. 2012, 131, 39–47. [Google Scholar] [CrossRef]
- Zhang, M.; Duan, C.; Zang, Y.; Huang, Z.; Liu, G. The flavonoid composition of flavedo and juice from the pummelo cultivar (Citrus grandis (L.) Osbeck) and the grapefruit cultivar (Citrus paradisi) from China. Food Chem. 2011, 129, 1530–1536. [Google Scholar] [CrossRef]
- Xi, W.; Zhang, G.; Jiang, D.; Zhou, Z. Phenolic compositions and antioxidant activities of grapefruit (Citrus paradisi Macfadyen) varieties cultivated in China. Int. J. Food Sci. Nutr. 2015, 66, 858–866. [Google Scholar] [CrossRef]
- He, D.; Shan, Y.; Wu, Y.; Liu, G.; Chen, B.; Yao, S. Simultaneous determination of flavanones, hydroxycinnamic acids and alkaloids in citrus fruits by HPLC-DAD–ESI/MS. Food Chem. 2011, 127, 880–885. [Google Scholar] [CrossRef]


| Run | Factors | Response | |||
|---|---|---|---|---|---|
| X1 (°C) | X2 (min) | X3 (g/mL) | TFC (mg NE/g dw) | ||
| Predicted Value | Experimental Value | ||||
| 1 | 135.00 | 9.00 | 1:25.00 | 24.45 | 24.81 |
| 2 | 110.00 | 9.00 | 1:40.00 | 23.20 | 23.81 |
| 3 | 135.00 | 14.00 | 1:40.00 | 25.92 | 25.90 |
| 4 | 110.00 | 4.00 | 1:25.00 | 19.03 | 19.18 |
| 5 | 160.00 | 4.00 | 1:25.00 | 25.83 | 26.41 |
| 6 | 160.00 | 14.00 | 1:25.00 | 23.93 | 23.79 |
| 7 | 110.00 | 9.00 | 1:10.00 | 13.35 | 13.18 |
| 8 | 135.00 | 4.00 | 1:40.00 | 23.18 | 23.44 |
| 9 | 135.00 | 9.00 | 1:25.00 | 24.45 | 24.72 |
| 10 | 135.00 | 14.00 | 1:10.00 | 23.61 | 23.46 |
| 11 | 135.00 | 9.00 | 1:25.00 | 24.45 | 25.35 |
| 12 | 135.00 | 9.00 | 1:25.00 | 24.45 | 24.48 |
| 13 | 135.00 | 9.00 | 1:25.00 | 24.45 | 22.91 |
| 14 | 160.00 | 9.00 | 1:10.00 | 23.09 | 22.49 |
| 15 | 160.00 | 9.00 | 1:40.00 | 18.82 | 18.99 |
| 16 | 110.00 | 14.00 | 1:25.00 | 25.35 | 24.78 |
| 17 | 135.00 | 4.00 | 1:10.00 | 20.93 | 20.96 |
| Outputs | Extraction Method | |
|---|---|---|
| CE | MWP-CO2-H2O | |
| TFC (mg NE/g dw) | 21.12 ± 1.07 a | 27.96 ± 1.29 b |
| TPC (mg GAE/g dw) | 21.27 ± 0.57 a | 25.42 ± 1.39 b |
| FRAP (µmol TE/g dw) | 25.97 ± 0.70 a | 39.16 ± 1.61 b |
| CUPRAC (µmol TE/g dw) | 60.07 ± 0.48 a | 81.64 ± 0.29 b |
| DPPH-IC50 (mg/mL) | 1.73 ± 0.01 a | 1.60 ± 0.01 b |
| Responses | r a | ||||
|---|---|---|---|---|---|
| TFC | TPC | FRAP | CUPRAC | DPPH-IC50 | |
| TFC b | 1.000 | ||||
| TPC c | 0.999 | 1.000 | |||
| FRAP d | 0.890 | 0.873 | 1.000 | ||
| CUPRAC e | 0.871 | 0.852 | 0.999 * | 1.000 | |
| DPPH-IC50 f | −0.908 | −0.892 | −0.999 * | −0.997 | 1.000 |
| Individual Compounds | Extraction Method | |
|---|---|---|
| CE | MWP-CO2-H2O | |
| Chlorogenic acid | 0.18 ± 0.01 a | 0.30 ± 0.02 b |
| Caffeic acid | 0.31 ± 0.01 a | 0.76 ± 0.02 b |
| Narirutin | 1.34 ± 0.01 a | 5.76 ± 0.10 b |
| Naringin | 20.51 ± 0.50 a | 25.24 ± 0.26 b |
| Total | 22.35 ± 0.56 a | 32.07 ± 0.39 b |
Disclaimer/Publisher’s Note: The statements, opinions and data contained in all publications are solely those of the individual author(s) and contributor(s) and not of MDPI and/or the editor(s). MDPI and/or the editor(s) disclaim responsibility for any injury to people or property resulting from any ideas, methods, instructions or products referred to in the content. |
© 2025 by the authors. Licensee MDPI, Basel, Switzerland. This article is an open access article distributed under the terms and conditions of the Creative Commons Attribution (CC BY) license (https://creativecommons.org/licenses/by/4.0/).
Share and Cite
Özbek, H.N.; Armağan, H.S.; Özel, M.Z.; Koçak Yanık, D.; Göğüş, F. A Green and Innovative Waste Valorization Approach for Extraction of Flavonoids from Grapefruit Peels by Microwave-Assisted Pressurized CO2-H2O Extraction. Plants 2025, 14, 3410. https://doi.org/10.3390/plants14223410
Özbek HN, Armağan HS, Özel MZ, Koçak Yanık D, Göğüş F. A Green and Innovative Waste Valorization Approach for Extraction of Flavonoids from Grapefruit Peels by Microwave-Assisted Pressurized CO2-H2O Extraction. Plants. 2025; 14(22):3410. https://doi.org/10.3390/plants14223410
Chicago/Turabian StyleÖzbek, Hatice Neval, Hikmet Sabri Armağan, Mustafa Zafer Özel, Derya Koçak Yanık, and Fahrettin Göğüş. 2025. "A Green and Innovative Waste Valorization Approach for Extraction of Flavonoids from Grapefruit Peels by Microwave-Assisted Pressurized CO2-H2O Extraction" Plants 14, no. 22: 3410. https://doi.org/10.3390/plants14223410
APA StyleÖzbek, H. N., Armağan, H. S., Özel, M. Z., Koçak Yanık, D., & Göğüş, F. (2025). A Green and Innovative Waste Valorization Approach for Extraction of Flavonoids from Grapefruit Peels by Microwave-Assisted Pressurized CO2-H2O Extraction. Plants, 14(22), 3410. https://doi.org/10.3390/plants14223410

