Effects of Long-Term Controlled-Release Urea on Soil Greenhouse Gas Emissions in an Open-Field Lettuce System
Abstract
1. Introduction
2. Results
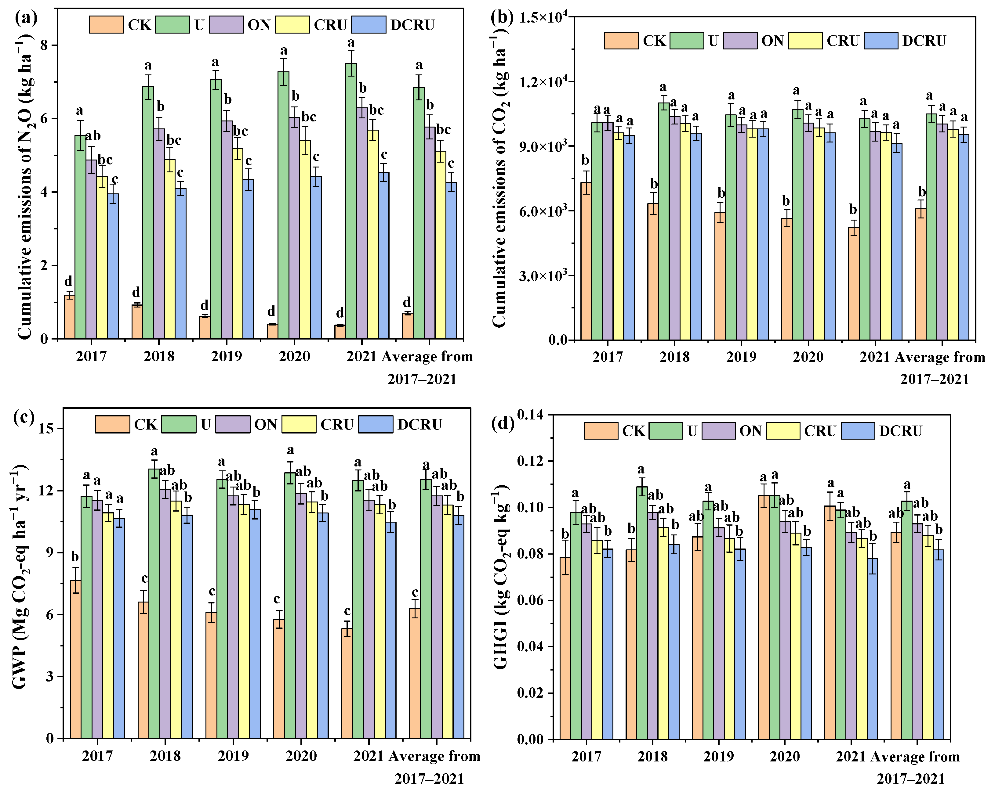
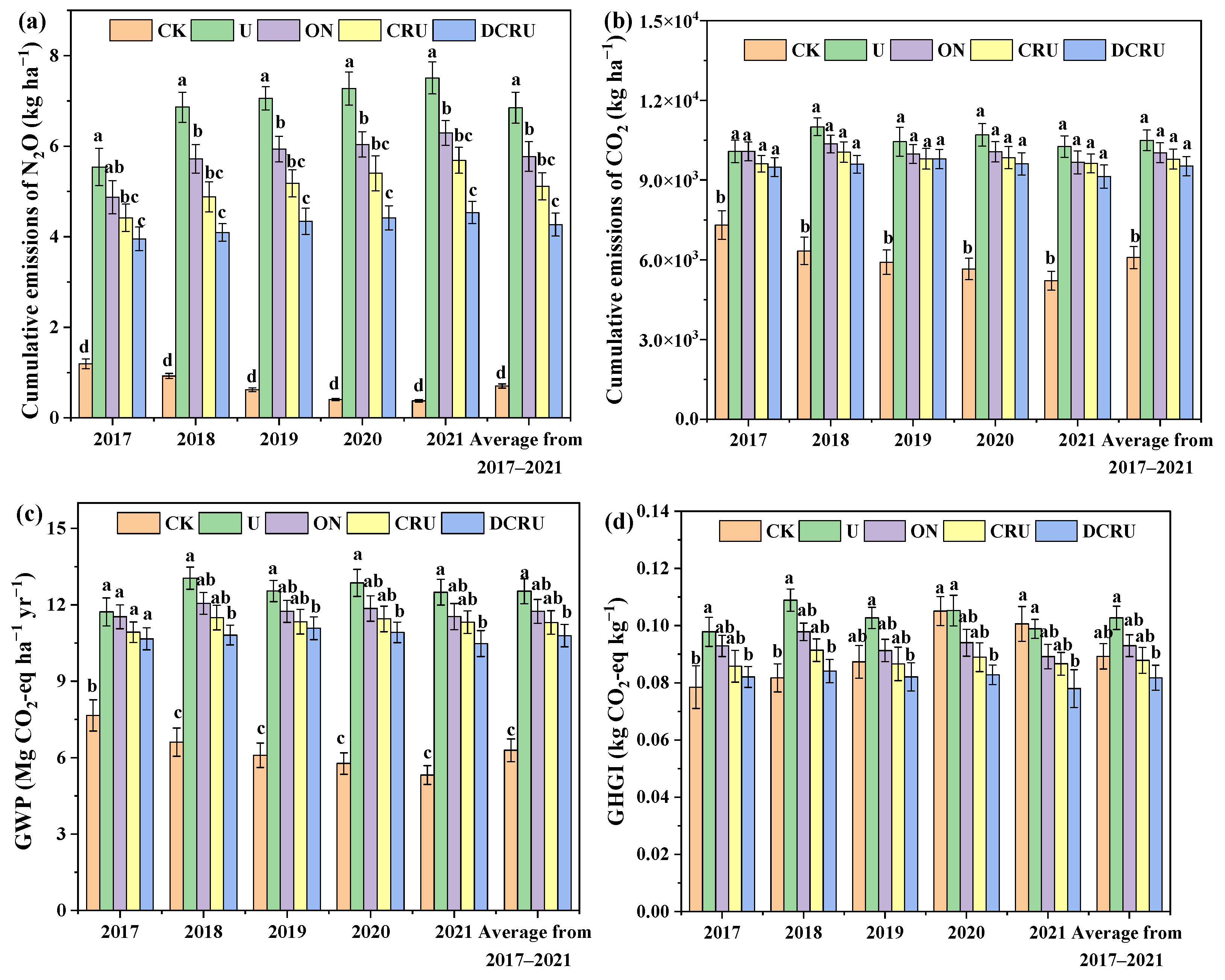
2.1. N2O and CO2 Emissions
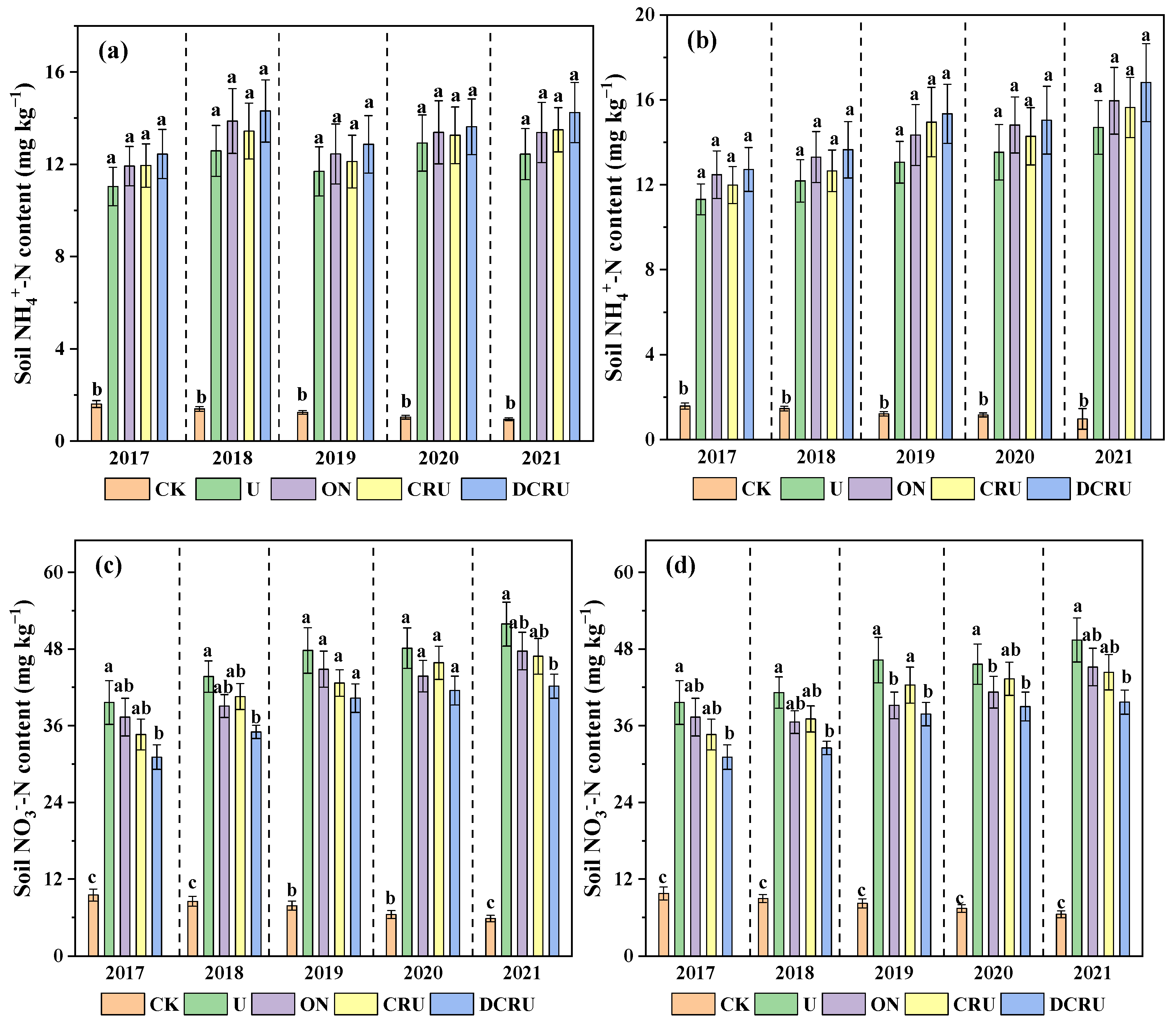
2.2. Soil NH4+-N and NO3−-N Contents
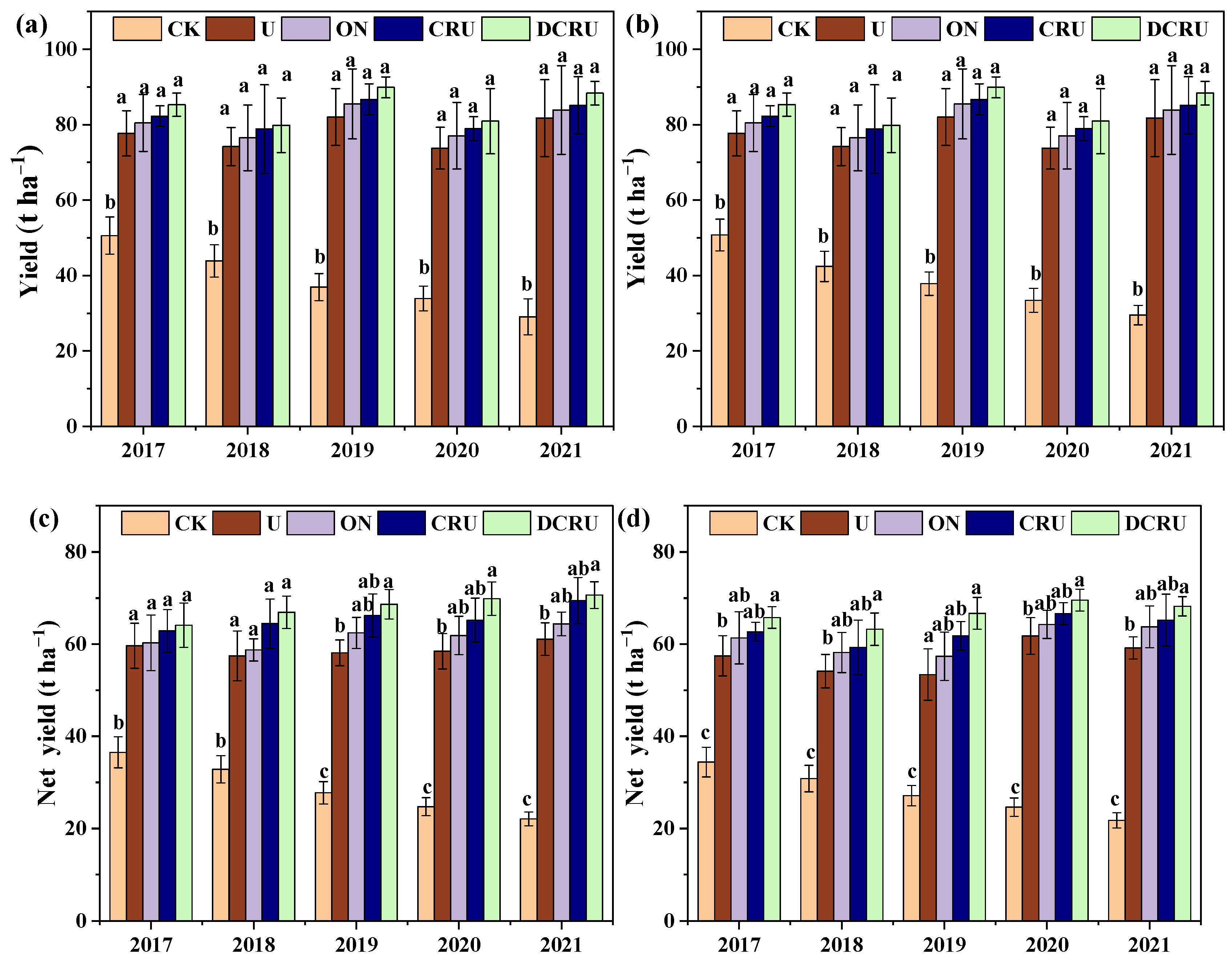
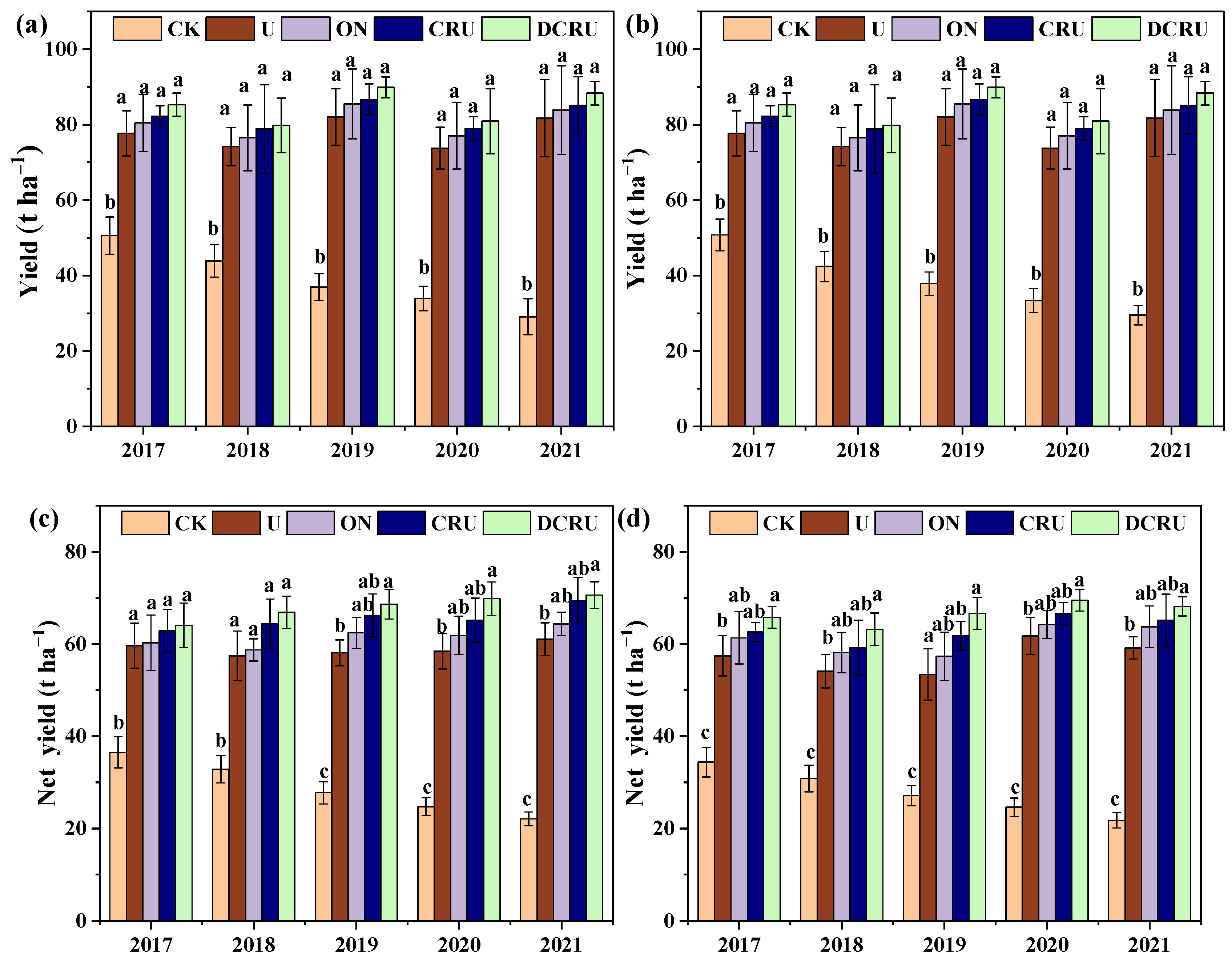
2.3. Lettuce Yield and N Content
3. Discussion
3.1. Effects of Different Fertilization Treatments on N2O Emissions
3.2. Effects of Different Fertilization Treatments on CO2 Emissions
3.3. Responses of Lettuce Yields and GHGI to N Application
4. Materials and Methods
4.1. Study Site
4.2. Experimental Design
4.3. Sampling and Measurement
4.4. Statistical Analysis
5. Conclusions
Supplementary Materials
Author Contributions
Funding
Data Availability Statement
Acknowledgments
Conflicts of Interest
References
- Carlson, K.M.; Gerber, J.S.; Mueller, N.D.; Herrero, M.; West, P.C. Greenhouse gas emissions intensity of global croplands. Nat. Clim. Chang. 2017, 7, 63–68. [Google Scholar] [CrossRef]
- IPCC. Climate Change and Land: An IPCC Special Report on Climate Change, Desertification, Land Degradation, Sustainable Land Management, Food security, and Greenhouse Gas Fluxes in Terrestrial Ecosystems; Ng, C.C., Ed.; IPCC: Geneva, Switzerland, 2019; pp. 243–343. [Google Scholar]
- Ahmed, M. Introduction to modern climate change. Sci. Total Environ. 2020, 734, 139397. [Google Scholar] [CrossRef]
- Sun, Q.H.; Miao, C.Y.; Hanel, M.; Borthwick, A.G.L.; Duan, Q.Y.; Ji, D.Y.; Li, H. Global heat stress on health, wildfires, and agricultural crops under different levels of climate warming. Environ. Int. 2019, 128, 125–136. [Google Scholar] [CrossRef]
- Khatri-Chhetri, A.; Costa, J.C.; Wollenberg, E. Greenhouse gas mitigation co-benefits across the global agricultural development programs. Glob. Environ. Chang. 2022, 76, 102586. [Google Scholar] [CrossRef]
- Shakoor, A.; Gan, M.Q.; Yin, H.X.; Yang, W.; He, F.; Zuo, H.F.; Ma, Y.H.; Yang, S.Y. Influence of nitrogen fertilizer and straw returning on CH4 emission from a paddy field in chao lake basin, China. Appl. Ecol. Environ. Res. 2020, 18, 1585–1600. [Google Scholar] [CrossRef]
- Huang, T.; Hu, X.K.; Gao, B.; Yang, H.; Huang, C.C.; Ju, X.T. Improved nitrogen management as a key mitigation to net global warming potential and greenhouse gas intensity on the North China plain. Soil Sci. Soc. Am. J. 2018, 82, 136–146. [Google Scholar] [CrossRef]
- Mueller, N.D.; Gerber, J.S.; Johnston, M.; Ray, D.K.; Ramankutty, N.; Foley, J.A. Closing yield gaps through nutrient and water management. Nature 2012, 490, 254–257. [Google Scholar] [CrossRef]
- Cheng, K.; Pan, G.X.; Smith, P.; Luo, T.; Li, L.Q.; Zheng, J.W.; Zhang, X.H.; Han, X.J.; Yan, M. Carbon footprint of China’s crop production-An estimation using agro-statistics data over 1993–2007. Agric. Ecosyst. Environ. 2011, 142, 231–237. [Google Scholar] [CrossRef]
- Xu, Q.; Dai, L.X.; Shang, Z.Y.; Zhou, Y.; Li, J.Y.; Dou, Z.; Yuan, X.C.; Gao, H. Application of controlled-release urea to maintain rice yield and mitigate greenhouse gas emissions of rice–crayfish coculture field. Agric. Ecosyst. Environ. 2023, 344, 108312. [Google Scholar] [CrossRef]
- Ding, W.H.; Chang, N.J.; Zhang, J.; Li, G.C.; Zhang, J.F.; Ju, X.H.; Zhang, G.L.; Li, H. Optimized fertigation mitigates N2O and NO emissions and enhances NH3 volatilizations in an intensified greenhouse vegetable system. Agric. Water Manag. 2022, 272, 107797. [Google Scholar] [CrossRef]
- Sun, Y.; Mi, W.H.; Su, L.J.; Shan, Y.Y.; Wu, L.H. Controlled-release fertilizer enhances rice grain yield and N recovery efficiency in continuous non-flooding plastic film mulching cultivation system. Field Crops Res. 2019, 231, 122–129. [Google Scholar] [CrossRef]
- Zhang, G.X.; Zhao, D.H.; Liu, S.J.; Liao, Y.C.; Han, J. Can controlled-release urea replace the split application of normal urea in China? A meta-analysis based on crop grain yield and nitrogen use efficiency. Field Crops Res. 2022, 275, 108343. [Google Scholar] [CrossRef]
- Yang, M.; Hou, Z.H.; Guo, N.X.; Yang, E.; Sun, D.; Fang, Y.T. Effects of enhanced-efficiency nitrogen fertilizers on CH4 and CO2 emissions in a global perspective. Field Crops Res. 2022, 288, 108694. [Google Scholar] [CrossRef]
- Chen, Z.M.; Wang, Q.; Ma, J.W.; Zou, P.; Jiang, L.N. Impact of controlled-release urea on rice yield, nitrogen use efficiency and soil fertility in a single rice cropping system. Sci. Rep. 2020, 10, 10432. [Google Scholar] [CrossRef] [PubMed]
- Fan, D.J.; He, W.T.; Jiang, R.; Song, D.P.; Zou, G.Y.; Chen, Y.H.; Cao, B.; Wang, J.C.; Wang, X.X. Enhanced efficiency fertilizers impact on nitrogen use efficiency and nitrous oxide emissions from an open-field vegetable system in North China. Plants 2023, 12, 81. [Google Scholar] [CrossRef] [PubMed]
- Chi, Y.; Yang, P.; Ren, S.; Ma, N.; Yang, J.; Xu, Y. Effects of fertilizer types and water quality on carbon dioxide emissions from soil in wheat-maize rotations. Sci. Total Environ. 2020, 698, 134010. [Google Scholar] [CrossRef]
- Liang, Z.H.; Jin, X.; Zhai, P.F.; Zhao, Y.; Cai, J.W.; Li, S.P.; Yang, S.Y.; Li, C.Z.; Li, C.J. Combination of organic fertilizer and slow-release fertilizer increases pineapple yields, agronomic efficiency and reduces greenhouse gas emissions under reduced fertilization conditions in tropical areas. J. Clean. Prod. 2022, 343, 131054. [Google Scholar] [CrossRef]
- Fan, D.J.; Wang, X.X.; Song, D.P.; Shi, Y.Y.; Chen, Y.H.; Wang, J.C.; Cao, B.; Zou, G.Y.; He, W.T. Optimizing nitrogen management to mitigate gaseous losses and improve net benefits of an open-field Chinese cabbage system. J. Environ. Manag. 2022, 318, 115583. [Google Scholar] [CrossRef]
- Abalos, D.; Jeffery, S.; Sanz-Cobena, A.; Guardia, G.; Vallejo, A. Meta-analysis of the effect of urease and nitrification inhibitors on crop productivity and nitrogen use efficiency. Agric. Ecosyst. Environ. 2014, 189, 136–144. [Google Scholar] [CrossRef]
- Tufail, M.A.; Naeem, A.; Arif, M.S.; Farooq, T.H.; Shahzad, S.M.; Dar, A.A.; Albasher, G.; Shakoor, A. Unraveling the efficacy of nitrification inhibitors (DCD and DMPP) in reducing nitrogen gases emissions across agroecosystems: A three-decade global data synthesis (1993–2021). Fuel 2022, 324, 124725. [Google Scholar] [CrossRef]
- Moir, J.L.; Malcolm, B.J.; Cameron, K.C.; Di, H.J. The effect of dicyandiamide on pasture nitrate concentration, yield and N offtake under high N loading in winter and spring. Grass Forage Sci. 2012, 67, 391–402. [Google Scholar] [CrossRef]
- Yin, M.; Gao, X.; Kuang, W.; Zhang, Y.H. Meta-analysis of the effect of nitrification inhibitors on the abundance and community structure of N2O-related functional genes in agricultural soils. Sci. Total Environ. 2023, 865, 161215. [Google Scholar] [CrossRef] [PubMed]
- Luo, Y.; Li, G.; Luo, W.; Schuchardt, F.; Jiang, T.; Xu, D. Effect of phosphogypsum and dicyandiamide as additives on NH3, N2O and CH4 emissions during composting. J. Environ. 2013, 25, 1338–1345. [Google Scholar] [CrossRef]
- Weiske, A.; Benckiser, G.; Herbert, T.; Ottow, J. Influence of the nitrification inhibitor 3, 4-dimethylpyrazole phosphate (DMPP) in comparison to dicyandiamide (DCD) on nitrous oxide emissions, carbon dioxide fluxes and methane oxidation during 3 years of repeated application in field experiments. Biol. Fert. Soils 2001, 34, 109–117. [Google Scholar]
- Raza, S.; Yun, J.; Elrys, A.S.; Tao, J.; Zhou, J. Dicyandiamide efficacy of inhibiting nitrification and carbon dioxide emission from calcareous soil depends on temperature and moisture contents. Arch. Agron. Soil Sci. 2021, 68, 1413–1429. [Google Scholar] [CrossRef]
- Ge, Y.; Yu, L.I.; Dong, Y.J.; He, M.R.; Dai, X.L. Effect of synergistic urea by nitrification inhibitor coated with resin on wheat growth and soil nitrogen supply. Pedosphere 2023, 33, 1–12. [Google Scholar] [CrossRef]
- Rashti, M.R.; Wang, W.; Moody, P.; Chen, C.; Ghadiri, H. Fertiliser-induced nitrous oxide emissions from vegetable production in the world and the regulating factors: A review. Atmos. Environ. 2015, 112, 225–233. [Google Scholar] [CrossRef]
- Zhang, F.; Liu, F.B.; Ma, X.; Guo, G.Z.; Liu, B.; Cheng, T.H.; Liang, T.; Tao, W.L.; Chen, X.P.; Wang, X.Z. Greenhouse gas emissions from vegetables production in China. J. Clean. Prod. 2021, 317, 128449. [Google Scholar] [CrossRef]
- Yao, Z.; Yan, G.; Wang, R.; Zheng, X.; Liu, C.; Butterbach-Bahl, K. Drip irrigation or reduced N-fertilizer rate can mitigate the high annual N2O+NO fluxes from Chinese intensive greenhouse vegetable systems. Atmos. Environ. 2019, 212, 183–193. [Google Scholar] [CrossRef]
- Wang, X.Z.; Zou, C.Q.; Gao, X.P.; Guan, X.L.; Zhang, W.H.; Zhang, Y.Q.; Shi, X.J.; Chen, X.P. Nitrous oxide emissions in Chinese vegetable systems: A meta-analysis. Environ. Pollut. 2018, 239, 375–383. [Google Scholar] [CrossRef] [PubMed]
- Hu, H.W.; Chen, D.L.; He, J.Z. Microbial regulation of terrestrial nitrous oxide formation: Understanding the biological pathways for prediction of emission rates. FEMS Microbiol. Rev. 2015, 39, 729–749. [Google Scholar] [CrossRef] [PubMed]
- Ye, X.H.; Han, B.; Li, W.; Zhang, X.C.; Zhang, Y.L.; Lin, X.G.; Zou, H.T. Effects of different irrigation methods on nitrous oxide emissions and ammonia oxidizers microorganisms in greenhouse tomato fields. Agric. Water Manag. 2018, 203, 115–123. [Google Scholar] [CrossRef]
- Zhou, P.; Bai, X.L.; Wang, H.Y.; Yang, M.X.; Bao, L.; Deng, X.F.; Chen, Z.J.; Zhou, J.B. Optimizing nitrogen and water management for sustainable greenhouse vegetable production with less greenhouse gas emissions. Agric. Ecosyst. Environ. 2023, 352, 108529. [Google Scholar] [CrossRef]
- Qasim, W.; Xia, L.L.; Lin, S.; Wan, L.; Zhao, Y.M.; Butterbach-Bahl, K. Global greenhouse vegetable production systems are hotspots of soil N2O emissions and nitrogen leaching: A meta-analysis. Environ. Pollut. 2021, 272, 116372. [Google Scholar] [CrossRef]
- Lin, J.T.; Xu, Z.Y.; Xue, Y.H.; Sun, R.H.; Yang, R.G.; Cao, X.X.; Li, H.; Shao, Q.; Lou, Y.H.; Wang, H.; et al. N2O emissions from soils under short-term straw return in a wheat-corn rotation system are associated with changes in the abundance of functional microbes. Agric. Ecosyst. Environ. 2023, 341, 108217. [Google Scholar] [CrossRef]
- Akiyama, H.; Morimoto, S.; Hayatsu, M.; Hayakawa, A.; Sudo, S.; Yagi, K. Nitrification, ammonia-oxidizing communities, and N2O and CH4 fluxes in an imperfectly drained agricultural field fertilized with coated urea with and without dicyandiamide. Biol. Fert. Soils 2013, 49, 213–233. [Google Scholar] [CrossRef]
- Chen, M.; Pan, H.; Sun, M.; He, W.; Wei, M.; Lou, Y.; Wang, H.; Yang, Q.; Feng, H.; Zhuge, Y. Nitrosospira cluster 3 lineage of AOB and nirK of Rhizobiales respectively dominated N2O emissions from nitrification and denitrification in organic and chemical N fertilizer treated soils. Ecol. Indic. 2021, 127, 107722. [Google Scholar] [CrossRef]
- Cheng, Y.; Elrys, A.S.; Wang, J.; Xu, C.; Ni, K.; Zhang, J.; Wang, S.; Cai, Z.; Pacholski, A. Application of enhanced-efficiency nitrogen fertilizers reduces mineral nitrogen usage and emissions of both N2O and NH3 while sustaining yields in a wheat-paddy rotation system. Agric. Ecosyst. Environ. 2022, 324, 107720. [Google Scholar] [CrossRef]
- Ni, B.; Zhang, W.; Xu, X.C.; Wang, L.G.; Bol, R.; Wang, K.Y.; Hu, Z.J.; Zhang, H.X.; Meng, F.Q. Exponential relationship between N2O emission and fertilizer nitrogen input and mechanisms for improving fertilizer nitrogen efficiency under intensive plastic-shed vegetable production in China: A systematic analysis. Agric. Ecosyst. Environ. 2021, 312, 107353. [Google Scholar] [CrossRef]
- Zhang, Z.W.; Chen, G.L.; Yu, X.Y.; Liang, D.; Xu, C.; Ji, C.; Wang, L.; Ma, H.B.; Wang, J.D. A slow-release fertilizer containing cyhalofop-butyl reduces N2O emissions by slowly releasing nitrogen and down-regulating the relative abundance of nirK. Sci. Total Environ. 2024, 906, 167493. [Google Scholar] [CrossRef] [PubMed]
- Min, J.; Sun, H.; Kronzucker, H.J.; Wang, Y.; Shi, W. Comprehensive assessment of the effects of nitrification inhibitor application on reactive nitrogen loss in intensive vegetable production systems. Agric. Ecosyst. Environ. 2021, 307, 107227. [Google Scholar] [CrossRef]
- Giles, M.; Morley, N.; Baggs, E.M.; Daniell, T.J. Soil nitrate reducing processes—drivers, mechanisms for spatial variation, and significance for nitrous oxide production. Front. Microbiol. 2012, 3, 407. [Google Scholar] [CrossRef] [PubMed]
- Yang, M.; Guo, N.X.; Zhang, J.T.; Hou, Z.H.; Chen, Z.X.; Sun, D.; Zou, H.T. Enhanced efficiency nitrogen fertilizer provides a reliable option for mitigating global warming potential in agroecosystems worldwide. Sci. Total Environ. 2023, 26, 168080. [Google Scholar]
- Bortoletto-Santos, R.; Guimaraes, G.G.F.; Roncato, V.; da Cruz, D.F.; Polito, W.L.; Ribeiro, C. Biodegradable oil-based polymeric coatings on urea fertilizer: N release kinetic transformations of urea in soil. Sci. Agric. 2020, 77, 20180033. [Google Scholar] [CrossRef]
- Chataut, G.; Bhatta, B.; Joshi, D.; Subedi, K.; Kafle, K. Greenhouse gases emission from agricultural soil: A review. J. Agric. Food Chem. 2023, 11, 100533. [Google Scholar] [CrossRef]
- Zhong, Y.Q.W.; Yan, W.M.; Shangguan, Z.P. The effects of nitrogen enrichment on soil CO2 fluxes depending on temperature and soil properties. Glob. Ecol. Biogeogr. 2016, 25, 475–488. [Google Scholar] [CrossRef]
- Huang, J.Y.; Richard, H.; Zheng, S.F. Effects of nitrogen fertilization on soil labile carbon fractions of freshwater marsh soil in Northeast China. Int. J. Environ. Sci. Technol. 2014, 11, 2009–2014. [Google Scholar] [CrossRef]
- Lin, S.; Zhang, S.P.; Shen, G.T.; Shaaban, M.; Ju, W.L.; Cui, Y.X.; Duan, C.J.; Fang, L.C. Effects of inorganic and organic fertilizers on CO2 and CH4 fluxes from tea plantation soil. Elem.-Sci. Anthr. 2021, 9, 90–99. [Google Scholar] [CrossRef]
- Huang, M.; Chen, X.P.; Degen, A.A.; Guo, R.Y.; Zhan, T.; Luo, B.Y.; Li, H.Y.; Zhao, J.X.; Shang, Z.H. Nitrogen addition stimulated soil respiration more so than carbon addition in alpine meadows. Environ. Res. 2023, 233, 116501. [Google Scholar] [CrossRef]
- Kim, G.W.; Alam, M.A.; Lee, J.J.; Kim, G.Y.; Kim, P.J.; Khan, M.I. Assessment of direct carbon dioxide emission factor from urea fertilizer in temperate upland soil during warm and cold cropping season. Eur. J. Soil Biol. 2017, 83, 76–83. [Google Scholar] [CrossRef]
- Kim, G.W.; Jeong, S.T.; Kim, G.Y.; Kim, P.J.; Kim, S.Y. Evaluation of carbon dioxide emission factor from urea during rice cropping season: A case study in Korean paddy soil. Atmos. Environ. 2016, 139, 139–146. [Google Scholar] [CrossRef]
- Zhang, K.P.; Wang, Z.Y.; Xu, Q.W.; Liu, B.Y.; Duan, M.C.; Wang, L.C. Effect of controlled-release urea fertilizers for oilseed rape (brassica napus l.) on soil carbon storage and CO2 emission. Environ. Sci. Pollut. Res. 2020, 27, 31983–31994. [Google Scholar] [CrossRef] [PubMed]
- Elrys, A.S.; Raza, S.; Elnahal, A.S.M.; Na, M.; Ahmed, M.; Zhou, J.B.; Chen, Z.J. Do soil property variations affect dicyandiamide efficiency in inhibiting nitrification and minimizing carbon dioxide emissions? Ecotoxicol. Environ. Saf. 2020, 202, 110875. [Google Scholar] [CrossRef] [PubMed]
- Cleveland, C.C.; Townsend, A.R. Nutrient additions to a tropical rain forest drive substantial soil carbon dioxide losses to the atmosphere. Proc. Natl. Acad. Sci. USA 2019, 103, 10316–10321. [Google Scholar] [CrossRef] [PubMed]
- Xiao, Y.; Che, Y.; Zhang, F.; Li, Y.; Liu, M. Effects of biochar, n fertilizer, and crop residues on greenhouse gas emissions from acidic soils. CLEAN–Soil Air Water 2018, 46, 1700346. [Google Scholar] [CrossRef]
- Wang, X.; Bai, J.H.; Xie, T.; Wang, W.; Zhang, G.L.; Yin, S.; Wang, D.W. Effects of biological nitrification inhibitors on nitrogen use efficiency and greenhouse gas emissions in agricultural soils: A review. Ecotoxicol. Environ. Saf. 2021, 220, 112338. [Google Scholar] [CrossRef] [PubMed]
- Xiao, Y.S.; Peng, F.T.; Zhang, Y.F.; Wang, J.; Zhuge, Y.P.; Zhang, S.S.; Gao, H.F. Effect of bag-controlled release fertilizer on nitrogen loss, greenhouse gas emissions, and nitrogen applied amount in peach production. J. Clean. Prod. 2019, 234, 258–274. [Google Scholar] [CrossRef]
- Liu, Y.D.; Ma, C.; Li, G.H.; Jiang, Y.; Hou, P.F.; Xue, L.H.; Yang, L.Z.; Ding, Y.F. Lower dose of controlled/slow release fertilizer with higher rice yield and N utilization in paddies: Evidence from a meta-analysis. Field Crops Res. 2023, 294, 108879. [Google Scholar] [CrossRef]
- Gao, Y.X.; Feng, H.J.; Zhang, M.; Shao, Y.Q.; Wang, J.Q.; Liu, Y.L.; Li, C.L. Straw returning combined with controlled-release nitrogen fertilizer affected organic carbon storage and crop yield by changing humic acid composition and aggregate distribution. J. Clean. Prod. 2023, 415, 137783. [Google Scholar] [CrossRef]
- Yu, K.; Fang, X.T.; Zhang, Y.H.; Miao, Y.C.; Liu, S.W.; Zou, J.W. Low greenhouse gases emissions associated with high nitrogen use efficiency under optimized fertilization regimes in double-rice cropping systems. Appl. Soil Ecol. 2021, 160, 103846. [Google Scholar] [CrossRef]
- Zhang, M.; Fan, C.H.; Li, Q.L.; Li, B.; Zhu, Y.Y.; Xiong, Z.Q. A 2-yr field assessment of the effects of chemical and biological nitrification inhibitors on nitrous oxide emissions and nitrogen use efficiency in an intensively managed vegetable cropping system. Agric. Ecosyst. Environ. 2015, 201, 43–50. [Google Scholar] [CrossRef]
- Xu, Y.; Wang, Y.; Ma, X.; Liu, X.; Zhang, P.; Cai, T.; Jia, Z. Ridge-furrow mulching system and supplementary irrigation can reduce the greenhouse gas emission intensity. Sci. Total Environ. 2020, 717, 137262. [Google Scholar] [CrossRef] [PubMed]
- Zhang, Z.S.; Chen, J.; Liu, T.Q.; Cao, C.G.; Li, C.F. Effects of nitrogen fertilizer sources and tillage practices on greenhouse gas emissions in paddy fields of central China. Atmos. Environ. 2016, 144, 274–281. [Google Scholar] [CrossRef]
- Wu, P.; Liu, F.; Li, H.; Cai, T.; Zhang, P.; Jia, Z. Suitable fertilizer application depth can increase nitrogen use efficiency and maize yield by reducing gaseous nitrogen losses. Sci. Total Environ. 2021, 781, 146787. [Google Scholar] [CrossRef]






| Year | Seasons | CK | U | ON | CRU | DCRU |
|---|---|---|---|---|---|---|
| 2017 | Spring | 60.83 ± 7.66 c | 203.29 ± 22.58 a | 181.89 ± 27.80 ab | 182.55 ± 28.23 ab | 167.69 ± 21.21 b |
| Autumn | 64.44 ± 7.31 c | 200.22 ± 24.50 a | 178.23 ± 32.56 ab | 160.51 ± 31.33 ab | 142.92 ± 24.19 b | |
| 2018 | Spring | 42.79 ± 5.71 c | 233.69 ± 26.21 a | 207.62 ± 31.30 ab | 190.18 ± 26.94 ab | 169.48 ± 25.88 b |
| Autumn | 40.87 ± 6.26 c | 226.40 ± 30.50 a | 197.83 ± 27.90 ab | 183.61 ± 28.93 ab | 165.17 ± 22.53 b | |
| 2019 | Spring | 22.62 ± 2.04 c | 241.27 ± 29.95 a | 203.64 ± 30.02 ab | 192.25 ± 31.63 ab | 172.12 ± 27.54 b |
| Autumn | 23.30 ± 3.18 c | 228.76 ± 28.82 a | 199.67 ± 29.15 ab | 186.42 ± 30.18 ab | 167.78 ± 26.93 b | |
| 2020 | Spring | 16.62 ± 1.77 c | 245.31 ± 32.08 a | 215.63 ± 28.31 ab | 197.23 ± 32.14 ab | 175.75 ± 28.89 b |
| Autumn | 18.31 ± 2.05 c | 231.94 ± 28.89 a | 200.35 ± 27.31 ab | 189.66 ± 30.34 ab | 170.95 ± 30.05 b | |
| 2021 | Spring | 15.30 ± 1.75 c | 259.57 ± 30.23 a | 227.81 ± 35.94 ab | 209.14 ± 31.33 ab | 183.04 ± 28.23 b |
| Autumn | 16.22 ± 1.70 c | 253.22 ± 31.69 a | 221.72 ± 28.55 ab | 204.51 ± 30.59 ab | 178.95 ± 32.60 b | |
| 2017–2021 | Spring–autumn | 32.13 ± 7.66 c | 231.12 ± 27.68 a | 202.44 ± 31.83 ab | 189.01 ± 30.47 ab | 169.34 ± 26.32 b |
| Year | Seasons | CK | U | ON | CRU | DCRU |
|---|---|---|---|---|---|---|
| 2017 | Spring | 251.92 ± 12.86 b | 347.99 ± 22.78 a | 344.89 ± 18.19 a | 340.05 ± 19.77 a | 327.16 ± 19.48 a |
| Autumn | 256.22 ± 20.44 b | 311.12 ± 28.38 a | 306.29 ± 25.15 a | 301.86 ± 25.75 a | 295.55 ± 19.82 a | |
| 2018 | Spring | 231.80 ± 6.61 b | 362.82 ± 16.91 a | 347.17 ± 13.28 a | 341.81 ± 12.47 a | 333.55 ± 11.40 a |
| Autumn | 214.90 ± 11.79 b | 322.07 ± 20.78 a | 314.22 ± 21.50 a | 306.16 ± 22.29 a | 299.99 ± 18.98 a | |
| 2019 | Spring | 206.35 ± 7.76 b | 354.67 ± 13.48 a | 337.91 ± 14.42 a | 335.03 ± 13.06 a | 326.79 ± 22.95 a |
| Autumn | 200.78 ± 8.30 b | 330.01 ± 26.06 a | 321.36 ± 22.63 a | 312.77 ± 23.07 a | 309.25 ± 19.74 a | |
| 2020 | Spring | 191.16 ± 7.66 b | 357.43 ± 15.97 a | 351.70 ± 10.04 a | 343.92 ± 13.29 a | 336.76 ± 19.28 a |
| Autumn | 192.56 ± 6.50 b | 331.89 ± 21.33 a | 315.24 ± 22.79 a | 306.89 ± 24.08 a | 295.95 ± 20.53 a | |
| 2021 | Spring | 198.52 ± 7.04 b | 349.79 ± 14.64 a | 333.88 ± 12.92 a | 327.97 ± 19.77 a | 323.16 ± 22.52 a |
| Autumn | 190.31 ± 6.54 b | 302.37 ± 25.20 a | 295.28 ± 26.72 a | 283.10 ± 16.86 a | 272.86 ± 18.58 a | |
| 2017–2021 | Spring–autumn | 209.45 ± 10.15 b | 337.02 ± 9.95 a | 326.79 ± 7.03 a | 319.96 ± 7.84 a | 312.10 ± 9.53 a |
Disclaimer/Publisher’s Note: The statements, opinions and data contained in all publications are solely those of the individual author(s) and contributor(s) and not of MDPI and/or the editor(s). MDPI and/or the editor(s) disclaim responsibility for any injury to people or property resulting from any ideas, methods, instructions or products referred to in the content. |
© 2024 by the authors. Licensee MDPI, Basel, Switzerland. This article is an open access article distributed under the terms and conditions of the Creative Commons Attribution (CC BY) license (https://creativecommons.org/licenses/by/4.0/).
Share and Cite
Wang, X.; Cao, B.; Zhou, Y.; Zhao, M.; Chen, Y.; Zhang, J.; Wang, J.; Liang, L. Effects of Long-Term Controlled-Release Urea on Soil Greenhouse Gas Emissions in an Open-Field Lettuce System. Plants 2024, 13, 1071. https://doi.org/10.3390/plants13081071
Wang X, Cao B, Zhou Y, Zhao M, Chen Y, Zhang J, Wang J, Liang L. Effects of Long-Term Controlled-Release Urea on Soil Greenhouse Gas Emissions in an Open-Field Lettuce System. Plants. 2024; 13(8):1071. https://doi.org/10.3390/plants13081071
Chicago/Turabian StyleWang, Xuexia, Bing Cao, Yapeng Zhou, Meng Zhao, Yanhua Chen, Jiajia Zhang, Jiachen Wang, and Lina Liang. 2024. "Effects of Long-Term Controlled-Release Urea on Soil Greenhouse Gas Emissions in an Open-Field Lettuce System" Plants 13, no. 8: 1071. https://doi.org/10.3390/plants13081071
APA StyleWang, X., Cao, B., Zhou, Y., Zhao, M., Chen, Y., Zhang, J., Wang, J., & Liang, L. (2024). Effects of Long-Term Controlled-Release Urea on Soil Greenhouse Gas Emissions in an Open-Field Lettuce System. Plants, 13(8), 1071. https://doi.org/10.3390/plants13081071
