Abstract
WRKY transcription factors are important players in plant regulatory networks, where they control and integrate various physiological processes and responses to biotic and abiotic stresses. Here, we analysed six rose genomes of 5 different species (Rosa chinensis, R. multiflora, R. roxburghii, R. sterilis, and R. rugosa) and extracted a set of 68 putative WRKY genes, extending a previously published set of 58 WRKY sequences based on the R. chinensis genome. Analysis of the promoter regions revealed numerous motifs related to induction by abiotic and, in some cases, biotic stressors. Transcriptomic data from leaves of two rose genotypes inoculated with the hemibiotrophic rose black spot fungus Diplocarpon rosae revealed the upregulation of 18 and downregulation of 9 of these WRKY genes after contact with the fungus. Notably, the resistant genotype exhibited the regulation of 25 of these genes (16 upregulated and 9 downregulated), while the susceptible genotype exhibited the regulation of 20 genes (15 upregulated and 5 downregulated). A detailed RT–qPCR analysis of RcWRKY37, an orthologue of AtWRKY75 and FaWRKY1, revealed induction patterns similar to those of the pathogenesis-related (PR) genes induced in salicylic acid (SA)-dependent defence pathways in black spot inoculation experiments. However, the overexpression of RcWRKY37 in rose petals did not induce the expression of any of the PR genes upon contact with black spot. However, wounding significantly induced the expression of RcWRKY37, while heat, cold, or drought did not have a significant effect. This study provides the first evidence for the role of RcWRKY37 in rose signalling cascades and highlights the differences between RcWRKY37 and AtWRKY75. These results improve our understanding of the regulatory function of WRKY transcription factors in plant responses to stress factors. Additionally, they provide foundational data for further studies.
1. Introduction
The WRKY transcription factor (TF) family is one of the largest TF families in plants and plays important roles in a variety of physiological processes. WRKY family members are involved in the signalling cascade of responses to external biotic or abiotic factors, as well as the regulation of internal plant processes such as growth, senescence, and seed development. WRKY TFs act as both activators and repressors [1].
The members of the WRKY TF family have a WRKY domain consisting of approximately 60 amino acids, with the conserved sequence WRKYGQK and a zinc finger-like motif [2]. Based on these structures, the different WKYY TFs can also be divided into three groups. Group I proteins have two WRKY domains instead of one as in the other groups. Group 2 is further subdivided into subgroups (a–e) [3]. Group 3 proteins differ in their zinc finger motifs (C2HC instead of C2H2).
The WRKY domain enables these TFs to bind to W-box elements (TTGACC/T) in promoter regions of target genes [3,4]. WRKYs play an important role in the signalling during a pathogen attack. For example, pathogenesis-related (PR) genes, which play a central role in the activation of defence mechanisms, have W-box elements in their promoters so that their expression can be influenced by WRKYs (e.g., [5,6,7]). Much is known about the function of WRKY TFs in the immune response in Arabidopsis, rice, and tobacco.
More than half of all Arabidopsis WRKYs respond to infection or endogenous salicylic acid (SA) application [8]. A link to the SA-dependent immune response is also supported by Wang et al. [9], who found that AtNPR1 directly upregulates eight WRKYs. Direct and indirect regulation by mitogen-activated protein kinases (MAPKs) has also been reported [10,11,12]. For example, AtWRKY33, a substrate of MPK3/MPK6, is essential for the downstream production of the phytoalexin camalexin in response to pathogens [13].
However, little is known about the function of WRKY TFs in the family Rosaceae. A more detailed review of WRKY Group I candidates was provided by Jiang et al. [14] for seven Rosaceae species (Fragaria vesca, Malus domestica, Prunus persica, Pyrus bretschneideri, Prunus mume, and Rubus occidentalis), which can serve as a basis for further studies. For Prunus mume [15] and strawberry [16], more detailed analyses of the entire WRKY family were also carried out. Based on the genome provided by Raymond et al. [17], Liu et al. [18] described 56 candidate WRKYs of Rosa chinensis in more detail and analysed their expression after Botrytis cinerea infection. In particular, they found that the homologue of AtWRKY33 is involved in the response to fungal infection.
In Fragaria × ananassa, a member of the family Rosaceae, FaWRKY1, the homologue of AtWRKY75, has been described as an important component of signalling following infection with the fungus Colletotrichum acutatum [19]. Following inoculation with powdery mildew (Podosphaera aphanis), Wei et al. [20] observed regulatory changes in 45 of 62 Fragaria vesca WRKYs. Approximately 2/3 of these genes were upregulated.
Consistent with this, Chen et al. [21] considered AtWKY75 together with AtWRKY28 to be positive regulators of SA- and jasmonic acid (JA)/ethylene (ET)-dependent defence signalling networks, with a focus on the JA/ET pathway in response to the necrotrophic fungus Sclerotina sclerotiorum.
In the present work, we compiled a list of WRKY candidate genes in the genus Rosa by extending the set analysed by Liu et al. [18] by searching five other genomes (R. chinensis [22], R. rugosa [23], R. multiflora [24], R. roxburghii, and R. sterilis [25]). In addition, the expression of these candidate WRKYs following fungal infection was determined by RNA-Seq data from infected and mock-inoculated rose leaves. Furthermore, the expression of RcWRKY37, the homologue of AtWRKY75 and FaWRKY1, was determined in further inoculation experiments, overexpression studies, and after the application of abiotic stress factors. In these inoculation experiments, we also closely examined the expression of PR genes and marker genes from other defence-related signalling pathways.
The hemibiotrophic fungus Diplocarpon rosae, which causes rose black spot disease, was used as the pathogen. This disease has a major impact on rose cultivation and presents as chlorotic or necrotic spots on leaves, spreading in a characteristic star pattern [26]. Infestation with D. rosae can result in early defoliation and reduce the ornamental value of affected plants [27]. Under favourable conditions, fungal spores can germinate on plant leaves within eight hours. They then penetrate the leaf cuticle, forming haustoria within plant cells. Approximately six days after infection, necrotrophic intracellular hyphae develop. This cycle continues with the release of new conidia from acervuli, the fungal reproductive structures [28,29,30]. If the interaction is incompatible, fungal development ceases before haustorium formation is complete [31].
Our investigation is particularly important for elucidating the defence mechanisms and providing potential avenues for crop improvement, given the economic importance of roses and the substantial damage inflicted by D. rosae annually.
2. Materials & Methods
2.1. Plant and Fungal Material
In this study, plants of the rose cultivar ‘Pariser Charme’ (PC), a line of this cultivar exhibiting the stable integration of the D. rosae resistance gene Rdr1 (PC::Rdr1, [31]), and the resistant rose genotype 91/100-5 [32] were used. PC is a hybrid tea variety (Rosa ×hybrida), of which R. chinensis is one of the progenitors, and genotype 91/100-5 originates from a cross between a hybrid tea variety and an R. multiflora hybrid. The fungal pathogen D. rosae Wolf (isolate DortE4; [33]) was propagated on susceptible PC leaves for use in this study [27].
2.2. Inoculation Assay and Experiments
Freshly unfolded rose leaves were detached and spray inoculated with a 500,000 D. rosae conidia/mL suspension or water. Leaves were stored in translucent boxes on moist tissue at 20 °C. For further information on the inoculation assay and sample collection as well as photographs, see the description in Neu et al. [34].
A description of the 3′ mRNA-Seq dataset used, including the inoculated PC and 91/100-5 genotypes, can also be found in Neu et al. [34]. The MACE (Massive Analysis of cDNA Ends; [35]) technique was used to generate transcriptomic data. All of the raw data are available from the NCBI under BioProject number PRJNA445241. The heatmap was generated using the R package ‘pheatmap’ [36].
Another inoculation experiment with the resistant PC line PC::Rdr1 and normal PC was evaluated using the BioMark high-throughput PCR/qPCR system (Fluidigm Corporation, San Francisco, CA, USA). Leaf samples were collected at 0, 12, 48, and 72 h post infection (hpi) and frozen in liquid nitrogen. The experiment was performed in three time-independent replicates.
2.3. Identification of WRKY Candidates in R. chinensis and Other Rose Species
The genomes and gene predictions of R. chinensis [17,22], R. multiflora [24], and R. rugosa [23] can be found at www.rosaceae.org (accessed on 24 November 2021). The genomes of R. roxburghii and R. sterilis can be found at https://db.cngb.org/cnsa/ ([25], accessed on 20 December 2023). The sequences (nucleotide and protein) of the Arabidopsis WRKYs (www.arabidopsis.org; accessed on 24 November 2021) and the conserved WRKY domain were used as a basis to search for WRKY candidates. BLAST searches were performed locally using BioEdit ([37], version 7.2.5). The chromosome map was generated using MagGene2Chrom ([38], version 2.1). All candidates were checked for the presence of at least one WRKY domain [39]. The protein sequences of the roses used can be found in the Supplementary Materials (Supplement S2).
2.4. Phylogenetic Analyses
MEGA X was used to conduct phylogenetic analysis [40]. The required alignments were performed using the MUSCLE alignment software [41] version implemented in MEGA X with default settings. Phylogenetic trees were produced from the protein alignments using the maximum likelihood method and the JTT matrix-based model [42] with 1000 bootstrap replicates. A graphical representation was generated using iTOL ([43], version 6.9). A phylogenetic analysis of all used WRKY protein sequences was performed as described above and can be found in the Supplementary Materials (Supplement S3).
2.5. Promoter Region Analysis
For the analysis of the promoter regions of R. chinensis WRKYs, sequences 1500 bp upstream of the respective gene start were excised. For genes located on the minus strand, the region was examined as a reverse complement. The analysis was performed using plantCARE ([44], accessed on 2 December 2021) on both the plus and minus strands. The graphical representation was generated using the Gene Structure Display Server (http://gsds.gao-lab.org/, accessed on 13 December 2021) of Hu et al. [45].
2.6. Overexpression Experiments
To test the role of RcWRKY37 in gene regulation, a transient overexpression experiment was performed. The complete gene sequence of RcWRKY37 was transformed into a binary vector (C757pGFPU10-ocs-LH, DNA cloning service Hamburg, Germany) by In-Fusion® cloning (Takara Bio Inc., Ltd., Shiga, Japan) and sequenced as a control. The transgene was overexpressed through the upstream 35S promoter. GFP under the control of the A. thaliana ubiquitin promoter was used as a marker gene. Transient overexpression was induced by infiltration of PC petals with Agrobacterium tumefaciens (strain GV3101), as previously described [46]. Gene expression was always determined relative to petals infiltrated with empty vector A. tumefaciens. Samples were collected 4 days after infiltration when a good GFP signal was visible. The experiment was performed in three independent replicates with three biological replicates each.
The leaf tissue frozen in liquid nitrogen was disrupted using a QIAGEN TissueLyser II (Venlo, The Netherlands). RNA purification was carried out using the RNeasy® Plant Mini Kit from Qiagen (Hilden, Germany), with additional DNase digestion provided by an Ambion VR DNA-free™ Kit from Life Technologies (Carlsbad, CA, USA) to eliminate residual genomic DNA, following the manufacturer’s protocol. For cDNA (LunaScript® RT SuperMix Kit, New England Biolabs, Ipswich, MA, USA), 300 ng of RNA was used and diluted with ddH2O at 1:5 before qPCR. The qPCR analyses and data processing were carried out using the QuantStudio™ 6 Flex System (Applied Biosystems, Austin, TX, USA) and the Luna® Universal qPCR Master Mix (New England Biolabs, Ipswich, MA, USA). The annealing temperature was set at 64 °C. PCR primers were designed for gene prediction in the R. chinensis genome [22] using primer3plus [47], and the results are provided in Supplementary Materials (Supplement S4), along with their efficiencies.
2.7. Experimental Induction of Abiotic Stress
Young and freshly unfolded leaves of the variety PC were placed onto moist tissues in transparent containers and subjected to different types of stress: cold (5 °C), heat (37 °C), wounding (punctured several times with a scalpel), and a control (21 °C). The “drought” treatment was performed in open boxes without moisture. The stressors were applied for one hour in darkness, followed by freezing the samples with liquid nitrogen for subsequent analyses. Three biological replicates were analysed per treatment in three independent experiments.
RNA isolation, cDNA synthesis, and qPCR analysis were carried out as described in Section 2.6, except that RNA was isolated using the Quick-RNA™ MiniPrep Plus kit (Zymo Research, Irvine, CA, USA), according to the manufacturer’s instructions with minor modifications. The lysis buffer was supplemented with dithiothreitol (DTT) to a final concentration of 50 mM.
3. Results
3.1. Identification of an Extended Set of WRKY Candidates by Analysing Six Rose Genomes
We first searched the fully annotated genome of R. chinensis provided by Hibrand Saint-Oyant et al. [22] for the identification of candidate WRKY genes. To achieve this goal, a BLAST search was carried out with the use of known Arabidopsis WRKY sequences and the conserved WRKY domain as references. Through this approach, 112 sequences were successfully identified in the R. chinensis genome [22]. All identified sequences were analysed at the protein level to confirm the presence of one or more WRKY domains with the aid of the NCBI CCD database [39]. As a result of this analysis, a set of 68 refined WRKY candidates (Supplementary Materials (Supplement S1)) containing either smart00774 or pfam03106 domains, both of which belong to the WRKY superfamily Cl03892, was obtained. In the gene predictions for R. multiflora and R. rugosa, 60 WRKY candidates were found in each case. In R. roxburghii, the analyses yielded 56 candidates, and in R. sterilis, 67 candidates were identified. This extended the published set of WRKY candidates in roses by 10 additional sequences.
WRKY genes are located on all chromosomes of R. chinensis (Figure 1). Nonetheless, the assignment of two WRKY gene models (RC0G0015100 and RC0G0183100) to particular chromosomes in the genome of Hibrand Saint-Oyant et al. [22] was inconclusive (“chromosome 0”). Consequently, the positions of these two sequences were assessed using the genome provided by Raymond et al. [17], leading to their recognition on chromosome 2 as RcWRKY19 and RcWRKY20. The WRKY genes were subsequently labelled RcWRKY1 through RcWRKY68 based on their position on the seven chromosomes. Chromosomes 1 and 2 each contained 12 WRKY genes, while chromosome 3 had 10, chromosome 4 had 6, chromosome 5 had 11, chromosome 6 had 6, and chromosome 7 had 11.
Figure 1.
Positions of the RcWRKYs on chromosomes according to the R. chinensis genome of Hibrand Saint-Oyant et al. [22]. Two sequences located only on the genome of Raymond et al. [17] are highlighted in red.
3.2. Phylogenetic Analyses
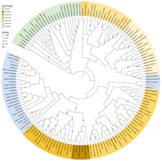
An initial phylogenetic tree was generated with the 68 RcWRKY sequences from Supplementary Materials (Supplement S1) and the 73 identified AtWRKY proteins, including their isoforms (Figure 2).
Figure 2.
A phylogenetic tree of A. thaliana and R. chinensis WRKY genes. The tree was inferred using the maximum likelihood method and JTT matrix-based mode. The tree with the highest log likelihood (−138,959.49) is shown. The percentage of trees in which the associated sequences clustered together is illustrated by the triangles on the branches. This analysis revealed 149 WRKY amino acid sequences, of which 81 were from Arabidopsis and 68 were from R. chinensis. There were a total of 2992 positions in the final dataset. Evolutionary analyses were conducted in MEGA X, and the graphic was created with iTOL. Three R. chinensis sequences are marked in red because they were mapped to Group I but had only one WRKY domain.
3.3. Expression of the RcWRKY Genes under Pathogen Attack
To investigate the expression patterns of the identified rose WRKY candidates under biotic stress conditions, we analysed data from a previous RNA-Seq experiment [34]. Leaves of the susceptible rose cultivar PC were inoculated with the fungus D. rosae in a detached leaf assay. Notably, a previous publication by Neu et al. [34] provided a general evaluation of the expression data derived from this experiment. In addition to the analyses presented in the aforementioned publication, we further investigated the expression profiles of samples from the rose genotype 91/100-5, which exhibits resistance against D. rosae. The heatmap presented in Figure 3 provides an overview of the regulatory changes observed in the RcWRKY genes relative to those in mock-inoculated leaves.
Figure 3.
The transcriptional changes (log2-fold change) of 27 WRKY genes in rose leaves infected with D. rosae were compared to those in mock-inoculated leaves at 24 and 72 h post inoculation (hpi). The susceptible genotype ‘Pariser Charme’ (PC) and the D. rosae-resistant genotype 91/100-5 were used. Only the 27 WRKY genes that were differentially expressed between the inoculated leaves and the mock-inoculated leaves are shown and the gene RcWRKY37, described in more detail later, is marked with an * (n = 3).
Following inoculation with D. rosae, regulatory changes were evident in RcWRKYs in both susceptible and resistant genotypes. Among the analysed WRKYs, a total of 9 genes were downregulated, while 18 were upregulated in response to the pathogen. Notably, the expression of 41 RcWRKYs did not significantly change upon pathogen infection. Many of the regulated genes are affected by transcriptional changes in both genotypes. The exceptions were RcWRKY7 (RC1G0496700), RcWRKY31 (RC3G0309600), RcWRKY51 (RC5G0738400) and RcWRKY68 (RC7G0571000) for the downregulated genes and RcWRKY23 (RC2G0629000) and RcWRKY42 (RC5G0107600) for the upregulated genes, which are all only regulated in the resistant 91/100-5 genotype. RcWRKY57 (RC6G0593600) is the only gene that only showed a regulatory change in PC.
The AtWRKY75 homologue RcWRKY37 (RC4G0344000) is a candidate that is upregulated after pathogen attack but also differs between susceptible and resistant genotypes. Although both genotypes exhibited upregulation of RcWRKY37 expression 24 h after D. rosae inoculation, the gene was no longer significantly upregulated in the incompatible interaction after 72 h.
3.4. Promoter Analyses
To gain insight into the potential signalling pathways in which the identified RcWRKYs may be involved, a comprehensive analysis of the promoter regions of all 68 sequences was performed. The promoter regions were analysed with plant CARE, considering both the plus and minus strands. The focus of the analysis was on identifying motifs associated with stress response and phytohormone signalling. For abiotic stresses, motifs related to low temperature (LTR) and drought responsiveness (MBS) were selected and investigated. In terms of defence response, cis-acting elements such as TC-rich repeats and the distinctive WRKY TF-binding site, known as the W-box, were analysed. Several motifs involved in phytohormone signalling have been explored. For abscisic acid (ABRE), auxin (AuxRR-core, TGA-box, TGA-element), gibberellin (GARE-motif, P-box, TATC-box), JA (CGTCA-motif, TGACG-motif) and SA (SARE, TCA-element) were investigated. The motifs discovered through this analysis are presented separately for the plus and minus strands in Figure 4 and Figure 5, respectively.
Figure 4.
Promoter analysis of the region 1500 bp upstream of each gene on the plus strand.
Figure 5.
Promoter analysis of the region 1500 bp upstream of each gene on the minus strand.
In the analysed promoter regions, stress-related cis-elements were identified in all 68 sequences. The most prevalent motif observed was ABRE, indicating a connection to abscisic acid (ABA) signalling. ABREs were found in 79.4% of the promoter sequences, with 58.8% on the plus strand and 51.5% on the minus strand. In several cases, multiple ABRE motifs were present within a single promoter sequence. Notably, motifs associated with JA responsiveness were also highly prevalent, occurring in 69.1% of the sequences overall (67.6% on both the plus and minus strands).
Similarly, motifs linked to the biotic stress response were observed with a comparable frequency (66.2% overall, 47.1% on the plus strand, and 51.5% on the minus strand). Motifs associated with the gibberellin response were present in just over half of the sequences (52.9%, with 33.8% on the plus strand and 27.9% on the minus strand). The remaining three groups—auxin-related motifs (39.7% overall, 16.2% on the plus strand, and 26.5% on the minus strand), drought-responsive motifs (38.2% overall, 20.6% on the plus strand, and 25% on the minus strand), and low-temperature-responsive motifs (35.3% overall, 23.5% on the plus strand, and 14.7% on the minus strand)—were found with lower frequencies.
In the promoter region of the RcWRKY37 gene (RC4G0344000), the AtWRKY75 homologue, three ABREs (ABA-related) were found on both the plus and minus strands. Moreover, on the minus strand, two additional TGA elements and a W-box motif, and on the plus strand, one CGTCA motif (JA-related) was also discovered.
Table 1 presents a comprehensive analysis of the promoter regions of differentially expressed and nonregulated WRKYs following infection with D. rosae, as depicted in Figure 3. In the table, the distinction between plus and minus strands has been omitted to present a consistent view of the results.
Table 1.
Promoter analysis results of differentially expressed WRKYs after D. rosae infection. The distribution of different motifs in up- and downregulated genes is summarised. The motifs are listed individually but also grouped according to their affiliation. The total number of up- or downregulated genes containing these motifs in their promoter sequences is also indicated.
ABREs were more common among the regulated genes. Specifically, this motif is present in only 73.2% of the promoter regions of nonregulated WRKYs. In contrast, 83.3% of the WRKYs were upregulated, and 100% of the WRKYs were downregulated.
Among the auxin-related motifs, there was a notable difference in the abundance of TGA elements among the differentially expressed WRKYs. Specifically TGA elements were more prevalent in the promoter regions of downregulated WRKYs, with a frequency of 55.6%. In comparison, the frequency of TGA elements was approximately the same for upregulated genes (27.8%) and nonregulated genes (26.8%).
The TATC-box motif, which is associated with the gibberellin response, exhibited a slightly different pattern. The presence of this motif in the promoter region of WRKY genes varies depending on their regulation status. In particular, the proportion of WRKYs with the TATC-box motif was greater in the promoter regions of upregulated genes (16.6%) and nonregulated genes (14.6%), while none of the downregulated WRKYs contained this motif (0%). For the MBS motif, there was an increased frequency of upregulated genes (50%) compared to downregulated (33.3%) and nonregulated (34.1%) genes.
Distinct differences were also observed among the biotic stress-related motifs. This disparity is particularly evident for the W-box motif, which was present in the promoter regions of 72.2% of the upregulated WRKYs. In WRKYs that were not regulated during D. rosae infection, 48.8% of the genes exhibited W-box motifs, while in downregulated genes, this motif was found in only 33.3% of the promoter regions. Furthermore, TC-rich repeats exhibited a slightly greater frequency in the promoter regions of downregulated WRKYs (44.4%). For the nonregulated genes, 34.1%, and for upregulated genes, 27.8%.
No significant differences were detected in the distribution of JA-related motifs among the differentially expressed WRKY genes. Similarly, for the SA-related motifs, there were no notable variations based on gene expression patterns. However, it is worth mentioning that the presence of the SARE motif, which is associated with the response to SA, was identified in only one WRKY gene, RcWRKY25 (RC3G0073600), was upregulated in response to D. rosae infection.
3.5. Expression of RcWRKY37 and Other Defence-Related Genes in Compatible and Incompatible Interactions with D. rosae
Because of its regulation under fungal attack and the role of orthologues in previously published plant–pathogen interactions, the AtWRKY75 homologue RcWRKY37 (RC4G0344000) was further examined for its changes in expression during an independent inoculation experiment along with the expression of selected PR genes. The experimental setup was similar to that of the RNA-Seq experiment, but resistant transgenic PC plants containing the resistance gene Rdr1 were used as the resistant genotype (PC::Rdr1; 33). Gene expression was determined by high-throughput qPCR. In addition to RcWRKY37, various defence-related genes were analysed. The expression changes in PC and PC::Rdr1 inoculated with D. rosae compared to those in uninfected control leaves at all time points are shown in Figure 6.
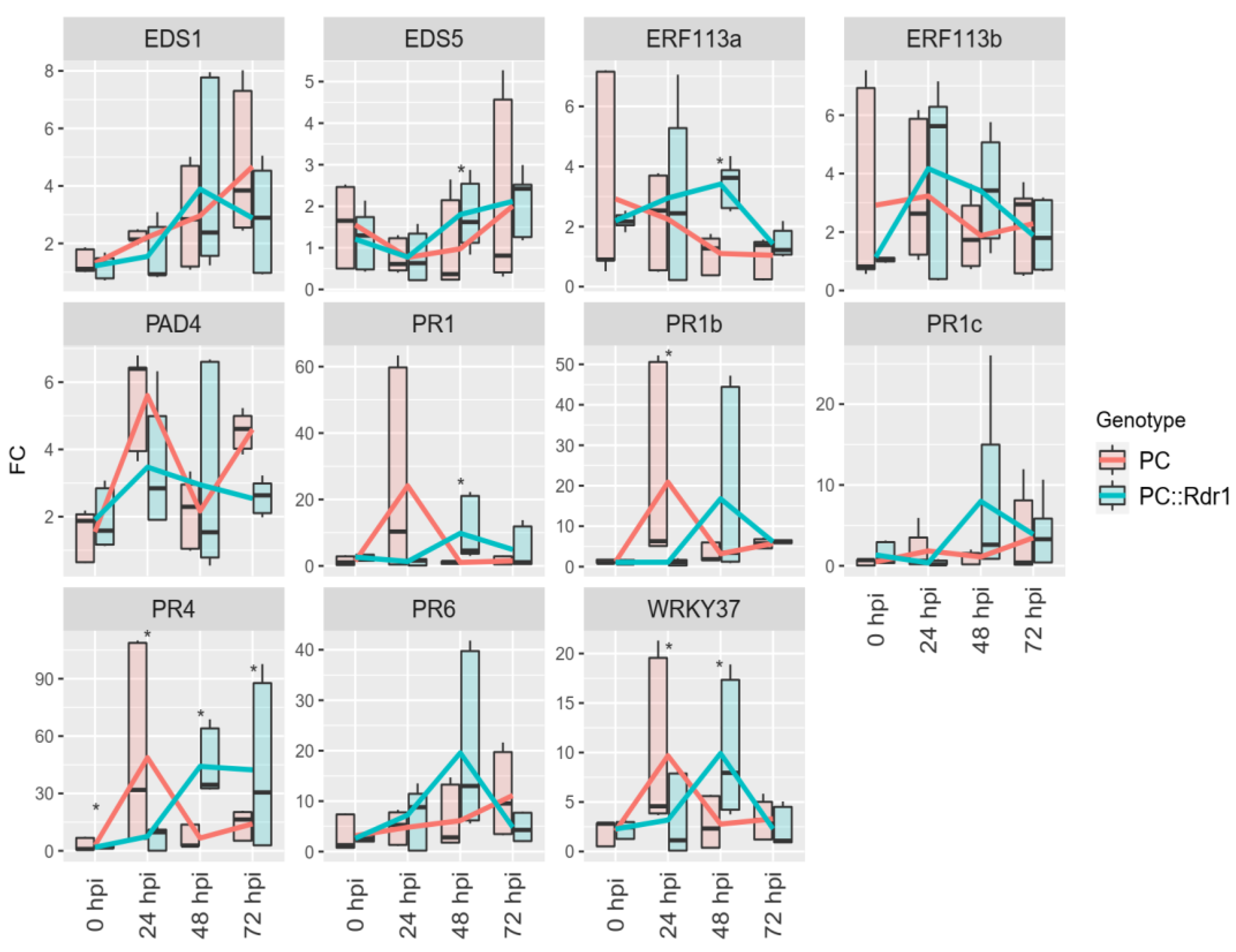
Figure 6.
Changes in the expression of RcWRKY37 and defence-related genes in ‘Pariser Charme’ (PC) and PC::Rdr1 [31] leaves inoculated with D. rosae. Changes in expression were calculated for each time point relative to mock-inoculated leaves of the respective genotypes. PC is susceptible and PC::Rdr1 is resistant to D. rosae. The following genes were analysed as additional defence-related genes: EDS 1 & 5, ERF113, PAD4, PR1, PR4, and PR6. The samples were taken at 0, 24, 48, and 72 h post inoculation (hpi). Stars indicate significant differences between the two genotypes at the indicated points in time. The lines represent the fold change mean values, and the boxplots indicate the distribution of biological replicates (n = 3).
The data showed that inoculation resulted in strong upregulation of several PR genes in both genotypes. However, the exact expression patterns of RcPR1, RcPR4, and RcPR6 were different. In the case of RcPR1 and RcPR4, the pattern was repeated, with peak expression at 24 hpi in the susceptible PC leaves but not until 48 hpi in the resistant PC::Rdr1 leaves. For RcPR6, the peak observed at 48 hpi was also evident in the trend observed for PC::Rdr1. However, few significant regulatory changes were detected in the PC leaves.
The regulation of RcWRKY37 also showed this pattern. The significant upregulation at 24 hpi in the samples of the susceptible genotype (PC) and at 48 hpi for the resistant genotype (PC::Rdr1) compared to 0 hpi was detected. The differences between the two genotypes were also significant at these two time points. Lipase-like PAD4 and enhanced disease susceptibility 1 (EDS1) were also significantly upregulated after D. rosae infection. However, there were no significant differences between the genotypes. The expression of two ethylene-responsive transcription factors (ERF113/ERF114), on the other hand, did not significantly change compared to that at 0 hpi, but the expression of the genotypes significantly differed at 48 hpi (ERF113a).
3.6. Effect of Transient Overexpression of RcWRKY37 on Defence-Related Genes
To further analyse the effects of RcWRKY37, we cloned the coding region into a binary vector under the control of the 35S promoter and conducted transient expression experiments by infiltrating recombinant agrobacteria into rose petals. In three independent experiments, the overexpression of RcWRKY37 in petals of the susceptible genotype PC was analysed, and the expression of different marker genes was determined (4 dpi). The expression of RcWRKY37 was 30-fold greater in the treatment group than in the control group. By selecting genes known to be markers of the ET, JA, and SA signalling pathways, the effect of high RcWRKY37 expression on defence and phytohormone-induced immune responses was investigated (Figure 7). However, none of these genes showed a response to the increased expression level of RcWRKY37.
Figure 7.
Gene expression of various defence-related genes after transient 35s:WRKY37 overexpression relative to PC petals infiltrated with an empty vector (GFP). The data were obtained from three independent infiltration experiments with three biological replicates each. The gene names indicate their function in pathways related to ethylene (ET with EIN3 and ERF1), jasmonic acid (JA with PDF1-2 and MYC2), or salicylic acid (SA with EDS1, PAD4, PR1, PR4, PR6, and SAG101).
3.7. Abiotic Stress Induction of RcWRKY37
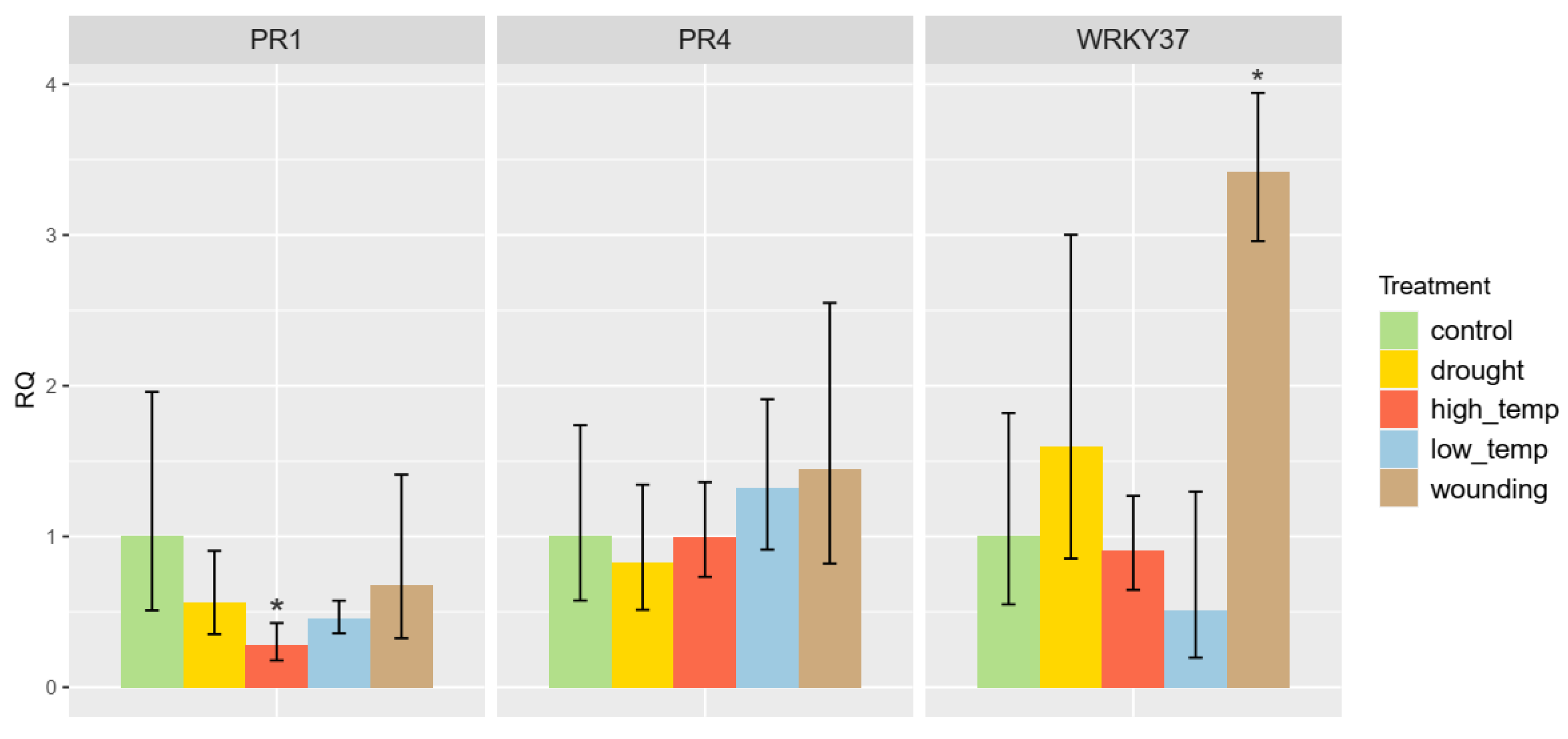
To analyse other potential inducing factors in our detached leaf assay, PC leaves were exposed to different abiotic stresses and the expression of certain genes was determined using RT–qPCR. The results are shown in Figure 8.
Figure 8.
The expression levels of RcPR1, RcPR4, and RcWRKY37 in PC leaves were measured in response to abiotic stress and compared to those in the control treatment. Significant changes in regulation with at least a 3-fold change are marked with an asterisk.
RcWRKY37 (RC4G0344000) expression was significantly upregulated after wounding (4.23×, p = 0.006). Changes in the applied temperature and drought stress did not lead to any changes in the expression levels of these genes. The expression of RcPR1 (RC6G0055800) and RcPR4 (RC3G0391100), which are markers of pathogen infection, did not change. Moreover, RcPR1 expression was downregulated after high-temperature treatment, but the other changes in the expression of RcPR1 were not significant. Overall, abiotic stresses resulted in only minor changes in gene expression.
4. Discussion
4.1. Identification of WRKY Genes in R. chinensis
In a previous study, Liu et al. [18] identified 58 WRKY genes from the R. chinensis genome published by Raymond et al. [17]. Here, we significantly increased the number of rose WRKY genes by combining information from various rose genomes and provided additional information about WRKY biology in roses via bioinformatic and transcriptomic analyses. By first searching the R. chinensis genome of Hibrand Saint-Oyant et al. [22] and combining the data with the R. chinensis genome of Raymond et al. [17], we identified an additional 10 WRKY candidate genes. Two sequences (RC0G0015100 and RC0G0183100) could only be precisely mapped in the genome of Raymond et al. [17]. The difference between the two genomes, which are based on the same diploid, heterozygous R. chinensis genotype ‘Old Blush’, is that the DNA used for each of these genome sequences was obtained independently from haploid tissue and may therefore differ in allelic variants. Further differences arose from the different sequencing and assembly strategies of the two projects [17,22]. A comparative list of the sequences from both projects can be found in the Supplementary Materials (Supplement S5). Differences in the annotation of the Rdr1-TNL gene family in these two genomes have also been found previously [48], indicating that regional differences in the quality of the assemblies might also exist.
Analysis of four other rose species revealed that the number of candidate WRKYs differed among the species. Whether this is due to a true difference in the size of the WRKY family in these species or due to differences in the quality of the genome assembly and annotation is difficult to determine. However, we detected only one additional sequence in R. sterilis beyond our 68 WRKY candidates, suggesting that the maximum number of WRKY genes in roses has been reached. This is a note of caution about the gaps in the quality of most plant genomes published to date and illustrates the usefulness of multiple genomes for the analysis of complex gene families.
4.2. Transcriptional Regulation of WRKY Genes in Rose Leaves after Infection with D. rosae
Analysis of the gene expression of the susceptible rose genotype PC after infection with D. rosae [34] revealed changes in the expression of 20 RcWRKYs (5 downregulated and 15 upregulated). For many of these, changes occurred at both 24 and 72 hpi, while for some, they occurred only at one of the time points. In Liu et al.’s studies [18,49], petals of a resistant R. hybrida were infected with B. cinerea, and RNA-Seq was used to detect expression changes at 30 and 48 hpi. Although 19 WRKYs with altered expression were detected, these WRKYs were mostly other members of the family. Of the regulated WRKYs, six were similarly regulated in the R. chinensis and R. hybrida datasets, including RcWRKY37 (AtWRKY75, Liu et al.: WRKY30), RcWRKY11, RcWRKY24, RcWRKY36, RcWRKY40, and RcWRKY45. However, unlike Liu et al. [18], nine of their upregulated WRKYs were not upregulated in R. chinensis, and four were downregulated instead. Among the other 10 WRKYs, a change in regulation was found only in inoculated R. chinensis leaves. Notably, the candidate regulator gene for grey mould resistance identified by Liu et al. ([18]; RC5G0618300; Liu et al.: WRKY41) was not activated in PC leaves after D. rosae infection.
The differences in WRKY response may be due to the different pathogen lifestyles, with B. cinerea adopting a necrotrophic lifestyle and D. rosae adopting a hemibiotrophic lifestyle with a biotrophic interaction at the early stages of the interaction. Accordingly, Liu et al. [49] reported that genes related to the brassinosteroid pathway were highly regulated during Botrytis infection, while many SA pathway genes were upregulated in susceptible PC leaves during Diplocarpon infection at early time points [34]. In addition, the different tissues analysed (petals vs. leaves) might exhibit different responses to pathogens.
In silico analysis of the promoter regions revealed the presence of numerous stress-related cis-elements within the 68 RcWRKYs. This further suggested that the WRKY TF family may be involved in different stress regulation processes, which is consistent with the findings of other studies. The ABRE motif is widespread in the promoter regions of WRKYs in general, and even more so in those of upregulated and especially downregulated WRKYs after D. rosae inoculation. The fact that many rose WRKY promoters have ABRE motifs supports the results of other studies showing that AtWRKY TFs are important in ABA-dependent signalling networks (e.g., [50,51,52]). Adie et al. [53] reported that ABA-related motifs are overrepresented in the promoters of genes that respond to fungal infection. Notably, the ABRE motif frequently appears multiple times within a single promoter sequence. Previous studies have demonstrated that the presence of at least two ABRE motifs in a promoter region is necessary for ABA-mediated induction [54,55,56]. The rose genome examined here fulfils this theoretical requirement, and the high number of motifs strongly suggests that rose WRKYs respond to ABA. The increased frequency of motifs in the promoter regions of the regulated WRKYs further supports the role of ABA in the response of roses to fungal attack.
W-boxes were also found more frequently in the promoters of the upregulated WRKYs. The percentage of sequences with this motif was 72.2% for upregulated and 33.3% for downregulated WRKYs. For nonregulated WRKYs, a W-box was found in 48.8% of the promoter regions. The W-box motif serves as a binding site for WRKY TFs [57] and is often associated with the response to pathogens (e.g., [4,58]). In addition to the regulation of other WRKYs, the regulation of their own gene expression has also been observed [13,59]. This type of auto- and cross-regulation appears to occur in roses and to play a specific role in the upregulation of WRKYs following pathogen contact.
This in silico analysis of the rose WRKY family promoters, combined with the expression data from an inoculation experiment, suggests a possible link to the ABA-dependent signalling pathway during D. rosae infection and the cross- and autoregulation of WRKYs. In summary, there is strong evidence supporting the involvement of rose WRKYs in the regulation of multiple signalling pathways.
4.3. Expression of RcWRKY37 and Other Defence-Related Genes in Susceptible and D. rosae-Resistant Rose Genotypes
A repeat RT–qPCR experiment for RcWRKY37 in inoculated susceptible and resistant leaves confirmed the RNA-Seq data (Figure 6), which were based on three completely independent inoculation experiments as biological replicates. In this study, transgenic PC plants harbouring the Rdr1 resistance gene were used as resistant plants (PC::Rdr1), and nontransgenic PC plants were used as susceptible plants in further inoculation experiments. This approach led to a reduction in genotype-related differences and reduced false-positive differences between the two treatments.
The strong regulation of RcPR1, RcPR4, and RcPR6, together with the upregulation of RcEDS1 and RcPAD4, in PC indicated an SA-dependent response of roses to black spot disease. This finding was also in line with the RNA-Seq analysis presented by Neu et al. [34]. Furthermore, the expression pattern of RcWRKY37, the orthologue of AtWRKY75, was more similar to the expression profiles of PR1, PR4, and EDS1 but not from that of JA-related genes. However, no SA-related motif was found in the promoter region of RcWRKY37. In Arabidopsis, upregulation of AtWRKY75 is considered to be beneficial for the resistance to fungal pathogens [21,60]. Both publications propose that AtWRKY75 is a component of the JA/ET pathway, but in both cases, only infections involving necrotrophic fungi were examined.
Two studies have investigated the role of the strawberry AtWRKY75 homologue FaWRKY1 in infection with the hemibiotrophic fungus Colletotrichum acutatum [19,61]. Encinas-Villarejo et al. [19] postulated that FaWRKY1 expression had a positive effect on resistance, but this was mainly based on experiments in Arabidopsis plants inoculated with P. syringae. In C. acutatum-infected strawberries, FaWRKY1 was upregulated, which was also dependent on the infection intensity. Upregulation after SA application was also observed, but the intensity was cultivar- and tissue-dependent. In contrast, Higuera et al. [61] directly examined the function of FaWRKY1 in strawberries and concluded that transient silencing of the gene resulted in increased resistance to C. acutatum, while transient overexpression did not further increase susceptibility, confirming the role of FaWRKY1 in this interaction.
4.4. The Role of RcWRKY37 in Different Signalling Pathways
During black spot infection, several WRKY genes, including RcWRKY37, were regulated. This gene was identified as particularly interesting due previous reports linking it to plant–pathogen interactions and due to its reduced expression after the onset of the defence reaction in our RNA-Seq analyses of incompatible interactions. However, the transient overexpression of RcWRKY37 in the petals of the susceptible rose variety PC did not affect any tested marker genes of the signalling pathways involved in the plant immune response, including ET- and JA-related genes such as EIN3, ERF1, MYC2, and PDF1-2, or SA-related genes such as EDS1, PAD4, PR1, PR4, PR6, and SAG101. The influence of AtWRKY75 overexpression on SA signalling in Arabidopsis, including increased AtPR1 expression, as reported by Guo [62], and the upregulation of AtPDF1, as reported by Chen et al. [60], could not be confirmed. This difference in results may be due to variations in defence signalling between Arabidopsis and roses or the use of stably transformed mutants instead of transient expression in petals in which Agrobacteria infiltrated but did provoke defence responses themselves. However, our results aligned with those of Higuera et al. [61], who also found no regulatory changes in genes regulated by C. acutatum infection (FaCHI4-2, FaCAT, FaJAZ4, FaJAZ5, FaJAZ9, FaWHY1, and FaWHY2) when FaWRKY1 was overexpressed.
The overexpression data suggested that RcWRKY37 is not the initiator of a phytohormone-dependent immune response. However, these effects might be induced by stressors acting during the infection process. Some evidence for this is based on changes in gene expression after wounding. RcWRKY37 was upregulated in response to this abiotic stress, whereas no changes were detected for RcPR1. This may indicate less specific regulation of RcWRKY37, whereas RcPR1 expression appears to be specifically regulated by the presence of a pathogen. However, both the RNA-Seq and RT–qPCR results revealed that RcWRKY37 was upregulated following fungal infection in resistant rose plants. The upregulation of RcWRKY37, particularly at a later time point compared to the expression in the susceptible genotypes, cannot be attributed to injury by invading fungal hyphae, as these hyphae did not develop further in resistant plants at this stage. RcWRKY37 appears to be involved in the response to abiotic wounding, as well as in parallel induction upon pathogen infection, but does not seem to be involved in the regulation of SA-related PR genes. An investigation of knockout mutants could provide a more precise understanding of the extent to which RcWRKY37 influences resistance and its location in the signalling chain in roses.
5. Conclusions
In conclusion, this study provides valuable insight into the WRKY TF family in roses and its regulation during the early stages of rose black spot interaction. The examination of promoter regions and gene expression patterns indicated the involvement of WRKYs in multiple signalling pathways, including ABA-dependent and SA-dependent pathways. These findings improve our understanding of the molecular mechanisms governing the response of rose plants to fungal pathogens. These findings suggest that RcWRKY37 does not induce phytohormone-related immune responses beyond the levels caused by Agrobacterium infiltration, as demonstrated by its transient overexpression in PC petals. This overexpression had no effect on marker genes in these pathways. However, RcWRKY37 was upregulated in response to abiotic wounding.
Supplementary Materials
The following supporting information can be downloaded at: https://www.mdpi.com/article/10.3390/plants13081066/s1, Supplement S1: Information about R. chinensis WRKY candidates. Supplement S2: The protein sequences of the tested roses. Supplement S3: Phylogenetic analysis of WRKY protein sequences of five rose species. Supplement S4: Primer information. Supplement S5: Rosa chinensis sequence comparison.
Author Contributions
Conceptualization, H.S.D. and T.D.; Formal analysis, H.S.D.; Investigation, H.S.D.; Writing—original draft, H.S.D. and T.D.; Writing—review & editing, H.S.D. and T.D.; Visualization, H.S.D.; Supervision, T.D.; Project administration, T.D.; Funding acquisition, T.D. All authors have read and agreed to the published version of the manuscript.
Funding
This work was funded by the DFG GRK 1798 “Signaling at the Plant-Soil Interface” (GRK1798).
Data Availability Statement
RNA-Seq raw data are available from NCBI under BioProject number PRJNA445241.
Conflicts of Interest
The authors declare no conflict of interest.
References
- Wang, H.; Chen, W.; Xu, Z.; Chen, M.; Yu, D. Functions of WRKYs in plant growth and development. Trends Plant Sci. 2023, 28, 630–645. [Google Scholar] [CrossRef] [PubMed]
- Rushton, P.J.; Macdonald, H.; Huttly, A.K.; Lazarus, C.M.; Hooley, R. Members of a new family of DNA-binding proteins bind to a conserved cis-element in the promoters of alpha-Amy2 genes. Plant Mol. Biol. 1995, 29, 691–702. [Google Scholar] [CrossRef] [PubMed]
- Eulgem, T.; Rushton, P.J.; Robatzek, S.; Somssich, I.E. The WRKY superfamily of plant transcription factors. Trends Plant Sci. 2000, 5, 199–206. [Google Scholar] [CrossRef] [PubMed]
- Rushton, P.J.; Torres, J.T.; Parniske, M.; Wernert, P.; Hahlbrock, K.; Somssich, I.E. Interaction of elicitor-induced DNA-binding proteins with elicitor response elements in the promoters of parsley PR1 genes. EMBO J. 1996, 15, 5690–5700. [Google Scholar] [CrossRef] [PubMed]
- Turck, F.; Zhou, A.; Somssich, I.E. Stimulus-Dependent, Promoter-Specific Binding of Transcription Factor WRKY1 to Its Native Promoter and the Defense-Related Gene PcPR1-1 in Parsley. Plant Cell 2004, 16, 2573–2585. [Google Scholar] [CrossRef]
- Yang, S.; Zhou, L.; Miao, L.; Shi, J.; Sun, C.; Fan, W.; Lan, J.; Chen, H.; Liu, L.; Dou, S.; et al. The expression and binding properties of the rice WRKY68 protein in the Xa21-mediated resistance response to Xanthomonas oryzae pv. Oryzae. J. Integr. Agric. 2016, 15, 2451–2460. [Google Scholar] [CrossRef]
- Anisimova, O.K.; Shchennikova, A.V.; Kochieva, E.Z.; Filyushin, M.A. Pathogenesis-Related Genes of PR1, PR2, PR4, and PR5 Families Are Involved in the Response to Fusarium Infection in Garlic (Allium sativum L.). Int. J. Mol. Sci. 2021, 22, 6688. [Google Scholar] [CrossRef] [PubMed]
- Dong, J.; Chen, C.; Chen, Z. Expression profiles of the Arabidopsis WRKY gene superfamily during plant defense response. Plant Mol. Biol. 2003, 51, 21–37. [Google Scholar] [CrossRef]
- Wang, D.; Amornsiripanitch, N.; Dong, X. A genomic approach to identify regulatory nodes in the transcriptional network of systemic acquired resistance in plants. PLoS Pathog. 2006, 2, e123. [Google Scholar] [CrossRef] [PubMed]
- Andreasson, E.; Jenkins, T.; Brodersen, P.; Thorgrimsen, S.; Petersen, N.H.T.; Zhu, S.; Qiu, J.-L.; Micheelsen, P.; Rocher, A.; Petersen, M.; et al. The MAP kinase substrate MKS1 is a regulator of plant defense responses. EMBO J. 2005, 24, 2579–2589. [Google Scholar] [CrossRef]
- Qiu, J.-L.; Fiil, B.K.; Petersen, K.; Nielsen, H.B.; Botanga, C.J.; Thorgrimsen, S.; Palma, K.; Suarez-Rodriguez, M.C.; Sandbech-Clausen, S.; Lichota, J.; et al. Arabidopsis MAP kinase 4 regulates gene expression through transcription factor release in the nucleus. EMBO J. 2008, 27, 2214–2221. [Google Scholar] [CrossRef] [PubMed]
- Popescu, S.C.; Popescu, G.V.; Bachan, S.; Zhang, Z.; Gerstein, M.; Snyder, M.; Dinesh-Kumar, S.P. MAPK target networks in Arabidopsis thaliana revealed using functional protein microarrays. Genes Dev. 2009, 23, 80–92. [Google Scholar] [CrossRef] [PubMed]
- Mao, G.; Meng, X.; Liu, Y.; Zheng, Z.; Chen, Z.; Zhang, S. Phosphorylation of a WRKY transcription factor by two pathogen-responsive MAPKs drives phytoalexin biosynthesis in Arabidopsis. Plant Cell 2011, 23, 1639–1653. [Google Scholar] [CrossRef] [PubMed]
- Jiang, L.; Chen, Y.; Bi, D.; Cao, Y.; Tong, J. Deciphering Evolutionary Dynamics of WRKY I Genes in Rosaceae Species. Front. Ecol. Evol. 2021, 9, 857. [Google Scholar] [CrossRef]
- Bao, F.; Ding, A.; Cheng, T.; Wang, J.; Zhang, Q. Genome-Wide Analysis of Members of the WRKY Gene Family and Their Cold Stress Response in Prunus mume. Genes 2019, 10, 911. [Google Scholar] [CrossRef] [PubMed]
- Garrido-Gala, J.; Higuera, J.-J.; Rodríguez-Franco, A.; Muñoz-Blanco, J.; Amil-Ruiz, F.; Caballero, J.L. A Comprehensive Study of the WRKY Transcription Factor Family in Strawberry. Plants 2022, 11, 1585. [Google Scholar] [CrossRef] [PubMed]
- Raymond, O.; Gouzy, J.; Just, J.; Badouin, H.; Verdenaud, M.; Lemainque, A.; Vergne, P.; Moja, S.; Choisne, N.; Pont, C.; et al. The Rosa genome provides new insights into the domestication of modern roses. Nat. Genet. 2018, 50, 772–777. [Google Scholar] [CrossRef]
- Liu, X.; Li, D.; Zhang, S.; Xu, Y.; Zhang, Z. Genome-wide characterization of the rose (Rosa chinensis) WRKY family and role of RcWRKY41 in gray mold resistance. BMC Plant Biol. 2019, 19, 522. [Google Scholar] [CrossRef]
- Encinas-Villarejo, S.; Maldonado, A.M.; Amil-Ruiz, F.; de los Santos, B.; Romero, F.; Pliego-Alfaro, F.; Muñoz-Blanco, J.; Caballero, J.L. Evidence for a positive regulatory role of strawberry (Fragaria × ananassa) Fa WRKY1 and Arabidopsis at WRKY75 proteins in resistance. J. Exp. Bot. 2009, 60, 3043–3065. [Google Scholar] [CrossRef]
- Wei, W.; Hu, Y.; Han, Y.-T.; Zhang, K.; Zhao, F.-L.; Feng, J.-Y. The WRKY transcription factors in the diploid woodland strawberry Fragaria vesca: Identification and expression analysis under biotic and abiotic stresses. Plant Physiol. Biochem. PPB 2016, 105, 129–144. [Google Scholar] [CrossRef]
- Chen, X.; Liu, J.; Lin, G.; Wang, A.; Wang, Z.; Lu, G. Overexpression of AtWRKY28 and AtWRKY75 in Arabidopsis enhances resistance to oxalic acid and Sclerotinia sclerotiorum. Plant Cell Rep. 2013, 32, 1589–1599. [Google Scholar] [CrossRef]
- Hibrand Saint-Oyant, L.; Ruttink, T.; Hamama, L.; Kirov, I.; Lakwani, D.; Zhou, N.-N.; Bourke, P.M.; Daccord, N.; Leus, L.; Schulz, D.; et al. A high-quality sequence of Rosa chinensis to elucidate genome structure and ornamental traits. Nat. Plants 2018, 4, 473–484. [Google Scholar] [CrossRef] [PubMed]
- Chen, F.; Su, L.; Hu, S.; Xue, J.-Y.; Liu, H.; Liu, G.; Jiang, Y.; Du, J.; Qiao, Y.; Fan, Y.; et al. A chromosome-level genome assembly of rugged rose (Rosa rugosa) provides insights into its evolution, ecology, and floral characteristics. Hortic. Res. 2021, 8, 141. [Google Scholar] [CrossRef] [PubMed]
- Nakamura, N.; Hirakawa, H.; Sato, S.; Otagaki, S.; Matsumoto, S.; Tabata, S.; Tanaka, Y. Genome structure of Rosa multiflora, a wild ancestor of cultivated roses. DNA Res. 2018, 25, 113–121. [Google Scholar] [CrossRef] [PubMed]
- Zong, D.; Liu, H.; Gan, P.; Ma, S.; Liang, H.; Yu, J.; Li, P.; Jiang, T.; Sahu, S.K.; Yang, Q.; et al. Chromosomal-scale genomes of two Rosa species provide insights into genome evolution and ascorbate accumulation. Plant J. 2024, 117, 1264–1280. [Google Scholar] [CrossRef] [PubMed]
- Drewes-Alvarez, R. DISEASE|Black Spot. In Encyclopedia of Rose Science, Three-Volume Set; Debener, T., Gudin, S., Roberts, A., Eds.; Academic Press: Boston, MA, USA, 2003; pp. 148–153. [Google Scholar]
- von Malek, B.; Debener, T. Genetic analysis of resistance to blackspot (Diplocarpon rosae) in tetraploid roses. Theor. Appl. Genet. 1998, 96, 228–231. [Google Scholar] [CrossRef]
- Blechert, O.; Debener, T. Morphological characterization of the interaction between Diplocarpon rosae and various rose species. Plant Pathol. 2005, 54, 82–90. [Google Scholar] [CrossRef]
- Gachomo, E.W.; Dehne, H.-W.; Steiner, U. Microscopic evidence for the hemibiotrophic nature of Diplocarpon rosae, cause of black spot disease of rose. Physiol. Mol. Plant Pathol. 2006, 69, 86–92. [Google Scholar] [CrossRef]
- Gachomo, E.W.; Kotchoni, S.O. Detailed description of developmental growth stages of Diplocarpon rosae in Rosa: A core building block for efficient disease management. Ann. Appl. Biol. 2007, 151, 233–243. [Google Scholar] [CrossRef]
- Menz, I.; Straube, J.; Linde, M.; Debener, T. The TNL gene Rdr1 confers broad-spectrum resistance to Diplocarpon rosae. Mol. Plant Pathol. 2018, 19, 1104–1113. [Google Scholar] [CrossRef]
- Debener, T.; Malek, B.V.; Schreiber, M.; Drewes-Alvarez, R. Marker assisted background selection for the introgression of black spot resistance into cultivated roses. Eur. J. Hortic. Sci. 2003, 68, 245–252. [Google Scholar]
- Debener, T.; Drewes-Alvarez, R.; Rockstroh, K. Identification of five physiological races of blackspot, Diplocarpon rosae, Wolf on roses. Plant Breed. 1998, 117, 267–270. [Google Scholar] [CrossRef]
- Neu, E.; Domes, H.S.; Menz, I.; Kaufmann, H.; Linde, M.; Debener, T. Interaction of roses with a biotrophic and a hemibiotrophic leaf pathogen leads to differences in defense transcriptome activation. Plant Mol. Biol. 2019, 99, 299–316. [Google Scholar] [CrossRef]
- Kahl, G.; Molina, C.; Rotter, B.; Jüngling, R.; Frank, A.; Krezdorn, N.; Hoffmeier, K.; Winter, P. Reduced representation sequencing of plant stress transcriptomes. J. Plant Biochem. Biotechnol. 2012, 21, 119–127. [Google Scholar] [CrossRef]
- Kolde, R. Pheatmap: Pretty Heatmaps. R-Package Version 1.0.10. 2019. Available online: https://cran.r-project.org/web/packages/pheatmap/pheatmap.pdf (accessed on 29 January 2024).
- Hall, T.A. BioEdit: A user-friendly biological sequence alignment editor and analysis. Nucl. Acids Symp. Ser. 1999, 41, 95–98. [Google Scholar]
- Chao, J.-T.; Kong, Y.-Z.; Wang, Q.; Sun, Y.-H.; Gong, D.-P.; Lv, J.; Liu, G.-S. MapGene2Chrom, a tool to draw gene physical map based on Perl and SVG languages. Yi Chuan = Hereditas 2015, 37, 91–97. [Google Scholar] [PubMed]
- Lu, S.; Wang, J.; Chitsaz, F.; Derbyshire, M.K.; Geer, R.C.; Gonzales, N.R.; Gwadz, M.; Hurwitz, D.I.; Marchler, G.H.; Song, J.S.; et al. CDD/SPARCLE: The conserved domain database in 2020. Nucleic Acids Res. 2020, 48, D265–D268. [Google Scholar] [CrossRef]
- Kumar, S.; Stecher, G.; Li, M.; Knyaz, C.; Tamura, K. MEGA X: Molecular Evolutionary Genetics Analysis across Computing Platforms. Mol. Biol. Evol. 2018, 35, 1547–1549. [Google Scholar] [CrossRef] [PubMed]
- Edgar, R.C. MUSCLE: Multiple sequence alignment with high accuracy and high throughput. Nucleic Acids Res. 2004, 32, 1792–1797. [Google Scholar] [CrossRef]
- Jones, D.T.; Taylor, W.R.; Thornton, J.M. The rapid generation of mutation data matrices from protein sequences. Comput. Appl. Biosci. CABIOS 1992, 8, 275–282. [Google Scholar] [CrossRef]
- Letunic, I.; Bork, P. Interactive Tree Of Life (iTOL) v5: An online tool for phylogenetic tree display and annotation. Nucleic Acids Res. 2021, 49, W293–W296. [Google Scholar] [CrossRef] [PubMed]
- Lescot, M.; Déhais, P.; Thijs, G.; Marchal, K.; Moreau, Y.; van de Peer, Y.; Rouzé, P.; Rombauts, S. PlantCARE, a database of plant cis-acting regulatory elements and a portal to tools for in silico analysis of promoter sequences. Nucleic Acids Res. 2002, 30, 325–327. [Google Scholar] [CrossRef] [PubMed]
- Hu, B.; Jin, J.; Guo, A.-Y.; Zhang, H.; Luo, J.; Gao, G. GSDS 2.0: An upgraded gene feature visualization server. Bioinformatics 2015, 31, 1296–1297. [Google Scholar] [CrossRef] [PubMed]
- Yasmin, A. Identification and Molecular Characterization of the Rdr1 Resistance Gene from Roses; Gottfried Wilhelm Leibniz Universität Hannover: Hannover, Germany, 2011. [Google Scholar]
- Untergasser, A.; Nijveen, H.; Rao, X.; Bisseling, T.; Geurts, R.; Leunissen, J.A.M. Primer3Plus, an enhanced web interface to Primer3. Nucleic Acids Res. 2007, 35, W71–W74. [Google Scholar] [CrossRef] [PubMed]
- Menz, I.; Lakhwani, D.; Clotault, J.; Linde, M.; Foucher, F.; Debener, T. Analysis of the Rdr1 gene family in different Rosaceae genomes reveals an origin of an R-gene cluster after the split of Rubeae within the Rosoideae subfamily. PLoS ONE 2020, 15, e0227428. [Google Scholar] [CrossRef] [PubMed]
- Liu, X.; Cao, X.; Shi, S.; Zhao, N.; Li, D.; Fang, P.; Chen, X.; Qi, W.; Zhang, Z. Comparative RNA-Seq analysis reveals a critical role for brassinosteroids in rose (Rosa hybrida) petal defense against Botrytis cinerea infection. BMC Genet. 2018, 19, 62. [Google Scholar] [CrossRef] [PubMed]
- Chen, H.; Lai, Z.; Shi, J.; Xiao, Y.; Chen, Z.; Xu, X. Roles of arabidopsis WRKY18, WRKY40 and WRKY60 transcription factors in plant responses to abscisic acid and abiotic stress. BMC Plant Biol. 2010, 10, 281. [Google Scholar] [CrossRef] [PubMed]
- Ren, X.; Chen, Z.; Liu, Y.; Zhang, H.; Zhang, M.; Liu, Q.; Hong, X.; Zhu, J.-K.; Gong, Z. ABO3, a WRKY transcription factor, mediates plant responses to abscisic acid and drought tolerance in Arabidopsis. Plant J. 2010, 63, 417–429. [Google Scholar] [CrossRef] [PubMed]
- Rushton, D.L.; Tripathi, P.; Rabara, R.C.; Lin, J.; Ringler, P.; Boken, A.K.; Langum, T.J.; Smidt, L.; Boomsma, D.D.; Emme, N.J.; et al. WRKY transcription factors: Key components in abscisic acid signalling. Plant Biotechnol. J. 2012, 10, 2–11. [Google Scholar] [CrossRef]
- Adie, B.A.T.; Pérez-Pérez, J.; Pérez-Pérez, M.M.; Godoy, M.; Sánchez-Serrano, J.-J.; Schmelz, E.A.; Solano, R. ABA is an essential signal for plant resistance to pathogens affecting JA biosynthesis and the activation of defenses in Arabidopsis. Plant Cell 2007, 19, 1665–1681. [Google Scholar] [CrossRef]
- Hobo, T.; Asada, M.; Kowyama, Y.; Hattori, T. ACGT-containing abscisic acid response element (ABRE) and coupling element 3 (CE3) are functionally equivalent. Plant J. Cell Mol. Biol. 1999, 19, 679–689. [Google Scholar] [CrossRef]
- Hattori, T.; Totsuka, M.; Hobo, T.; Kagaya, Y.; Yamamoto-Toyoda, A. Experimentally determined sequence requirement of ACGT-containing abscisic acid response element. Plant Cell Physiol. 2002, 43, 136–140. [Google Scholar] [CrossRef] [PubMed]
- Maruyama, K.; Sakuma, Y.; Kasuga, M.; Ito, Y.; Seki, M.; Goda, H.; Shimada, Y.; Yoshida, S.; Shinozaki, K.; Yamaguchi-Shinozaki, K. Identification of cold-inducible downstream genes of the Arabidopsis DREB1A/CBF3 transcriptional factor using two microarray systems. Plant J. Cell Mol. Biol. 2004, 38, 982–993. [Google Scholar] [CrossRef]
- Ciolkowski, I.; Wanke, D.; Birkenbihl, R.P.; Somssich, I.E. Studies on DNA-binding selectivity of WRKY transcription factors lend structural clues into WRKY-domain function. Plant Mol. Biol. 2008, 68, 81–92. [Google Scholar] [CrossRef] [PubMed]
- Raventós, D.; Jensen, A.B.; Rask, M.B.; Casacuberta, J.M.; Mundy, J.; San Segundo, B. A 20 bp cis-acting element is both necessary and sufficient to mediate elicitor response of a maize PRms gene. Plant J. Cell Mol. Biol. 1995, 7, 147–155. [Google Scholar] [CrossRef] [PubMed]
- Yan, L.; Liu, Z.-Q.; Xu, Y.-H.; Lu, K.; Wang, X.-F.; Zhang, D.-P. Auto- and Cross-repression of Three Arabidopsis WRKY Transcription Factors WRKY18, WRKY40, and WRKY60 Negatively Involved in ABA Signaling. J. Plant Growth Regul. 2013, 32, 399–416. [Google Scholar] [CrossRef]
- Chen, L.; Zhang, L.; Xiang, S.; Chen, Y.; Zhang, H.; Yu, D. The transcription factor WRKY75 positively regulates jasmonate-mediated plant defense to necrotrophic fungal pathogens. J. Exp. Bot. 2021, 72, 1473–1489. [Google Scholar] [CrossRef]
- Higuera, J.J.; Garrido-Gala, J.; Lekhbou, A.; Arjona-Girona, I.; Amil-Ruiz, F.; Mercado, J.A.; Pliego-Alfaro, F.; Muñoz-Blanco, J.; López-Herrera, C.J.; Caballero, J.L. The Strawberry FaWRKY1 Transcription Factor Negatively Regulates Resistance to Colletotrichum acutatum in Fruit Upon Infection. Front. Plant Sci. 2019, 10, 480. [Google Scholar] [CrossRef]
- Guo, P.; Li, Z.; Huang, P.; Li, B.; Fang, S.; Chu, J.; Guo, H. A Tripartite Amplification Loop Involving the Transcription Factor WRKY75, Salicylic Acid, and Reactive Oxygen Species Accelerates Leaf Senescence. Plant Cell 2017, 29, 2854–2870. [Google Scholar] [CrossRef]
Disclaimer/Publisher’s Note: The statements, opinions and data contained in all publications are solely those of the individual author(s) and contributor(s) and not of MDPI and/or the editor(s). MDPI and/or the editor(s) disclaim responsibility for any injury to people or property resulting from any ideas, methods, instructions or products referred to in the content. |
© 2024 by the authors. Licensee MDPI, Basel, Switzerland. This article is an open access article distributed under the terms and conditions of the Creative Commons Attribution (CC BY) license (https://creativecommons.org/licenses/by/4.0/).







