Yield, Quality, and Nitrogen Leaching of Open-Field Tomato in Response to Different Nitrogen Application Measures in Northwestern China
Abstract
1. Introduction
2. Results
2.1. Yield
2.2. Nitrogen Use Efficiency (NUE), Agronomic Efficiency of Nitrogen (AEN), and Nitrogen Partial Factor Productivity (NPFP)
2.3. Concentrations of Leached Nitrogen
2.4. Amount of Leached Nitrogen
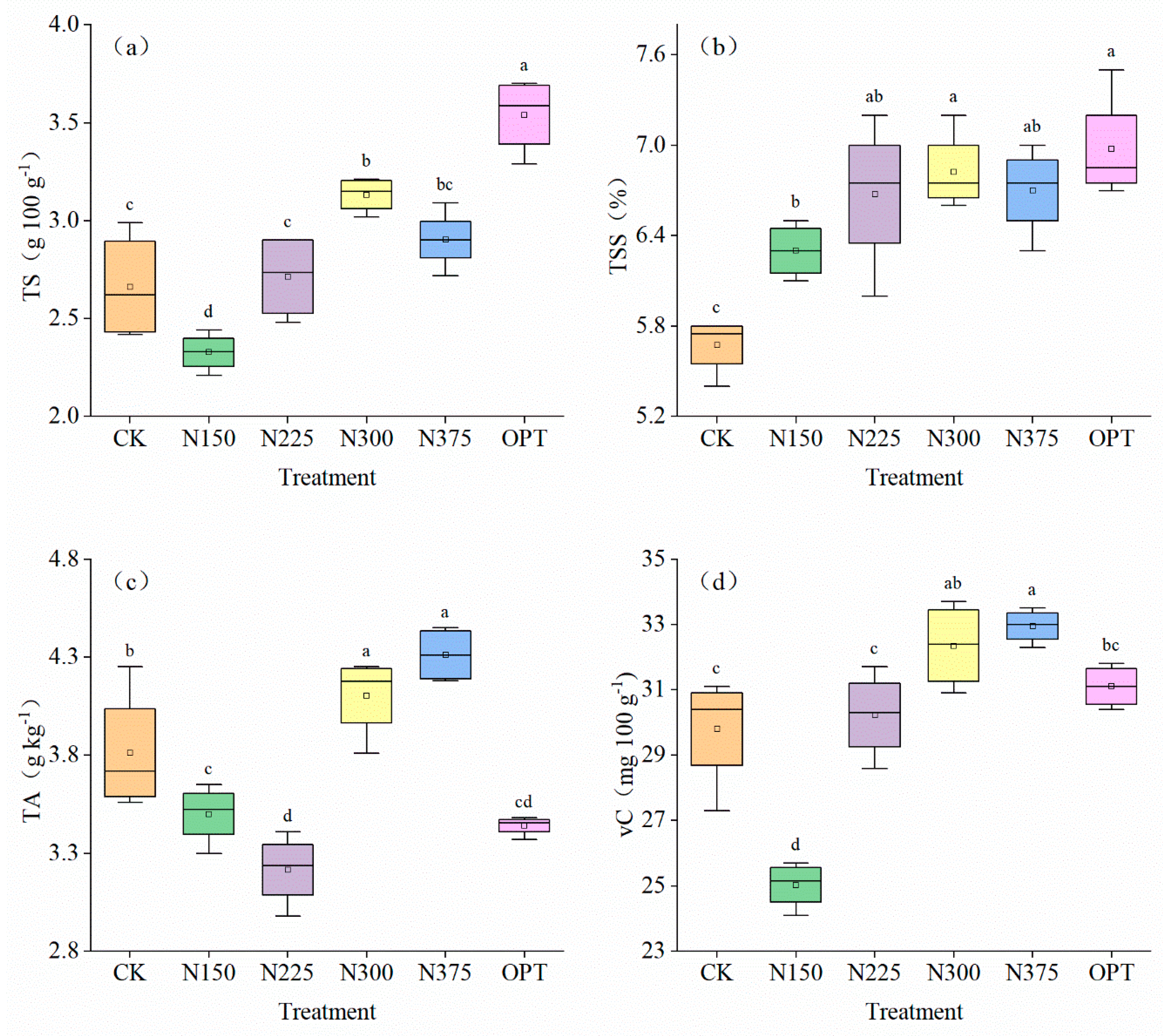
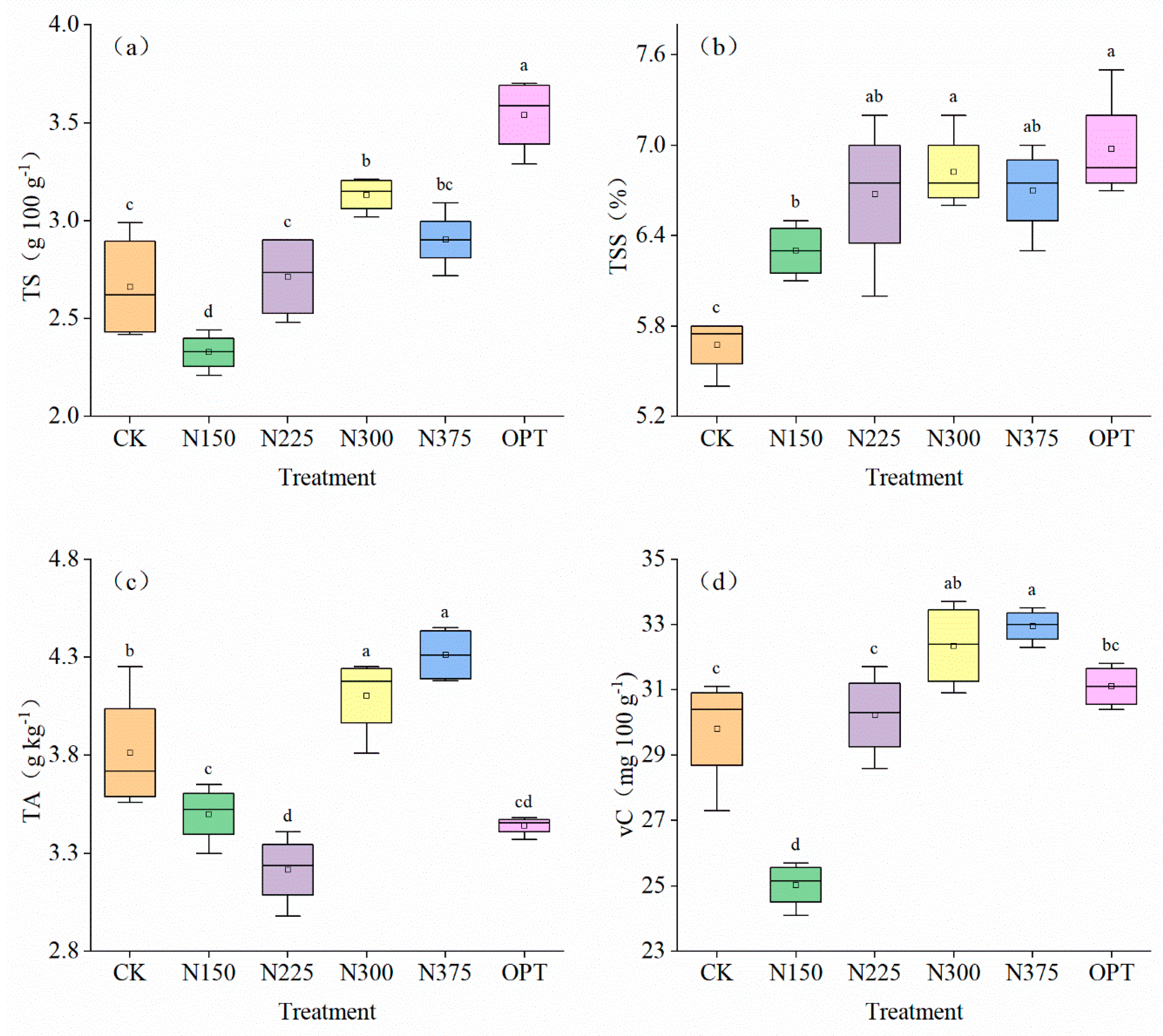
2.5. Quality
3. Discussion
3.1. Effects of Fertilization on Yield of Tomato
3.2. Effects of Nitrogen Rate on Nitrogen Use Efficiency (NUE), Agronomic Efficiency of Nitrogen (AEN), and Nitrogen Partial Factor Productivity (NPFP)
3.3. Effects of Nitrogen Rate on Nitrogen Leaching
3.4. Effects of Nitrogen Application Measures on Fruit Quality Indicators
3.5. Quantitative Pathways from Soil Nitrogen Leaching to Tomato Growth
3.6. Effect of Fertilization Level on Tomato Profit
4. Materials and Methods
4.1. Experimental Site
4.2. Experimental Design and Management
4.3. Sampling and Measurements
4.4. Data Processing and Statistical Analysis
5. Conclusions
Author Contributions
Funding
Data Availability Statement
Acknowledgments
Conflicts of Interest
References
- Giller, K.E.; Cadisch, G. Future benefits from biological nitrogen fixation: An ecological approach to agriculture. In Management of Biological Nitrogen Fixation for the Development of More Productive and Sustainable Agricultural Systems: Extended Versions of Papers Presented at the Symposium on Biological Nitrogen Fixation for Sustainable Agriculture at the 15th Congress of Soil Science, Acapulco, Mexico, 1994; Springer: Dordrecht, The Netherlands, 1995; pp. 255–277. [Google Scholar] [CrossRef]
- Ladha, J.K.; Jat, M.L.; Stirling, C.M.; Chakraborty, D.; Pradhan, P.; Krupnik, T.J.; Sapkota, T.B.; Pathak, H.; Rana, D.S.; Tesfaye, K.; et al. Achieving the sustainable development goals in agriculture: The crucial role of nitrogen in cereal-based systems. Adv. Agron. 2020, 163, 39–116. [Google Scholar] [CrossRef]
- Mogollón, J.M.; Lassaletta, L.; Beusen, A.H.W.; Van Grinsven, H.J.M.; Westhoek, H.; Bouwman, A.F. Assessing future reactive nitrogen inputs into global croplands based on the shared socioeconomic pathways. Environ. Res. Lett. 2018, 13, 044008. [Google Scholar] [CrossRef]
- Riddick, S.; Ward, D.; Hess, P.; Mahowald, N.; Massad, R.; Holland, E. Estimate of changes in agricultural terrestrial nitrogen pathways and ammonia emissions from 1850 to present in the Community Earth System Model. Biogeosciences 2016, 13, 3397–3426. [Google Scholar] [CrossRef]
- Mueller, N.D.; Gerber, J.S.; Johnston, M.; Ray, D.K.; Ramankutty, N.; Foley, J.A. Closing yield gaps through nutrient and water management. Nature 2012, 490, 254–257. [Google Scholar] [CrossRef] [PubMed]
- Wang, Z.H.; Li, S.X.; Wang, X.N.; Su, T. Nitrate nitrogen residue and leaching in dryland soil and influence factors. Soils 2006, 38, 676–681. [Google Scholar]
- Lu, J.; Bai, Z.; Velthof, G.L.; Wu, Z.; Chadwick, D.; Ma, L. Accumulation and leaching of nitrate in soils in wheat-maize production in China. Agric. Water Manag. 2019, 212, 407–415. [Google Scholar] [CrossRef]
- Dong, Y.; Yang, J.L.; Zhao, X.R.; Yang, S.H.; Mulder, J.; Dörsch, P.; Zhang, G.L. Nitrate leaching and N accumulation in a typical subtropical red soil with N fertilization. Geoderma 2022, 407, 115559. [Google Scholar] [CrossRef]
- National Bureau of Statistics of the People’s Republic of China. China Statistical Yearbook [DB/OL]. 2021. Available online: https://www.stats.gov.cn/tjsj/ndsj/ (accessed on 12 January 2023).
- Yu, H.M.; Li, Z.Z.; Gong, Y.S.; Mack, U.; Feger, K.H.; Stahr, K. Water drainage and nitrate leaching under traditional and improved management of vegetable-cropping systems in the North China Plain. J. Plant Nutr. Soil. Sci. 2006, 169, 47–51. [Google Scholar] [CrossRef]
- Ti, C.; Luo, Y.; Yan, X. Characteristics of nitrogen balance in open-air and greenhouse vegetable cropping systems of China. Environ. Sci. Pollut. Res. 2015, 22, 18508–18518. [Google Scholar] [CrossRef]
- Xia, H.; Riaz, M.; Zhang, M.; Liu, B.; Li, Y.; El-Desouki, Z.; Jiang, C. Biochar-N fertilizer interaction increases N utilization efficiency by modifying soil C/N component under N fertilizer deep placement modes. Chemosphere 2022, 286, 131594. [Google Scholar] [CrossRef]
- Billen, G.; Garnier, J.; Lassaletta, L. The nitrogen cascade from agricultural soils to the sea: Modelling nitrogen transfers at regional watershed and global scales. Philos. Trans. R. Soc. B Biol. Sci. 2013, 368, 20130123. [Google Scholar] [CrossRef]
- Fowler, D.; Coyle, M.; Skiba, U.; Sutton, M.A.; Cape, J.N.; Reis, S.; Sheppard, L.J.; Grizzetti, A.; Galloway, J.N.; Vitousek, P.; et al. The global nitrogen cycle in the twenty-first century. Philos. Trans. R. Soc. B Biol. Sci. 2013, 368, 20130164. [Google Scholar] [CrossRef]
- Zhang, B.; Li, Q.; Cao, J.; Zhang, C.; Song, Z.; Zhang, F.; Chen, X. Reducing nitrogen leaching in a subtropical vegetable system. Agric. Ecosyst. Environ. 2017, 241, 133–141. [Google Scholar] [CrossRef]
- Azeem, B.; KuShaari, K.; Man, Z.B.; Basit, A.; Thanh, T.H. Review on materials methods to produce controlled release coated urea fertilizer. J. Control. Release 2014, 181, 11–21. [Google Scholar] [CrossRef]
- Lu, H.; Dun, C.; Jariwala, H.; Wang, R.; Cui, P.; Zhang, H.; Dai, Q.; Yang, S.; Zhang, H. Improvement of bio-based polyurethane and its optimal application in controlled release fertilizer. J. Control. Release 2022, 350, 748–760. [Google Scholar] [CrossRef] [PubMed]
- Incrocci, L.; Maggini, R.; Cei, T.; Carmassi, G.; Botrini, L.; Filippi, F.; Clemens, R.; Terrones, C.; Pardossi, A. Innovative controlled-release polyurethane-coated urea could reduce N leaching in tomato crop in comparison to conventional and stabilized fertilizers. Agronomy 2020, 10, 1827. [Google Scholar] [CrossRef]
- Ma, Q.; Qian, Y.; Yu, Q.; Cao, Y.; Tao, R.; Zhu, M.; Ding, J.; Li, C.; Guo, W.; Zhu, X. Controlled-release nitrogen fertilizer application mitigated N losses and modified microbial community while improving wheat yield and N use efficiency. Agric. Ecosyst. Environ. 2023, 349, 108445. [Google Scholar] [CrossRef]
- Sato, S.; Morgan, K.T. Nitrogen recovery and transformation from a surface or sub-surface application of controlled-release fertilizer on a sandy soil. J. Plant Nutr. 2008, 31, 2214–2231. [Google Scholar] [CrossRef]
- Wang, D.; Guo, L.; Zheng, L.; Zhang, Y.; Yang, R.; Li, M.; Ma, F.; Zhang, X.; Li, Y. Effects of nitrogen fertilizer and water management practices on nitrogen leaching from a typical open field used for vegetable planting in northern China. Agric. Water Manag. 2019, 213, 913–921. [Google Scholar] [CrossRef]
- Wang, J.; Sha, Z.; Zhang, J.; Qin, W.; Xu, W.; Goulding, K.; Liu, X. Improving nitrogen fertilizer use efficiency and minimizing losses and global warming potential by optimizing applications and using nitrogen synergists in a maize-wheat rotation. Agric. Ecosyst. Environ. 2023, 353, 108538. [Google Scholar] [CrossRef]
- Cogger, C.G.; Bary, A.I.; Myhre, E.A.; Fortuna, A.M.; Collins, D.P. Soil physical properties, nitrogen, and crop yield in organic vegetable production systems. Agron. J. 2016, 108, 1142–1154. [Google Scholar] [CrossRef]
- Hammad, H.M.; Abbas, F.; Ahmad, A.; Farhad, W.; Wilkerson, C.J.; Hoogenboom, G. Evaluation of timing and rates for nitrogen application for optimizing maize growth and development and maximizing yield. Agron. J. 2018, 110, 565–571. [Google Scholar] [CrossRef]
- Han, Y.L.; Dong, G.U.O.; Wei, M.A.; Ge, J.Z.; Li, X.L.; Mehmood, A.N.; Zhao, M.; Zhou, B.Y. Strip deep rotary tillage combined with controlled-release urea improves the grain yield and nitrogen use efficiency of maize in the North China Plain. J. Integr. Agric. 2022, 21, 2559–2576. [Google Scholar] [CrossRef]
- Drenovsky, R.E.; Khasanova, A.; James, J.J. Trait convergence and plasticity among native and invasive species in resource-poor environments. Am. J. Bot. 2012, 99, 629–639. [Google Scholar] [CrossRef] [PubMed]
- Pandit, N.R.; Choudhary, D.; Maharjan, S.; Dhakal, K.; Vista, S.P.; Gaihre, Y.K. Optimum Rate and Deep Placement of Nitrogen Fertilizer Improves Nitrogen Use Efficiency and Tomato Yield in Nepal. Soil. Syst. 2022, 6, 72. [Google Scholar] [CrossRef]
- Rietra, R.P.; Heinen, M.; Dimkpa, C.O.; Bindraban, P.S. Effects of nutrient antagonism and synergism on yield and fertilizer use efficiency. Commun. Soil. Sci. Plant Anal. 2017, 48, 1895–1920. [Google Scholar] [CrossRef]
- Qu, Z.; Qi, X.; Shi, R.; Zhao, Y.; Hu, Z.; Chen, Q.; Li, C. Reduced n fertilizer application with optimal blend of controlled-release urea and urea improves tomato yield and quality in greenhouse production system. J. Soil. Sci. Plant Nutr. 2020, 20, 1741–1750. [Google Scholar] [CrossRef]
- Chaichi, M.R.; Keshavarz-Afshar, R.; Lu, B.; Rostamza, M. Growth and nutrient uptake of tomato in response to application of saline water, biological fertilizer, and surfactant. J. Plant Nutr. 2017, 40, 457–466. [Google Scholar] [CrossRef]
- Yang, Y.; Ni, X.Y.; Zhou, Z.J.; Yu, L.X.; Liu, B.M.; Yang, Y.; Wu, Y.J. Performance of matrixbased slow-release urea in reducing nitrogen loss and improving maize yields and profits. Field Crops Res. 2017, 212, 73–81. [Google Scholar] [CrossRef]
- Zhai, J.; Zhang, G.Q.; Zhang, Y.M.; Xu, W.Q.; Xie, R.Z.; Ming, B.; Hou, P.; Wang, K.R.; Xue, J.; Li, S.K. Effect of the rate of nitrogen application on dry matter accumulation and yield formation of densely planted maize. Sustainability 2022, 14, 14940. [Google Scholar] [CrossRef]
- Zhang, G.X.; Zhao, D.H.; Liu, S.J.; Liao, Y.C.; Han, J. Can controlled-release urea replace the split application of normal urea in China? A meta-analysis based on crop grain yield and nitrogen use efficiency. Field Crop. Res. 2022, 275, 108343. [Google Scholar] [CrossRef]
- Sharmasarkar, F.C.; Sharmasarkar, S.; Miller, S.D.; Vance, G.F.; Zhang, R. Assessment of drip and flood irrigation on water and fertilizer use efficiencies for sugarbeets. Agric. Water Manag. 2001, 46, 241–251. [Google Scholar] [CrossRef]
- Song, X.Z.; Zhao, C.X.; Wang, X.L.; Li, J. Study of nitrate leaching and nitrogen fate under intensive vegetable production pattern in northern China. Comptes Rendus Biol. 2009, 332, 385–392. [Google Scholar] [CrossRef]
- Min, J.; Zhao, X.; Shi, W.M.; Xing, G.X.; Zhu, Z.L. Nitrogen balance and loss in a greenhouse vegetable system in southeastern China. Pedosphere 2011, 21, 464–472. [Google Scholar] [CrossRef]
- Rohrbaugh, C. Nitrogen Fertilizer Impacts on Soil Microbiome and Tomato Plant Development. Ph.D. Thesis, Colorado State University, Fort Collins, CO, USA, 2023. [Google Scholar]
- Yue, W.; Liu, L.; Chen, S.; Bai, Y.; Li, N. Effects of Water and Nitrogen Coupling on Growth, Yield and Quality of Greenhouse Tomato. Water 2022, 14, 3665. [Google Scholar] [CrossRef]
- Gao, X.; Li, C.; Zhang, M.; Wang, R.; Chen, B. Controlled release urea improved the nitrogen use efficiency, yield and quality of potato (Solanum tuberosum L.) on silt loamy soil. Field Crops Res. 2015, 181, 60–68. [Google Scholar] [CrossRef]
- Yang, Y.C.; Zhang, M.; Zheng, L.; Cheng, D.D.; Liu, M.; Geng, Y.Q. Controlled release urea improved nitrogen use efficiency, yield, and quality of wheat. Agron. J. 2011, 103, 479–485. [Google Scholar] [CrossRef]
- Shivay, Y.S.; Prasad, R.; Pal, M. Effect of nitrogen levels and coated urea on growth, yields and nitrogen use efficiency in aromatic rice. J. Plant Nutr. 2016, 39, 875–882. [Google Scholar] [CrossRef]
- Yang, Y.; Li, N.; Ni, X.; Yu, L.; Yang, Y.; Wang, Q.; Liu, J.; Ye, Y.; Tao, L.; Liu, B.; et al. Combining deep flooding and slow-release urea to reduce ammonia emission from rice fields. J. Clean. Prod. 2020, 244, 118745. [Google Scholar] [CrossRef]
- Gaihre, Y.K.; Singh, U.; Islam, S.M.; Huda, A.; Islam, M.R.; Satter, M.A.; Sanabria, J.; Islam, M.R.; Shah, A.L. Impacts of urea deep placement on nitrous oxide and nitric oxide emissions from rice fields in Bangladesh. Geoderma 2015, 259, 370–379. [Google Scholar] [CrossRef]
- Jones, J.D. Nutrient use efficiency-A metric to inform 4R nutrient stewardship. Crops Soils 2021, 54, 42–48. [Google Scholar] [CrossRef]
- Zotarelli, L.; Dukes, M.D.; Scholberg, J.M.S.; Muñoz-Carpena, R.; Icerman, J. Tomato nitrogen accumulation and fertilizer use efficiency on a sandy soil, as affected by nitrogen rate and irrigation scheduling. Agric. Water Manag. 2009, 96, 1247–1258. [Google Scholar] [CrossRef]
- Hernández, T.; Chocano, C.; Moreno, J.L.; García, C. Towards a more sustainable fertilization: Combined use of compost and inorganic fertilization for tomato cultivation. Agric. Ecosyst. Environ. 2014, 196, 178–184. [Google Scholar] [CrossRef]
- Ravshanov, B.; Namozov, F.; Kurbonov, A.; Abdalova, G.; Karimov, A.; Khaitov, B.; Park, K.W. Integrative effect of nitrogen fertilization and biotreatments on rice growth and yield potential under open-field agriculture. J. Plant Nutr. 2022, 46, 1701–1711. [Google Scholar] [CrossRef]
- Shoji, S.; Delgado, J.; Mosier, A.; Miura, Y. Use of controlled release fertilizers and nitrification inhibitors to increase nitrogen use efficiency and to conserve air and water quality. Commun. Soil. Sci. Plant Anal. 2001, 32, 1051–1070. [Google Scholar] [CrossRef]
- Guertal, E.A. Preplant slow-release nitrogen fertilizers produce similar bell pepper yields as split applications of soluble fertilizer. Agron. J. 2000, 92, 388–393. [Google Scholar] [CrossRef]
- Kiran, J.K.; Khanif, Y.M.; Amminuddin, H.; Anuar, A.R. Effects of controlled release urea on the yield and nitrogen nutrition of flooded rice. Commun. Soil. Sci. Plant Anal. 2010, 41, 811–819. [Google Scholar] [CrossRef]
- Da Costa, T.P.; Westphalen, G.; Dalla Nora, F.B.; de Zorzi Silva, B.; da Rosa, G.S. Technical and environmental assessment of coated urea production with a natural polymeric suspension in spouted bed to reduce nitrogen losses. J. Clean. Prod. 2019, 222, 324–334. [Google Scholar] [CrossRef]
- DTN. Available online: https://www.dtnpf.com/agriculture/web/ag/crops/article/2023/04/05/retail-fertilizer-prices-end-march (accessed on 1 February 2024).
- Rostamza, M.; Chaichi, M.R.; Jahansouz, M.R.; Alimadadi, A. Forage quality, water use and nitrogen utilization efficiencies of pearl millet (Pennisetum americanum L.) grown under different soil moisture and nitrogen levels. Agric. Water Manag. 2011, 98, 1607–1614. [Google Scholar] [CrossRef]
- Li, H.; Liu, H.; Pang, J.; Li, S.; Cui, Y.; Sun, J. Effects of water and nitrogen interaction on growth and nutrient accumulation of potted tomatoes. Trans. Chin. Soc. Agric. Mach. 2019, 50, 272–279. Available online: https://kns.cnki.net/kcms/detail/detail.aspx? (accessed on 15 October 2023).
- Sun, S.W.; Gao, X.Y.; Lu, Z.G. Effects of different nitrogen fertilization levels on quality of tomato cultivated in solar greenhouse. North. Hortic. 2011, 11, 36–37. [Google Scholar]
- Li, T.; Cui, J.; Guo, W.; She, Y.; Li, P. The Influence of Organic and Inorganic Fertilizer Applications on Nitrogen Transformation and Yield in Greenhouse Tomato Cultivation with Surface and Drip Irrigation Techniques. Water 2023, 15, 3546. [Google Scholar] [CrossRef]
- Kuscu, H.; Turhan, A.; Ozmen, N.; Aydinol, P.; Demir, A.O. Optimizing levels of water and nitrogen applied through drip irrigation for yield, quality, and water productivity of processing tomato (Lycopersicon esculentum Mill.). Hortic. Environ. Biotechnol. 2014, 55, 103–114. [Google Scholar] [CrossRef]
- Bénard, C.; Gautier, H.; Bourgaud, F.; Grasselly, D.; Navez, B.; Caris-Veyrat, C.; Weiss, M.; Génard, M. Effects of low nitrogen supply on tomato (Solanum lycopersicum) fruit yield and quality with special emphasis on sugars, acids, ascorbate, carotenoids, and phenolic compounds. J. Agric. Food Chem. 2009, 57, 4112–4123. [Google Scholar] [CrossRef] [PubMed]
- Wang, Y.; Janz, B.; Engedal, T.; de Neergaard, A. Effect of irrigation regimes and nitrogen rates on water use efficiency and nitrogen uptake in maize. Agric. Water Manag. 2017, 179, 271–276. [Google Scholar] [CrossRef]
- U.S. Department of Agriculture (USDA), Agriculture Marketing Service. United States Standards for Grade of Fresh Tomatoes; USDA: Washington, DC, USA, 18 August 2015. Available online: http://www.ams.usda.gov/grades-standards/tomato-grades-and-standards (accessed on 27 January 2024).
- Liu, H.; Li, H.; Ning, H.; Zhang, X.; Li, S.; Pang, J.; Wang, G.S.; Sun, J. Optimizing irrigation frequency and amount to balance yield, fruit quality and water use efficiency of greenhouse tomato. Agric. Water Manag. 2019, 226, 105787. [Google Scholar] [CrossRef]
- Bao, S.D. Soil Agricultural Chemistry Analysis; China Agriculture Press: Beijing, China, 2000; pp. 22–100. [Google Scholar]
- Fageria, N.K.; Santos, A.B.D.; Baligar, V.C. Phosphorus soil test calibration for lowland rice on an Inceptisol. Agron. J. 1997, 89, 737–742. [Google Scholar] [CrossRef]
- Timsina, J.; Singh, U.; Badaruddin, M.; Meisner, C.; Amin, M.R. Cultivar, nitrogen, and water effects on productivity, and nitrogen-use efficiency and balance for rice–wheat sequences of Bangladesh. Field Crops Res. 2001, 72, 143–161. [Google Scholar] [CrossRef]
- Cassman, K.G.; Gines, G.C.; Dizon, M.A.; Samson, M.I.; Alcantara, J.M. Nitrogen-use efficiency in tropical lowland rice systems: Contributions from indigenous and applied nitrogen. Field Crops Res. 1996, 47, 1–12. [Google Scholar] [CrossRef]






| Treatment | Fruit Yield (kg ha−1) | Average Yield | Rate of Growth | ||
|---|---|---|---|---|---|
| Trial I | Trial II | Trial III | (kg ha−1) | (%) | |
| CK | 60,239.68 | 67,296.70 | 68,520.09 | 65,352.16 ± 44.69 e | |
| N150 | 80,570.70 | 78,150.57 | 77,927.23 | 78,882.83 ± 14.66 d | 20.70 |
| N225 | 87,307.70 | 88,297.75 | 87,981.07 | 87,862.17 ± 5.06 c | 34.44 |
| N300 | 90,862.88 | 92,109.61 | 93,931.36 | 92,301.28 ± 15.43 b | 41.24 |
| N375 | 87,517.71 | 90,354.52 | 89,094.45 | 88,988.89 ± 14.21 bc | 36.17 |
| OPT | 103,357.83 | 107,482.04 | 103,341.83 | 104,727.23 ± 23.86 a | 60.25 |
| Treatment | Nitrogen Uptake by Stems | Nitrogen Uptake by Fruit | Total Nitrogen Uptake | NUE | AEN | NPFP |
|---|---|---|---|---|---|---|
| kg ha−1 | kg ha−1 | kg ha−1 | % | kg kg−1 | kg kg−1 | |
| CK | 66.19 | 72.34 | 138.53 ± 18.44 c | -- | -- | -- |
| N150 | 86.44 | 101.82 | 188.26 ± 7.97 b | 33.15 | 90.2 | 525.89 |
| N225 | 109.72 | 104.51 | 214.23 ± 3.61 a | 33.65 | 100.04 | 390.5 |
| N300 | 121.89 | 94.03 | 215.92 ± 16.29 a | 25.80 | 89.83 | 307.67 |
| N375 | 109.14 | 112.84 | 221.98 ± 15.27 a | 22.25 | 63.03 | 237.30 |
| OPT | 128.30 | 94.10 | 222.40 ± 21.91 a | 34.95 | 164.06 | 436.36 |
| Factor | Factor Loading | ||
|---|---|---|---|
| PC1 | PC2 | PC3 | |
| Yield | 0.949 | −0.048 | −0.129 |
| TN leaching amount | 0.883 | 0.372 | −0.211 |
| NO3−-N leaching amount | 0.861 | 0.319 | −0.245 |
| NH4+-N leaching amount | 0.345 | 0.851 | 0.103 |
| TS | 0.412 | −0.893 | 0.165 |
| TSS | 0.747 | −0.469 | −0.443 |
| TA | 0.548 | 0.254 | 0.736 |
| vC | 0.711 | −0.382 | 0.483 |
| Eigenvalue | 1.074 | 2.193 | 1.131 |
| Variability (%) | 50.93 | 27.41 | 14.13 |
| Cumulative % | 50.93 | 78.34 | 92.47 |
| Treatment | PC1 | PC2 | PC3 | Synthesis Score | Comprehensive Ranking |
|---|---|---|---|---|---|
| CK | −1.77588 | −0.43719 | 0.65672 | −1.82848 | 6 |
| N150 | −0.05573 | −1.17492 | −1.087 | −0.63292 | 5 |
| N225 | 0.68644 | −0.19766 | −0.97118 | 0.468866 | 3 |
| N300 | 0.66473 | 0.52942 | 0.54525 | 0.933287 | 2 |
| N375 | −0.398 | 1.71009 | −0.51532 | 0.121568 | 4 |
| OPT | 0.87844 | −0.42975 | 1.37153 | 0.93768 | 1 |
| Treatment | Increased Yield (kg ha−1) | Profit Increment (K CNY ha−1) | Fertilization Investment (K CNY ha−1) | Net Profit (K CNY ha−1) |
|---|---|---|---|---|
| CK | - | - | - | - |
| N150 | 13,530.67 | 19.62 | 2.71 | 16.91 |
| N225 | 22,510.01 | 32.64 | 2.88 | 29.76 |
| N300 | 26,949.12 | 39.08 | 3.05 | 36.03 |
| N375 | 23,636.73 | 34.27 | 3.22 | 31.05 |
| OPT | 39,375.07 | 57.09 | 1.13 | 55.96 |
| Soil Depth (cm) | Bulk Density (g cm−3) | Total Porosity (%) | Total Salt Content (g kg−1) | Organic Matter (g kg−1) | Total Nitrogen (g kg−1) | Available Nitrogen (mg kg−1) |
|---|---|---|---|---|---|---|
| 0–20 | 1.36 | 48.7 | 0.49 | 13.74 | 1.01 | 38.66 |
| 20–40 | 1.36 | 48.8 | 0.40 | 8.71 | 0.85 | 26.98 |
| 40–60 | 1.53 | 42.3 | 0.39 | 5.26 | 0.40 | 25.12 |
| 60–80 | 1.64 | 39.0 | 0.35 | 4.41 | 0.31 | 24.31 |
| 80–100 | 1.44 | 45.4 | 0.31 | 3.15 | 0.29 | 23.58 |
| Treatment | Common N | Control-Released N | P2O5 | K2O |
|---|---|---|---|---|
| CK | 0 | 0 | 0 | 0 |
| N150 | 150 | 0 | 360 | 180 |
| N225 | 225 | 0 | 360 | 180 |
| N300 | 300 | 0 | 360 | 180 |
| N375 | 375 | 0 | 360 | 180 |
| OPT | 0 | 240 | 90 | 45 |
Disclaimer/Publisher’s Note: The statements, opinions and data contained in all publications are solely those of the individual author(s) and contributor(s) and not of MDPI and/or the editor(s). MDPI and/or the editor(s) disclaim responsibility for any injury to people or property resulting from any ideas, methods, instructions or products referred to in the content. |
© 2024 by the authors. Licensee MDPI, Basel, Switzerland. This article is an open access article distributed under the terms and conditions of the Creative Commons Attribution (CC BY) license (https://creativecommons.org/licenses/by/4.0/).
Share and Cite
Mao, X.; Gu, J.; Wang, F.; Wang, K.; Liu, R.; Hong, Y.; Wang, Y.; Han, F. Yield, Quality, and Nitrogen Leaching of Open-Field Tomato in Response to Different Nitrogen Application Measures in Northwestern China. Plants 2024, 13, 924. https://doi.org/10.3390/plants13070924
Mao X, Gu J, Wang F, Wang K, Liu R, Hong Y, Wang Y, Han F. Yield, Quality, and Nitrogen Leaching of Open-Field Tomato in Response to Different Nitrogen Application Measures in Northwestern China. Plants. 2024; 13(7):924. https://doi.org/10.3390/plants13070924
Chicago/Turabian StyleMao, Xinping, Jialin Gu, Fang Wang, Kun Wang, Ruliang Liu, Yu Hong, Ying Wang, and Fengpeng Han. 2024. "Yield, Quality, and Nitrogen Leaching of Open-Field Tomato in Response to Different Nitrogen Application Measures in Northwestern China" Plants 13, no. 7: 924. https://doi.org/10.3390/plants13070924
APA StyleMao, X., Gu, J., Wang, F., Wang, K., Liu, R., Hong, Y., Wang, Y., & Han, F. (2024). Yield, Quality, and Nitrogen Leaching of Open-Field Tomato in Response to Different Nitrogen Application Measures in Northwestern China. Plants, 13(7), 924. https://doi.org/10.3390/plants13070924

